Parametrizations of Liquid and Ice Clouds’ Optical Properties in Operational Numerical Weather Prediction Models
Abstract
1. Introduction
1.1. Hydrometeors Optical Properties
1.1.1. Ice Particles
1.1.2. Water Droplets
2. Optical Properties Parametrization
2.1. Ice Particles
2.2. Liquid Droplets
3. Model Description
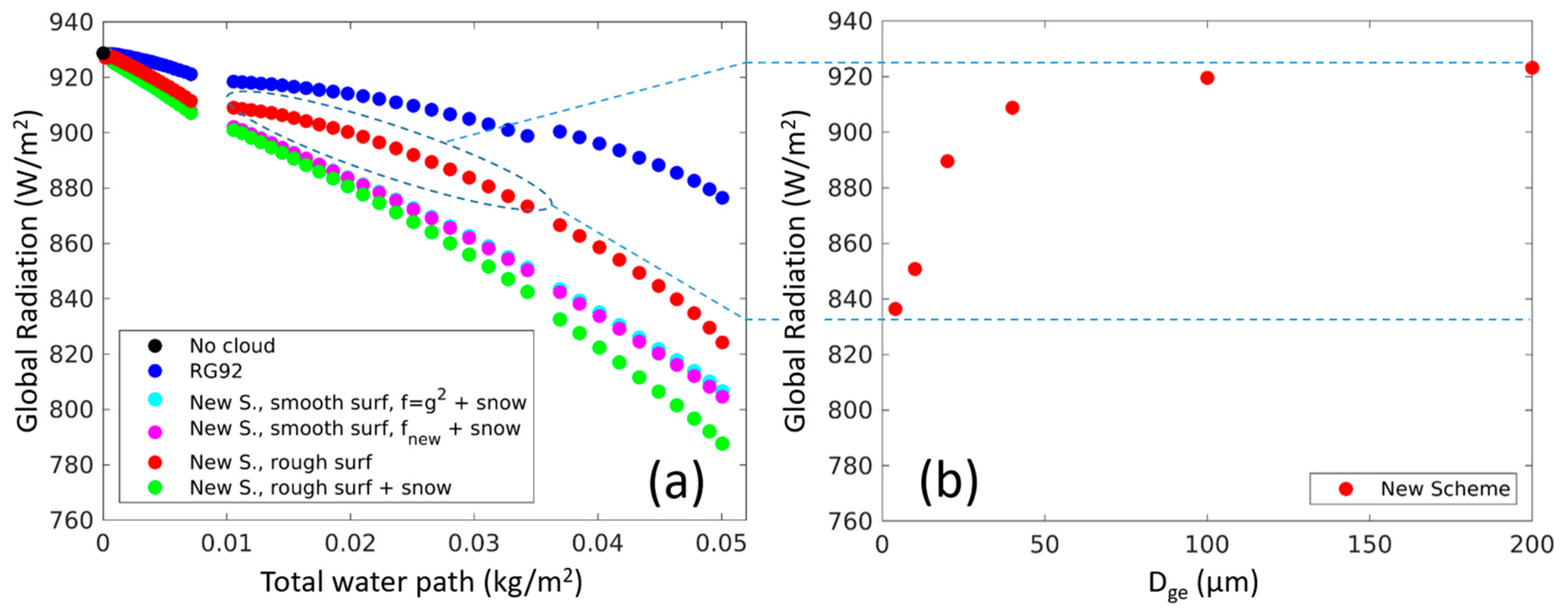
4. Sensitivity Analysis
5. Real Cases Evaluation
6. Conclusions
Author Contributions
Funding
Data Availability Statement
Acknowledgments
Conflicts of Interest
References
- Khain, A.P.; Pinsky, M. Physical Processes in Clouds and Cloud Modeling; Cambridge University Press (CUP): Cambridge, UK, 2018; p. 642. [Google Scholar]
- Twomey, S. The Influence of Pollution on the Shortwave Albedo of Clouds. J. Atmos. Sci. 1997, 34, 1149–1152. [Google Scholar] [CrossRef]
- Rosenfeld, D. Aerosol-Cloud Interactions Control of Earth Radiation and Latent Heat Release Budgets. Space Sci. Rev. 2007, 125, 149–157. [Google Scholar] [CrossRef]
- Soden, B.J.; Held, I.M.; Colman, R.; Shell, K.M.; Kiehl, J.T.; Shields, C.A. Quantifying climate feedbacks using ra-diative kernels. J. Clim. 2008, 21, 3504–3520. [Google Scholar] [CrossRef]
- Stocker, T.F.; Qin, D.; Plattner, G.K.; Tignor, M.M.; Allen, S.K.; Boschung, J.; Nauels, A.; Xia, Y.; Bex, V.; Midgley, P.M. Climate Change 2013: The Physical Science Basis. Contribution of Working Group I to the fifth Assessment Report of IPCC the Intergovernmental Panel on Climate Change. Available online: https://www.ipcc.ch/site/assets/uploads/2017/09/WG1AR5_Frontmatter_FINAL.pdf (accessed on 6 January 2021).
- Yang, P.; Liou, K.N.; Wyser, K.; Mitchell, D. Parameterization of the scattering and absorption properties of in-dividual ice crystals. J. Geophys. Res. 2000, 105, 4699–4718. [Google Scholar] [CrossRef]
- Rossow, W.B.; Schiffer, R.A. Advances in understanding clouds from ISCCP. Bull. Amer. Meteorol. Soc. 1999, 80, 2261–2288. [Google Scholar] [CrossRef]
- Sassen, K.; Wang, Z.; Liu, D. Global Distribution of Cirrus Clouds from CloudSat/Cloud-Aerosol Lidar and Infra-red Pathfinder Satellite Observations (CALIPSO) Measurements. Available online: https://agupubs.onlinelibrary.wiley.com/doi/full/10.1029/2008JD009972 (accessed on 6 January 2021).
- Gasparini, B.; Lohmann, U. Why cirrus cloud seeding cannot substantially cool the planet. J. Geophys. Res. Atmos. 2016, 121, 4877–4893. [Google Scholar] [CrossRef]
- Gruber, S.; Blahak, U.; Haenel, F.; Kottmeier, C.; Leisner, T.; Muskatel, H.; Storelvmo, T.; Vogel, B. A Process Study on Thinning of Arctic Winter Cirrus Clouds With High-Resolution ICON-ART Simulations. J. Geophys. Res. Atmos. 2019, 124, 5860–5888. [Google Scholar] [CrossRef]
- Fu, Q.; Liou, K.N. Parameterization of the Radiative Properties of Cirrus Clouds. J. Atmos. Sci. 1993, 50, 2008–2025. [Google Scholar] [CrossRef]
- Yang, P.; Bi, L.; Baum, B.A.; Liou, K.-N.; Kattawar, G.W.; Mishchenko, M.I.; Cole, B. Spectrally Consistent Scattering, Absorption, and Polarization Properties of Atmospheric Ice Crystals at Wavelengths from 0.2 to 100 μm. J. Atmos. Sci. 2013, 70, 330–347. [Google Scholar] [CrossRef]
- Yang, P.; Ding, J.; Panetta, R.L.; Liou, K.N.; Kattawar, G.W.; Mishchenko, M. On the Convergence of Numer-ical Computations for Both Exact and Approximate Solutions for Electromagnetic Scattering by Nonspherical Dielectric Particles. Electromagn. Waves 2019, 164, 27–61. [Google Scholar] [CrossRef]
- Takano, Y.; Liou, K.-N. Solar Radiative Transfer in Cirrus Clouds. Part I: Single-Scattering and Optical Properties of Hexagonal Ice Crystals. J. Atmos. Sci. 1989, 46, 3–19. [Google Scholar] [CrossRef]
- Fu, Q. An Accurate Parameterization of the Solar Radiative Properties of Cirrus Clouds for Climate Models. J. Clim. 1996, 9, 2058–2082. [Google Scholar] [CrossRef]
- Macke, A.; Mueller, J.; Raschke, E. Single Scattering Properties of Atmospheric Ice Crystals. J. Atmos. Sci. 1996, 53, 2813–2825. [Google Scholar] [CrossRef]
- Fu, Q.; Yang, P.; Sun, W.B. An Accurate Parameterization of the Infrared Radiative Properties of Cirrus Clouds for Climate Models. J. Clim. 1998, 11, 2223–2237. [Google Scholar] [CrossRef]
- Fu, Q. A New Parameterization of an Asymmetry Factor of Cirrus Clouds for Climate Models. J. Atmos. Sci. 2007, 64, 4140–4150. [Google Scholar] [CrossRef]
- Yang, P.; Liou, K.N. Light scattering by hexagonal ice crystals: Comparison of finite-difference time domain and geometric optics models. J. Opt. Soc. Am. A 1995, 12, 162–176. [Google Scholar] [CrossRef]
- Thorsen, T.J.; Fu, Q. Automated Retrieval of Cloud and Aerosol Properties from the ARM Raman Lidar. Part II Extinction. J. Atmos. Ocean. Technol. 2015, 32, 1999–2023. [Google Scholar] [CrossRef]
- Fu, Q.; Liou, K.N.; Cribb, M.C.; Charlock, T.P.; Grossman, A. Multiple Scattering Parameterization in Thermal Infrared Radiative Transfer. J. Atmos. Sci. 1997, 54, 2799–2812. [Google Scholar] [CrossRef]
- Yang, P.; Liou, K.N. Finite-difference time domain method for light scattering by small ice crystals in three-dimensional space. J. Opt. Soc. Am. A 1996, 13, 2072–2085. [Google Scholar] [CrossRef]
- Baum, B.A.; Heymsfield, A.J.; Yang, P.; Bedka, S.T. Bulk Scattering Properties for the Remote Sensing of Ice Clouds. Part I: Microphysical Data and Models. J. Appl. Meteorol. 2005, 44, 1885–1895. [Google Scholar] [CrossRef]
- Baum, B.A.; Yang, P.; Heymsfield, A.J.; Schmitt, C.G.; Xie, Y.; Bansemer, A.; Hu, Y.; Zhang, Z.-B. Improvements in Shortwave Bulk Scattering and Absorption Models for the Remote Sensing of Ice Clouds. J. Appl. Meteorol. Clim. 2011, 50, 1037–1056. [Google Scholar] [CrossRef]
- Baum, B.A.; Yang, P.; Heymsfield, A.J.; Bansemer, A.; Cole, B.H.; Merrelli, A.; Schmitt, C.; Wang, C. Ice cloud single-scattering property models with the full phase matrix at wavelengths from 0.2 to 100 µm. J. Quant. Spectrosc. Radiat. Transf. 2014, 146, 123–139. [Google Scholar] [CrossRef]
- Hansen, J.E.; Travis, L.D. Light scattering in planetary atmospheres. Space Sci. Rev. 1974, 16, 527–610. [Google Scholar] [CrossRef]
- Khain, P.; Heiblum, R.; Blahak, U.; Levi, Y.; Muskatel, H.; Vadislavsky, E.; Altaratz, O.; Koren, I.; Dagan, G.; Shpund, J.; et al. Parameterization of Vertical Profiles of Governing Microphysical Parameters of Shallow Cumulus Cloud Ensembles Using LES with Bin Microphysics. J. Atmos. Sci. 2019, 76, 533–560. [Google Scholar] [CrossRef]
- Hu, Y.X.; Stamnes, K. An Accurate Parameterization of the Radiative Properties of Water Clouds Suitable for Use in Climate Models. J. Clim. 1993, 6, 728–742. [Google Scholar] [CrossRef]
- Wiscombe, W.J. The Delta-Eddington Approximation for a Vertically Inhomogeneous Atmosphere; NCAR Technical Note NCAR/TN-121+STR; NCAR: Boulder, CO, USA, 1977. [Google Scholar]
- Slingo, A.; Schrecker, H.M. On the shortwave radiative properties of stratiform water clouds. Q. J. R. Meteorol. Soc. 1982, 108, 407–426. [Google Scholar] [CrossRef]
- Slingo, A. A GCM Parameterization for the Shortwave Radiative Properties of Water Clouds. J. Atmos. Sci. 1989, 46, 1419–1427. [Google Scholar] [CrossRef]
- Edwards, J.M.; Slingo, A. Studies with a flexible new radiation code. I: Choosing a configuration for a large-scale model. Q. J. R. Meteorol. Soc. 1996, 122, 689–719. [Google Scholar] [CrossRef]
- Stephens, G.L. The Parameterization of Radiation for Numerical Weather Prediction and Climate Models. Mon. Weather. Rev. 1984, 112, 826–867. [Google Scholar] [CrossRef]
- Lindner, T.H.; Li, J. Parameterization of the Optical Properties for Water Clouds in the Infrared. J. Clim. 2000, 13, 1797–1805. [Google Scholar] [CrossRef]
- Baran, A.J.; Hill, P.; Furtado, K.; Field, P.; Manners, J. A Coupled Cloud Physics–Radiation Parameterization of the Bulk Optical Properties of Cirrus and Its Impact on the Met Office Unified Model Global Atmosphere 5.0 Configuration. J. Clim. 2014, 27, 7725–7752. [Google Scholar] [CrossRef]
- Baran, A.J.; Hill, P.; Walters, D.; Hardiman, S.C.; Furtado, K.; Field, P.R.; Manners, J. The Impact of Two Coupled Cirrus Microphysics–Radiation Parameterizations on the Temperature and Specific Humidity Biases in the Tropical Tropopause Layer in a Climate Model. J. Clim. 2016, 29, 5299–5316. [Google Scholar] [CrossRef]
- Petty, G.W.; Huang, W. The Modified Gamma Size Distribution Applied to Inhomogeneous and Non-spherical Particles: Key Relationships and Conversions. J. Atmos. Sci. 2011, 68, 1460–1473. [Google Scholar] [CrossRef]
- Smith, H.R.; Baran, A.J.; Hesse, E.; Hill, P.G.; Connolly, P.J.; Webb, A. Using laboratory and field measurements to constrain a single habit shortwave optical parameterization for cirrus. Atmos. Res. 2016, 180, 226–240. [Google Scholar] [CrossRef]
- Hogan, R.J.; Bozzo, A. A Flexible and Efficient Radiation Scheme for the ECMWF Model. J. Adv. Model. Earth Syst. 2018, 10, 1990–2008. [Google Scholar] [CrossRef]
- Ritter, B.; Geleyn, J. A Comprehensive Radiation Scheme for Numerical Weather Prediction Models with Potential Applications in Climate Simulations. Mon. Weather Rev. 1992, 120, 303–325. [Google Scholar] [CrossRef]
- Joseph, J.H.; Wiscombe, W.J.; Weinman, J.A. The Delta-Eddington Approximation for Radiative Flux Transfer. J. Atmos. Sci. 1976, 33, 2452–2459. [Google Scholar] [CrossRef]
- Steppeler, J.; Doms, G.; Schattler, U.; Bitzer, H.W.; Gassmann, A.; Damrath, U.; Gregoric, G. Meso gamma scale forecasts by nonhydrostatic model LM. Meteorol. Atmos. Phys. 2003, 82, 75–96. [Google Scholar] [CrossRef]
- Baldauf, M.; Seifert, A.; Förstner, J.; Majewski, D.; Raschendorfer, M.; Reinhardt, T. Operational convective-scale numer-ical weather prediction with the COSMO model: Description and sensitivities. Mon. Weather Rev. 2011, 139, 3887–3905. [Google Scholar] [CrossRef]
- Doms, G.; Foerstner, J.; Heise, E.; Herzog, H.J.; Mironov, D.; Raschendorfer, M.; Reinhardt, T.; Ritter, B.; Schrodin, R.; Schulz, J.P.; et al. A Description of the Nonhydrostatic Regional COSMO Model, part 2: Physical Parameterization. Available online: http://www.cosmo-model.org (accessed on 6 January 2021).
- Kunz, M.; Blahak, U.; Handwerker, J.; Schmidberger, M.; Punge, H.J.; Mohr, S.; Fluck, E.; Bedka, K.M. The severe hailstorm in southwest Germany on 28 July 2013: Characteristics, impacts and meteorological conditions. Q. J. R. Meteorol. Soc. 2018, 144, 231–250. [Google Scholar] [CrossRef]
- Khain, P.; Levi, Y.; Muskatel, H.; Shtivelman, A.; Vadislavsky, E.; Stav, N. Effect of shallow convection parametrization on cloud resolving NWP forecasts over the Eastern Mediterranean. Atmos. Res. 2021, 247, 105213. [Google Scholar] [CrossRef]
- Zängl, G.; Reinert, D.; Ripodas, P.; Baldauf, M. The ICON (ICOsahedral Non-hydrostatic) modelling frame-work of DWD and MPI-M: Description of the non-hydrostatic dynamical core. Q. J. R. Meteorol. Soc. 2015, 141, 563–579. [Google Scholar] [CrossRef]
- Giorgetta, M.A.; Brokopf, R.; Crueger, T.; Esch, M.; Fiedler, S.; Helmert, J.; Hohenegger, C.; Kornblueh, L.; Köhler, M.; Manzini, E.; et al. ICON-A, the Atmosphere Component of the ICON Earth System Model: I. Model Description. J. Adv. Model. Earth Syst. 2018, 10, 1613–1637. [Google Scholar] [CrossRef]
- Key, J.R.; Yang, P.; Baum, B.A.; Nasiri, S.L. Parameterization of shortwave ice cloud optical properties for various particle habits. J. Geophys. Res. Space Phys. 2002, 107. [Google Scholar] [CrossRef]
- Braham, R.R.; Cooper, W.A.; Cotton, W.R.; Elliot, R.D.; Flueck, J.A.; Fritsch, J.M.; Gagin, A.; Grant, L.O.; Heymsfield, A.J.; Hill, G.E.; et al. Precipitation Enhancement—A Scientific Challenge. Precip. Enhanc. Sci. Chall. 1986, 29–32. [Google Scholar] [CrossRef]
- Field, P.R.; Hogan, R.J.; Brown, P.R.A.; Illingworth, A.J.; Choularton, T.; Cotton, R.J. Parametrization of ice-particle size distributions for mid-latitude stratiform cloud. Q. J. R. Meteorol. Soc. 2005, 131, 1997–2017. [Google Scholar] [CrossRef]
- Stephens, G.L. Optical properties of eight water cloud types. In CSIRO: Division of Atmospheric Physics; Tech. Report 36; CSIRO: Canberra, Australia, 1979. [Google Scholar]
- Blahak, U. Simulating Idealized Cases with theCOSMO-Model. Manual, Consortium for Small Scale Modelling. Available online: http://www.cosmo-model.org/content/model/documentation/core/artifdocu.pdf (accessed on 6 January 2021).
- Lu, M.-L.; Seinfeld, J.H. Study of the Aerosol Indirect Effect by Large-Eddy Simulation of Marine Stratocumulus. J. Atmos. Sci. 2005, 62, 3909–3932. [Google Scholar] [CrossRef][Green Version]









| Simulation | Warm stratus | Cirrus |
|---|---|---|
| 1 | 2.2–2.7 km, 279.2–281.4 K | 9.5–10.75 km, 230.8–218.8 K |
| 2 | 2.0–2.7 km, 280.0–281.4 K | 7.5–10.75 km, 250.0–218.8 K |
| 3 | 2.0–3.3 km, 280.0–279.0 K | 7.5–12.20 km, 250.0–214.8 K |
| 4 | 1.7–3.3 km, 280.4–278.2 K | |
| 5 | 1.5–3.3 km, 282.0–279.0 K | |
| 6 | 1.2–3.3 km, 284.4–280.2 K | |
| 7 | 1.0–3.3 km, 286.0–281.0 K |
Publisher’s Note: MDPI stays neutral with regard to jurisdictional claims in published maps and institutional affiliations. |
© 2021 by the authors. Licensee MDPI, Basel, Switzerland. This article is an open access article distributed under the terms and conditions of the Creative Commons Attribution (CC BY) license (http://creativecommons.org/licenses/by/4.0/).
Share and Cite
Muskatel, H.B.; Blahak, U.; Khain, P.; Levi, Y.; Fu, Q. Parametrizations of Liquid and Ice Clouds’ Optical Properties in Operational Numerical Weather Prediction Models. Atmosphere 2021, 12, 89. https://doi.org/10.3390/atmos12010089
Muskatel HB, Blahak U, Khain P, Levi Y, Fu Q. Parametrizations of Liquid and Ice Clouds’ Optical Properties in Operational Numerical Weather Prediction Models. Atmosphere. 2021; 12(1):89. https://doi.org/10.3390/atmos12010089
Chicago/Turabian StyleMuskatel, Harel. B., Ulrich Blahak, Pavel Khain, Yoav Levi, and Qiang Fu. 2021. "Parametrizations of Liquid and Ice Clouds’ Optical Properties in Operational Numerical Weather Prediction Models" Atmosphere 12, no. 1: 89. https://doi.org/10.3390/atmos12010089
APA StyleMuskatel, H. B., Blahak, U., Khain, P., Levi, Y., & Fu, Q. (2021). Parametrizations of Liquid and Ice Clouds’ Optical Properties in Operational Numerical Weather Prediction Models. Atmosphere, 12(1), 89. https://doi.org/10.3390/atmos12010089

