Public Health Considerations for PM10 in a High-Pollution Megacity: Influences of Atmospheric Condition and Land Coverage
Abstract
1. Introduction
2. Materials and Methods
2.1. Study Sites
2.2. PM10 Sampling
2.3. AC and LC Analysis
2.4. Air Quality Standards Analysis
2.5. DM Analysis
2.6. PM10 Information Analysis
3. Results
3.1. PM10 Concentrations
3.2. Air Quality Standards
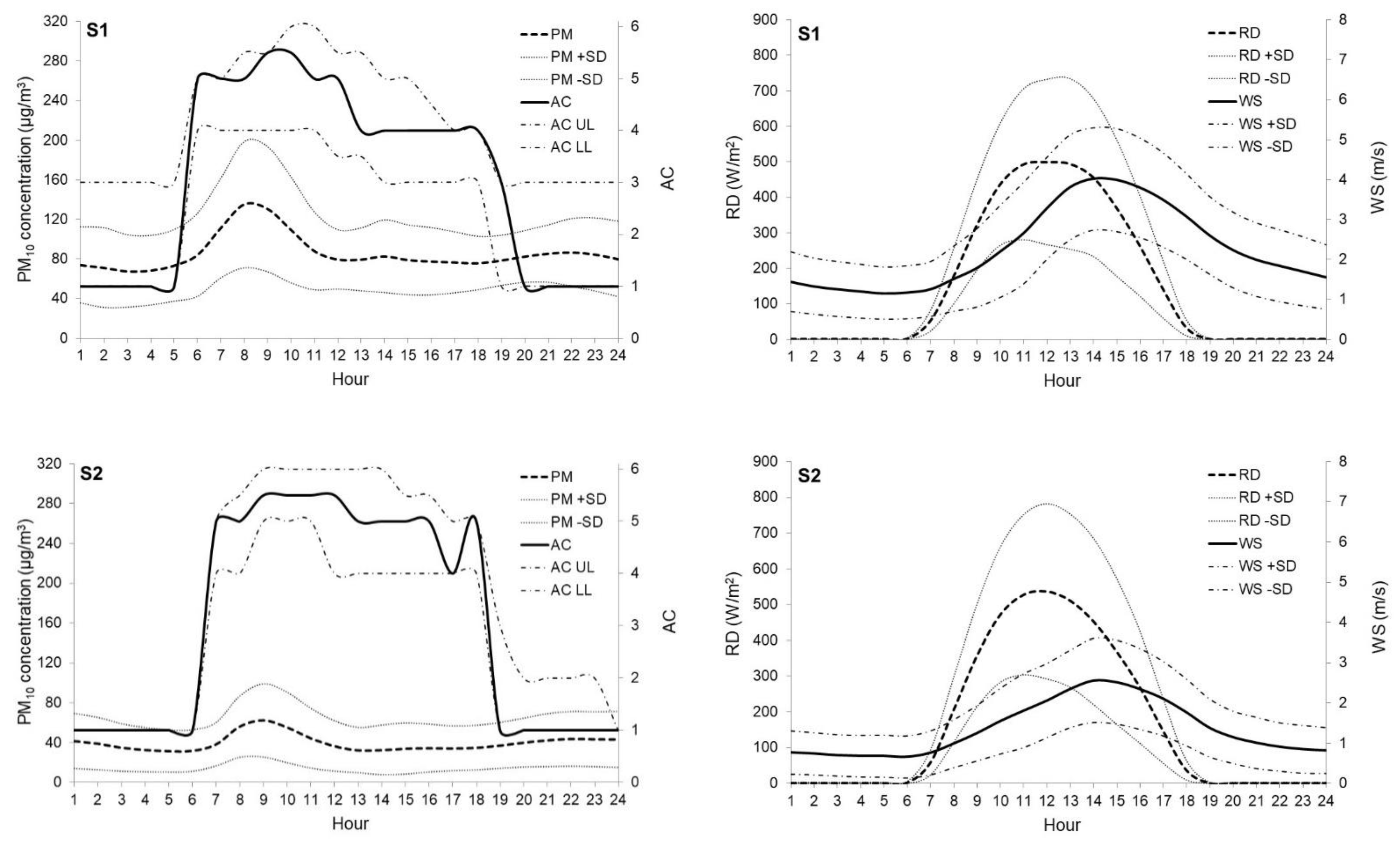
3.3. AC
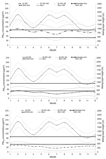
3.4. LC
3.5. PM10 Information Analysis
4. Discussion
4.1. Public Health Considerations
4.2. AC and LC
5. Conclusions
Author Contributions
Funding
Institutional Review Board Statement
Informed Consent Statement
Data Availability Statement
Acknowledgments
Conflicts of Interest
Nomenclature
| AC | Atmospheric condition. |
| AI | Atmospheric instability. |
| ARIMA | Autoregressive integrated moving average. |
| AS | Atmospheric stability. |
| BIC | Normalized Bayesian information criterion. |
| DM | Daily mortality. |
| DPM10 | Daily PM10 concentrations. |
| LC | Land coverage. |
| MAPE | Mean-absolute percentage error. |
| MLH | Mixing-layer height. |
| N.C. | Model without constant. |
| PE | Excess percentage. |
| PM | Particulate material. |
| RD | Solar radiation. |
| RMSE | Root-mean-square error. |
| SD | Standard deviation. |
| WHO | World Health Organization. |
| WS | Wind speed. |
References
- Dahari, N.; Latif, M.T.; Muda, K.; Hussein, N. Influence of Meteorological Variables on Suburban Atmospheric PM2.5 in the Southern Region of Peninsular Malaysia. Aerosol Air Qual. Res. 2020, 20, 14–25. [Google Scholar] [CrossRef]
- Ning, X.; Ji, X.; Li, G.; Sang, N. Ambient PM2.5 causes lung injuries and coupled energy metabolic disorder. Ecotoxicol. Environ. Saf. 2019, 170, 620–626. [Google Scholar] [CrossRef] [PubMed]
- Maesano, C.N.; Morel, G.; Matynia, A.; Ratsombath, N.; Bonnety, J.; Legros, G.; Da Costa, P.; Prud’homme, J.; Annesi-Maesano, I. Impacts on human mortality due to reductions in PM10 concentrations through different traffic scenarios in Paris, France. Sci. Total Environ. 2020, 698, 134257. [Google Scholar] [CrossRef]
- Zhu, X.; Qiu, H.; Wang, L.; Duan, Z.; Yu, H.; Deng, R.; Zhang, Y.; Zhou, L. Risks of hospital admissions from a spectrum of causes associated with particulate matter pollution. Sci. Total Environ. 2019, 656, 90–100. [Google Scholar] [CrossRef]
- Dockery, D.W.; Pope, C.A.; Xu, X.; Spengler, J.D.; Ware, J.H.; Fay, M.E.; Ferris, B.G.; Speizer, F.E. An Association between Air Pollution and Mortality in Six U.S. Cities. N. Engl. J. Med. 1993, 329, 1753–1759. [Google Scholar] [CrossRef] [PubMed]
- Katsouyanni, K.; Schwartz, J.; Spix, C.; Touloumi, G.; Zmirou, D.; Zanobetti, A.; Wojtyniak, B.; Vonk, J.M.; Tobias, A.; Pönkä, A.; et al. Short term effects of air pollution on health: A European approach using epidemiologic time series data: The APHEA protocol. J. Epidemiol. Community Health 1996, 50, S12–S18. [Google Scholar] [CrossRef]
- Liu, W.; Xu, Z.; Yang, T. Health Effects of Air Pollution in China. Int. J. Environ. Res. Public Health 2018, 15. [Google Scholar] [CrossRef] [PubMed]
- Rodríguez-Villamizar, L.A.; Rojas-Roa, N.Y.; Fernández-Niño, J.A. Short-term joint effects of ambient air pollutants on emergency department visits for respiratory and circulatory diseases in Colombia, 2011–2014. Environ. Pollut. 2019, 248, 380–387. [Google Scholar] [CrossRef] [PubMed]
- Blanco-Becerra, L.C.; Miranda-Soberanis, V.; Hernández-Cadena, L.; Barraza-Villarreal, A.; Junger, W.; Hurtado-Díaz, M.; Romieu, I. Effect of particulate matter less than 10 µm (PM10) on mortality in Bogota, Colombia: A time-series analysis, 1998–2006. Salud Publica Mex. 2014, 56, 363–370. [Google Scholar] [CrossRef]
- Breuer, J.L.; Samsun, R.C.; Peters, R.; Stolten, D. The impact of diesel vehicles on NOx and PM10 emissions from road transport in urban morphological zones: A case study in North Rhine-Westphalia, Germany. Sci. Total Environ. 2020, 727, 138583. [Google Scholar] [CrossRef] [PubMed]
- Achad, M.; López, M.L.; Ceppi, S.; Palancar, G.G.; Tirao, G.; Toselli, B.M. Assessment of fine and sub-micrometer aerosols at an urban environment of Argentina. Atmos. Environ. 2014, 92, 522–532. [Google Scholar] [CrossRef]
- Palacio-Soto, D.F.; Zafra-Mejía, C.A.; Rodríguez-Miranda, J.P. Evaluation of the air quality by using a mobile laboratory: Puente Aranda (Bogotá D.C.; Colombia). Rev. Fac. Ing. Univ. Antioquia 2014, 2, 153–166. [Google Scholar]
- Seinfeld, J.H.; Pandis, S.N. Atmospheric Chemistry and Physics: From Air Pollution to Climate Change; John Wiley & Sons: Hoboken, NJ, USA, 2016. [Google Scholar]
- Chen, X.; Pei, T.; Zhou, Z.; Teng, M.; He, L.; Luo, M.; Liu, X. Efficiency differences of roadside greenbelts with three configurations in removing coarse particles (PM10): A street scale investigation in Wuhan, China. Urban For. Urban Green. 2015, 14, 354–360. [Google Scholar] [CrossRef]
- Fortelli, A.; Scafetta, N.; Mazzarella, A. Influence of synoptic and local atmospheric patterns on PM10 air pollution levels: A model application to Naples (Italy). Atmos. Environ. 2016, 143, 218–228. [Google Scholar] [CrossRef]
- Srinivas, C.V.; Venkatesan, R.; Somayaji, K.M.; Indira, R. A simulation study of short-range atmospheric dispersion for hypothetical air-borne effluent releases using different turbulent diffusion methods. Air Qual. Atmos. Health 2009, 2, 21–28. [Google Scholar] [CrossRef][Green Version]
- Zafra, C.; Ángel, Y.; Torres, E. ARIMA analysis of the effect of land surface coverage on PM10 concentrations in a high-altitude megacity. Atmos. Pollut. Res. 2017, 8, 660–668. [Google Scholar] [CrossRef]
- Chambers, S.D.; Wang, F.; Williams, A.G.; Xiaodong, D.; Zhang, H.; Lonati, G.; Crawford, J.; Griffiths, A.D.; Ianniello, A.; Allegrini, I. Quantifying the influences of atmospheric stability on air pollution in Lanzhou, China, using a radon-based stability monitor. Atmos. Environ. 2015, 107, 233–243. [Google Scholar] [CrossRef]
- Lee, S.; Ho, C.H.; Lee, Y.G.; Choi, H.J.; Song, C.K. Influence of transboundary air pollutants from China on the high-PM10 episode in Seoul, Korea for the period October 16–20, 2008. Atmos. Environ. 2013, 77, 430–439. [Google Scholar] [CrossRef]
- Vecchi, R.; Marcazzan, G.; Valli, G. A study on nighttime–daytime PM10 concentration and elemental composition in relation to atmospheric dispersion in the urban area of Milan (Italy). Atmos. Environ. 2007, 41, 2136–2144. [Google Scholar] [CrossRef]
- Shan, Y.; Jingping, C.; Liping, C.; Zhemin, S.; Xiaodong, Z.; Dan, W.; Wenhua, W. Effects of vegetation status in urban green spaces on particle removal in a street canyon atmosphere. Acta Ecol. Sin. 2007, 27, 4590–4595. [Google Scholar] [CrossRef]
- Han, D.; Shen, H.; Duan, W.; Chen, L. A review on particulate matter removal capacity by urban forests at different scales. Urban For. Urban Green. 2020, 48, 126565. [Google Scholar] [CrossRef]
- Irga, P.J.; Burchett, M.D.; Torpy, F.R. Does urban forestry have a quantitative effect on ambient air quality in an urban environment? Atmos. Environ. 2015, 120, 173–181. [Google Scholar] [CrossRef]
- Minguillón, M.C.; Querol, X.; Baltensperger, U.; Prévôt, A.S.H. Fine and coarse PM composition and sources in rural and urban sites in Switzerland: Local or regional pollution? Sci. Total Environ. 2012, 427–428, 191–202. [Google Scholar] [CrossRef] [PubMed]
- Wolf-Benning, U.; Draheim, T.; Endlicher, W. Spatial and temporal differences of Particulate Matter in Berlin. Int. J. Environ. Waste Manag. 2009, 4, 3–16. [Google Scholar] [CrossRef]
- Titos, G.; Lyamani, H.; Pandolfi, M.; Alastuey, A.; Alados-Arboledas, L. Identification of fine (PM1) and coarse (PM10-1) sources of particulate matter in an urban environment. Atmos. Environ. 2014, 89, 593–602. [Google Scholar] [CrossRef]
- Waked, A.; Favez, O.; Alleman, L.Y.; Piot, C.; Petit, J.E.; Delaunay, T.; Verlinden, E.; Golly, B.; Besombes, J.L.; Jaffrezo, J.L.; et al. Source apportionment of PM10 in a north-western Europe regional urban background site (Lens, France) using positive matrix factorization and including primary biogenic emissions. Atmos. Chem. Phys. 2014, 14, 3325–3346. [Google Scholar] [CrossRef]
- Liu, J.; Mo, L.; Zhu, L.; Yang, Y.; Liu, J.; Qiu, D.; Zhang, Z.; Liu, J. Removal efficiency of particulate matters at different underlying surfaces in Beijing. Environ. Sci. Pollut. Res. 2016, 23, 408–417. [Google Scholar] [CrossRef]
- De Montoya, G.J.; Cepeda, W.; Eslava, J.A. Características de la turbulencia y de la estabilidad atmosférica en Bogotá. Rev. Acad. Colomb. Cienc. Exactas Físicas Nat. 2004, 28, 327–335. [Google Scholar]
- Sarmiento, R.; Hernández, L.J.; Medina, E.K.; Rodríguez, N.; Reyes, J. Respiratory symptoms associated with air pollution in five localities of Bogotá, 2008-2011, a dynamic cohort study. Biomédica 2015, 35, 167–176. [Google Scholar] [CrossRef][Green Version]
- SDA. Documento Técnico de Soporte, Modificación del Decreto 98 de 2011 [WWW Document]. 2017. Available online: http://www.ambientebogota.gov.co/c/document_library/get_file?uuid=d134928c-8756-4a69-ad18-ff09bb822fef&groupId=3564131 (accessed on 9 January 2021).
- U.S.EPA. Compendium of Methods for the Determination of Inorganic Compounds in Ambient Air [WWW Document]. 1999. Available online: https://cfpub.epa.gov/si/si_public_record_report.cfm?Lab=NRMRL&direntryid=125969&subject=homeland+security+research&view=desc&sortby=pubdateyear&count=25&showcriteria=1&searchall=ceri&submit=search& (accessed on 9 January 2021).
- Gifford, F.A. Turbulent diffusion-typing schemes: A review. Nucl. Saf. 1976, 17, 68–86. [Google Scholar]
- Turner, D.B. A Diffusion Model for an Urban Area. J. Appl. Meteorol. 1964, 3, 83–91. [Google Scholar] [CrossRef]
- Pasquill, F. The Estimation of the Dispersion of Windborne Material. Meteorol. Mag. 1961, 90, 33–49. [Google Scholar]
- Hernández-Sampieri, R. Metodología de la Investigación, 6th ed.; McGraw Hill: New York, NY, USA, 2014. [Google Scholar]
- Nedbor-Gross, R.; Henderson, B.H.; Davis, J.R.; Pachón, J.E.; Rincón, A.; Guerrero, O.J.; Grajales, F. Comparing Standard to Feature-Based Meteorological Model Evaluation Techniques in Bogotá, Colombia. J. Appl. Meteorol. Climatol. 2016, 56, 391–413. [Google Scholar] [CrossRef]
- Reboredo, B.; Arasa, R.; Codina, B. Evaluating Sensitivity to Different Options and Parameterizations of a Coupled Air Quality Modelling System over Bogotá, Colombia. Part I: WRF Model Configuration. Open J. Air Pollut. 2015, 04, 47. [Google Scholar] [CrossRef][Green Version]
- Kumar, A.; Rojas, N. Statistical Downscaling of WRF-Chem Model: An Air Quality Analysis over Bogota, Colombia. Eur. Geosci. Union Gen. Assem. Conf. Abstr. 2015, 17, EGU2015-13722-1. [Google Scholar]
- MAVDT. Resolución 610 de 2010 Ministerio de Ambiente, Vivienda y Desarrollo Territorial [WWW Document]. 2010. Available online: https://www.alcaldiabogota.gov.co/sisjur/normas/Norma1.jsp?i=39330 (accessed on 9 January 2021).
- WHO. WHO Air Quality Guidelines-Global Update 2005 [WWW Document]. 2005. Available online: https://www.who.int/phe/health_topics/outdoorair/outdoorair_aqg/en/ (accessed on 9 January 2021).
- OECD. OECD Compendium of Productivity Indicators 2019, OECD Compendium of Productivity Indicators; OECD: Paris, France, 2019. [Google Scholar] [CrossRef]
- Taneja, K.; Ahmad, S.; Ahmad, K.; Attri, S.D. Time series analysis of aerosol optical depth over New Delhi using Box–Jenkins ARIMA modeling approach. Atmos. Pollut. Res. 2016, 7, 585–596. [Google Scholar] [CrossRef]
- Díaz-Robles, L.A.; Ortega, J.C.; Fu, J.S.; Reed, G.D.; Chow, J.C.; Watson, J.G.; Moncada-Herrera, J.A. A hybrid ARIMA and artificial neural networks model to forecast particulate matter in urban areas: The case of Temuco, Chile. Atmos. Environ. 2008, 42, 8331–8340. [Google Scholar] [CrossRef]
- Box, G.E.P.; Jenkins, G. Time Series Analysis, Forecasting and Control; Holden-Day, Inc.: San Francisco, CA, USA, 1990. [Google Scholar]
- Kumar, U.; De Ridder, K. GARCH modelling in association with FFT–ARIMA to forecast ozone episodes. Atmos. Environ. 2010, 44, 4252–4265. [Google Scholar] [CrossRef]
- Ljung, G.M.; Box, G.E.P. On a Measure of Lack of Fit in Time Series Models. Biometrika 1978, 65, 297–303. [Google Scholar] [CrossRef]
- MADS. Resolución 2254 de 2017 Ministerio del Medio Ambiente [WWW Document]. 2017. Available online: https://www.alcaldiabogota.gov.co/sisjur/normas/Norma1.jsp?i=82634&dt=S (accessed on 9 January 2021).
- Pachón, J.E.; Galvis, B.; Lombana, O.; Carmona, L.G.; Fajardo, S.; Rincón, A.; Meneses, S.; Chaparro, R.; Nedbor-Gross, R.; Henderson, B. Development and Evaluation of a Comprehensive Atmospheric Emission Inventory for Air Quality Modeling in the Megacity of Bogotá. Atmosphere 2018, 9, 49. [Google Scholar] [CrossRef]










| Characteristics | S1 (Kennedy) | S2 (Barrios Unidos) | S3 (Suba) |
|---|---|---|---|
| Coordinates | 4°37′30.18′′ N 74°9′40.80′′ W | 4°39′30.48′′ N 74°5′2.28′′ W | 4°47′1.52′′ N 74°2′39.06′′ W |
| Altitude (masl) | 2580 | 2577 | 2580 |
| Average daily PM10 (µg/m3) a | 85.9 | 40.0 | 34.9 |
| Average annual rainfall (mm) a | 521 | 1084 | 832 |
| Average daily wind speed a | 2.2 | 1.35 | 1.0 |
| Prevailing wind direction a | SW | W | SE |
| Average daily temperature (°C) a | 14.3 | 14.3 | 14.2 |
| Type of zone | Urban | Urban | Suburban |
| Land use b | R-I-C | R-IN-I | R-IN |
| Land coverage: Impervious/Vegetated/Nonvegetated/Water-bodies (%) c | 85.8/10.9/2.90/0.40 | 56.5/39.3/0.50/3.70 | 17.9/78.4/2.83/0.87 |
| PM10 sampler location (m) d | 7.0 | 4.6 | 4.0 |
| Type of monitoring station | Background | Background | Background |
| Population density (Inhabitants/ha) | 400 | 30 | <1 |
| Monitoring Stations | S1 | S2 | S3 |
|---|---|---|---|
| Hourly (n = 70,080, per station) | |||
| S1 | 1.00 | ||
| S2 | 0.410 (sig. = 0.046) | 1.00 | |
| S3 | 0.506 (sig. = 0.012) | 0.483 (sig. = 0.017) | 1.00 |
| Daily, 24-h moving average (n = 70,079, per station) | |||
| S1 | 1.00 | ||
| S2 | 0.447 (sig. < 0.001) | 1.00 | |
| S3 | 0.355 (sig. < 0.001) | 0.507 (sig. < 0.001) | 1.00 |
| Monitoring Station | AR | I | MA | Constant a | Transformation | R2 | RMSE b | MAPE c | Ljung–Box Q’ (18), df | p-Value (Q’) | BIC d |
|---|---|---|---|---|---|---|---|---|---|---|---|
| S1 | 2 +,* | 1 | 2 | N.C. | Natural log | 0.993 | 2.887 | 1.076 | 14.34, 14 | 0.425 | 2.121 |
| 1 | 1 | 1 | N.C. | Natural log | 0.993 | 2.888 | 1.081 | 102.61, 16 | 0.000 | 2.122 | |
| 1 | 1 | 0 | N.C. | Natural log | 0.993 | 2.913 | 1.110 | 1923.75, 17 | 0.000 | 2.138 | |
| S2 | 2 +,* | 1 | 3 | N.C. | Natural log | 0.993 | 1.666 | 1.697 | 17.53, 13 | 0.176 | 1.020 |
| 1 | 1 | 3 | N.C. | Natural log | 0.993 | 1.666 | 1.698 | 25.84, 14 | 0.027 | 1.021 | |
| 1 | 1 | 2 | N.C. | Natural log | 0.993 | 1.665 | 1.700 | 58.99, 15 | 0.000 | 1.021 | |
| S3 | 1 +,* | 1 | 2 | N.C. | Natural log | 0.992 | 1.146 | 1.317 | 23.38, 15 | 0.076 | 0.273 |
| 1 + | 1 | 3 | N.C. | Natural log | 0.991 | 1.147 | 1.319 | 10.75, 14 | 0.070 | 0.275 | |
| 2 + | 1 | 3 | N.C. | Natural log | 0.991 | 1.147 | 1.319 | 9.66, 13 | 0.072 | 0.276 |
| Station (AR, I, MA) | Estimate | Standard Error | t Ratio | Prob. > |t| | |
|---|---|---|---|---|---|
| S1 (2, 1, 2) | AR1 | 1.180 | 0.097 | 12.159 | <0.001 |
| AR2 | −0.284 | 0.077 | −3.701 | <0.001 | |
| MA1 | 0.917 | 0.098 | 9.390 | <0.001 | |
| MA2 | −0.148 | 0.055 | −2.712 | 0.007 | |
| S2 (2, 1, 3) | AR1 | 1.095 | 0.172 | 6.375 | <0.001 |
| AR2 | −0.209 | 0.140 | −1.493 | 0.013 | |
| MA1 | 0.856 | 0.172 | 4.980 | <0.001 | |
| MA2 | −0.115 | 0.099 | −1.163 | <0.001 | |
| MA3 | 0.019 | 0.009 | 1.968 | 0.005 | |
| S3 (1, 1, 2) | AR1 | 0.794 | 0.010 | 82.858 | <0.001 |
| MA1 | 0.556 | 0.011 | 52.273 | <0.001 | |
| MA2 | 0.042 | 0.006 | 7.292 | <0.001 | |
Publisher’s Note: MDPI stays neutral with regard to jurisdictional claims in published maps and institutional affiliations. |
© 2021 by the authors. Licensee MDPI, Basel, Switzerland. This article is an open access article distributed under the terms and conditions of the Creative Commons Attribution (CC BY) license (http://creativecommons.org/licenses/by/4.0/).
Share and Cite
Zafra, C.; Suárez, J.; Pachón, J.E. Public Health Considerations for PM10 in a High-Pollution Megacity: Influences of Atmospheric Condition and Land Coverage. Atmosphere 2021, 12, 118. https://doi.org/10.3390/atmos12010118
Zafra C, Suárez J, Pachón JE. Public Health Considerations for PM10 in a High-Pollution Megacity: Influences of Atmospheric Condition and Land Coverage. Atmosphere. 2021; 12(1):118. https://doi.org/10.3390/atmos12010118
Chicago/Turabian StyleZafra, Carlos, Joaquín Suárez, and Jorge E. Pachón. 2021. "Public Health Considerations for PM10 in a High-Pollution Megacity: Influences of Atmospheric Condition and Land Coverage" Atmosphere 12, no. 1: 118. https://doi.org/10.3390/atmos12010118
APA StyleZafra, C., Suárez, J., & Pachón, J. E. (2021). Public Health Considerations for PM10 in a High-Pollution Megacity: Influences of Atmospheric Condition and Land Coverage. Atmosphere, 12(1), 118. https://doi.org/10.3390/atmos12010118

