Harmful Effects of Ambient Nitrogen Dioxide on Atopic Dermatitis: Comparison of Exposure Assessment Based on Monitored Concentrations and Modeled Estimates
Abstract
1. Introduction
2. Methods
2.1. Study Design
2.2. Exposure Assessment of NO2
2.3. AD Symptoms
2.4. Association Analysis
3. Results
3.1. Subject Characteristics and AD Symptoms
3.2. Exposure to NO2
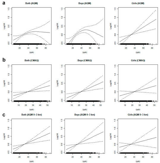
3.3. Effect of NO2 on AD Symptoms
4. Discussion
5. Conclusions
Author Contributions
Funding
Acknowledgments
Conflicts of Interest
References
- Baxter, L.K.; Dionisio, K.L.; Burke, J.; Ebelt Sarnat, S.; Sarnat, J.A.; Hodas, N.; Rich, D.Q.; Turpin, B.J.; Jones, R.R.; Mannshardt, E.; et al. Exposure prediction approaches used in air pollution epidemiology studies: Key findings and future recommendations. J. Expo. Sci. Environ. Epidemiol. 2013, 23, 654–659. [Google Scholar] [CrossRef]
- Sarnat, S.E.; Klein, M.; Peel, J.L.; Mulholland, J.; Sarnat, J.A.; Flanders, W.D.; Waller, L.A.; Tolbert, P.E. Spatial considerations in a study of ambient air pollution and cardiorespiratory emergency department visits. Epidemiology 2006, 17, S242–S243. [Google Scholar] [CrossRef]
- Bell, M.L.; Dominici, F.; Ebisu, K.; Zeger, S.L.; Samet, J.M. Spatial and temporal variation in PM(2.5) chemical composition in the United States for health effects studies. Environ. Health Perspect. 2007, 115, 989–995. [Google Scholar] [CrossRef]
- Bravo, M.A.; Fuentes, M.; Zhang, Y.; Burr, M.J.; Bell, M.L. Comparison of exposure estimation methods for air pollutants: Ambient monitoring data and regional air quality simulation. Environ. Res. 2012, 116, 1–10. [Google Scholar] [CrossRef]
- Yarza, S.; Hassan, L.; Shtein, A.; Lesser, D.; Novack, L.; Katra, I.; Kloog, I.; Novack, V. Novel approaches to air pollution exposure and clinical outcomes assessment in environmental health studies. Atmosphere 2020, 11, 122. [Google Scholar] [CrossRef]
- Byun, D.; Schere, K. Review of the governing equations, computational algorithms, and other components of the Models-3 community multiscale air quality (CMAQ) modeling system. Appl. Mech. Rev. 2006, 59, 51–77. [Google Scholar] [CrossRef]
- Ahn, K. The role of air pollutants in atopic dermatitis. J. Allergy Clin. Immunol. 2014, 134, 993–999. [Google Scholar] [CrossRef] [PubMed]
- Shaw, T.E.; Currie, G.P.; Koudelka, C.W.; Simpson, E.L. Eczema prevalence in the United States: Data from the 2003 National Survey of Children's Health. J. Investig. Dermatol. 2011, 131, 67–73. [Google Scholar] [CrossRef] [PubMed]
- Williams, H.; Stewart, A.; von Mutius, E.; Cookson, W.; Anderson, H.R. International Study of Asthma; Allergies in Childhood Phase; One Three Study Groups. Is eczema really on the increase worldwide? J. Allergy Clin. Immunol. 2008, 121, 947–954. [Google Scholar] [CrossRef]
- Altug, H.; Gaga, E.O.; Dogeroglu, T.; Ozden, O.; Ornektekin, S.; Brunekreef, B.; Meliefste, K.; Hoek, G.; Van Doorn, W. Effects of air pollution on lung function and symptoms of asthma, rhinitis and eczema in primary school children. Environ. Sci. Pollut. Res. Int. 2013, 20, 6455–6467. [Google Scholar] [CrossRef]
- Sole, D.; Camelo-Nunes, I.C.; Wandalsen, G.F.; Pastorino, A.C.; Jacob, C.M.; Gonzalez, C.; Wandalsen, N.F.; Rosario Filho, N.A.; Fischer, G.B.; Naspitz, C.K. Prevalence of symptoms of asthma, rhinitis, and atopic eczema in Brazilian adolescents related to exposure to gaseous air pollutants and socioeconomic status. J. Investig. Allergol. Clin. Immunol. 2007, 17, 6–13. [Google Scholar] [PubMed]
- Kim, J.; Kim, E.H.; Oh, I.; Jung, K.; Han, Y.; Cheong, H.K.; Ahn, K. Symptoms of atopic dermatitis are influenced by outdoor air pollution. J. Allergy Clin. Immunol. 2013, 132, 495–498. [Google Scholar] [CrossRef] [PubMed]
- Kim, Y.M.; Kim, J.; Han, Y.; Lee, B.J.; Choi, D.C.; Cheong, H.K.; Jeon, B.H.; Oh, I.; Bae, G.N.; Lee, J.Y.; et al. Comparison of diverse estimation methods for personal exposure to air pollutants and associations with allergic symptoms: The Allergy & Gene-Environment Link (ANGEL) study. Sci. Total Environ. 2017, 579, 1127–1136. [Google Scholar]
- Eberlein-Konig, B.; Przybilla, B.; Kuhnl, P.; Pechak, J.; Gebefugi, I.; Kleinschmidt, J.; Ring, J. Influence of airborne nitrogen dioxide or formaldehyde on parameters of skin function and cellular activation in patients with atopic eczema and control subjects. J. Allergy Clin. Immunol. 1998, 101, 141–143. [Google Scholar] [CrossRef]
- Ji, H.; Li, X.K. Oxidative Stress in Atopic Dermatitis. Oxid. Med. Cell. Longev. 2016, 2016, 2721469. [Google Scholar] [CrossRef] [PubMed]
- Penard-Morand, C.; Raherison, C.; Charpin, D.; Kopferschmitt, C.; Lavaud, F.; Caillaud, D.; Annesi-Maesano, I. Long-term exposure to close-proximity air pollution and asthma and allergies in urban children. Eur. Respir. J. 2010, 36, 33–40. [Google Scholar] [CrossRef]
- Kathuria, P.; Silverberg, J.I. Association of pollution and climate with atopic eczema in US children. Pediatr. Allergy Immunol. 2016, 27, 478–485. [Google Scholar] [CrossRef]
- Kim, M.; Kim, Y.M.; Lee, J.Y.; Yang, H.K.; Kim, H.; Cho, J.; Ahn, K.; Kim, J. Seasonal variation and monthly patterns of skin symptoms in Korean children with atopic eczema/dermatitis syndrome. Allergy Asthma Proc. 2017, 38, 294–299. [Google Scholar] [CrossRef]
- Byun, D.; Ching, J.K.S. Science Algorithms of the EPA Models-3 Community Multiscale Air Quality (CMAQ) Modeling System; EPA-600/R99/030; Office of Research and Development, U.S. EPA.: Washington, DC, USA, 1999. [Google Scholar]
- Skamarock, W.C.; Klemp, J.B.; Dudhia, J.; Gill, D.O.; Barker, D.M.; Duda, M.G.; Huang, X.Y.; Wand, W.; Powers, J.G. A Description of the Advanced Research WRF Version 3 (No. NCAR/TN-475+STR); University Corporation for Atmospheric Research: Boulder, CO, USA, 2008. [Google Scholar]
- National Institute of Environmental Research (NIER). Studies on the Optimization Method for Improving the Accuracy of Air Quality Modeling; NIER-SP2013-210; National Institute of Environmental Research (NIER): Incheon, Korea, 2013. [Google Scholar]
- Zhang, Q.; Streets, D.G.; Carmichael, G.R.; He, K.; Huo, H.; Kannari, A.; Klimont, Z.; Park, I.; Reddy, S.; Fu, J.S.; et al. Asian emissions in 2006 for the NASA INTEX-B mission. Atmos. Chem. Phys. Discuss 2009, 9, 5131–5153. [Google Scholar] [CrossRef]
- National Institute of Environmental Research (NIER). National Air Pollutants Emission; NIER-GP2014-392; National Institute of Environmental Research (NIER): Incheon, Korea, 2014. [Google Scholar]
- Cater, W.P.L. Documentation of the SAPRC-99 chemical mechanism for VOC reactivity assessment. Final Report to California Air Resources Board. Univ. Calif. Riverside 2000, 8, 92–329. [Google Scholar]
- Carlton, A.G.; Bhave, P.V.; Napelenok, S.L.; Edney, E.O.; Sarwar, G.; Pinder, R.W.; Pouliot, G.A.; Houyoux, M. Model representation of secondary organic aerosol in CMAQv4.7. Environ. Sci. Technol. 2010, 44, 8553–8560. [Google Scholar] [CrossRef] [PubMed]
- Hanifin, J.; Rajka, G. Diagnostic features of atopic dermatitis. Acta. Derm. Venereol. 1980, 92, 44–47. [Google Scholar]
- European Task Force on Atopic Dermatitis. Severity scoring of atopic dermatitis: The SCORAD index. Consensus Report of the European Task Force on Atopic Dermatitis. Dermatology 1993, 186, 23–31. [Google Scholar] [CrossRef] [PubMed]
- Lee, J.Y.; Kim, M.; Yang, H.K.; Kim, H.M.; Cho, J.; Kim, Y.M.; Lim, I.S.; Cheong, H.K.; Kim, H.S.; Sohn, I.; et al. Reliability and validity of the Atopic Dermatitis Symptom Score (ADSS). Pediatr. Allergy Immunol. 2018, 29, 290–295. [Google Scholar] [CrossRef] [PubMed]
- Kim, Y.M.; Kim, J.; Han, Y.; Jeon, B.H.; Cheong, H.K.; Ahn, K. Short-term effects of weather and air pollution on atopic dermatitis symptoms in children: A panel study in Korea. PLoS ONE 2017, 12, e0175229. [Google Scholar] [CrossRef] [PubMed]
- Breslow, N.E.; Clayton, D.G. Approximate inference in generalized linear mixed models. J. Am. Statist. Assoc. 1993, 88, 9–25. [Google Scholar]
- Carey, M.A.; Card, J.W.; Voltz, J.W.; Arbes, S.J., Jr.; Germolec, D.R.; Korach, K.S.; Zeldin, D.C. It’s all about sex: Gender, lung development and lung disease. Trends Endocrinol. Metab. 2007, 18, 308–313. [Google Scholar] [CrossRef]
- US Environmental Protection Agency (USEPA). Exposure Factors Handbook; National Center for Environmental Assessment: Washington, DC, USA, 2011. [Google Scholar]
- Arbuckle, T.E. Are there sex and gender differences in acute exposure to chemicals in the same setting? Environ. Res. 2006, 101, 195–204. [Google Scholar] [CrossRef]
- Meibohm, B.; Beierle, I.; Derendorf, H. How important are gender differences in pharmacokinetics? Clin. Pharmacokinet. 2002, 41, 329–342. [Google Scholar] [CrossRef]
- Fish, E.N. The X-files in immunity: Sex-based differences predispose immune responses. Nat. Rev. Immunol. 2008, 8, 737–744. [Google Scholar] [CrossRef]
- Uekert, S.J.; Akan, G.; Evans, M.D.; Li, Z.; Roberg, K.; Tisler, C.; Dasilva, D.; Anderson, E.; Gangnon, R.; Allen, D.B.; et al. Sex-related differences in immune development and the expression of atopy in early childhood. J. Allergy Clin. Immunol. 2006, 118, 1375–1381. [Google Scholar] [CrossRef] [PubMed]
- Han, K.M.; Lee, C.K.; Lee, J.; Kim, J.; Song, C.H. A comparison study between model-predicted and OMI-retrieved tropospheric NO2 columns over the Korean peninsula. Atmos. Environ. 2011, 45, 2962–2971. [Google Scholar] [CrossRef]
- Han, K.M.; Song, C.H.; Ahn, H.J.; Park, R.S.; Woo, J.H.; Lee, C.K.; Richter, A.; Burrows, J.P.; Kim, J.Y.; Hong, J.H. Investigation of NOx emissions and NOx related chemistry in East Asia using CMAQ-predicted and GOME-derived NO2 columns. Atmos. Chem. Phys. Discuss 2009, 9, e1017–e1036. [Google Scholar] [CrossRef]
- Lee, J.Y.; Ryu, S.H.; Kim, C.; Bae, G.N. Indoor-to-outdoor pollutant concentration ratio modeling of CO2, NO2, and lung-deposited nanoparticles. Atmos. Pollut. Res. 2016, 7, 664–670. [Google Scholar] [CrossRef]




| Characteristics | Total | Males | Females | p-Value a |
|---|---|---|---|---|
| No. of subjects | 128 | 78 (60.9%) | 50 (39.1%) | |
| Age (year) b | 1.9 ±1.6 | 1.8 ± 1.5 | 2.1 ± 1.7 | 0.230 |
| SCORAD at enrollment b,c | 30.0 ± 11.0 | 30.6 ± 11.6 | 29.2 ± 10.8 | 0.502 |
| Presence of fever (%) | 3.8 | 3.4 | 4.6 | 0.010 |
| Use of TCS (%) d | 54.1 | 56.6 | 49.9 | <0.0001 |
| Presence of AD symptoms (%) e | 44.0 | 48.7 | 36.0 | <0.0001 |
| No. of records (person-days) | 8392 | 5300 (63.2%) | 3092 (36.8%) |
| Distance a | No. (Person-Days) | AQM (ppb) b | CMAQ (ppb) c |
|---|---|---|---|
| All | 8392 | 31.5 ± 13.3 | 22.5 ± 8.7 |
| ≤1 km | 1252 | 30.2 ± 12.9 | 20.5 ± 7.8 |
| 1–2 km | 3507 | 31.9 ± 12.7 | 22.5 ± 8.7 |
| 2–3 km | 2127 | 31.4 ± 13.3 | 24.0 ± 8.8 |
| 0–3 km | 1506 | 31.5 ± 13.0 | 22.6 ± 8.7 |
| >3 km | 6886 | 31.5 ± 14.7 | 22.0 ± 8.6 |
| Distance a | AQM b (% Change (95% CI)) | CMAQ c (% Change (95% CI)) |
|---|---|---|
| All | 10.28 (3.24, 17.79) * | 13.78 (3.49, 25.09) * |
| ≤1 km | 32.79 (7.02, 64.75) * | 46.84 (44.18, 49.54) * |
| 1–2 km | 6.60 (−2.87, 17.00) | 4.80 (−7.88, 19.22) |
| 2–3 km | 29.15 (10.39, 51.11) * | 29.67 (2.64, 63.81) * |
| 0–3 km | 14.21 (6.03, 23.03) * | 13.88 (2.56, 26.46) * |
| >3 km | −3.76 (−5.66, −1.83) * | 13.65 (11.29, 16.06) * |
| Lag Time b | AQM c (% Change (95% CI)) | CMAQ d (% Change (95% CI)) | |
|---|---|---|---|
| Both | LAG0 | 14.21 (6.03, 23.03) * | 13.88 (2.56, 26.46) * |
| LAG1 | 12.96 (5.28, 21.21) * | 13.06 (2.27, 24.99) * | |
| LAG2 | 5.92 (−1.29, 13.66) | 8.51 (−2.03, 20.18) | |
| LAG3 | 3.14 (−4.08, 10.92) | 0.42 (−9.80, 11.80) | |
| LAG4 | 4.67 (−2.62, 12.51) | 0.45 (−9.58, 11.59) | |
| LAG5 | 2.22 (−4.79, 9.75) | 2.43 (−7.58, 13.53) | |
| Males | LAG0 | 17.48 (6.55, 29.54) * | 18.92 (3.90, 36.11) * |
| LAG1 | 20.17 (9.27, 32.15) * | 20.68 (5.51, 38.03) * | |
| LAG2 | 8.43 (−1.36, 19.20) | 16.41 (1.72, 33.20) * | |
| LAG3 | 4.07 (−5.58, 14.71) | 1.33 (−12.10, 16.80) | |
| LAG4 | 5.38 (−4.42, 16.19) | 4.34 (−9.18, 19.87) | |
| LAG5 | 4.49 (−5.10, 15.06) | 8.56 (−5.59, 24.84) | |
| Females | LAG0 | 9.56 (−2.10, 22.61) | 7.44 (−8.78, 26.53) |
| LAG1 | 4.59 (−5.91, 16.25) | 5.33 (−9.97, 23.23) | |
| LAG2 | 2.81 (−7.58, 14.37) | 0.44 (−14.33, 17.77) | |
| LAG3 | 2.09 (−8.52, 13.93) | 0.52 (−14.77, 18.55) | |
| LAG4 | 3.65 (−6.92, 15.43) | −3.72 (−18.17, 13.28) | |
| LAG5 | −0.71 (−10.64, 10.33) | −4.91 (−18.76, 11.30) |
| Symptom | % Change (95% CI) |
|---|---|
| Itching | 2.53 (0.50, 4.60) * |
| Sleep disturbance | 3.62 (1.05, 6.26) * |
| Erythema | 0.45 (−1.62, 2.56) |
| Dryness | 1.84 (−0.37, 4.09) |
| Edema | 1.96 (−1.67, 5.72) |
| Oozing | −9.11 (−15.29, −2.47) |
© 2020 by the authors. Licensee MDPI, Basel, Switzerland. This article is an open access article distributed under the terms and conditions of the Creative Commons Attribution (CC BY) license (http://creativecommons.org/licenses/by/4.0/).
Share and Cite
Kim, Y.-M.; Oh, I.; Kim, J.; Kang, Y.-H.; Ahn, K. Harmful Effects of Ambient Nitrogen Dioxide on Atopic Dermatitis: Comparison of Exposure Assessment Based on Monitored Concentrations and Modeled Estimates. Atmosphere 2020, 11, 921. https://doi.org/10.3390/atmos11090921
Kim Y-M, Oh I, Kim J, Kang Y-H, Ahn K. Harmful Effects of Ambient Nitrogen Dioxide on Atopic Dermatitis: Comparison of Exposure Assessment Based on Monitored Concentrations and Modeled Estimates. Atmosphere. 2020; 11(9):921. https://doi.org/10.3390/atmos11090921
Chicago/Turabian StyleKim, Young-Min, Inbo Oh, Jihyun Kim, Yoon-Hee Kang, and Kangmo Ahn. 2020. "Harmful Effects of Ambient Nitrogen Dioxide on Atopic Dermatitis: Comparison of Exposure Assessment Based on Monitored Concentrations and Modeled Estimates" Atmosphere 11, no. 9: 921. https://doi.org/10.3390/atmos11090921
APA StyleKim, Y.-M., Oh, I., Kim, J., Kang, Y.-H., & Ahn, K. (2020). Harmful Effects of Ambient Nitrogen Dioxide on Atopic Dermatitis: Comparison of Exposure Assessment Based on Monitored Concentrations and Modeled Estimates. Atmosphere, 11(9), 921. https://doi.org/10.3390/atmos11090921

