The Distribution of Aircraft Icing Accretion in China—Preliminary Study
Abstract
1. Introduction
2. Materials and Methods
2.1. Materials
2.2. Icing Index
2.3. Interpolation Method and Software Implementation
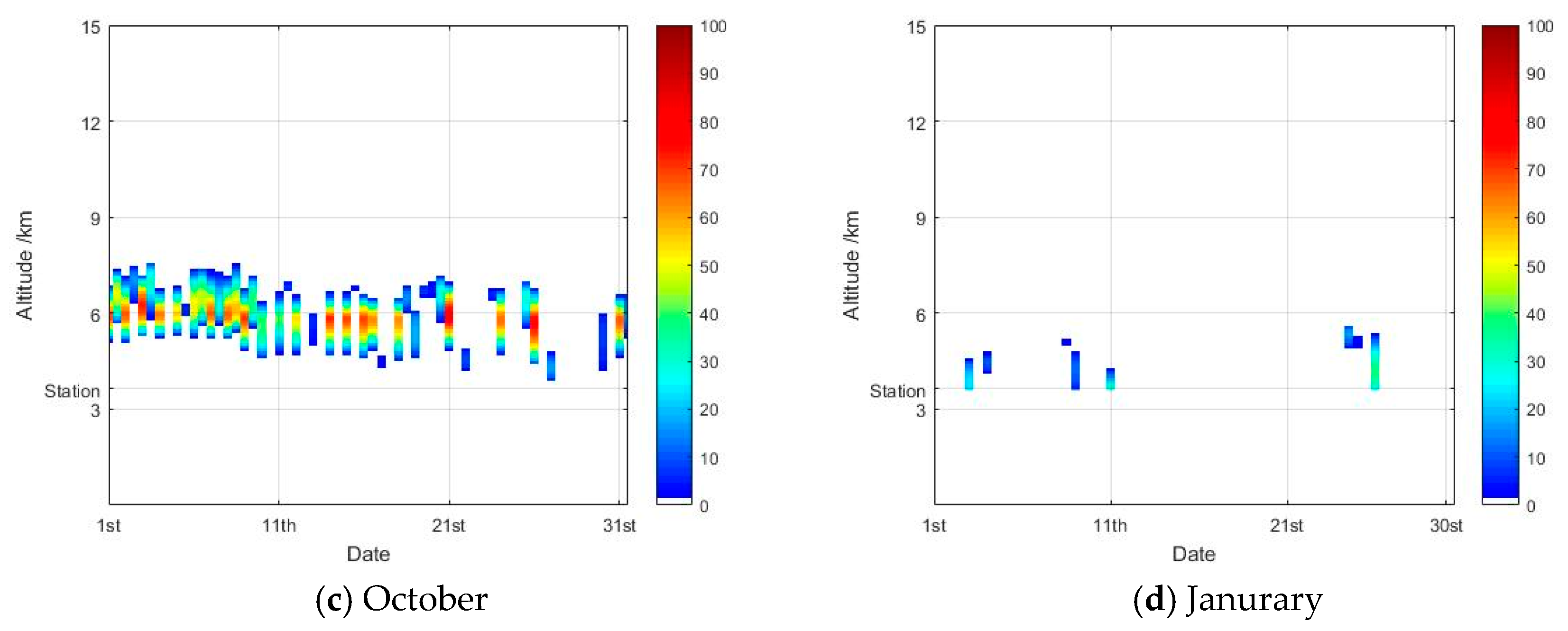
3. Seasonal Distribution of Icing Index
4. Impact of Rainfall and Snowfall on Icing Index
4.1. Rainfall Process
4.2. Snowfall Process
5. Discussion
5.1. Icing Index Distribution
- (1)
- In general, according to the distribution of icing in the four seasons, the threat of icing in spring is the weakest, mostly distributed almost 3–6 km, with slight icing mainly. The height of icing in summer is increased and relatively stable. The situation is similar in autumn and spring. The icing altitude in winter is mostly close to the ground, and severe icing may occur in Southeast China.
- (2)
- For the same icing climatic region in Figure 1, the icing altitude range and intensity at near-ocean stations are larger and stronger than those at inland stations. A possible reason for this result is that a large amount of liquid water might be present in the low and hollow altitude due to the high humidity in the near-ocean area. At the same time, the existence of the sea-land breeze and the influence of multi-scale weather processes make the duration of icing unstable. In relative terms, the higher altitude of stations in the inland corresponds to a more stable temperature and LWC environment.
- (3)
- For the same site, great differences occur in the distribution of icing in different seasons. The reason for this result is that most areas in East China are affected by the monsoon. Therefore, the moisture content contained in the monsoon inevitably leads to different LWC. In addition, China has a vast territory, complex terrain, and temperature difference between winter and summer is large in most areas. Different temperatures and vapor environments in the four seasons create various icing distributions.
5.2. The Impact of Weather Processes
- (1)
- During the summer rainfall in Northeast China, the temperature is relatively high and there is no change before and after the rainfall. However, the obvious drop in RH reduces LWC in the air, causes the possibility of icing is weakened or even disappeared. The data volume in this area has a small number of altitude grid points, so it is difficult to judge the lifting condensation level based on the inversion layer, to accurately judge the cloud height. However, combined with the previous analysis, because the icing area is similar to the rainfall estimation area calculated by satellite data, it is possible that the icing here is related to the cloud, but this conclusion needs further verification.
- (2)
- The change of temperature and humidity in the snowfall process in East China in winter has obvious cold front transit characteristics. The confluence of warm and cold flow in front of the cold front caused snowfall. The ground temperature was slightly below 0 °C, the humidity was high, and there was a lot of liquid water at low altitude, which was likely to cause the aircraft to freeze. When the snow has melted, the cold front has completely passed, and the dry and cold air occupies the height of the original warm and humid air. Therefore, there has been a significant cooling, and the humidity has dropped significantly. The liquid water in the air has been consumed and the aircraft is not easy to freeze.
- (3)
- After the process of rainfall and snowfall, the temperature and RH decreased. A decrease in RH will inevitably cause a decrease in the icing index, and even icing may not occur. However, a decrease in temperature does not necessarily bring about a decrease in icing index: (1) if it just drops below 0 °C, it may be more conducive to the appearance of super-cooled water and increase LWC, to increase icing possibility. (2) If the temperature drops below −20 °C or even lower, LWC will decrease and icing possibility will decrease. (3) The temperature drops stably at each level will bring the 0 °C level downward, which will reduce the altitude of the icing area.
6. Conclusions
- (1)
- The distribution of icing varies greatly in different regions, seasons, and altitude. This phenomenon comes from differences in temperature and cloud microphysical characteristics such as LWC and MVD by different environments. The icing index calculated by temperature and relative humidity can effectively reflect this.
- (2)
- Before the summer rainfall in Northeast China, icing is prone to occur at altitudes of 4 km to 6 km, and the intensity of icing may be related to precipitation estimation. Snow on the ground in winter in East China is likely to cause low-altitude icing and its intensity may be serious. However, when the rainfall and snowfall process is over, the LWC in the air is decreased, and the threat of icing is significantly reduced. This feature is helpful for early warning of icing for the take-off and landing of transport aircraft and the flight of general aviation.
- (3)
- Ideas for further research: the above conclusions can qualitative analysis and a theoretical basis for the prediction of aircraft icing and improvement in flight safety. Considering the limitations of the interpolation method, additional station information and detailed meteorological data are required for further verification of the conclusion of this paper, as well as actual flight testing, if necessary.
Author Contributions
Funding
Acknowledgments
Conflicts of Interest
References
- Cole, J.; Sand, W. Statistical study of aircraft icing accidents. In Proceedings of the 29th Aerospace Science Meeting, Reno, NV, USA, 7–10 January 1991; American Institute of Aeronautics: Washington, DC, USA, 1991. [Google Scholar] [CrossRef]
- Lilly, J.; Fabry, F. Detection of in-flight icing conditions through the analysis of hydrometeors with a vertically pointing radar, In Proceedings of the 11th Conference on Aviation, Range and Aerospace Meteorology, Hyannis, MA, USA, 4–8 October 2004.
- Reehorst, A.L.; Brinker, D.J.; Ratvasky, T.P. The NASA Icing Remote Sensing System; NASA/TM 2005-213591; NASA Glenn Research Center: Cleveland, OH, USA, 2005.
- Hauf, T.; Schroder, F. Aircraft icing research flights in embedded convention. Meteorol. Atmos. Phys. 2006, 91, 247–265. [Google Scholar] [CrossRef]
- Bernstein, B.C.; Omeron, T.A.; McDonough, F.; Politovich, M.K. The relationship between aircraft icing and synoptic-scale weather conditions. Weather Forecast. 1997, 12, 742–762. [Google Scholar] [CrossRef]
- Thompson, G.; Bruintjes, R.T.; Brown, B.G.; Hage, F. Intercomparison of In-Flight Icing Algorithms. Part I: WISP94 Real-Time Icing Prediction and Evaluation Program. Weather Forecast. 1997, 12, 878–889. [Google Scholar] [CrossRef]
- Pazmany, A.L.; Mead, S.J.B.; McLaughlin, D.J. Multi-Frequency Radar Estimation of Cloud and Precipitation Properties Using an Artificial Neural Network. In Proceedings of the 30th International Conference on Radar Meteorology, Munich, Germany, 19–24 July 2001; pp. 154–156. [Google Scholar]
- Bernstein, B.C.; McDonough, F.; Politovich, M.K.; Brown, B.G.; Ratvasky, T.P.; Miller, D.R.; Wolff, C.A.; Cunning, G. Current Icing Potential: Algorithm Description and Comparison with Aircraft Observations. J. Appl. Meteorol. 2005, 44, 969–986. [Google Scholar] [CrossRef]
- Broeren, A.P.; La Marre, C.M.; Bragg, M.B. Characteristics of SLD Ice Accretions on Airfoils and Their Aerodynamic Effects; AIAA: Reston, VA, USA, 2005. [Google Scholar]
- Tsao, J.C.; David, N.A. Latest Developments in SLD Scaling; AIAA: Reston, VA, USA, 2005. [Google Scholar]
- Eugene, G.H. Overview of Federal Aviation Administration Aviation Safety Research for Aircraft Icing; AIAA: Reston, VA, USA, 2006. [Google Scholar]
- Bernstein, B.C.; Le Bot, C. An Inferred Climatology of Icing Conditions Aloft, Including Supercooled Large Drops. Part II: Europe, Asia, and the Globe. J. Appl. Meteorol. Clim. 2009, 48, 1503–1526. [Google Scholar] [CrossRef]
- Pierre, B. Experimental Study of Supercooled Lagre Droplets Impact in an Icing Wind Tunnel; AIAA: Reston, VA, USA, 2012. [Google Scholar]
- Schults, P.; Politovich, M.K. Toward the improvement of aircraft-icing forecasts for the continental United States. Weather Forecast. 1992, 7, 491–500. [Google Scholar] [CrossRef]
- Bernstein, B.C.; Wolff, C.A.; McDonough, F. An Inferred Climatology of Icing Conditions Aloft, Including Supercooled Large Drops. Part I: Canada and the Continental United States. J. Appl. Meteorol. Clim. 2007, 46, 1857–1878. [Google Scholar] [CrossRef]
- Cooper, W.A.; Sand, W.R.; Politovich, M.K.; Veal, D.L. Effects of icing on performance of research aircraft. J. Aircr. 1984, 21, 708–715. [Google Scholar] [CrossRef]
- Sand, W.R.; Cooper, W.A.; Politovich, M.K.; Veal, D.L. Icing conditions encountered by a research aircraft. J. Clim. Appl. Meteorol. 1984, 23, 1427–1440. [Google Scholar] [CrossRef]
- Politovich, M.K. Aircraft icing caused by larger supercooled droplets. J. Appl. Meteorol. 1989, 28, 856–868. [Google Scholar] [CrossRef]
- Cober, S.G.; Isszc, G.A. Estimating maximum aircraft icing environment using a large database of in-situ observation. In Proceedings of the 44th AIAA Aerospace Science Meeting and Exhibit, Reno, NV, USA, 9–12 January 2006; AIAA: Reston, VA, USA, 2006. [Google Scholar]
- Gultepe, I.; Agelin-Chaab, M.; Komar, J.; Elfström, G.; Boudala, F.; Zhou, B. A Meteorological Supersite for Aviation and Cold Weather Applications. Pure Appl. Geophys. 2018, 176, 1977–2015. [Google Scholar] [CrossRef]
- Federal Aviation Administration. Part 25—Airworthiness Standards: Transport Category Airplanes. Available online: https://www.ecfr.gov/cgi-bin/ECFR?page=browse (accessed on 9 June 2020).
- Cao, Y.; Tan, W.; Wu, Z. Aircraft icing: An ongoing threat to aviation safety. Aerosp. Sci. Technol. 2018, 75, 353–385. [Google Scholar] [CrossRef]
- Merino, A.; García-Ortega, E.; Fernández-González, S.; Díaz-Fernández, J.; Quitián-Hernández, L.; Martín, M.L.; López, L.; Marcos-Menéndez, J.L.; Valero, F.; Sánchez, J.L. Aircraft Icing: In-Cloud Measurements and Sensitivity to Physical Parameterizations. Geophys. Res. Lett. 2019, 46, 11559–11567. [Google Scholar] [CrossRef]
- Hai, L.; Miaoxin, X.; Chong, W.; Yaokui, H.; Shouxiang, Z. Ground-based Remote Sensing of LWC in Cloud and Rainfall by a Combined Dual-wavelength Radar-Rsdiometer System. Adv. Atmos. Sci. 1985, 2, 93–103. [Google Scholar] [CrossRef]
- Maier, F.; Bendix, J.; Thies, B. Simulating Z–LWC Relations in Natural Fogs with Radiative Transfer Calculations for Future Application to a Cloud Radar Profiler. Pure Appl. Geophys. 2011, 169, 793–807. [Google Scholar] [CrossRef]
- Tang, F.; Zou, X. Liquid water path retrieval using the lowest frequency channels of Fengyun-3C Microwave Radiation Imager (MWRI). J. Meteorol. Res. 2017, 31, 1109–1122. [Google Scholar] [CrossRef]
- Wang, J.; Ge, J.; Zhang, Q.; Fan, P.; Wei, M.; Li, X. Study of aircraft icing warning algorithm based on millimeter wave radar. J. Meteorol. Res. 2017, 31, 1034–1044. [Google Scholar] [CrossRef]
- Gultepe, I.; Sharman, R.; Williams, P.D.; Zhou, B.; Ellrod, G.; Minnis, P.; Trier, S.; Griffin, S.; Yum, S.S.; Gharabaghi, B.; et al. A Review of High Impact Weather for Aviation Meteorology. Pure Appl. Geophys. 2019, 176, 1869–1921. [Google Scholar] [CrossRef]
- Zhu, Z.; Lamer, K.; Kollias, P.; Clothiaux, E.E. The Vertical Structure of Liquid Water Content in Shallow Clouds as Retrieved From Dual-Wavelength Radar Observations. J. Geophys. Res. Atmos. 2019, 124, 14184–14197. [Google Scholar] [CrossRef]
- Xin-dong, C.; Zhi-gang, Y.; Zeng-liang, Z.; Min-wei, W.; Chun-hui, F.; Tao, S. Comparison of Liquid Water Content Retrievals for Airborne Millimeter-Wave Radar with Different Particle Parameter Schemes. J. Trop. Meteorol. 2020, 26, 188–198. [Google Scholar] [CrossRef]
- Thompson, G.; Politovich, M.K.; Rasmussen, R.M. A Numerical Weather Model’s Ability to Predict Characteristics of Aircraft Icing Environments. Weather Forecast. 2017, 32, 207–221. [Google Scholar] [CrossRef]
- Forbes, G.S.; Hu, Y.; Brown, B.G.; Bernstein, B.C.; Politovich, M.K. Examination of Conditions in the Proximity of Pilotreports of Icing during STORM-FEST. In Proceedings of the Fifth International Conference on Aviation Weather Systems, Vienna, Virginia, 2–6 August 1993; AMS: Vienna, Virginia, 1993; pp. 282–286. [Google Scholar]
- Kelsch, M.; Wharton, L. Comparing PIREPs with NAWAU turbulence and icing forecast: Issues and results. Weather Forecast. 1996, 11, 385–390. [Google Scholar] [CrossRef]
- McDonough, F.; Bernstein, B.; Politovich, M.; Wolff, C. The Forecast Icing Potential Algorithm. In Proceedings of the 51st AIAA Aerospace Sciences Meeting and Exhibit, Grapevine, TX, USA, 7–10 January 2013. [Google Scholar]
- Sim, S.; Im, J.; Park, S.; Park, H.; Ahn, M.-H.; Chan, P.W. Icing Detection over East Asia from Geostationary Satellite Data Using Machine Learning Approaches. Remote Sens. 2018, 10, 631. [Google Scholar] [CrossRef]
- Boudala, F.; Isaac, G.A.; Wu, D. Aircraft Icing Study Using Integrated Observations and Model Data. Weather Forecast. 2019, 34, 485–506. [Google Scholar] [CrossRef]
- Xu, M.; Thompson, G.; Adriaansen, D.R.; Landolt, S.D. On the Value of Time-Lag-Ensemble Averaging to Improve Numerical Model Predictions of Aircraft Icing Conditions. Weather Forecast. 2019, 34, 507–519. [Google Scholar] [CrossRef]
- Bowyer, R.L.; Gill, P.G. Objective verification of global in-flight icing forecasts using satellite observations: Verification of WAFS icing forecasts using satellite observations. Meteorol. Appl. 2019, 26, 610–619. [Google Scholar] [CrossRef]
- Hu, Y.X.; Winker, D.; Yang, P.; Baum, B.; Poole, L.; Vann, L. Identification of cloud phase from PICASSO CENA lidar depolarization: A multiple scattering sensitivity study. J. Quant. Spectrosc. Radiat. Transf. 2001, 70, 569–579. [Google Scholar] [CrossRef]
- Wang, Z.E.; Sassen, K. Cloud type and macrophysical property retrieval using multiple remote sensors. J. Appl. Meteorol. 2001, 40, 1665–1682. [Google Scholar] [CrossRef]
- Turner, D.D.; Clough, S.A.; Liljegren, J.C.; Clothiaux, E.E.; Cady-Pereira, K.E.; Gaustad, K.L. Retrieving liquid water path and precipitable water vapor from the atmospheric radiation measurement (ARM) microwave radiometers. IEEE Trans. Geosci. Remote Sens. 2007, 45, 3680–3690. [Google Scholar] [CrossRef]
- Reisner, J.; Rasmussen, R.M.; Bruintjes, R.T. Explicit forecasting of supercooled liquid water storms using the MM5 mesoscale model. Q. J. R. Meteor. Soc. 1998, 124, 1071–1107. [Google Scholar] [CrossRef]
- Dillingham, G. Aviation Safety: Icing and Winter Weather-Related Recommendations that NTSB Has Issued Since 1996 (GAO-10-679SP), an E-supplement to (GAO-10-678); Government Accountability Office: Washington DC, USA, 2010.
- Wang, X.W.; Zhang, J.; Wang, S. Climatic characteristics of aircraft icing in China. Meteorol. Sci. 2002, 3, 93–100. (In Chinese) [Google Scholar]
- Yang, C. Prediction of Aircraft Icing Based on Reanalysis Data. Master’s Thesis, Civil Aviation Flight University of China, Guanghan, China, 2017. (In Chinese). [Google Scholar]
- Wang, H.D. Prediction Method of Aircraft Icing and Characteristics of Route Distribution. Master’s Thesis, Civil Aviation Flight University of China, Guanghan, China, 2018. (In Chinese). [Google Scholar]
- Huang, Y.F. Aerometeorology, 2nd ed.; Southwest Jiaotong University Press: Chengdu, China, 2011. (In Chinese) [Google Scholar]
- Liu, F.L.; Sun, L.T.; Li, S.J. Study on diagnostic prediction method of aircraft icing. Meteorol. Environ. Sci. 2011, 34, 26–30. (In Chinese) [Google Scholar]




















© 2020 by the authors. Licensee MDPI, Basel, Switzerland. This article is an open access article distributed under the terms and conditions of the Creative Commons Attribution (CC BY) license (http://creativecommons.org/licenses/by/4.0/).
Share and Cite
Wang, J.; Xie, B.; Cai, J. The Distribution of Aircraft Icing Accretion in China—Preliminary Study. Atmosphere 2020, 11, 876. https://doi.org/10.3390/atmos11080876
Wang J, Xie B, Cai J. The Distribution of Aircraft Icing Accretion in China—Preliminary Study. Atmosphere. 2020; 11(8):876. https://doi.org/10.3390/atmos11080876
Chicago/Turabian StyleWang, Jinhu, Binze Xie, and Jiahan Cai. 2020. "The Distribution of Aircraft Icing Accretion in China—Preliminary Study" Atmosphere 11, no. 8: 876. https://doi.org/10.3390/atmos11080876
APA StyleWang, J., Xie, B., & Cai, J. (2020). The Distribution of Aircraft Icing Accretion in China—Preliminary Study. Atmosphere, 11(8), 876. https://doi.org/10.3390/atmos11080876

