Statistical Analysis of the CO2 and CH4 Annual Cycle on the Northern Plateau of the Iberian Peninsula
Abstract
1. Introduction
2. Materials and Methods
2.1. Experimental Description
2.2. Statistics
2.3. The lag-1 Autocorrelation as a Randomness Indicator
2.4. Harmonic Composition
3. Results
3.1. Evolution of Monthly Percentiles
3.2. Lag-1 Autocorrelation
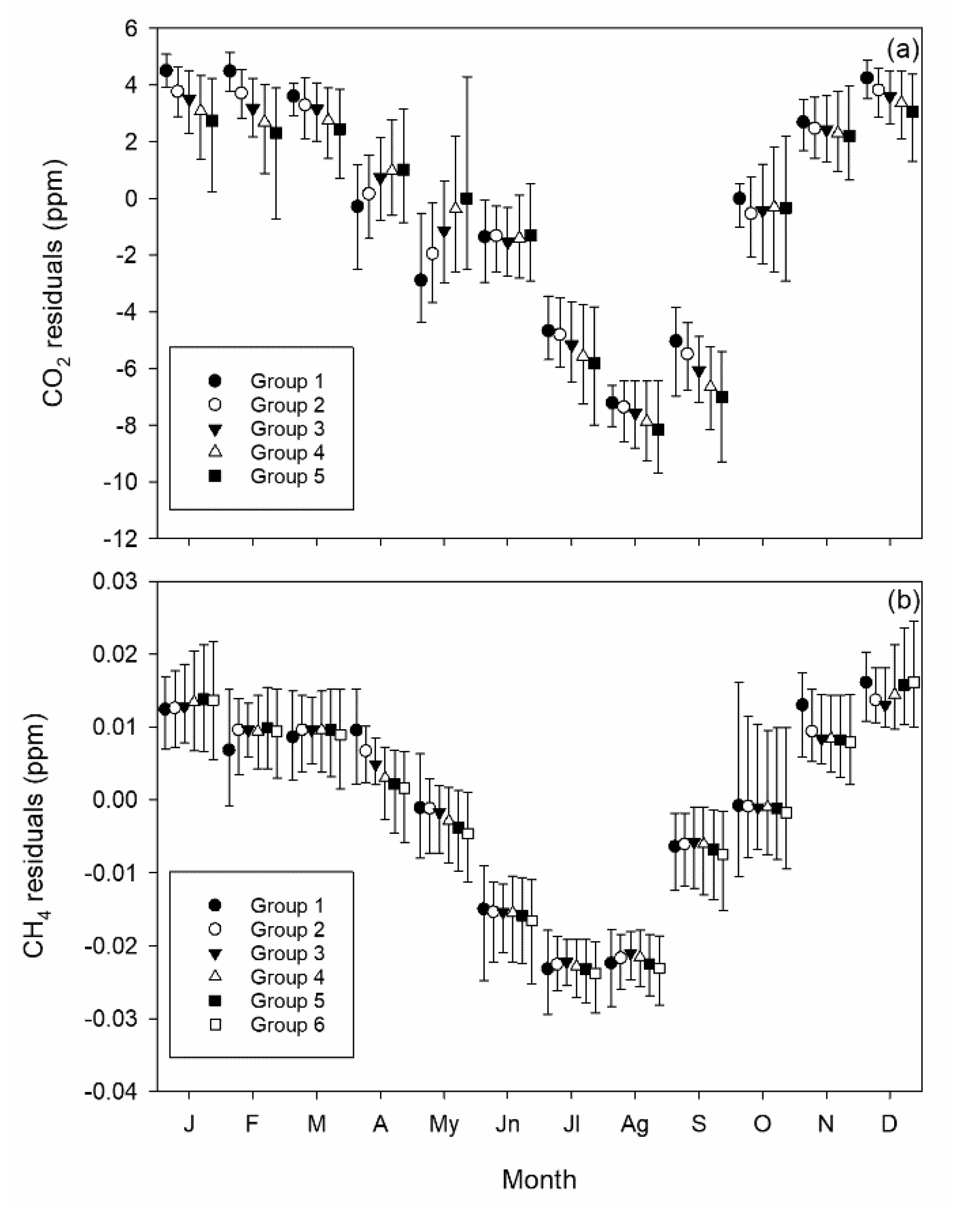
3.3. Annual Cycle
4. Discussion
4.1. Observations and Outliers
4.2. Annual Trend
4.3. Harmonic Analysis
4.4. Annual Cycle
5. Conclusions
Author Contributions
Funding
Conflicts of Interest
References
- Fang, S.X.; Zhou, L.X.; Masarie, K.A.; Xu, L.; Rella, C.W. Study of atmospheric CH4 mole fractions at three WMO/GAW stations in China. J. Geophys. Res. Atmos. 2013, 11, 4874–4886. [Google Scholar] [CrossRef]
- Imasu, R.; Tanabe, Y. Diurnal and seasonal variations of carbon dioxide (CO2) concentration in urban, suburban, and rural areas around Tokyo. Atmosphere 2018, 9, 367. [Google Scholar] [CrossRef]
- Liu, L.; Zhou, L.; Zhang, X.; Wen, M.; Zhang, F.; Yao, B.; Fang, S. The characteristics of atmospheric CO2 concentration variation of four national background stations in China. Sci. China Ser. D-Earth Sci. 2009, 52, 1857–1863. [Google Scholar] [CrossRef]
- Liu, L.X.; Zhou, L.X.; Vaughn, B.; Miller, J.B.; Brand, W.A.; Rothe, M.; Xia, L.J. Background variations of atmospheric CO2 and carbon-stable isotopes at Waliguan and Shangdianzi stations in China. J. Geophys. Res. Atmos. 2014, 119, 5602–5612. [Google Scholar] [CrossRef]
- Fang, S.X.; Zhou, L.X.; Tans, P.P.; Ciais, P.; Steinbacher, M.; Xu, L.; Luan, T. In situ measurement of atmospheric CO2 at the four WMO/GAW stations in China. Atmos. Chem. Phys. 2014, 14, 2541–2554. [Google Scholar] [CrossRef]
- Kilkki, J.; Aalto, T.; Hatakka, J.; Portin, H.; Laurila, T. Atmospheric CO2 observations at Finnish urban and rural sites. Boreal Environ. Res. 2015, 20, 227–242. [Google Scholar]
- Fang, S.X.; Luan, T.; Zhang, G.; Wu, Y.L.; Yu, D.J. The determination of regional CO2 mole fractions at the Longfengshan WMO/GAW station: A comparison of four data filtering approaches. Atmos. Environ. 2015, 116, 36–43. [Google Scholar] [CrossRef]
- Zhang, F.; Fukuyama, Y.; Wang, Y.; Fang, S.; Li, P.; Fan, T.; Zhou, L.; Liu, X.; Meinhardt, F.; Emiliani, P. Detection and attribution of regional CO2 concentration anomalies using surface observations. Atmos. Environ. 2015, 123, 88–101. [Google Scholar] [CrossRef]
- Satar, E.; Berhanu, T.A.; Brunner, D.; Henne, S.; Leuenberger, M. Continuous CO2/CH4/CO measurements (2012-2014) at Beromunster tall tower station in Switzerland. Biogeosciences 2016, 13, 2623–2635. [Google Scholar] [CrossRef]
- Brailsford, G.W.; Stephens, B.B.; Gomez, A.J.; Riedel, K.; Mikaloff Fletcher, S.E.; Nichol, S.E.; Manning, M.R. Long-term continuous atmospheric CO2 measurements at Baring Head, New Zealand. Atmos. Meas. Tech. 2012, 5, 3109–3117. [Google Scholar] [CrossRef]
- Wang, Y.; Munger, J.W.; Xu, S.; McElroy, M.B.; Hao, J.; Nielsen, C.P.; Ma, H. CO2 and its correlation with CO at a rural site near Beijing: Implications for combustion efficiency in China. Atmos. Chem. Phys. 2010, 10, 8881–8897. [Google Scholar] [CrossRef]
- Stephens, B.B.; Brailsford, G.W.; Gomez, A.J.; Riedel, K.; Mikaloff Fletcher, S.E.; Nichol, S.; Manning, M. (2013) Analysis of a 39-year continuous atmospheric CO2 record from Baring Head, New Zealand. Biogeosciences 2013, 10, 2683–2697. [Google Scholar] [CrossRef]
- Wilks, D.S. Statistical Methods in the Atmospheric Sciences, 4th ed.; Elsevier: Amsterdam, The Netherlands, 2019. [Google Scholar]
- Fang, S.; Tans, P.P.; Steinbacher, M.; Zhou, L.; Luan, T.; Li, Z. Observation of atmospheric CO2 and CO at Shangri-La station: Results from the only regional station located at southwestern China. Tellus B 2016, 68, 28506. [Google Scholar] [CrossRef]
- van der Laan, S.; van der Laan-Luijkx, I.T.; Rödenbeck, C.; Varlagin, A.; Shironya, I.; Neubert, R.E.M.; Ramonet, M.; Meijer, H.A.J. Atmospheric CO2, δ(O2/N2), APO and oxidative ratios from aircraft flask samples over Fyodorovskoye, Western Russia. Atmos. Environ. 2014, 97, 174–181. [Google Scholar] [CrossRef]
- Pérez, I.A.; Sánchez, M.L.; García, M.A.; Pardo, N. Analysis and fit of surface CO2 concentrations at a rural site. Environ. Sci. Pollut. Res. 2012, 19, 3015–3027. [Google Scholar] [CrossRef]
- ITACYL—AEMET. Atlas Agroclimático de Castilla y León. Available online: http://atlas.itacyl.es (accessed on 4 March 2020).
- Pérez, I.A.; García, M.A.; Sánchez, M.L.; de Torre, B. Autocorrelation analysis of meteorological data from a RASS sodar. J. Appl. Meteorol. 2004, 43, 1213–1223. [Google Scholar] [CrossRef]
- Anderson, C.I.; Gough, W.A. Accounting for missing data in monthly temperature series: Testing rule-of-thumb omission of months with missing values. Int. J. Climatol. 2018, 38, 4990–5002. [Google Scholar] [CrossRef]
- Artuso, F.; Chamard, P.; Piacentino, S.; Sferlazzo, D.M.; De Silvestri, L.; di Sarra, A.; Meloni, D.; Monteleone, F. Influence of transport and trends in atmospheric CO2 at Lampedusa. Atmos. Environ. 2009, 43, 3044–3051. [Google Scholar] [CrossRef]
- Chamard, P.; Thiery, F.; Di Sarra, A.; Ciattaglia, L.; De Silvestri, L.; Grigioni, P.; Monteleone, F.; Piacentino, S. Interannual variability of atmospheric CO2 in the Mediterranean: Measurements at the island at Lampedusa. Tellus B 2003, 55, 83–93. [Google Scholar] [CrossRef][Green Version]
- Cundari, V.; Colombo, T.; Ciattaglia, L. Thirteen years of atmospheric carbon dioxide measurements at Mt. Cimone station, Italy. Nuovo Cimento Soc. Ital. Fis. C 1995, 18, 33–47. [Google Scholar] [CrossRef]
- Pérez, I.A.; Sánchez, M.L.; García, M.A.; Pardo, N.; Fernández-Duque, B. The influence of meteorological variables on CO2 and CH4 trends recorded at a semi-natural station. J. Environ. Manage. 2018, 209, 37–45. [Google Scholar] [CrossRef] [PubMed]
- Pérez, I.A.; Sánchez, M.L.; García, M.A.; Pardo, N. Trend analysis of CO2 and CH4 recorded at a semi-natural site in the northern plateau of the Iberian Peninsula. Atmos. Environ. 2017, 151, 24–33. [Google Scholar] [CrossRef]
- Fang, S.X.; Tans, P.P.; Dong, F.; Zhou, H.; Luan, T. Characteristics of atmospheric CO2 and CH4 at the Shangdianzi regional background station in China. Atmos. Environ. 2016, 131, 1–8. [Google Scholar] [CrossRef]
- Ayalneh Berhanu, T.; Satar, E.; Schanda, R.; Nyfeler, P.; Moret, H.; Brunner, D.; Oney, B.; Leuenberger, M. Measurements of greenhouse gases at Beromünster tall-tower station in Switzerland. Atmos. Meas. Tech. 2016, 9, 2603–2614. [Google Scholar] [CrossRef]
- Pérez, I.A.; Sánchez, M.L.; García, M.A.; de Torre, B. CO2 transport by urban plumes in the upper Spanish plateau. Sci. Total Environ. 2009, 407, 4934–4938. [Google Scholar] [CrossRef] [PubMed]
- Lohila, A.; Penttilä, T.; Jortikka, S.; Aalto, T.; Anttila, P.; Asmi, E.; Aurela, M.; Hatakka, J.; Hellén, H.; Henttonen, H.; et al. Preface to the special issue on integrated research of atmosphere, ecosystems and environment at Pallas. Boreal Environ. Res. 2015, 20, 431–454. [Google Scholar]
- Higuchi, K.; Worthy, D.; Chan, D.; Shashkov, A. Regional source/sink impact on the diurnal, seasonal and inter-annual variations in atmospheric CO2 at a boreal forest site in Canada. Tellus B 2003, 55, 115–125. [Google Scholar] [CrossRef]
- Zhu, C.; Yoshikawa-Inoue, H. Seven years of observational atmospheric CO2 at a maritime site in northernmost Japan and its implications. Sci. Total Environ. 2015, 524, 331–337. [Google Scholar] [CrossRef]
- Murayama, S.; Saigusa, N.; Chan, D.; Yamamoto, S.; Kondo, H.; Eguchi, Y. Temporal variations of atmospheric CO2 concentration in a temperate deciduous forest in central Japan. Tellus B 2003, 55, 232–243. [Google Scholar] [CrossRef]
- Wada, A.; Sawa, Y.; Matsueda, H.; Taguchi, S.; Murayama, S.; Okubo, S.; Tsutsumi, Y. Influence of continental air mass transport on atmospheric CO2 in the western North Pacific. J. Geophys. Res.-Atmos. 2007, 112, D07311. [Google Scholar] [CrossRef]
- Liu, M.; Wu, J.; Zhu, X.; He, H.; Jia, W.; Xiang, W. Evolution and variation of atmospheric carbon dioxide concentration over terrestrial ecosystems as derived from eddy covariance measurements. Atmos. Environ. 2015, 114, 75–82. [Google Scholar] [CrossRef]
- Wu, J.; Guan, D.; Yuan, F.; Yang, H.; Wang, A.; Jin, C. Evolution of atmospheric carbon dioxide concentration at different temporal scales recorded in a tall forest. Atmos. Environ. 2012, 61, 9–14. [Google Scholar] [CrossRef]
- Vermeulen, A.T.; Hensen, A.; Popa, M.E.; van den Bulk, W.C.M.; Jongejan, P.A.C. Greenhouse gas observations from Cabauw Tall Tower (1992–2010). Atmos. Meas. Tech. 2011, 4, 617–644. [Google Scholar] [CrossRef]
- Timokhina, A.V.; Prokushkin, A.S.; Onuchin, A.A.; Panov, A.V.; Kofman, G.B.; Verkhovets, S.V.; Heimann, M. Long-term trend in CO2 concentration in the surface atmosphere over Central Siberia. Russ. Meteorol. Hydrol. 2015, 40, 186–190. [Google Scholar] [CrossRef]
- Bergamaschi, P.; Houweling, S.; Segers, A.; Krol, M.; Frankenberg, C.; Scheepmaker, R.A.; Dlugokencky, E.; Wofsy, S.C.; Kort, E.A.; Sweeney, C.; et al. Atmospheric CH4 in the first decade of the 21st century: Inverse modeling analysis using SCIAMACHY satellite retrievals and NOAA surface measurements. J. Geophys. Res. Atmos. 2013, 118, 7350–7369. [Google Scholar] [CrossRef]
- Dalsøren, S.B.; Myhre, C.L.; Myhre, G.; Gomez-Pelaez, A.J.; Søvde, O.A.; Isaksen, I.S.A.; Weiss, R.F.; Harth, C.M. Atmospheric methane evolution the last 40 years. Atmos. Chem. Phys. 2016, 16, 3099–3126. [Google Scholar] [CrossRef]
- Artuso, F.; Chamard, P.; Piacentino, S.; di Sarra, A.; Meloni, D.; Monteleone, F.; Sferlazzo, D.M.; Thiery, F. Atmospheric methane in the Mediterranean: Analysis of measurements at the island of Lampedusa during 1995-2005. Atmos. Environ. 2007, 41, 3877–3888. [Google Scholar] [CrossRef]
- Aalto, T.; Hatakka, J.; Paatero, I.; Tuovinen, J.P.; Aurela, M.; Laurila, T.; Holmén, K.; Trivett, N.; Viisanen, Y. Tropospheric carbon dioxide concentrations at a northern boreal site in Finland: Basic variations and source areas. Tellus B 2002, 54, 110–126. [Google Scholar] [CrossRef][Green Version]
- Eneroth, K.; Aalto, T.; Hatakka, J.; Holmén, K.; Laurila, T.; Viisanen, Y. Atmospheric transport of carbon dioxide to a baseline monitoring station in northern Finland. Tellus B 2005, 57, 366–374. [Google Scholar] [CrossRef]
- Inoue, H.Y.; Matsueda, H.; Igarashi, Y.; Sawa, Y.; Wada, A.; Nemoto, K.; Sartorius, H.; Schlosser, C. Seasonal and long-term variations in atmospheric CO2 and 85Kr in Tsukuba, central Japan. J. Meteor. Soc. Jpn. 2006, 84, 959–968. [Google Scholar] [CrossRef][Green Version]
- Wang, K.; Li, Y.; Wang, Y.; Yang, X. On the asymmetry of the urban daily air temperature cycle. J. Geophys. Res. 2017, 122, 5625–5635. [Google Scholar] [CrossRef]
- Available online: https://www.esrl.noaa.gov/gmd/ccgg/gallery/figures/ (accessed on 29 June 2020).
- Pu, J.J.; Xu, H.H.; He, J.; Fang, S.X.; Zhou, L.X. Estimation of regional background concentration of CO2 at Lin’an Station in Yangtze River Delta, China. Atmos. Environ. 2014, 94, 402–408. [Google Scholar] [CrossRef]
- Uglietti, C.; Leuenberger, M.; Brunner, D. European source and sink areas of CO2 retrieved from Lagrangian transport model interpretation of combined O2 and CO2 measurements at the high alpine research station Jungfraujoch. Atmos. Chem. Phys. 2011, 11, 8017–8036. [Google Scholar] [CrossRef]
- Haszpra, L.; Barcza, Z.; Hidy, D.; Szilágyi, I.; Dlugokencky, E.; Tans, P. Trends and temporal variations of major greenhouse gases at a rural site in Central Europe. Atmos. Environ. 2008, 42, 8707–8716. [Google Scholar] [CrossRef]
- Curcoll, R.; Camarero, L.; Bacardit, M.; Àgueda, A.; Grossi, C.; Gacia, E.; Font, A.; Morguí, J.A. Atmospheric carbon dioxide variability at Aigüestortes, Central Pyrenees, Spain. Reg. Envir. Chang. 2019, 19, 313–324. [Google Scholar] [CrossRef]
- Hatakka, J.; Aalto, T.; Aaltonen, V.; Aurela, M.; Hakola, H.; Komppula, M.; Laurila, T.; Lihavainen, H.; Paatero, J.; Salminen, K.; et al. Overview of the atmospheric research activities and results at Pallas GAW station. Boreal Environ. Res. 2003, 8, 365–383. [Google Scholar]
- Xia, L.; Zhou, L.; Tans, P.P.; Liu, L.; Zhang, G.; Wang, H.; Luan, T. Atmospheric CO2 and its δ13C measurements from flask sampling at Lin’an regional background station in China. Atmos. Environ. 2015, 117, 220–226. [Google Scholar] [CrossRef]
- Fang, S.X.; Tans, P.P.; Steinbacher, M.; Zhou, L.X.; Luan, T. Comparison of the regional CO2 mole fraction filtering approaches at a WMO/GAW regional station in China. Atmos. Meas. Tech. 2015, 8, 5301–5313. [Google Scholar] [CrossRef]
- Zhang, F.; Zhou, L.X.; Xu, L. Temporal variation of atmospheric CH4 and the potential source regions at Waliguan, China. Sci. China Earth Sci. 2013, 56, 727–736. [Google Scholar] [CrossRef]
- Graven, H.D.; Keeling, R.F.; Piper, S.C.; Patra, P.K.; Stephens, B.B.; Wofsy, S.C.; Welp, L.R.; Sweeney, C.; Tans, P.P.; Kelley, J.J.; et al. Enhanced seasonal exchange of CO2 by Northern ecosystems since 1960. Science 2013, 341, 1085–1089. [Google Scholar] [CrossRef]
- Yuan, Y.; Ries, L.; Petermeier, H.; Trickl, T.; Leuchner, M.; Couret, C.; Sohmer, R.; Meinhardt, F.; Menzel, A. On the diurnal, weekly, and seasonal cycles and annual trends in atmospheric CO2 at Mount Zugspitze, Germany, during 1981–2016. Atmos. Chem. Phys. 2019, 19, 999–1012. [Google Scholar] [CrossRef]









| Gas | Group | Intercept (ppm) | Slope (ppm year−1) | r |
|---|---|---|---|---|
| CO2 | 1 | 388.7 ± 0.2 | 2.00 ± 0.06 | 0.646 |
| 2 | 392.07 ± 0.12 | 2.12 ± 0.04 | 0.696 | |
| 3 | 395.83 ± 0.17 | 2.25 ± 0.05 | 0.693 | |
| 4 | 401.4 ± 0.2 | 2.33 ± 0.07 | 0.530 | |
| 5 | 418.3 ± 1.0 | 3.6 ± 0.3 | 0.263 | |
| CH4 | 1 | 1.8442 ± 0.0008 | 0.0092 ± 0.0003 | 0.710 |
| 2 | 1.8584 ± 0.0006 | 0.00950 ± 0.00018 | 0.769 | |
| 3 | 1.8673 ± 0.0006 | 0.00937 ± 0.00019 | 0.777 | |
| 4 | 1.8819 ± 0.0005 | 0.00890 ± 0.00015 | 0.685 | |
| 5 | 1.9061 ± 0.0010 | 0.0087 ± 0.0003 | 0.551 | |
| 6 | 2.016 ± 0.011 | 0.002 ± 0.003 | 0.019 * |
| Gas | Harmonic | Group | |||||
|---|---|---|---|---|---|---|---|
| 1 | 2 | 3 | 4 | 5 | 6 | ||
| CO2 | Annual | 0.894 | 0.885 | 0.871 | 0.830 | 0.796 | |
| Annual and semi-annual | 0.926 | 0.942 | 0.958 | 0.962 | 0.961 | ||
| Annual and 3rd | 0.952 | 0.932 | 0.906 | 0.860 | 0.827 | ||
| Annual, semi-annual, and 3rd | 0.985 | 0.989 | 0.993 | 0.992 | 0.991 | ||
| Annual and 4th | 0.906 | 0.893 | 0.875 | 0.832 | 0.797 | ||
| Annual, semi-annual, and 4th | 0.938 | 0.951 | 0.962 | 0.964 | 0.962 | ||
| CH4 | Annual | 0.840 | 0.895 | 0.910 | 0.922 | 0.932 | 0.936 |
| Annual and semi-annual | 0.972 | 0.981 | 0.979 | 0.978 | 0.978 | 0.978 | |
| Annual and 3rd | 0.855 | 0.904 | 0.920 | 0.930 | 0.939 | 0.942 | |
| Annual, semi-annual, and 3rd | 0.987 | 0.990 | 0.989 | 0.986 | 0.985 | 0.985 | |
| Annual and 4th | 0.843 | 0.898 | 0.914 | 0.930 | 0.942 | 0.946 | |
| Annual, semi-annual, and 4th | 0.975 | 0.984 | 0.983 | 0.986 | 0.988 | 0.989 | |
| Gas | Group | a0 (ppm) | a1 (ppm) | θ1 (month) | a2 (ppm) | θ2 (month) |
|---|---|---|---|---|---|---|
| CO2 | 1 | −0.16 | 5.29 | 1.3 | 1.00 | 11.3 |
| 2 | −0.35 | 5.03 | 1.5 | 1.28 | 10.9 | |
| 3 | −0.44 | 5.03 | 1.6 | 1.59 | 10.5 | |
| 4 | −0.59 | 4.95 | 1.7 | 1.98 | 10.4 | |
| 5 | −0.74 | 4.88 | 1.7 | 2.22 | 10.3 | |
| CH4 | 1 | −0.0002 | 0.0171 | 1.2 | 0.0068 | 9.1 |
| 2 | −0.0005 | 0.0169 | 1.2 | 0.0052 | 8.8 | |
| 3 | −0.0007 | 0.0166 | 1.2 | 0.0046 | 8.7 | |
| 4 | −0.0010 | 0.0171 | 1.2 | 0.0042 | 8.9 | |
| 5 | −0.0012 | 0.0178 | 1.1 | 0.0040 | 9.0 | |
| 6 | −0.0017 | 0.0181 | 1.1 | 0.0039 | 9.1 |
© 2020 by the authors. Licensee MDPI, Basel, Switzerland. This article is an open access article distributed under the terms and conditions of the Creative Commons Attribution (CC BY) license (http://creativecommons.org/licenses/by/4.0/).
Share and Cite
Pérez, I.A.; Sánchez, M.L.; García, M.Á.; Pardo, N.; Fernández-Duque, B. Statistical Analysis of the CO2 and CH4 Annual Cycle on the Northern Plateau of the Iberian Peninsula. Atmosphere 2020, 11, 769. https://doi.org/10.3390/atmos11070769
Pérez IA, Sánchez ML, García MÁ, Pardo N, Fernández-Duque B. Statistical Analysis of the CO2 and CH4 Annual Cycle on the Northern Plateau of the Iberian Peninsula. Atmosphere. 2020; 11(7):769. https://doi.org/10.3390/atmos11070769
Chicago/Turabian StylePérez, Isidro A., M. Luisa Sánchez, M. Ángeles García, Nuria Pardo, and Beatriz Fernández-Duque. 2020. "Statistical Analysis of the CO2 and CH4 Annual Cycle on the Northern Plateau of the Iberian Peninsula" Atmosphere 11, no. 7: 769. https://doi.org/10.3390/atmos11070769
APA StylePérez, I. A., Sánchez, M. L., García, M. Á., Pardo, N., & Fernández-Duque, B. (2020). Statistical Analysis of the CO2 and CH4 Annual Cycle on the Northern Plateau of the Iberian Peninsula. Atmosphere, 11(7), 769. https://doi.org/10.3390/atmos11070769

