Air Quality Modeling Study on the Controlling Factors of Fine Particulate Matter (PM2.5) in Hanoi: A Case Study in December 2010
Abstract
1. Introduction
2. Material and Methods
2.1. Study Area
2.2. Models Used and Model Configuration
2.3. Emission Inventory
2.4. Statistical Metrics for Model Evaluation
3. Results and Discussion
3.1. Model Validation
3.1.1. Meteorology
3.1.2. Total PM2.5 Concentration.
3.2. Impact of Controlling Factors on PM2.5 Variations
3.3. Sensitivity Analyses
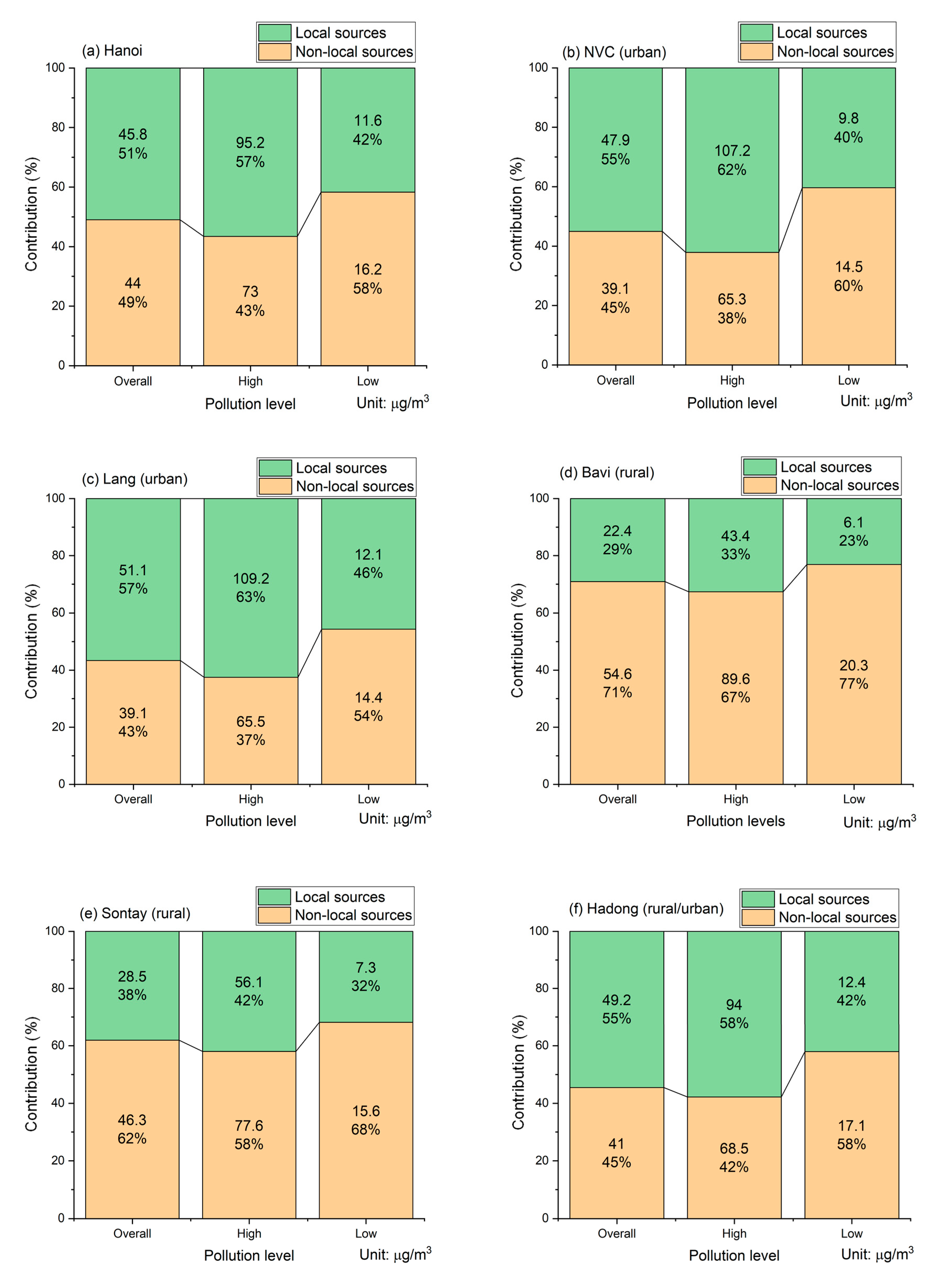
3.3.1. Contributions of Local and Non-Local Emission Sources to PM2.5 in Hanoi
3.3.2. Long-Range Transboundary Pollution in Urban Areas Caused by Cold Surge Events
3.3.3. Contributions of Different Emission Sectors Inside Hanoi to Total Concentration of PM2.5
4. Suggestions for Improvement in Future Modeling Studies on PM2.5 in Hanoi
5. Conclusions
Author Contributions
Funding
Acknowledgments
Conflicts of Interest
Appendix A
| SO2 | NOx | PM2.5 | BC | OC | VOC | NH3 | |
|---|---|---|---|---|---|---|---|
| Domestic | 2440.90 (10.81) | 1888 (11.16) | 7035.04 (51.77) | 1400.29 (56.65) | 5436.31 (84.6) | 25,996.49 (56.98) | 1474.96 (9.88) |
| Industry | 14,963.63 (66.25) | 5340.97 (31.56) | 5831.59 (42.91) | 943.56 (37.17) | 905.53 (14.09) | 1871.92 (4.1) | 396.78 (2.66) |
| Road transport | 445.46 (1.97) | 4378.04 (25.87) | 269.55 (1.98) | 120.86 (4.89) | 83.29 (1.3) | 11,007.58 (24.13) | 272.33 (1.82) |
| Power plant | 3238.94 (14.34) | 2394.83 (14.15) | 213.66 (1.57) | 3.70 (0.15) | 0.64 (0.01) | 65.87 (0.14) | 7.79 (0.05) |
| Others | 1498.34 (6.63) | 2921.92 (17.26) | 238.96 (1.76) | 3.54 (0.14) | 0.23 (0.004) | 6679.23 (14.64) | 12,779.24 (85.59) |
References
- Dockery, D.W.; Pope, C.A.; Xu, X.; Spengler, J.D.; Ware, J.H.; Fay, M.E.; Ferris, B.G.; Speizer, F.E. An Association between Air Pollution and Mortality in Six U.S. Cities. N. Engl. J. Med. 1993, 329, 1753–1759. [Google Scholar] [CrossRef] [PubMed]
- Linares, B.; Guizar, J.M.; Amador, N.; Garcia, A.; Miranda, V.; Perez, J.R.; Chapela, R. Impact of air pollution on pulmonary function and respiratory symptoms in children. Longitudinal repeated-measures study. BMC Pulm. Med. 2010, 10, 62. [Google Scholar] [CrossRef] [PubMed]
- Michiels, H.; Mayeres, I.; Int Panis, L.; De Nocker, L.; Deutsch, F.; Lefebvre, W. PM2.5 and NOx from traffic: Human health impacts, external costs and policy implications from the Belgian perspective. Transp. Res. D. Transp. Environ. 2012, 17, 569–577. [Google Scholar] [CrossRef]
- Schulze, F.; Gao, X.; Virzonis, D.; Damiati, S.; Schneider, M.; Kodzius, R. Air Quality Effects on Human Health and Approaches for Its Assessment through Microfluidic Chips. Genes 2017, 8, 244. [Google Scholar] [CrossRef]
- Herrera-Dueñas, A.; Pineda, J.; Antonio, M.T.; Aguirre, J.I. Oxidative stress of House Sparrow as bioindicator of urban pollution. Ecol. Indic. 2014, 42, 6–9. [Google Scholar] [CrossRef]
- Pope, C.A.; Dockery, D.W. Health Effects of Fine Particulate Air Pollution: Lines that Connect. J. Air Waste Manag. Assoc. 2006, 56, 709–742. [Google Scholar] [CrossRef]
- Xing, Y.-F.; Xu, Y.-H.; Shi, M.-H.; Lian, Y.-X. The impact of PM2.5 on the human respiratory system. J. Thorac. Dis. 2016, 8, 69–74. [Google Scholar] [CrossRef]
- Weber, S.A.; Insaf, T.Z.; Hall, E.S.; Talbot, T.O.; Huff, A.K. Assessing the impact of fine particulate matter (PM2.5) on respiratory-cardiovascular chronic diseases in the New York City Metropolitan area using Hierarchical Bayesian Model estimates. Environ. Res. 2016, 151, 399–409. [Google Scholar] [CrossRef]
- Chen, F.; Lin, Z.; Chen, R.; Norback, D.; Liu, C.; Kan, H.; Deng, Q.; Huang, C.; Hu, Y.; Zou, Z.; et al. The effects of PM2.5 on asthmatic and allergic diseases or symptoms in preschool children of six Chinese cities, based on China, Children, Homes and Health (CCHH) project. Environ. Pollut. 2018, 232, 329–337. [Google Scholar] [CrossRef] [PubMed]
- Guo, Y.; Zeng, H.; Zheng, R.; Li, S.; Barnett, A.G.; Zhang, S.; Zou, X.; Huxley, R.; Chen, W.; Williams, G. The association between lung cancer incidence and ambient air pollution in China: A spatiotemporal analysis. Environ. Res. 2016, 144, 60–65. [Google Scholar] [CrossRef]
- Chang, L.; Scorgie, Y.; Duc, H.; Monk, K.; Fuchs, D.; Trieu, T. Major Source Contributions to Ambient PM2.5 and Exposures within the New South Wales Greater Metropolitan Region. Atmosphere 2019, 10, 138. [Google Scholar] [CrossRef]
- Ferm, M.; Sjöberg, K. Concentrations and emission factors for PM2.5 and PM10 from road traffic in Sweden. Atmos. Environ. 2015, 119, 211–219. [Google Scholar] [CrossRef]
- Luong, L.M.T.; Phung, D.; Sly, P.D.; Morawska, L.; Thai, P.K. The association between particulate air pollution and respiratory admissions among young children in Hanoi, Vietnam. Sci. Total Environ. 2017, 578, 249–255. [Google Scholar] [CrossRef] [PubMed]
- Srimuruganandam, B.; Shiva Nagendra, S.M. Source characterization of PM10 and PM2.5 mass using a chemical mass balance model at urban roadside. Sci. Total Environ. 2012, 433, 8–19. [Google Scholar] [CrossRef]
- Guo, H.; Kota, S.H.; Sahu, S.K.; Hu, J.; Ying, Q.; Gao, A.; Zhang, H. Source apportionment of PM2.5 in North India using source-oriented air quality models. Environ. Pollut. 2017, 231, 426–436. [Google Scholar] [CrossRef]
- Querol, X.; Alastuey, A.; Ruiz, C.R.; Artiñano, B.; Hansson, H.C.; Harrison, R.M.; Buringh, E.; ten Brink, H.M.; Lutz, M.; Bruckmann, P.; et al. Speciation and origin of PM10 and PM2.5 in selected European cities. Atmos. Environ. 2004, 38, 6547–6555. [Google Scholar] [CrossRef]
- Ministry of Natural Resources and Environment. National State of Environment: Air Environment; Vietnam Publishing House of Natural Resources, Environment and Cartography: Hanoi, Vietnam, 2014; p. 138. ISBN 978-604-904-248-5.
- Ho, B.Q.; Clappier, A.; François, G. Air pollution forecast for Ho Chi Minh City, Vietnam in 2015 and 2020. Air Qual. Atmos. Health 2011, 4, 145–158. [Google Scholar] [CrossRef]
- Hung, N.T.; Ketzel, M.; Jensen, S.S.; Oanh, N.T.K. Air Pollution Modeling at Road Sides Using the Operational Street Pollution Model—A Case Study in Hanoi, Vietnam. J. Air Waste Manag. Assoc. 2010, 60, 1315–1326. [Google Scholar] [CrossRef]
- Amann, M.; Klimont, Z.; Truong, A.H.; Rafaj, P.; Kiesewetter, G.; Nguyen, B.; Nguyen Thi, T.; Thuy Kim, M.; Schopp, W.; Sander, R.; et al. Future Air Quality in Ha Noi and Northern Vietnam; IIASA Research Report: Laxenburg, Austria, 2018; RR-19-003. [Google Scholar]
- Lasko, K.; Vadrevu, K.P.; Nguyen, T.T.N. Analysis of air pollution over Hanoi, Vietnam using multi-satellite and MERRA reanalysis datasets. PLoS ONE 2018, 13, e0196629. [Google Scholar] [CrossRef] [PubMed]
- Cohen, D.D.; Crawford, J.; Stelcer, E.; Bac, V.T. Characterisation and source apportionment of fine particulate sources at Hanoi from 2001 to 2008. Atmos. Environ. 2010, 44, 320–328. [Google Scholar] [CrossRef]
- Ly, B.-T.; Matsumi, Y.; Nakayama, T.; Sakamoto, Y.; Kajii, Y.; Nghiem, T.-D. Characterizing PM2.5 in Hanoi with New High Temporal Resolution Sensor. Aerosol Air Qual. Res. 2018, 18, 2487–2497. [Google Scholar] [CrossRef]
- Ministry of Natural Resources and Environment. National State of Environment: Urban Environment; Vietnam Publishing House of Natural Resources, Environment and Cartography: Hanoi, Vietnam, 2017; p. 168. ISBN 978-604-952-138-6.
- Hai, C.D.; Kim Oanh, N.T. Effects of local, regional meteorology and emission sources on mass and compositions of particulate matter in Hanoi. Atmos. Environ. 2013, 78, 105–112. [Google Scholar] [CrossRef]
- Snider, G.; Weagle, C.L.; Murdymootoo, K.K.; Ring, A.; Ritchie, Y.; Stone, E.; Walsh, A.; Akoshile, C.; Anh, N.X.; Balasubramanian, R.; et al. Variation in global chemical composition of PM2.5: Emerging results from SPARTAN. Atmos. Chem. Phys. 2016, 16, 9629–9653. [Google Scholar] [CrossRef]
- General Statistic Office Statistical Yearbook of Vietnam 2011; Statistical Publishing House: Hanoi, Vietnam, 2012.
- Kim Oanh, N.T.; Upadhyay, N.; Zhuang, Y.-H.; Hao, Z.-P.; Murthy, D.V.S.; Lestari, P.; Villarin, J.T.; Chengchua, K.; Co, H.X.; Dung, N.T. Particulate air pollution in six Asian cities: Spatial and temporal distributions, and associated sources. Atmos. Environ. 2006, 40, 3367–3380. [Google Scholar] [CrossRef]
- Kang, H.; Zhu, B.; Gao, J.; He, Y.; Wang, H.; Su, J.; Pan, C.; Zhu, T.; Yu, B. Potential impacts of cold frontal passage on air quality over the Yangtze River Delta, China. Atmos. Chem. Phys. 2019, 19, 3673–3685. [Google Scholar] [CrossRef]
- Yang, X.; Wu, Q.; Zhao, R.; Cheng, H.; He, H.; Ma, Q.; Wang, L.; Luo, H. New method for evaluating winter air quality: PM2.5 assessment using Community Multi-Scale Air Quality Modeling (CMAQ) in Xi’an. Atmos. Environ. 2019, 211, 18–28. [Google Scholar] [CrossRef]
- Kim, H.C.; Kim, E.; Bae, C.; Cho, J.H.; Kim, B.-U.; Kim, S. Regional contributions to particulate matter concentration in the Seoul metropolitan area, South Korea: Seasonal variation and sensitivity to meteorology and emissions inventory. Atmos. Chem. Phys. 2017, 17, 10315–10332. [Google Scholar] [CrossRef]
- Ikeda, K.; Tanimoto, H. Exceedances of air quality standard level of PM2.5 in Japan caused by Siberian wildfires. Environ. Res. Lett. 2015, 10, 105001. [Google Scholar] [CrossRef]
- Nguyen, G.T.H.; Shimadera, H.; Uranishi, K.; Matsuo, T.; Kondo, A. Numerical assessment of PM2.5 and O3 air quality in Continental Southeast Asia: Impacts of potential future climate change. Atmos. Environ. 2019, 215, 116901. [Google Scholar] [CrossRef]
- Nguyen, G.T.H.; Shimadera, H.; Uranishi, K.; Matsuo, T.; Kondo, A.; Thepanondh, S. Numerical assessment of PM2.5 and O3 air quality in continental Southeast Asia: Baseline simulation and aerosol direct effects investigation. Atmos. Environ. 2019, 219, 117054. [Google Scholar] [CrossRef]
- Tewari, M.; Chen, F.; Wang, W.; Dudhia, J.; Lemone, M.A.; Mitchell, K.E.; Gayno, M.E.; Wegiel, J.W.; Cuenca, R. Implementation and Verification of the Unified Noah Land-Surface Model in the WRF Model [Presentation]; American Meteorological Society: Seattle, WA, USA, 2004. [Google Scholar]
- Hong, S.-Y.; Dudhia, J.; Chen, S.-H. A Revised Approach to Ice Microphysical Processes for the Bulk Parameterization of Clouds and Precipitation. Mon. Weather Rev. 2004, 132, 103–120. [Google Scholar] [CrossRef]
- Dudhia, J. Numerical Study of Convection Observed during the Winter Monsoon Experiment Using a Mesoscale Two-Dimensional Model. J. Atmos. Sci. 1989, 46, 3077–3107. [Google Scholar] [CrossRef]
- Mlawer, E.J.; Taubman, S.J.; Brown, P.D.; Iacono, M.J.; Clough, S.A. Radiative transfer for inhomogeneous atmospheres: RRTM, a validated correlated-k model for the longwave. J. Geophys. Res. Atmos. 1997, 102, 16663–16682. [Google Scholar] [CrossRef]
- Hong, S.-Y.; Noh, Y.; Dudhia, J. A New Vertical Diffusion Package with an Explicit Treatment of Entrainment Processes. Mon. Wea. Rev. 2006, 134, 2318–2341. [Google Scholar] [CrossRef]
- National Centers for Environmental Prediction/National Weather Service/NOAA/U.S. Department of Commerce. 2000, updated daily. NCEP FNL Operational Model Global Tropospheric Analyses, Continuing from July 1999. Research Data Archive at the National Center for Atmospheric Research, Computational and Information Systems Laboratory. Available online: https://doi.org/10.5065/D6M043C6 (accessed on 19 May 2019).
- Carter, W.P.L. Implementation of the Saprc-99 Chemical Mechanism into the Models-3 Framework; United States Environmental Protection Agency: Washington, DC, USA, 2000; p. 101.
- Kurokawa, J.; Ohara, T.; Morikawa, T.; Hanayama, S.; Janssens-Maenhout, G.; Fukui, T.; Kawashima, K.; Akimoto, H. Emissions of air pollutants and greenhouse gases over Asian regions during 2000–2008: Regional Emission inventory in ASia (REAS) version 2. Atmos. Chem. Phys. 2013, 13, 11019–11058. [Google Scholar] [CrossRef]
- Guenther, A.B.; Jiang, X.; Heald, C.L.; Sakulyanontvittaya, T.; Duhl, T.; Emmons, L.K.; Wang, X. The Model of Emissions of Gases and Aerosols from Nature version 2.1 (MEGAN2.1): An extended and updated framework for modeling biogenic emissions. Geosci. Model Dev. 2012, 5, 1471–1492. [Google Scholar] [CrossRef]
- Randerson, J.T.; van der Werf, G.R.; Giglio, L.; Collatz, G.J.; Kasibhatla, P.S. Global Fire Emissions Database, Version 3.1. ORNL DAAC: Oak Ridge, TN, USA, 2013. [Google Scholar] [CrossRef]
- van der Werf, G.R.; Randerson, J.T.; Giglio, L.; Collatz, G.J.; Mu, M.; Kasibhatla, P.S.; Morton, D.C.; DeFries, R.S.; Jin, Y.; van Leeuwen, T.T. Global fire emissions and the contribution of deforestation, savanna, forest, agricultural, and peat fires (1997–2009). Atmos. Chem. Phys. 2010, 10, 11707–11735. [Google Scholar] [CrossRef]
- Wang, N.; Guo, H.; Jiang, F.; Ling, Z.H.; Wang, T. Simulation of ozone formation at different elevations in mountainous area of Hong Kong using WRF-CMAQ model. Sci. Total Environ. 2015, 505, 939–951. [Google Scholar] [CrossRef]
- Darmanto, N.S.; Varquez, A.C.G.; Kanda, M. Urban roughness parameters estimation from globally available datasets for mesoscale modeling in megacities. Urban Clim. 2017, 21, 243–261. [Google Scholar] [CrossRef]
- Emery, C.; Liu, Z.; Russell, A.G.; Odman, M.T.; Yarwood, G.; Kumar, N. Recommendations on statistics and benchmarks to assess photochemical model performance. J. Air Waste Manag. Assoc. 2017, 67, 582–598. [Google Scholar] [CrossRef]
- Boylan, J.W.; Russell, A.G. PM and light extinction model performance metrics, goals, and criteria for three-dimensional air quality models. Atmos. Environ. 2006, 40, 4946–4959. [Google Scholar] [CrossRef]
- Wu, J.; Xu, C.; Wang, Q.; Cheng, W. Potential Sources and Formations of the PM2.5 Pollution in Urban Hangzhou. Atmosphere 2016, 7, 100. [Google Scholar] [CrossRef]
- Hien, P.D.; Loc, P.D.; Dao, N.V. Air pollution episodes associated with East Asian winter monsoons. Sci. Total Environ. 2011, 409, 5063–5068. [Google Scholar] [CrossRef] [PubMed]
- Brasseur, G.P.; Jacob, D.J. Modeling of Atmospheric Chemistry; Cambridge University Press: Cambridge, UK, 2017; ISBN 978-1-107-14696-9. [Google Scholar]
- Ngo, N.S.; Zhong, N.; Bao, X. The effects of transboundary air pollution following major events in China on air quality in the U.S.: Evidence from Chinese New Year and sandstorms. J. Environ. Manag. 2018, 212, 169–175. [Google Scholar] [CrossRef]
- Wang, J.; Zhang, M.; Bai, X.; Tan, H.; Li, S.; Liu, J.; Zhang, R.; Wolters, M.A.; Qin, X.; Zhang, M.; et al. Large-scale transport of PM2.5 in the lower troposphere during winter cold surges in China. Sci. Rep. 2017, 7, 13238. [Google Scholar] [CrossRef]
- Lee, S.; Ho, C.-H.; Lee, Y.G.; Choi, H.-J.; Song, C.-K. Influence of transboundary air pollutants from China on the high-PM10 episode in Seoul, Korea for the period 16–20 October 2008. Atmos. Environ. 2013, 77, 430–439. [Google Scholar] [CrossRef]
- Kubota, T.; Lee, H.S.; Trihamdani, A.R.; Phuong, T.T.T.; Tanaka, T.; Matsuo, K. Impacts of land use changes from the Hanoi Master Plan 2030 on urban heat islands: Part 1. Cooling effects of proposed green strategies. Sustain. Cities Soc. 2017, 32, 295–317. [Google Scholar] [CrossRef]
- Chen, T.-C.; Yen, M.-C.; Huang, W.-R.; Gallus Jr, W.A. An East Asian Cold Surge: Case Study. Mon. Weather Rev. 2002, 130, 2271–2290. [Google Scholar] [CrossRef]
- Li, N.; Lu, Y.; Liao, H.; He, Q.; Li, J.; Long, X. WRF-Chem modeling of particulate matter in the Yangtze River Delta region: Source apportionment and its sensitivity to emission changes. PLoS ONE 2018, 13, e0208944. [Google Scholar] [CrossRef] [PubMed]
- Sharma, S.; Chatani, S.; Mahtta, R.; Goel, A.; Kumar, A. Sensitivity analysis of ground level ozone in India using WRF-CMAQ models. Atmos. Environ. 2016, 131, 29–40. [Google Scholar] [CrossRef]
- Zhang, Z.; Wang, W.; Cheng, M.; Liu, S.; Xu, J.; He, Y.; Meng, F. The contribution of residential coal combustion to PM2.5 pollution over China’s Beijing-Tianjin-Hebei region in winter. Atmos. Environ. 2017, 159, 147–161. [Google Scholar] [CrossRef]
- Burr, M.J.; Zhang, Y. Source apportionment of fine particulate matter over the Eastern U.S. Part I: Source sensitivity simulations using CMAQ with the Brute Force method. Atmos. Pollut. Res. 2011, 2, 300–317. [Google Scholar] [CrossRef]
- Clappier, A.; Belis, C.A.; Pernigotti, D.; Thunis, P. Source apportionment and sensitivity analysis: Two methodologies with two different purposes. Geosci. Model Dev. 2017, 10, 4245–4256. [Google Scholar] [CrossRef]
- Liu, J.; Mauzerall, D.L.; Horowitz, L.W. Source-receptor relationships between East Asian sulfur dioxide emissions and Northern Hemisphere sulfate concentrations. Atmos. Chem. Phys. 2008, 8, 3721–3733. [Google Scholar] [CrossRef]
- Lin, M.; Oki, T.; Bengtsson, M.; Kanae, S.; Holloway, T.; Streets, D.G. Long-range transport of acidifying substances in East Asia—Part II: Source–receptor relationships. Atmos. Environ. 2008, 42, 5956–5967. [Google Scholar] [CrossRef]
- Task Force on Hemispheric Transport of Air Pollution (HTAP). Hemispheric Transport of Air Pollution 2010 Part A: Ozone and Particulate Matter Air Pollution Studies No. 17; Dentener, F., Keating, T., Akimoto, H., Eds.; United Nations Publication: Geneva, Switzerland; New York, NY, USA, 2010; p. 278. [Google Scholar]
- Hu, J.; Chen, J.; Ying, Q.; Zhang, H. One-year simulation of ozone and particulate matter in Chinausing WRF/CMAQ modeling system. Atmos. Chem. Phys. 2016, 16, 10333–10350. [Google Scholar] [CrossRef]
- Hu, J.; Li, X.; Huang, L.; Ying, Q.; Zhang, Q.; Zhao, B.; Wang, S.; Zhang, H. Ensemble prediction of air quality using the WRF/CMAQ model system for health effect studies in China. Atmos. Chem. Phys. 2017, 17, 13103–13118. [Google Scholar] [CrossRef]
- Itahashi, S.; Yumimoto, K.; Kurokawa, J.; Morino, Y.; Nagashima, T.; Miyazaki, K.; Maki, T.; Ohara, T. Inverse estimation of NOx emissions over China and India 2005–2016: Contrasting recent trends and future perspectives. Environ. Res. Lett. 2019, 14, 124020. [Google Scholar] [CrossRef]












| Station | Lat | Lon | Parameters Used | Temporal Resolution |
|---|---|---|---|---|
| Nguyen Van Cu (NVC) (Urban) | 21.05° | 105.88° | T2, RH, WS, WD, PM2.5 | 1-h |
| Lang air quality station (Urban) | 21.02° | 105.80° | T2, RH, WS, PM10 | 1-h |
| Lang meteorological station (Urban) | 21.02° | 105.80° | T2, RH, WS | 1-h for T2, RH |
| 3-h for WS | ||||
| Bavi (Rural) | 21.10° | 105.43° | T2, RH, WS | 1-h for T2, RH |
| 6-h for WS | ||||
| Sontay (Rural) | 21.13° | 105.51° | T2, RH, WS | 1-h for T2, RH |
| 6-h for WS | ||||
| Hadong (Urban/Rural) | 20.95° | 105.75° | WS | 6-h |
| Parameter | Mean WRF | Mean Observation | Unit | R | MB | NMB (%) | NME (%) | RMSE |
|---|---|---|---|---|---|---|---|---|
| T2 | 18.8 | 19.04 | °C | 0.92 | −0.23 | −1.2 | 6.9 | 1.7 |
| RH | 66.9 | 80.24 | % | 0.82 | −13.3 | −16.6 | 17.3 | 17.1 |
| WS | 1.86 | 1.26 | m/s | 0.54 | 0.58 | 46.6 | 63.2 | 1.1 |
| Parameter | Mean CMAQ | Mean Observation | Unit | R | MB | NMB (%) | NME (%) | MFB (%) | MFE (%) | RMSE |
|---|---|---|---|---|---|---|---|---|---|---|
| PM2.5 | 88.7 | 79.7 | µg/m3 | 0.77 | 8.9 | 11.2 | 25 | 6.8 | 23.2 | 24.6 |
| Benchmark (Criteria) | >0.4 |
© 2020 by the authors. Licensee MDPI, Basel, Switzerland. This article is an open access article distributed under the terms and conditions of the Creative Commons Attribution (CC BY) license (http://creativecommons.org/licenses/by/4.0/).
Share and Cite
Nguyen, T.H.; Nagashima, T.; Doan, Q.-V. Air Quality Modeling Study on the Controlling Factors of Fine Particulate Matter (PM2.5) in Hanoi: A Case Study in December 2010. Atmosphere 2020, 11, 733. https://doi.org/10.3390/atmos11070733
Nguyen TH, Nagashima T, Doan Q-V. Air Quality Modeling Study on the Controlling Factors of Fine Particulate Matter (PM2.5) in Hanoi: A Case Study in December 2010. Atmosphere. 2020; 11(7):733. https://doi.org/10.3390/atmos11070733
Chicago/Turabian StyleNguyen, Thanh Hung, Tatsuya Nagashima, and Quang-Van Doan. 2020. "Air Quality Modeling Study on the Controlling Factors of Fine Particulate Matter (PM2.5) in Hanoi: A Case Study in December 2010" Atmosphere 11, no. 7: 733. https://doi.org/10.3390/atmos11070733
APA StyleNguyen, T. H., Nagashima, T., & Doan, Q.-V. (2020). Air Quality Modeling Study on the Controlling Factors of Fine Particulate Matter (PM2.5) in Hanoi: A Case Study in December 2010. Atmosphere, 11(7), 733. https://doi.org/10.3390/atmos11070733

