The Impact of MJO, Kelvin, and Equatorial Rossby Waves on the Diurnal Cycle over the Maritime Continent
Abstract
1. Introduction
2. Data and Methods
2.1. Data Sources
2.1.1. TRMM Multisatellite Precipitation Analysis
2.1.2. Infrared Weather State (IR-WS) Data from ISCCP Version D
2.2. Methods
2.2.1. Separating Land, Coast, and Ocean
2.2.2. MJO and Equatorial Wave Phases
2.2.3. Statistical Analysis
3. Results
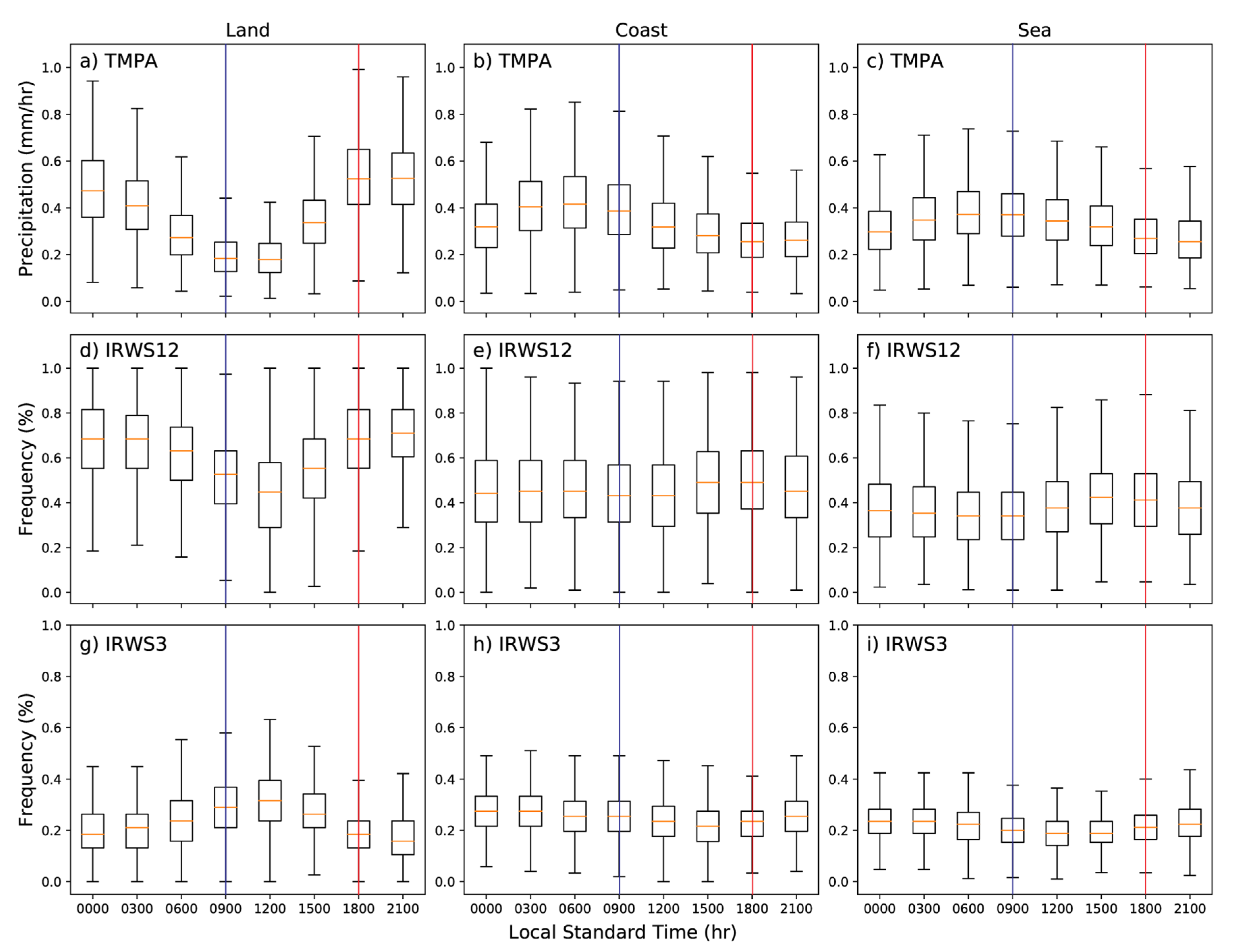
3.1. Diurnal Cycle of Rainfall and Deep Convection
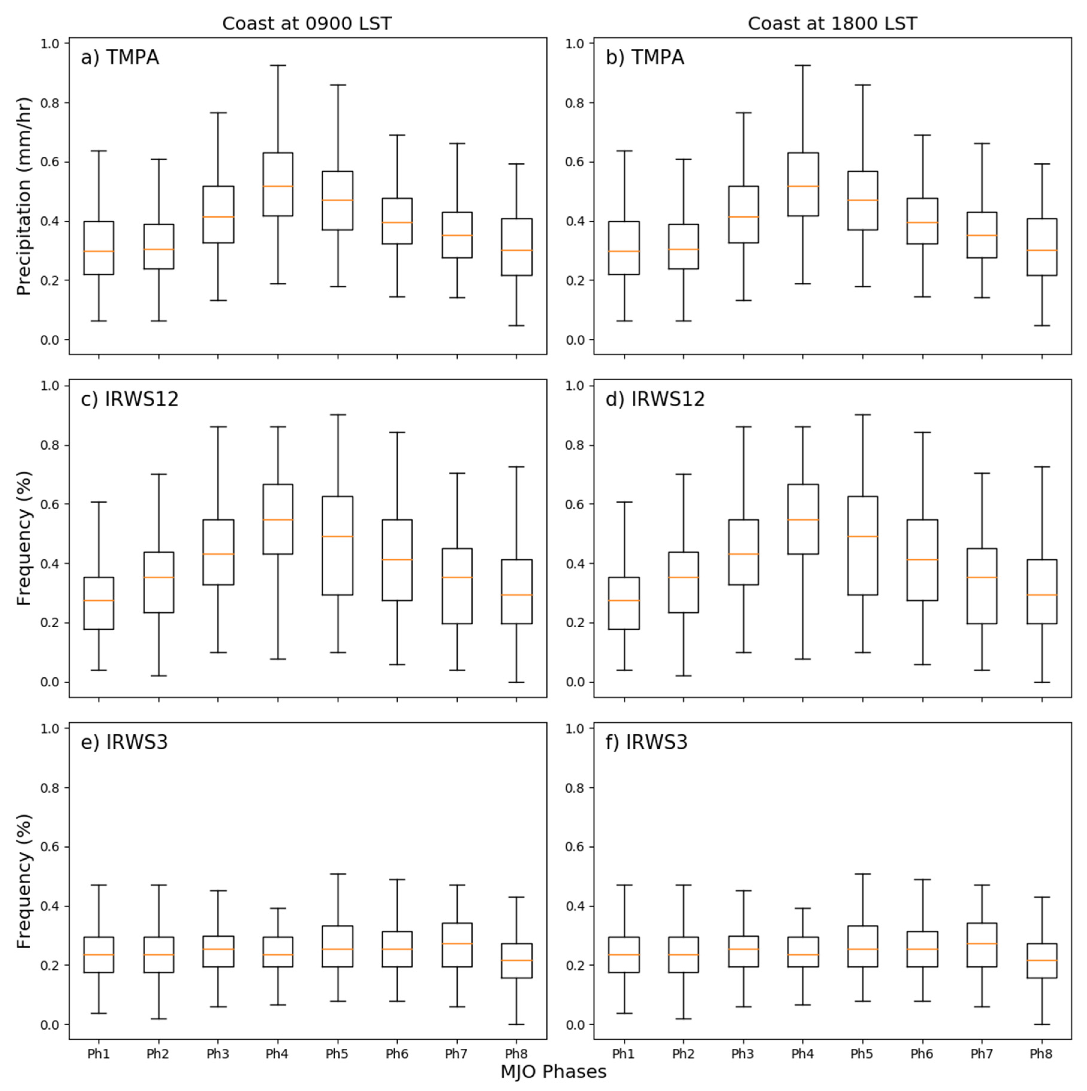
3.2. Variations Diurnal Cycle with the MJO
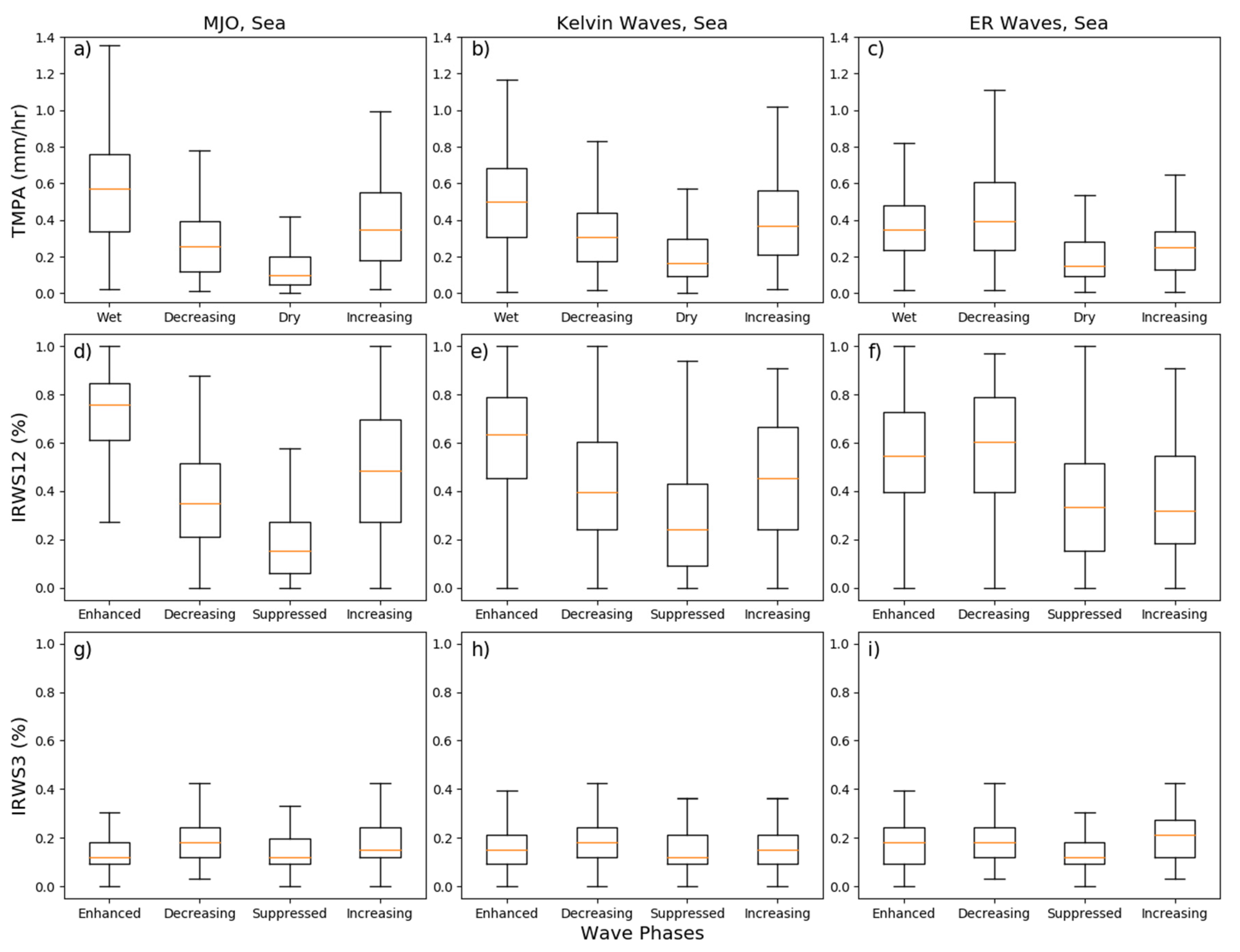
3.3. Comparing Kelvin and ER Waves with the MJO
4. Conclusions
Author Contributions
Funding
Acknowledgments
Conflicts of Interest
References
- Ramage, C.S. Role of a tropical “maritime continent” in the atmospheric circulation. Mon. Weather Rev. 1968, 96, 365–370. [Google Scholar] [CrossRef]
- Yang, G.-Y.; Slingo, J. The diurnal cycle in the Tropics. Mon. Weather Rev. 2001, 129, 784–801. [Google Scholar] [CrossRef]
- Lin, X.; Randall, D.A.; Fowler, L.D. Diurnal Variability of the Hydrologic Cycle and Radiative Fluxes: Comparisons between Observations and a GCM. J. Clim. 2000, 13, 4159–4179. [Google Scholar] [CrossRef]
- Houze, R.A.; Geotis, S.G.; Marks, F.D.; West, A.K. Winter Monsoon Convection in the Vicinity of North Borneo. Part I: Structure and Time Variation of the Clouds and Precipitation. Mon. Weather Rev. 1981, 109, 1595–1614. [Google Scholar] [CrossRef][Green Version]
- Mori, S.; Jun-Ichi, H.; Tauhid, Y.I.; Yamanaka, M.D.; Okamoto, N.; Murata, F.; Sakurai, N.; Hashiguchi, H.; Sribimawati, T. Diurnal Land–Sea Rainfall Peak Migration over Sumatera Island, Indonesian Maritime Continent, Observed by TRMM Satellite and Intensive Rawinsonde Soundings. Mon. Weather Rev. 2004, 132, 2021–2039. [Google Scholar] [CrossRef]
- Worku, L.Y.; Mekonnen, A.; Schreck, C.J. Diurnal cycle of rainfall and convection over the Maritime Continent using TRMM and ISCCP. Int. J. Climatol. 2019, 39, 5191–5200. [Google Scholar] [CrossRef]
- Lu, J.; Li, T.; Wang, L. Precipitation diurnal cycle over the Maritime Continent modulated by the MJO. Clim. Dyn. 2019, 53, 6489–6501. [Google Scholar] [CrossRef]
- Hagos, S.M.; Zhang, C.; Feng, Z.; Burleyson, C.D.; Mott, C.D.; Kerns, B.; Benedict, J.J.; Martini, M.N. The impact of the diurnal cycle on the propagation of Madden-Julian Oscillation convection across the Maritime Continent. J. Adv. Model. Earth Syst. 2016, 8, 1552–1564. [Google Scholar] [CrossRef]
- Peatman, S.C.; Matthews, A.J.; Stevens, D.P. Propagation of the Madden–Julian Oscillation through the Maritime Continent and scale interaction with the diurnal cycle of precipitation. Q. J. R. Meteorol. Soc. 2014, 140, 814–825. [Google Scholar] [CrossRef]
- Wheeler, M.C.; Hendon, H.H. An all-season real-time multivariate MJO index: Development of an index for monitoring and prediction. Mon. Weather Rev. 2004, 132, 1917–1932. [Google Scholar] [CrossRef]
- Zhang, C. Madden-Julian Oscillation: Bridging Weather and Climate. Bull. Am. Meteorol. Soc. 2013, 94, 1849–1870. [Google Scholar] [CrossRef]
- Zhang, C. Madden-Julian oscillation. Rev. Geophys. 2005, 43, RG2003. [Google Scholar] [CrossRef]
- Inness, P.M.; Slingo, J.M. The interaction of the Madden–Julian Oscillation with the Maritime Continent in a GCM. Q. J. R. Meteorol. Soc. 2006, 132, 1645–1667. [Google Scholar] [CrossRef]
- Wu, C.-H.; Hsu, H.-H. Topographic Influence on the MJO in the Maritime Continent. J. Clim. 2009, 22, 5433–5448. [Google Scholar] [CrossRef]
- Wilson, E.A.; Gordon, A.L.; Kim, D. Observations of the Madden Julian Oscillation during Indian Ocean Dipole events. J. Geophys. Res. Atmos. 2013, 118, 2588–2599. [Google Scholar] [CrossRef]
- Neale, R.; Slingo, J. The Maritime Continent and Its Role in the Global Climate: A GCM Study. J. Clim. 2003, 16, 834–848. [Google Scholar] [CrossRef]
- Zhang, C.; Ling, J. Barrier Effect of the Indo-Pacific Maritime Continent on the MJO: Perspectives from Tracking MJO Precipitation. J. Clim. 2017, 30, 3439–3459. [Google Scholar] [CrossRef]
- Williams, M.; Houze, R.A. Satellite-Observed Characteristics of Winter Monsoon Cloud Clusters. Mon. Weather Rev. 1987, 115, 505–519. [Google Scholar] [CrossRef]
- Nesbitt, S.W.; Zipser, E.J. The Diurnal Cycle of Rainfall and Convective Intensity according to Three Years of TRMM Measurements. J. Clim. 2003, 16, 1456–1475. [Google Scholar] [CrossRef]
- Sobel, A.H.; Burleyson, C.D.; Yuter, S.E. Rain on small tropical islands. J. Geophys. Res. 2011, 116, D08102. [Google Scholar] [CrossRef]
- Weaver, S.J.; Wang, W.; Chen, M.; Kumar, A. Representation of MJO variability in the NCEP climate forecast system. J. Clim. 2011, 24, 4676–4694. [Google Scholar] [CrossRef]
- Janiga, M.A.; Schreck, C.J.; Ridout, J.A.; Flatau, M.; Barton, N.P.; Metzger, E.J.; Reynolds, C.A. Subseasonal Forecasts of Convectively Coupled Equatorial Waves and the MJO: Activity and Predictive Skill. Mon. Weather Rev. 2018, 146, 2337–2360. [Google Scholar] [CrossRef]
- Schreck, C.J.; Janiga, M.A.; Baxter, S. Sources of Tropical Subseasonal Skill in the CFSv2. Mon. Weather Rev. 2020, 148, 1553–1565. [Google Scholar] [CrossRef]
- Gottschalck, J.; Wheeler, M.; Weickmann, K.; Vitart, F.; Savage, N.; Lin, H.; Hendon, H.; Waliser, D.; Sperber, K.; Nakagawa, M.; et al. A framework for assessing operational Madden–Julian Oscillation forecasts: A CLIVAR MJO working group project. Bull. Am. Meteorol. Soc. 2010, 91, 1247–1258. [Google Scholar] [CrossRef]
- Gottschalck, J.; Roundy, P.E.; Schreck III, C.J.; Vintzileos, A.; Zhang, C. Large-scale atmospheric and oceanic conditions during the 2011–12 DYNAMO field campaign. Mon. Weather Rev. 2013, 141, 4173–4196. [Google Scholar] [CrossRef]
- Hamill, T.M.; Kiladis, G.N. Skill of the MJO and Northern Hemisphere Blocking in GEFS Medium-Range Reforecasts. Mon. Weather Rev. 2014, 142, 868–885. [Google Scholar] [CrossRef]
- Oliver, E.C.J.; Thompson, K.R. Predictability of the Madden–Julian Oscillation index: Seasonality and dependence on MJO phase. Clim. Dyn. 2015, 46, 159–176. [Google Scholar] [CrossRef]
- Birch, C.E.; Webster, S.; Peatman, S.C.; Parker, D.J.; Matthews, A.J.; Li, Y.; Hassim, M.E.E. Scale Interactions between the MJO and the Western Maritime Continent. J. Clim. 2016, 29, 2471–2492. [Google Scholar] [CrossRef]
- Inness, P.M.; Slingo, J.M. Simulation of the Madden–Julian Oscillation in a Coupled General Circulation Model. Part I: Comparison with Observations and an Atmosphere-Only GCM. J. Clim. 2003, 16, 345–364. [Google Scholar] [CrossRef]
- Kiladis, G.N.; Wheeler, M.C.; Haertel, P.T.; Straub, K.H.; Roundy, P.E. Convectively coupled equatorial waves. Rev. Geophys. 2009, 47, RG2003. [Google Scholar] [CrossRef]
- Nakazawa, T. Tropical super clusters within intraseasonal variations over the western Pacific. J. Meteorol. Soc. Jpn. 1988, 66, 823–839. [Google Scholar] [CrossRef]
- Straub, K.H.; Kiladis, G.N. Interactions between the boreal summer intraseasonal oscillation and higher-frequency tropical wave activity. Mon. Weather Rev. 2003, 131, 945–960. [Google Scholar] [CrossRef]
- Kikuchi, K.; Kiladis, G.N.; Dias, J.; Nasuno, T. Convectively coupled equatorial waves within the MJO during CINDY/DYNAMO: Slow Kelvin waves as building blocks. Clim. Dyn. 2018, 50, 4211–4230. [Google Scholar] [CrossRef]
- Guo, Y.; Waliser, D.E.; Jiang, X. A Systematic Relationship between the Representations of Convectively Coupled Equatorial Wave Activity and the Madden–Julian Oscillation in Climate Model Simulations. J. Clim. 2014, 28, 1881–1904. [Google Scholar] [CrossRef]
- Mekonnen, A.; Rossow, W.B. The Interaction Between Deep Convection and Easterly Waves over Tropical North Africa: A Weather State Perspective. J. Clim. 2011, 24, 4276–4294. [Google Scholar] [CrossRef]
- Rossow, W.B.; Mekonnen, A.; Pearl, C.; Goncalves, W. Tropical Precipitation Extremes. J. Clim. 2013, 26, 1457–1466. [Google Scholar] [CrossRef][Green Version]
- Mekonnen, A.; Rossow, W.B. The Interaction between Deep Convection and Easterly Wave Activity over Africa: Convective Transitions and Mechanisms. Mon. Weather Rev. 2018, 146, 1945–1961. [Google Scholar] [CrossRef]
- Huffman, G.J.; Adler, R.F.; Bolvin, D.T.; Gu, G.; Nelkin, E.J.; Bowman, K.P.; Hong, Y.; Stocker, E.F.; Wolff, D.B. The TRMM multisatellite precipitation analysis (TMPA): Quasi-global, multiyear, combined-sensor precipitation estimates at fine scales. J. Hydrometeorol. 2007, 8, 38–55. [Google Scholar] [CrossRef]
- Anderberg, M.R. Cluster Analysis for Applications; Elsevier: Amsterdam, The Netherlands, 1973. [Google Scholar]
- Jakob, C.; Tselioudis, G. Objective identification of cloud regimes in the Tropical Western Pacific. Geophys. Res. Lett. 2003, 30, 2082. [Google Scholar] [CrossRef]
- Rossow, W.B.; Tselioudis, G.; Polak, A.; Jakob, C. Tropical climate described as a distribution of weather states indicated by distinct mesoscale cloud property mixtures. Geophys. Res. Lett. 2005, 32, L21812. [Google Scholar] [CrossRef]
- Rossow, W.B.; Schiffer, R.A. Advances in Understanding Clouds from ISCCP. Bull. Am. Meteorol. Soc. 1999, 80, 2261–2287. [Google Scholar] [CrossRef]
- Tan, J.; Jakob, C.; Lane, T.P. On the Identification of the Large-Scale Properties of Tropical Convection Using Cloud Regimes. J. Clim. 2013, 26, 6618–6632. [Google Scholar] [CrossRef]
- Tan, J.; Jakob, C. A three-hourly data set of the state of tropical convection based on cloud regimes. Geophys. Res. Lett. 2013, 40, 1415–1419. [Google Scholar] [CrossRef]
- Schreck, C.J.; Lee, H.-T.; Knapp, K.R. HIRS Outgoing Longwave Radiation—Daily Climate Data Record: Application toward Identifying Tropical Subseasonal Variability. Remote Sens. 2018, 10, 1325. [Google Scholar] [CrossRef]
- Kiladis, G.N.; Straub, K.H.; Haertel, P.T. Zonal and vertical structure of the Madden–Julian oscillation. J. Atmos. Sci. 2005, 62, 2790–2809. [Google Scholar] [CrossRef]
- Straub, K.H.; Kiladis, G.N. Observations of a convectively coupled Kelvin wave in the eastern Pacific ITCZ. J. Atmos. Sci. 2002, 59, 30–53. [Google Scholar] [CrossRef]
- Janiga, M.A.; Thorncroft, C.D. The Influence of African Easterly Waves on Convection over Tropical Africa and the East Atlantic. Mon. Weather Rev. 2016, 144, 171–192. [Google Scholar] [CrossRef]
- Barnes, H.C.; Houze, R.A. The precipitating cloud population of the Madden-Julian Oscillation over the Indian and west Pacific Oceans. J. Geophys. Res. Atmos. 2013, 118, 6996–7023. [Google Scholar] [CrossRef]
- Powell, S.W.; Houze, R.A. The cloud population and onset of the Madden-Julian Oscillation over the Indian Ocean during DYNAMO-AMIE. J. Geophys. Res. Atmos. 2013, 118, 979–995. [Google Scholar] [CrossRef]
- Tromeur, E.; Rossow, W.B. Interaction of Tropical Deep Convection with the Large-Scale Circulation in the MJO. J. Clim. 2010, 23, 1837–1853. [Google Scholar] [CrossRef]
- Roundy, P.E. Observed Structure of Convectively Coupled Waves as a Function of Equivalent Depth: Kelvin waves and the Madden Julian Oscillation. J. Atmos. Sci. 2012, 69, 2097–2106. [Google Scholar] [CrossRef]
- Roundy, P.E. The Spectrum of Convectively Coupled Kelvin Waves and the Madden–Julian Oscillation in Regions of Low-Level Easterly and Westerly Background Flow. J. Atmos. Sci. 2012, 69, 2107–2111. [Google Scholar] [CrossRef]
- Sobel, A.H.; Kim, D. The MJO-Kelvin wave transition. Geophys. Res. Lett. 2012, 39, L20808. [Google Scholar] [CrossRef]










© 2020 by the authors. Licensee MDPI, Basel, Switzerland. This article is an open access article distributed under the terms and conditions of the Creative Commons Attribution (CC BY) license (http://creativecommons.org/licenses/by/4.0/).
Share and Cite
Worku, L.Y.; Mekonnen, A.; Schreck, C.J. The Impact of MJO, Kelvin, and Equatorial Rossby Waves on the Diurnal Cycle over the Maritime Continent. Atmosphere 2020, 11, 711. https://doi.org/10.3390/atmos11070711
Worku LY, Mekonnen A, Schreck CJ. The Impact of MJO, Kelvin, and Equatorial Rossby Waves on the Diurnal Cycle over the Maritime Continent. Atmosphere. 2020; 11(7):711. https://doi.org/10.3390/atmos11070711
Chicago/Turabian StyleWorku, Lakemariam Y., Ademe Mekonnen, and Carl J. Schreck. 2020. "The Impact of MJO, Kelvin, and Equatorial Rossby Waves on the Diurnal Cycle over the Maritime Continent" Atmosphere 11, no. 7: 711. https://doi.org/10.3390/atmos11070711
APA StyleWorku, L. Y., Mekonnen, A., & Schreck, C. J. (2020). The Impact of MJO, Kelvin, and Equatorial Rossby Waves on the Diurnal Cycle over the Maritime Continent. Atmosphere, 11(7), 711. https://doi.org/10.3390/atmos11070711

