The Use of a Numerical Weather Prediction Model to Simulate Near-Field Volcanic Plumes
Abstract
1. Introduction
2. Numerical Experiments
2.1. The Use of the Weather Research and Forecasting Model
2.2. Initialisation Method
3. Results
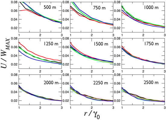
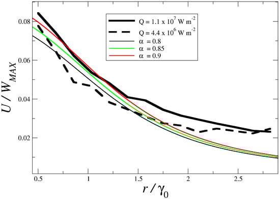
3.1. Plume Characteristics in a Quiescent Atmosphere
3.2. Entrainment of Unpolluted Air
3.3. Bent over Plumes
4. More Complex Implementations
Example: Volcanic Degassing
5. Discussion
Limitations and Extensions of WRF Plume Modelling
6. Conclusions
- Providing a modelling framework that allows the plume dynamics and atmospheric dynamics to be modelled together.
- Weather forecasting models often contain up-to-date representations of atmospheric physical processes and advanced numerical methods.
- Weather forecasting models are under constant review, using extensive and varied observational datasets capturing a wide (and widening) range of atmospheric conditions.
- Revision of weather forecasting models (often by extensive developer communities) reduces the development and maintenance burden of individual users.
- Weather forecasting models are widely used and have established user communities providing mechanisms for support.
Author Contributions
Funding
Acknowledgments
Conflicts of Interest
Appendix A
Appendix A.1. Flux-Form Euler Equations
Appendix A.2. The 1.5-Order Turbulence Closure
Appendix B.Summary of Important WRF Model Choices
| Model Choice | ‘Namelist.Input’ Section | Value Used |
|---|---|---|
| tke_heat_flux | &dynamics | 1500–9000 Kms−1(1) |
| diff_opt | &dynamics | 2(2) |
| km_opt | &dynamics | 2(3) |
| scalar_adv_opt | &dynamics | 1(4) |
| mix_full_fields | &dynamics | 1(5) |
| open_xs | &bdy_control | .true.(6) |
| open_xe | &bdy_control | .true.(6) |
| open_ys | &bdy_control | .true.(6) |
| open_ye | &bdy_control | .true.(6) |
| isfflx | &physics | 2(7) |
| sf_sfclay_physics | &physics | 1(8) |
| bl_pbl_physics | &physics | 0(9) |
Appendix C. Entrainment Parameterizations for Wind-Blown Plumes
Appendix D. Dense Gas Model
References
- Jones, A.; Thomson, D.; Hort, M.; Devenish, B. The U.K. Met Office’s Next-Generation Atmospheric Dispersion Model, NAME III. In Air Pollution Modeling and Its Application XVII; Borrego, C., Norman, A.-L., Eds.; Springer: Boston, MA, USA, 2007; pp. 580–589. [Google Scholar]
- Folch, A.; Costa, A.; Macedonio, G. FALL3D: A computational model for transport and deposition of volcanic ash. Comput. Geosci. 2009, 35, 1334–1342. [Google Scholar] [CrossRef]
- Schwaiger, H.F.; Denlinger, R.P.; Mastin, L.G. Ash3d: A finite-volume, conservative numerical model for ash transport and tephra deposition. J. Geophys. Res. Solid Earth 2012, 117, B04204. [Google Scholar] [CrossRef]
- Oberhuber, J.M.; Herzog, M.; Graf, H.-F.; Schwanke, K. Volcanic plume simulation on large scales. J. Volcanol. Geotherm. Res. 1998, 87, 29–53. [Google Scholar] [CrossRef]
- Suzuki, Y.J.; Koyaguchi, T.; Ogawa, M.; Hachisu, I. A numerical study of turbulent mixing in eruption clouds using a three-dimensional fluid dynamics model. J. Geophys. Res. Solid Earth 2005, 110. [Google Scholar] [CrossRef]
- Esposti Ongaro, T.; Cavazzoni, C.; Erbacci, G.; Neri, A.; Salvetti, M.V. A parallel multiphase flow code for the 3D simulation of explosive volcanic eruptions. Parallel Computing 2007, 33, 541–560. [Google Scholar] [CrossRef]
- Cerminara, M.; Esposti Ongaro, T.; Berselli, L.C. ASHEE-1.0: A compressible, equilibrium–Eulerian model for volcanic ash plumes. Geosci. Model Dev. 2016, 9, 697–730. [Google Scholar] [CrossRef]
- Suzuki, Y.J.; Costa, A.; Cerminara, M.; Esposti Ongaro, T.; Herzog, M.; Van Eaton, A.R.; Denby, L.C. Inter-comparison of three-dimensional models of volcanic plumes. J. Volcanol. Geotherm. Res. 2016, 326, 26–42. [Google Scholar] [CrossRef]
- Sparks, R.S.J.; Bursik, M.I.; Carey, S.N.; Gilbert, J.S.; Glaze, L.; Sigurdsson, H.; Woods, A.W. Volcanic Plumes; Wiley: Chichester, UK, 1997. [Google Scholar]
- Mastin, L.G.; Guffanti, M.; Servranckx, R.; Webley, P.; Barsotti, S.; Dean, K.; Durant, A.; Ewert, J.W.; Neri, A.; Rose, W.I.; et al. A multidisciplinary effort to assign realistic source parameters to models of volcanic ash-cloud transport and dispersion during eruptions. J. Volcanol. Geotherm. Res. 2009, 186, 10–21. [Google Scholar] [CrossRef]
- Degruyter, W.; Bonadonna, C. Improving on mass flow rate estimates of volcanic eruptions. Geophys. Res. Lett. 2012, 39, L16308. [Google Scholar] [CrossRef]
- Woodhouse, M.J.; Hogg, A.J.; Phillips, J.C.; Sparks, R.S.J. Interaction between volcanic plumes and wind during the 2010 Eyjafjallajökull eruption, Iceland. J. Geophys. Res. Solid Earth 2013, 118, 92–109. [Google Scholar] [CrossRef]
- Aubry, T.J.; Jellinek, A.M.; Carazzo, G.; Gallo, R.; Hatcher, K.; Dunning, J. A new analytical scaling for turbulent wind-bent plumes: Comparison of scaling laws with analog experiments and a new database of eruptive conditions for predicting the height of volcanic plumes. J. Volcanol. Geotherm. Res. 2017, 343, 233–251. [Google Scholar] [CrossRef]
- Hewett, T.A.; Fay, J.A.; Hoult, D.P. Laboratory experiments of smokestack plumes in a stable atmosphere. Atmos. Environ. 1971, 5, 767–789. [Google Scholar] [CrossRef]
- Morton, B.R.; Taylor, G.I.; Turner, J.S. Turbulent gravitational convection from maintained and instantaneous sources. Proc. Roy. Soc. London, Ser. A 1956, 234, 1–23. [Google Scholar] [CrossRef]
- Woods, A.W. The fluid dynamics and thermodynamics of eruption columns. Bull. Volcanol. 1988, 50, 169–193. [Google Scholar] [CrossRef]
- Costa, A.; Suzuki, Y.J.; Cerminara, M.; Devenish, B.J.; Ongaro, T.E.; Herzog, M.; Van Eaton, A.R.; Denby, L.C.; Bursik, M.; de’ Michieli Vitturi, M.; et al. Results of the eruptive column model inter-comparison study. J. Volcanol. Geotherm. Res. 2016, 326, 2–25. [Google Scholar] [CrossRef]
- Woodhouse, M.J.; Hogg, A.J.; Phillips, J.C.; Rougier, J.C. Uncertainty analysis of a model of wind-blown volcanic plumes. Bull. Volcanol. 2015, 77, 83. [Google Scholar] [CrossRef]
- Marti, A.; Folch, A.; Jorba, O.; Janjic, Z. Volcanic ash modeling with the online NMMB-MONARCH-ASH v1.0 model: Model description, case simulation, and evaluation. Atmos. Chem. Phys. 2017, 17, 4005–4030. [Google Scholar] [CrossRef]
- Poulidis, A.P.; Phillips, J.C.; Renfrew, I.A.; Barclay, J.; Hogg, A.; Jenkins, S.F.; Robertson, R.; Pyle, D.M. Meteorological Controls on Local and Regional Volcanic Ash Dispersal. Scientific Reports 2018, 8, 6873. [Google Scholar] [CrossRef]
- Watt, S.F.L.; Gilbert, J.S.; Folch, A.; Phillips, J.C.; Cai, X.M. An example of enhanced tephra deposition driven by topographically induced atmospheric turbulence. Bull. Volcanol. 2015, 77, 35. [Google Scholar] [CrossRef]
- Poulidis, A.P.; Takemi, T.; Iguchi, M.; Renfrew, I.A. Orographic effects on the transport and deposition of volcanic ash: A case study of Mount Sakurajima, Japan. J. Geophys. Res. Atmos. 2017, 122, 9332–9350. [Google Scholar] [CrossRef]
- Neri, A.; Esposti Ongaro, T.; Macedonio, G.; Gidaspow, D. Multiparticle simulation of collapsing volcanic columns and pyroclastic flow. J. Geophys. Res. Solid Earth 2003, 108, 2202. [Google Scholar] [CrossRef]
- Costa, A.; Suzuki, Y.; Folch, A.; Cioni, R. Numerical models of volcanic eruption plumes: Inter-comparison and sensitivity. J. Volcanol. Geotherm. Res. 2016, 326, 1. [Google Scholar] [CrossRef]
- Cao, Z.; Patra, A.; Bursik, M.; Pitman, E.B.; Jones, M. Plume-SPH 1.0: A three-dimensional, dusty-gas volcanic plume model based on smoothed particle hydrodynamics. Geosci. Model Dev. 2018, 11, 2691–2715. [Google Scholar] [CrossRef]
- Heinold, B.; Tegen, I.; Wolke, R.; Ansmann, A.; Mattis, I.; Minikin, A.; Schumann, U.; Weinzierl, B. Simulations of the 2010 Eyjafjallajökull volcanic ash dispersal over Europe using COSMO–MUSCAT. Atmos. Environ. 2012, 48, 195–204. [Google Scholar] [CrossRef]
- Grell, G.A.; Peckham, S.E.; Schmitz, R.; McKeen, S.A.; Frost, G.; Skamarock, W.C.; Eder, B. Fully coupled “online” chemistry within the WRF model. Atmos. Environ. 2005, 39, 6957–6975. [Google Scholar] [CrossRef]
- Stuefer, M.; Freitas, S.R.; Grell, G.; Webley, P.; Peckham, S.; McKeen, S.A.; Egan, S.D. Inclusion of ash and SO2 emissions from volcanic eruptions in WRF-Chem: Development and some applications. Geosci. Model Dev. 2013, 6, 457–468. [Google Scholar] [CrossRef]
- Ahmadov, R.; Peckham, S.; Grell, G.; Pagowski, M.; McKeen, S.; Barth, M.; Wiedinmyer, C.; Pfister, G.; Kumar, R.; Knote, C.; et al. Best Practices for Applying WRF-Chem 3.8.1. Available online: https://ruc.noaa.gov/wrf/wrf-chem/wrf_tutorial_2017/Best_Practices.pdf (accessed on 16 April 2020).
- Skamarock, W.C.; Klemp, J.B.; Dudhia, J.; Gill, D.O.; Barker, O.M.; Wang, W.; Powers, J.G. A description of the Advanced Research WRF Version 2. In NCAR Tech Notes-468+STR. 2005. Available online: https://opensky.ucar.edu/islandora/object/technotes:479 (accessed on 16 April 2020). [CrossRef]
- Weather Research and Forecasting Model. Available online: https://www.mmm.ucar.edu/weather-research-and-forecasting-model (accessed on 16 April 2020).
- Powers, J.G.; Klemp, J.B.; Skamarock, W.C.; Davis, C.A.; Dudhia, J.; Gill, D.O.; Coen, J.L.; Gochis, D.J.; Ahmadov, R.; Peckham, S.E.; et al. The Weather Research and Forecasting Model: Overview, System Efforts, and Future Directions. Bull. Am. Meteorol. Soc. 2017, 98, 1717–1737. [Google Scholar] [CrossRef]
- Fernando, H.J.S. Handbook of Environmental Fluid Dynamics; Taylor & Francis: Boca Raton, FL, USA, 2013. [Google Scholar]
- NCEP-GFS. Available online: https://www.ncdc.noaa.gov/data-access/model-data/model-datasets/global-forcast-system-gfs (accessed on 16 April 2020).
- Poulidis, A.P.; Renfrew, I.A.; Matthews, A.J. Thermally Induced Convective Circulation and Precipitation over an Isolated Volcano. J. Atmos. Sci. 2016, 73, 1667–1686. [Google Scholar] [CrossRef]
- Innes, P.; Dorling, S. Operational Weather Forecasting; Wiley-Blackwell: London, UK, 2013. [Google Scholar]
- Elghobashi, S. On predicting particle-laden turbulent flows. Appl. Sci. Res. 1994, 52, 309–329. [Google Scholar] [CrossRef]
- Devenish, B.J.; Rooney, G.G.; Webster, H.N.; Thomson, D.J. The Entrainment Rate for Buoyant Plumes in a Crossflow. Boundary Layer Meteorol. 2010, 134, 411–439. [Google Scholar] [CrossRef]
- Arakawa, A.; Lamb, V.R. Computational Design of the Basic Dynamical Processes of the UCLA General Circulation Model. In Methods in Computational Physics: Advances in Research and Applications; Chang, J., Ed.; Elsevier: New York, NY, USA, 1977; Volume 17, pp. 173–265. [Google Scholar]
- User’s Guides for the Advanced Research WRF (ARW) Modeling System, Version 3. Available online: https://www2.mmm.ucar.edu/wrf/users/docs/user_guide_V3/contents.html (accessed on 16 April 2020).
- U.S. Standard Atmosphere; U.S. Government Printing Office: Washington, DC, USA, 1976.
- Sparks, R.S.J. The dimensions and dynamics of volcanic eruption columns. Bull. Volcanol. 1986, 48, 3–15. [Google Scholar] [CrossRef]
- Burton, R.R.; Dudhia, J.; Gadian, A.M.; Mobbs, S.D. The use of a numerical weather prediction model to simulate the release of a dense gas with an application to the Lake Nyos disaster of 1986. Meteorol. Appl. 2017, 24, 43–51. [Google Scholar] [CrossRef]
- Turner, J.S. Buoyancy Effects in Fluids; Cambridge University Press: Cambridge, UK, 1973. [Google Scholar]
- Morton, B.R.; Middleton, J. Scale diagrams for forced plumes. J. Fluid Mech. 1973, 58, 165–176. [Google Scholar] [CrossRef]
- Hunt, G.R.; Kaye, N.B. Lazy plumes. J. Fluid Mech. 2005, 533, 329–338. [Google Scholar] [CrossRef]
- Devenish, B.J.; Edwards, J.M. Large-eddy simulation of the plume generated by the fire at the Buncefield oil depot in December 2005. Proc. Roy. Soc. London, Ser. A 2009, 465, 397–419. [Google Scholar] [CrossRef]
- Batchelor, G.K. Heat convection and buoyancy effects in fluids. Q. J. Roy. Meteorol. Soc. 1954, 80, 339–358. [Google Scholar] [CrossRef]
- Kaminski, E.; Tait, S.; Carazzo, G. Turbulent entrainment in jets with arbitrary buoyancy. J. Fluid Mech. 2005, 526, 361–376. [Google Scholar] [CrossRef]
- Ezzamel, A.; Salizzoni, P.; Hunt, G.R. Dynamical variability of axisymmetric buoyant plumes. J. Fluid Mech. 2015, 765, 576–611. [Google Scholar] [CrossRef]
- Papanicolaou, P.N.; List, E.J. Investigations of round vertical turbulent buoyant jets. J. Fluid Mech. 1988, 195, 341–391. [Google Scholar] [CrossRef]
- List, E.J. Turbulent Jets and Plumes. Annu. Rev. Fluid Mech. 1982, 14, 189–212. [Google Scholar] [CrossRef]
- Bursik, M. Effect of wind on the rise height of volcanic plumes. Geophys. Res. Lett. 2001, 28, 3621–3624. [Google Scholar] [CrossRef]
- Carazzo, G.; Girault, F.; Aubry, T.; Bouquerel, H.; Kaminski, E. Laboratory experiments of forced plumes in a density-stratified crossflow and implications for volcanic plumes. Geophys. Res. Lett. 2014, 41, 8759–8766. [Google Scholar] [CrossRef]
- Abraham, G. The Flow of Round Buoyant Jets Issuing Vertically into Ambient Fluid Flowing in a Horizontal Direction; Delft Hydraulics Laboratory: Delft, The Netherlands, 1971. [Google Scholar]
- Ooms, G. A new method for the calculation of the plume path of gases emitted by a stack. Atmos. Environ. 1972, 6, 899–909. [Google Scholar] [CrossRef]
- Contini, D.; Donateo, A.; Cesari, D.; Robins, A.G. Comparison of plume rise models against water tank experimental data for neutral and stable crossflows. J. Wind Eng. Ind. Aerodyn. 2011, 99, 539–553. [Google Scholar] [CrossRef]
- Ernst, G.G.J.; Davis, J.P.; Sparks, R.S.J. Bifurcation of volcanic plumes in a crosswind. Bull. Volcanol. 1994, 56, 159–169. [Google Scholar] [CrossRef]
- Kasten, F. Falling Speed of Aerosol Particles. J. Appl. Meteorol. 1968, 7, 944–947. [Google Scholar] [CrossRef]
- Wilson, L.; Huang, T.C. The influence of shape on the atmospheric settling velocity of volcanic ash particles. Earth Planet. Sci. Lett. 1979, 44, 311–324. [Google Scholar] [CrossRef]
- Rowland, S.K.; Garbeil, H.; Harris, A.J.L. Lengths and hazards from channel-fed lava flows on Mauna Loa, Hawai‘i, determined from thermal and downslope modeling with FLOWGO. Bull. Volcanol. 2005, 67, 634–647. [Google Scholar] [CrossRef]
- Durand, J.; Tulet, P.; Leriche, M.; Bielli, S.; Villeneuve, N.; Muro, A.D.; Fillipi, J.-B. Modeling the lava heat flux during severe effusive volcanic eruption: An important impact on surface air quality. J. Geophys. Res. Atmos. 2014, 119, 11729–11742. [Google Scholar] [CrossRef][Green Version]
- Ilyinskaya, E.; Mobbs, S.; Burton, R.; Burton, M.; Pardini, F.; Pfeffer, M.A.; Purvis, R.; Lee, J.; Bauguitte, S.; Brooks, B.; et al. Globally Significant CO2 Emissions From Katla, a Subglacial Volcano in Iceland. Geophys. Res. Lett. 2018, 45, 10332–10341. [Google Scholar] [CrossRef]
- Woods, A.W.; Bursik, M.I. Particle fallout, thermal disequilibrium and volcanic plumes. Bull. Volcanol. 1991, 53, 559–570. [Google Scholar] [CrossRef]
- Sparks, R.S.J.; Wilson, L. A model for the formation of ignimbrite by gravitational column collapse. J. Geol. Soc. 1976, 132, 441–451. [Google Scholar] [CrossRef]
- Tupper, A.; Textor, C.; Herzog, M.; Graf, H.-F.; Richards, M.S. Tall clouds from small eruptions: The sensitivity of eruption height and fine ash content to tropospheric instability. Nat. Hazards 2009, 51, 375–401. [Google Scholar] [CrossRef]
- Stull, R.B. An Introduction to Boundary Layer Meteorology; Kluwer Academic Publishers: Dordrecht, The Netherlands, 1988. [Google Scholar]
- Yamada, T.; Mellor, G. A Simulation of the Wangara Atmospheric Boundary Layer Data. J. Atmos. Sci. 1975, 32, 2309–2329. [Google Scholar] [CrossRef]















| Run Number | Vent Heat Flux Density Q | Associated Temperature Difference at Lowest Model Level |
|---|---|---|
| 1 | 1.8 × 106 W m−2 | 200 K |
| 2 | 3.2 × 106 W m−2 | 285 K |
| 3 | 4.4 × 106 W m−2 | 380 K |
| 4 | 6.4 × 106 W m−2 | 505 K |
| 5 | 8.8 × 106 W m−2 | 615 K |
| 6 | 1.1 × 107 W m−2 | 700 K |
© 2020 by the authors. Licensee MDPI, Basel, Switzerland. This article is an open access article distributed under the terms and conditions of the Creative Commons Attribution (CC BY) license (http://creativecommons.org/licenses/by/4.0/).
Share and Cite
Burton, R.R.; Woodhouse, M.J.; Gadian, A.M.; Mobbs, S.D. The Use of a Numerical Weather Prediction Model to Simulate Near-Field Volcanic Plumes. Atmosphere 2020, 11, 594. https://doi.org/10.3390/atmos11060594
Burton RR, Woodhouse MJ, Gadian AM, Mobbs SD. The Use of a Numerical Weather Prediction Model to Simulate Near-Field Volcanic Plumes. Atmosphere. 2020; 11(6):594. https://doi.org/10.3390/atmos11060594
Chicago/Turabian StyleBurton, Ralph R., Mark J. Woodhouse, Alan M. Gadian, and Stephen D. Mobbs. 2020. "The Use of a Numerical Weather Prediction Model to Simulate Near-Field Volcanic Plumes" Atmosphere 11, no. 6: 594. https://doi.org/10.3390/atmos11060594
APA StyleBurton, R. R., Woodhouse, M. J., Gadian, A. M., & Mobbs, S. D. (2020). The Use of a Numerical Weather Prediction Model to Simulate Near-Field Volcanic Plumes. Atmosphere, 11(6), 594. https://doi.org/10.3390/atmos11060594

