Aridity Trends in Central America: A Spatial Correlation Analysis
Abstract
:1. Introduction
2. Materials and Methods
- Precipitation: Monthly precipitation data for 199 stations in Central America from 1970 to 1999 were obtained from the NUMEROSA database of the Center for Geophysical Research (CIGEFI in Spanish) of the University of Costa Rica. The data were originally obtained at daily time scales from the national weather and hydrological services of Central America (Figure 1).
- Temperature: Monthly near-surface temperature data were obtained from the database described in [9] (hereinafter referred as H2017). The H2017 is a gridded data set at 5 km × 5 km resolution over Central America, and the nearest grid points to the 199 precipitation station locations were selected for the analysis. The data were processed using a special weighted interpolation technique that considers seven kinds of weights: distance between the stations, elevation, cluster, vertical layer, topographic facet, coastal proximity and effective terrain. The interpolation is a variation of the Parameter-elevation Regressions on Independent Slopes (PRISM) method by [19,20,21]. The raw data for the interpolation was composed of temperature observations from NUMEROSA meteorological stations and a coarse gridded data set by [22]. For details, the reader can refer to [9], including the supplementary information. Monthly temperature data were used to derive maximum (Tmax) and minimum (Tmin) temperature daily values using the WeaGETS stochastic weather generator ([23]). Tmax and Tmin are necessary in the calculation of PET using the Hargreaves formula (see description below), and the daily temporal resolution is needed for the hydrological model runs (also described below). The parameters of WeaGETS were obtained from a set of 45 NUMEROSA Central America daily Tmax and Tmin meteorological stations depicted in Figure S1 of [9]. The parameters of the nearest station from this data set to each of the 199 H2017 locations were selected for WeaGETS simulations. Using WeaGETS, 300 years of daily Tmax and Tmin data were simulated at each of the H2017 locations to form a pool of candidate Tmax and Tmin daily data for desegregating the monthly H2017 average temperature data. The objective here is to produce an “acceptable” statistical pool of Tmin and Tmax values. Each month of H2017 data was compared to each candidate monthly average of simulated average of the Tmax and Tmin daily data, the closest simulated match was re-scaled to make it equal to the target H2017 month using an additive factor. The resulting factor was applied over all days of daily Tmax, Tmin and average temperature of the selected simulated month with the objective to constrain the monthly averages of the daily data to the monthly H2017 drifts. The procedure was repeated for each of the H2017 months from 1970 to 1999 and for all 199 locations.
- Runoff: Total runoff (surface plus base flow) was obtained from modeling the precipitation and temperature data mentioned above, using the Variable Infiltration Capacity (VIC) macro scale hydrological model ([24]). VIC has been used in many climate variability and change applications at local and global domains ([2,18,25,26,27]). The daily precipitation and temperature data described before, along with wind-speed daily norms obtained from the National Center for Environmental Prediction and National Center for Atmospheric Research reanalysis ([28]) were used as meteorological forcing data for VIC simulations. At each of the 199 station locations, 1000 VIC simulations were obtained by varying the model’s parameters at random. The median of the 1000 simulations at each day composed the runoff daily time series at each of the 199 locations. The parameter ranges, as well as ancillary land surface information were obtained from [18]. The data were converted to annual averages.
- PET: Monthly PET was obtained using the Hargreaves method ([29]) and the Tmax and Tmin temperature data, and radiation at the top of the atmosphere, which depends on julian day of the year and latitude.
- Aridity: An aridity index was computed as the annual average of the ratio of precipitation (representing water supply) over PET (representing water demand from the atmosphere). Smaller ratios are associated with higher aridity.
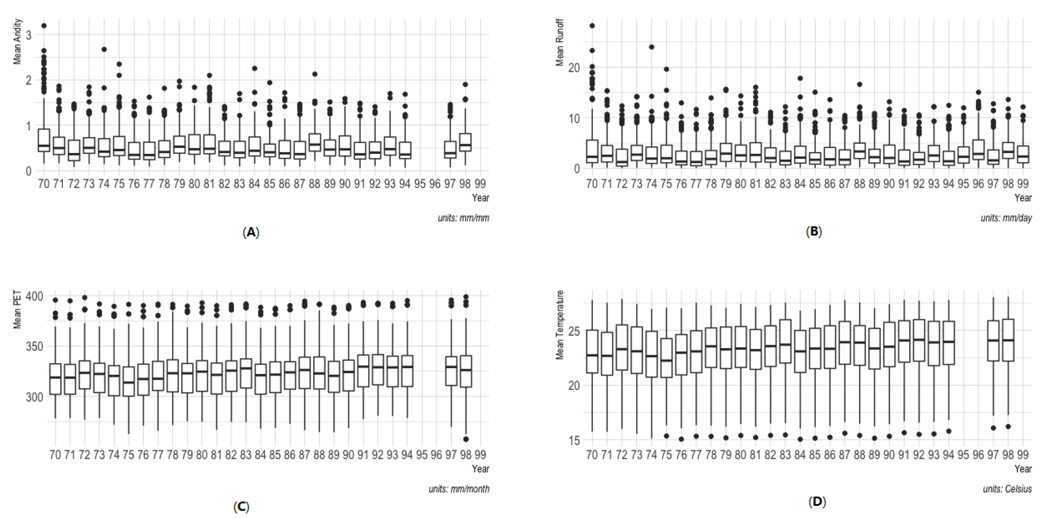
3. Results
3.1. Spatial Modeling
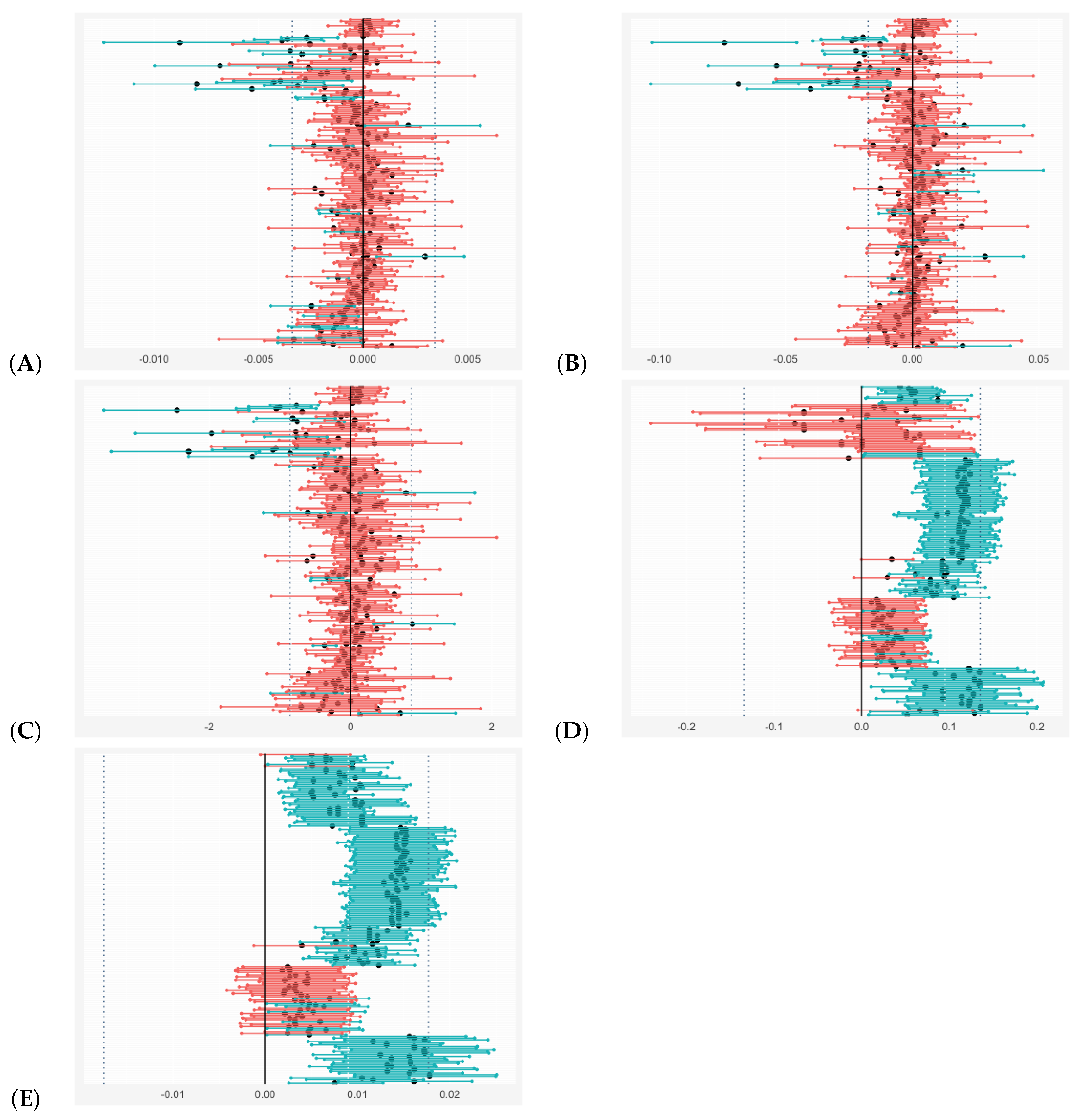
3.2. Temporal Trends Confidence Intervals
4. Discussion
5. Conclusions
Author Contributions
Funding
Acknowledgments
Conflicts of Interest
Abbreviations
| PET | Potential Evapotranspiration |
| H2017 | Monthly temperature database from [9] |
| Tmax | Near-surface maximum air temperature |
| Tmin | Near-surface minimum air temperature |
| VIC | Variable Infiltration Capacity macroscale hydrological model |
| MAD | Mean absolute deviations |
Appendix A

References
- Barnett, T.P.; Pierce, D.W.; Hidalgo, H.G.; Bonfils, C.; Santer, B.D.; Das, T.; Bala, G.; Wood, A.W.; Nozawa, T.; Mirin, A.A.; et al. Human-Induced Changes in the Hydrology of the Western United States. Science 2008, 319, 1080–1083. [Google Scholar] [CrossRef] [Green Version]
- Hidalgo, H.G.; Das, T.; Dettinger, M.D.; Cayan, D.R.; Pierce, D.W.; Barnett, T.P.; Bala, G.; Mirin, A.; Wood, A.W.; Bonfils, C.; et al. Detection and Attribution of Streamflow Timing Changes to Climate Change in the Western United States. J. Clim. 2009, 22, 3838–3855. [Google Scholar] [CrossRef]
- IPCC. Climate Change 2013—The Physical Science Basis; Cambridge University Press: Cambridge, UK, 2009. [Google Scholar] [CrossRef] [Green Version]
- Marvel, K.; Cook, B.I.; Bonfils, C.J.W.; Durack, P.J.; Smerdon, J.E.; Williams, A.P. Twentieth-century hydroclimate changes consistent with human influence. Nature 2019, 569, 59–65. [Google Scholar] [CrossRef] [PubMed]
- Pierce, D.W.; Barnett, T.P.; Hidalgo, H.G.; Das, T.; Bonfils, C.; Santer, B.D.; Bala, G.; Dettinger, M.D.; Cayan, D.R.; Mirin, A.; et al. Attribution of Declining Western U.S. Snowpack to Human Effects. J. Clim. 2008, 21, 6425–6444. [Google Scholar] [CrossRef] [Green Version]
- Das, T.; Hidalgo, H.G.; Pierce, D.W.; Barnett, T.P.; Dettinger, M.D.; Cayan, D.R.; Bonfils, C.; Bala, G.; Mirin, A. Structure and Detectability of Trends in Hydrological Measures over the Western United States. J. Hydrometeorol. 2009, 10, 871–892. [Google Scholar] [CrossRef] [Green Version]
- Livezey, R.E.; Chen, W.Y. Statistical Field Significance and its Determination by Monte Carlo Techniques. Mon. Weather Rev. 1983, 111, 46–59. [Google Scholar] [CrossRef] [Green Version]
- Buarque, D.C.; Clarke, R.T.; Mendes, C.A.B. Spatial correlation in precipitation trends in the Brazilian Amazon. J. Geophys. Res. 2010, 115. [Google Scholar] [CrossRef]
- Hidalgo, H.G.; Alfaro, E.J.; Quesada-Montano, B. Observed (1970–1999) climate variability in Central America using a high-resolution meteorological dataset with implication to climate change studies. Clim. Chang. 2017, 141, 13–28. [Google Scholar] [CrossRef] [Green Version]
- Hidalgo, H.G.; Alfaro, E.J.; Amador, J.A.; Bastidas, Á. Precursors of quasi-decadal dry-spells in the Central America Dry Corridor. Clim. Dyn. 2019, 53, 1307–1322. [Google Scholar] [CrossRef]
- Aguilar, E.; Peterson, T.C.; Obando, P.R.; Frutos, R.; Retana, J.A.; Solera, M.; Soley, J.; García, I.G.; Araujo, R.M.; Santos, A.R.; et al. Changes in precipitation and temperature extremes in Central America and northern South America, 1961–2003. J. Geophys. Res. Atmos. 2005, 110. [Google Scholar] [CrossRef]
- Jones, P.D.; Harpham, C.; Harris, I.; Goodess, C.M.; Burton, A.; Centella-Artola, A.; Taylor, M.A.; Bezanilla-Morlot, A.; Campbell, J.D.; Stephenson, T.S.; et al. Long-term trends in precipitation and temperature across the Caribbean. Int. J. Climatol. 2016, 36, 3314–3333. [Google Scholar] [CrossRef] [Green Version]
- Stephenson, T.S.; Vincent, L.A.; Allen, T.; Van Meerbeeck, C.J.; McLean, N.; Peterson, T.C.; Taylor, M.A.; Aaron-Morrison, A.P.; Auguste, T.; Bernard, D.; et al. Changes in extreme temperature and precipitation in the Caribbean region, 1961–2010. Int. J. Climatol. 2014, 34, 2957–2971. [Google Scholar] [CrossRef]
- Hannah, L.; Donatti, C.I.; Harvey, C.A.; Alfaro, E.; Rodriguez, D.A.; Bouroncle, C.; Castellanos, E.; Diaz, F.; Fung, E.; Hidalgo, H.G.; et al. Regional modeling of climate change impacts on smallholder agriculture and ecosystems in Central America. Clim. Chang. 2017, 141, 29–45. [Google Scholar] [CrossRef] [Green Version]
- Cavazos, T.; Luna-Niño, R.; Cerezo-Mota, R.; Fuentes-Franco, R.; Méndez, M.; Martínez, L.F.P.; Valenzuela, E. Climatic trends and regional climate models intercomparison over the CORDEX-CAM (Central America, Caribbean, and Mexico) domain. Int. J. Climatol. 2019. [Google Scholar] [CrossRef]
- Hidalgo-León, H.G.; Herrero-Madriz, C.; Alfaro-Martínez, E.J.; Muñoz, A.G.; Mora-Sandí, N.P.; Mora-Alvarado, D.A.; Chacón-Salazar, V.H. Urban Waters in Costa Rica. In Urban Water Challenges in the Americas. A Perspective from the Academies of Sciences; Vammen, K., de la Cruz-Molina, A., Eds.; The Inter-American Network of Academies of Sciences (IANAS): Distrito Federal, Mexico, 2015; pp. 202–225. [Google Scholar]
- Anderson, T.G.; Anchukaitis, K.J.; Pons, D.; Taylor, M. Multiscale trends and precipitation extremes in the Central American Midsummer Drought. Environ. Res. Lett. 2019, 14, 124016. [Google Scholar] [CrossRef]
- Hidalgo, H.G.; Amador, J.A.; Alfaro, E.J.; Quesada, B. Hydrological climate change projections for Central America. J. Hydrol. 2013, 495, 94–112. [Google Scholar] [CrossRef]
- Daly, C.; Neilson, R.P.; Phillips, D.L. A Statistical-Topographic Model for Mapping Climatological Precipitation over Mountainous Terrain. J. Appl. Meteorol. 1994, 33, 140–158. [Google Scholar] [CrossRef] [Green Version]
- Daly, C.; Gibson, W.P.; Taylor, G.H.; Johnson, G.L.; Pasteris, P. A knowledge-based approach to the statistical mapping of climate. Clim. Res. 2002, 22, 99–113. [Google Scholar] [CrossRef] [Green Version]
- Daly, C.; Halbleib, M.; Smith, J.I.; Gibson, W.P.; Doggett, M.K.; Taylor, G.H.; Curtis, J.; Pasteris, P.P. Physiographically sensitive mapping of climatological temperature and precipitation across the conterminous United States. Int. J. Climatol. 2008, 28, 2031–2064. [Google Scholar] [CrossRef]
- Maurer, E.P.; Adam, J.C.; Wood, A.W. Climate model based consensus on the hydrologic impacts of climate change to the Rio Lempa basin of Central America. Hydrol. Earth Syst. Sci. 2009, 13, 183–194. [Google Scholar] [CrossRef] [Green Version]
- Chen, J. Stochastic Weather Generator (WeaGETS), MATLAB Central File Exchange. 2020. Available online: https://www.mathworks.com/matlabcentral/fileexchange/29136-stochastic-weather-generator-weagets (accessed on 8 January 2020).
- Liang, X.; Lettenmaier, D.P.; Wood, E.F.; Burges, S.J. A simple hydrologically based model of land surface water and energy fluxes for general circulation models. J. Geophys. Res. 1994, 99, 14415–14428. [Google Scholar] [CrossRef]
- Lin, P.; Pan, M.; Beck, H.E.; Yang, Y.; Yamazaki, D.; Frasson, R.; David, C.H.; Durand, M.; Pavelsky, T.M.; Allen, G.H.; et al. Global Reconstruction of Naturalized River Flows at 2.94 Million Reaches. Water Resour. Res. 2019, 55, 6499–6516. [Google Scholar] [CrossRef] [PubMed] [Green Version]
- Zhu, Y.; Liu, Y.; Wang, W.; Singh, V.P.; Ma, X.; Yu, Z. Three dimensional characterization of meteorological and hydrological droughts and their probabilistic links. J. Hydrol. 2019, 578. [Google Scholar] [CrossRef]
- Rakovec, O.; Mizukami, N.; Kumar, R.; Newman, A.J.; Thober, S.; Wood, A.W.; Clark, M.P.; Samaniego, L. Diagnostic Evaluation of Large-Domain Hydrologic Models Calibrated Across the Contiguous United States. J. Geophys. Res. Atmos. 2019. [Google Scholar] [CrossRef] [Green Version]
- Kalnay, E.; Kanamitsu, M.; Kistler, R.; Collins, W.; Deaven, D.; Gandin, L.; Iredell, M.; Saha, S.; White, G.; Woollen, J.; et al. The NCEP/NCAR 40-Year Reanalysis Project. Bull. Am. Meteorol. Soc. 1996, 77, 437–472. [Google Scholar] [CrossRef] [Green Version]
- Hargreaves, G.H. Moisture Availability and Crop Production. Trans. Am. Soc. Agric. Eng. 1975, 18, 980–984. [Google Scholar] [CrossRef]
- Bivand, R.S.; Pebesma, E.J.; Gómez-Rubio, V. Applied Spatial Data Analysis with R; Springer: New York, NY, USA, 2008. [Google Scholar] [CrossRef]
- Azam, M.; Maeng, S.; Kim, H.; Lee, S.; Lee, J. Spatial and Temporal Trend Analysis of Precipitation and Drought in South Korea. Water 2018, 10, 765. [Google Scholar] [CrossRef] [Green Version]
- R Core Team. R: A Language and Environment for Statistical Computing; R Foundation for Statistical Computing: Vienna, Austria, 2018. [Google Scholar]
- Wickham, H. Welcome to the tidyverse. J. Open Source Softw. 2019, 4, 1686. [Google Scholar] [CrossRef]
- Alfaro, E.J. Caracterización del “veranillo” en dos cuencas de la vertiente del Pacífico de Costa Rica, América Central. Rev. De Biol. Trop. 2014, 62, 1–15. [Google Scholar] [CrossRef] [Green Version]
- Alfaro, E.J.; Hidalgo, H.G. Propuesta metodológica para la predicción climática estacional del veranillo en la cuenca del río Tempisque, Costa Rica, América Central. Tópicos Meteorológicos Y Ocean. 2017, 16, 62–74. [Google Scholar]
- Gotlieb, Y.; Pérez-Briceño, P.M.; Hidalgo, H.G.; Alfaro, E.J. The Central American Dry Corridor: A consensus statement and its background. Rev. Yu’am 2019, 3, 42–51. [Google Scholar]
- Quesada-Hernández, L.E.; Calvo-Solano, O.D.; Hidalgo, H.G.; Pérez-Briceño, P.M.; Alfaro, E.J. Dynamical delimitation of the Central American Dry Corridor (CADC) using drought indices and aridity values. Prog. Phys. Geogr. Earth Environ. 2019, 43, 627–642. [Google Scholar] [CrossRef]
- Quesada-Hernández, L.E.; Hidalgo, H.; Alfaro, E. Asociación entre algunos índices de sequía e impactos socio-productivos en el Pacífico Norte de Costa Rica. Rev. De Cienc. Ambient. 2020, 54, 16–32. [Google Scholar] [CrossRef] [Green Version]
- Quesada-Hernández, L.E. Respuesta de la hidrología superficial de la cuenca del Río Tempisque a la variabilidad climática y cambio de cobertura de la tierra. Master’s Thesis, Universidad de Costa Rica, San Pedro, San José, Costa Rica, 2019. (In Spanish). [Google Scholar]
- Hidalgo, H.G.; Alfaro, E.J. Some physical and socio-economic aspects of climate change in Central America. Prog. Phys. Geogr. Earth Environ. 2012, 36, 379–399. [Google Scholar] [CrossRef]
- Moreno, M.L.; Hidalgo, H.G.; Alfaro, E.J. Cambio climático y su efecto sobre los servicios ecosistémicos en dos parques nacionales de Costa Rica, América Central. Rev. Iberoam. De Econ. Ecológica 2019, 30, 16–38. [Google Scholar]






| Variable | Units | Minimum | 1st Q | Median | Mean | 3rd Q | Maximum | NA* Count |
|---|---|---|---|---|---|---|---|---|
| Aridity | mm/mm | 0.0545 | 0.3091 | 0.4451 | 0.5445 | 0.7166 | 3.1941 | 597 |
| PET | mm/month | 257.5 | 305.9 | 321.9 | 322.5 | 336.8 | 398.9 | 597 |
| Precipitation | mm/month | 17.96 | 101.85 | 146.40 | 173.51 | 223.24 | 1003.94 | 398 |
| Runoff | mm/day | 0.0211 | 0.9550 | 2.0872 | 3.0077 | 4.2911 | 28.2281 | 0 |
| Temperature | °C | 15.05 | 21.50 | 23.50 | 23.17 | 25.38 | 28.08 | 597 |
| Trend | Mean (Change/Year) | Nugget (Change/Year) | Psill (Change/Year) | Range a (Degrees) | Nugget to Psill Ratio | Weighted |
|---|---|---|---|---|---|---|
| Aridity | 6.259 | 0.2000 | 0.9983 | |||
| PET | 0 | 5.00 | 0 | 0.9999 | ||
| Precipitation | 7.86 | 0.4615 | 0.9997 | |||
| Runoff | 10.00 | 0.3426 | 0.9997 | |||
| Temperature | 7.00 | 0.0006 | 0.9999 |
© 2020 by the authors. Licensee MDPI, Basel, Switzerland. This article is an open access article distributed under the terms and conditions of the Creative Commons Attribution (CC BY) license (http://creativecommons.org/licenses/by/4.0/).
Share and Cite
Alfaro-Córdoba, M.; Hidalgo, H.G.; Alfaro, E.J. Aridity Trends in Central America: A Spatial Correlation Analysis. Atmosphere 2020, 11, 427. https://doi.org/10.3390/atmos11040427
Alfaro-Córdoba M, Hidalgo HG, Alfaro EJ. Aridity Trends in Central America: A Spatial Correlation Analysis. Atmosphere. 2020; 11(4):427. https://doi.org/10.3390/atmos11040427
Chicago/Turabian StyleAlfaro-Córdoba, Marcela, Hugo G. Hidalgo, and Eric J. Alfaro. 2020. "Aridity Trends in Central America: A Spatial Correlation Analysis" Atmosphere 11, no. 4: 427. https://doi.org/10.3390/atmos11040427
APA StyleAlfaro-Córdoba, M., Hidalgo, H. G., & Alfaro, E. J. (2020). Aridity Trends in Central America: A Spatial Correlation Analysis. Atmosphere, 11(4), 427. https://doi.org/10.3390/atmos11040427
