Improving Ensemble Forecasting Using Total Least Squares and Lead-Time Dependent Bias Correction
Abstract
1. Introduction
2. Study Area and Data
3. Methodology
3.1. Meteorological Model: Weather Research and Forecasting (WRF) Model
3.2. Hydrological Model: Sejong University Rainfall Runoff Model (SURR)
3.3. Real-Time Forecast Data Post-Processing
3.4. Accuracy Assessment
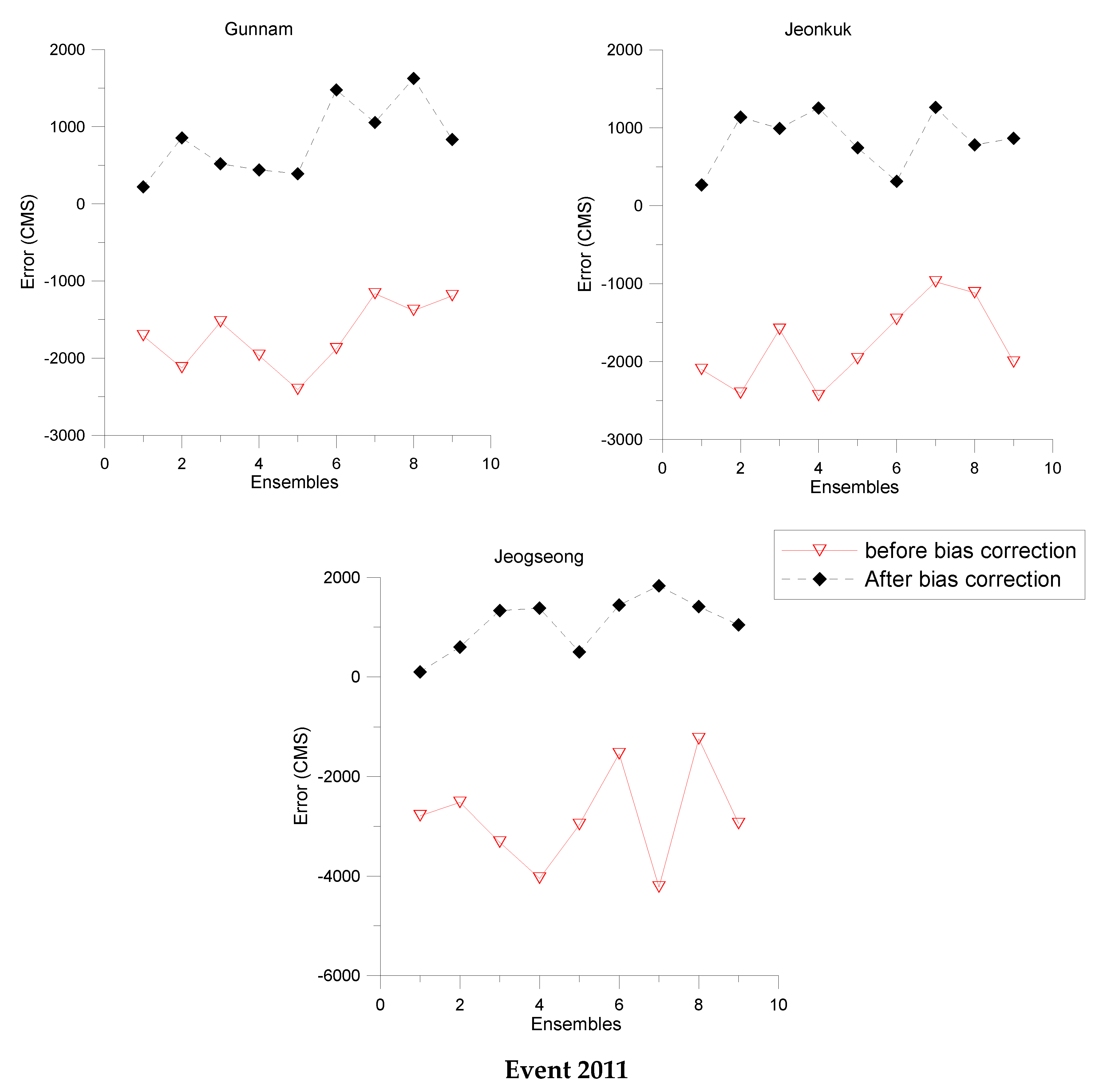
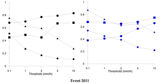
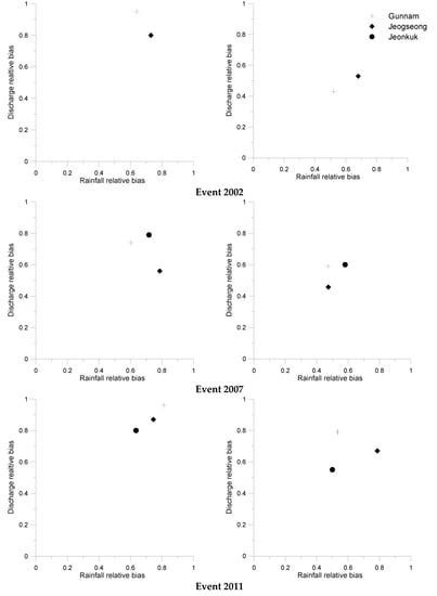
4. Results and Analysis
5. Discussion
6. Conclusions
Author Contributions
Funding
Conflicts of Interest
Abbreviations
| ARPS | Advanced Regional Prediction System |
| BJP | Bayesian Joint Probability |
| CSI | Critical Success Index |
| DEM | Digital Elevation Model |
| DW | Dynamic Weighting |
| EPPs | Ensemble Precipitation Predictions |
| FAO | Food and Agriculture Organization |
| FAR | False Alarm Ratio |
| GFS | Global Forecast System |
| KGE | Kling–Gupta Efficiency |
| MAE | Mean Areal Evapotranspiration |
| MAER | Mean Absolute Error |
| MAP | Mean Areal Precipitation |
| MOS | Model Output Statistics |
| NWP | Numerical Weather Prediction |
| OLS | Ordinary Least Squares |
| PC | Percent Correct |
| POD | Probability of Detection |
| QC | Quality Control |
| QPF | Quantitative Precipitation Forecast |
| QRF | Quantile Regression Forest |
| SI | Scatter Index |
| TLS | Total Least Squares |
| WDM6 | WRF Double-Moment 6-Class |
| WRF | Weather Research and Forecasting |
Appendix A
References
- Robertson, D.E.; Shrestha, D.L.; Wang, Q.J. Post-processing rainfall forecasts from numerical weather prediction models for short-term streamflow forecasting. Hydrol. Earth Syst. Sci. Discuss. 2013, 17, 3587–3603. [Google Scholar] [CrossRef]
- Jha, S.K.; Shrestha, D.L.; Stadnyk, T.; Coulibaly, P. Evaluation of ensemble precipitation forecasts generated through postprocessing in a Canadian catchment. Hydrol. Earth Syst. Sci. Discuss. 2018, 22, 1957–1969. [Google Scholar] [CrossRef]
- Yucel, I.; Onen, A.; Yilmaz, K.K.; Gochis, D.J. Calibration and evaluation of a flood forecasting system: Utility of numerical weather prediction model, data assimilation and satellite-based rainfall. J. Hydrol. 2015, 523, 49–66. [Google Scholar] [CrossRef]
- Cloke, H.L.; Pappenberger, F. Ensemble flood forecasting: A review. J. Hydrol. 2009, 375, 613–626. [Google Scholar] [CrossRef]
- Jee, J.B.; Kim, S. Sensitivity Study on High-Resolution WRF Precipitation Forecast for a Heavy Rainfall Event. Atmosphere 2017, 8, 96. [Google Scholar] [CrossRef]
- Wang, X.; Steinle, P.; Seed, A.; Xiao, Y. The Sensitivity of Heavy Precipitation to Horizontal Resolution, Domain Size, and Rain Rate Assimilation: Case Studies with a Convection-Permitting Model. Adv. Meteorol. 2016, 2016, 7943845. [Google Scholar] [CrossRef]
- Goswami, P.; Shivappa, H.; Goud, S. Comparative analysis of the role of domain size, horizontal resolution and initial conditions in the simulation of tropical heavy rainfall events. Meteorol. Appl. 2012, 19, 170–178. [Google Scholar] [CrossRef]
- Calvetti, L.; Pereira, F.A.J. Ensemble hydrometeorological forecasts using WRF hourly QPF and TopModel for a middle watershed. Adv. Meteorol. 2014, 2014, 484120. [Google Scholar] [CrossRef]
- Pappenberger, F.; Beven, K.J.; Hunter, N.; Bates, P.D.; Gouweleeuw, B.; Thielen, J.; DeRoo, A.P.J. Cascading model uncertainty from medium range weather forecasts (10 days) through a rainfall–runoff model to flood inundation predictions within the European Flood Forecasting System (EFFS). Hydrol. Earth Syst. Sci. Discuss. 2005, 9, 381–393. [Google Scholar] [CrossRef]
- Shrestha, D.L.; Robertson, D.E.; Bennett, J.C.; Wang, Q.J. Improving precipitation forecasts by generating ensembles through postprocessing. Mon. Weather Rev. 2015, 143, 3642–3663. [Google Scholar] [CrossRef]
- Carlberg, B.R.; Gallus, W.A., Jr.; Franz, K.J. A preliminary examination of WRF ensemble prediction of convective mode evolution. Weather Forecast. 2018, 33, 783–798. [Google Scholar] [CrossRef]
- Bhuiyan, M.A.E.; Nikolopoulos, E.I.; Anagnostou, E.N.; Quintana-Seguí, P.; Barella-Ortiz, A. A Nonparametric Statistical Technique for Combining Global Precipitation Datasets: Development and Hydrological Evaluation over the Iberian Peninsula. Hydrol. Earth Syst. Sci. Discuss. 2018. [Google Scholar] [CrossRef]
- Nguyen, H.M.; Bae, D.H. An approach for improving the capability of a coupled meteorological and hydrological model for rainfall and flood forecasts. J. Hydrol. 2019, 577, 124014. [Google Scholar] [CrossRef]
- Sikder, M.S.; Hossain, F. Improving operational flood forecasting in monsoon climates with bias corrected quantitative forecasting of precipitation. Int. J. River Basin Manag. 2019, 17, 411–421. [Google Scholar] [CrossRef]
- Cuo, L.; Pagano, T.C.; Wang, Q. A review of quantitative precipitation forecasts and their use in short to medium range streamflow forecasting. J. Hydrometeorol. 2018, 12, 713–728. [Google Scholar] [CrossRef]
- Gao, S.; Huang, D. Assimilating Conventional and Doppler Radar Data with a Hybrid Approach to Improve Forecasting of a Convective System. Atmosphere 2017, 8, 188. [Google Scholar] [CrossRef]
- Sloughter, J.M.; Raftery, A.E.; Gneiting, T.; Fraley, C. Probabilistic quantitative precipitation forecasting using Bayesian model averaging. Mon. Weather Rev. 2007, 135, 3209–3220. [Google Scholar] [CrossRef]
- Jabbari, A.; Bae, D.H. Application of Artificial Neural Networks for Accuracy Enhancements of Real-Time Flood Forecasting in the Imjin Basin. Water 2018, 10, 1626. [Google Scholar] [CrossRef]
- Rogelis, M.C.; Werner, M. Streamflow forecasts from WRF precipitation for flood early warning in mountain tropical areas. Hydrol. Earth Syst. Sci. Discuss. 2017, 1–32. [Google Scholar] [CrossRef]
- Yoon, S.S. Adaptive Blending Method of Radar-Based and Numerical Weather Prediction QPFs for Urban Flood Forecasting. Remote Sens. 2019, 11, 642. [Google Scholar] [CrossRef]
- Li, J.; Pollinger, F.; Panitz, H.J.; Feldmann, H.; Paeth, H. Bias adjustment for decadal predictions of precipitation in Europe from CCLM. Clim. Dyn. 2019, 1–18. [Google Scholar] [CrossRef]
- Lee, S.; Bae, D.H.; Cho, C.H. Changes in future precipitation over South Korea using a global high-resolution climate model. Asia Pac. J. Atmos. Sci. 2013, 49, 619–624. [Google Scholar] [CrossRef]
- Jabbari, A.; So, J.-M.; Bae, D.-H. Precipitation Forecast Contribution Assessment in the Coupled Meteo-Hydrological Models. Atmosphere 2020, 11, 34. [Google Scholar] [CrossRef]
- Skamarock, W.C.; Klemp, J.B. A time-split non-hydrostatic atmospheric model for weather research and forecasting applications. J. Comp. Phys. 2008, 227, 3465–3485. [Google Scholar] [CrossRef]
- Bae, D.H.; Lee, B.J. Development of Continuous Rainfall Runoff Model for Flood Forecasting on the Large Scale Basin. J. Korea Water Resour. Assoc. 2011, 44, 51–64. [Google Scholar] [CrossRef]
- Hong, S.-Y. Comparison of heavy rainfall mechanisms in Korea and the central US. J. Meteorol. Soc. Jpn. 2004, 82, 1469–1479. [Google Scholar] [CrossRef]
- Song, H.-J.; Sohn, B.-J. An Evaluation of WRF microphysics Schemes for Simulating the Warm-Type Heavy Rain over the Korean Peninsula. Asia Pac. J. Atmos. Sci. 2018, 54, 225–236. [Google Scholar] [CrossRef]
- Chawla, I.; Osuri, K.K.; Mujumdar, P.P.; Niyogi, D. Assessment of the Weather Research and Forecasting (WRF) model for simulation of extreme rainfall events in the upper Ganga Basin. Hydrol. Earth Syst. Sci. Discuss. 2018, 22, 1095–1117. [Google Scholar] [CrossRef]












| Sub-basin | Event 2002 | Event 2007 | Event 2011 | ||||||
|---|---|---|---|---|---|---|---|---|---|
| Raw WRF | Revised WRF | Improvement (%) | Raw WRF | Revised WRF | Improvement (%) | Raw WRF | Revised WRF | Improvement (%) | |
| 1 | 0.84 | 0.40 | 52.94 | 0.91 | 0.79 | 12.85 | 0.27 | 0.95 | 71.87 |
| 2 | 0.84 | 0.12 | 86.03 | 0.83 | 0.06 | 93.19 | 0.67 | 0.84 | 20.29 |
| 3 | 0.84 | 0.12 | 85.64 | 0.81 | 0.07 | 91.42 | 0.70 | 0.80 | 12.61 |
| 4 | 0.86 | 0.32 | 62.42 | 0.87 | 0.22 | 74.96 | 0.42 | 0.80 | 46.89 |
| 5 | 0.85 | 0.30 | 64.57 | 0.92 | 0.59 | 35.54 | 0.55 | 0.82 | 33.27 |
| 6 | 0.88 | 0.49 | 43.92 | 0.92 | 0.58 | 37.35 | 0.24 | 0.84 | 71.64 |
| 7 | 0.58 | 0.44 | 24.51 | 0.90 | 0.59 | 34.69 | 0.57 | 0.79 | 28.76 |
| 8 | 0.85 | 0.28 | 67.06 | 0.93 | 0.55 | 40.57 | 0.53 | 0.80 | 34.44 |
| 9 | 0.88 | 0.43 | 51.45 | 0.88 | 0.35 | 59.84 | 0.28 | 0.78 | 64.65 |
| 10 | 0.85 | 0.11 | 86.86 | 0.84 | 0.33 | 60.47 | 0.61 | 0.79 | 22.56 |
| 11 | 0.86 | 0.21 | 75.79 | 0.96 | 0.60 | 37.05 | 0.13 | 0.67 | 80.03 |
| 12 | 0.89 | 0.26 | 70.28 | 0.91 | 0.47 | 48.29 | 0.68 | 0.85 | 20.40 |
| 13 | 0.83 | 0.02 | 97.30 | 0.90 | 0.21 | 76.23 | 0.91 | 0.70 | 30.58 |
| 14 | 0.83 | 0.20 | 75.66 | 0.95 | 0.45 | 52.25 | 0.30 | 0.71 | 57.50 |
| 15 | 0.87 | 0.37 | 57.64 | 0.81 | 0.12 | 85.73 | 0.42 | 0.55 | 24.16 |
| 16 | 0.87 | 0.17 | 79.98 | 0.92 | 0.33 | 64.48 | 0.67 | 0.85 | 21.57 |
| 17 | 0.85 | 0.03 | 96.58 | 0.92 | 0.44 | 52.57 | 0.08 | 0.69 | 88.89 |
| 18 | 0.89 | 0.30 | 66.64 | 0.83 | 0.18 | 78.16 | 0.35 | 0.80 | 56.08 |
| 19 | 0.86 | 0.11 | 86.93 | 0.93 | 0.56 | 40.09 | 0.45 | 0.73 | 37.95 |
| 20 | 0.91 | 0.42 | 53.49 | 0.90 | 0.41 | 54.82 | 0.30 | 0.67 | 55.21 |
| 21 | 0.89 | 0.35 | 61.44 | 0.91 | 0.56 | 39.02 | 0.45 | 0.71 | 36.39 |
| 22 | 0.93 | 0.35 | 62.30 | 0.93 | 0.73 | 21.24 | 0.42 | 0.77 | 46.09 |
| 23 | 0.89 | 0.11 | 88.10 | 0.85 | 0.34 | 59.26 | 0.66 | 0.80 | 16.92 |
| 24 | 0.90 | 0.24 | 72.97 | 0.86 | 0.09 | 89.02 | 0.48 | 0.68 | 29.65 |
| 25 | 0.90 | 0.10 | 88.44 | 0.89 | 0.62 | 30.37 | 0.42 | 0.72 | 41.93 |
| 26 | 0.85 | 0.15 | 81.82 | 0.88 | 0.61 | 30.52 | 0.47 | 0.73 | 35.70 |
| 27 | 0.89 | 0.25 | 71.60 | 0.86 | 0.54 | 37.20 | 0.14 | 0.63 | 77.21 |
| 28 | 0.85 | 0.06 | 92.40 | 0.88 | 0.03 | 96.53 | 0.21 | 0.42 | 49.00 |
| 29 | 0.87 | 0.29 | 65.95 | 0.90 | 0.49 | 45.29 | 0.37 | 0.72 | 48.65 |
| 30 | 0.86 | 0.27 | 68.00 | 0.82 | 0.57 | 30.69 | 0.36 | 0.69 | 47.21 |
| 31 | 0.85 | 0.19 | 77.67 | 0.91 | 0.60 | 34.10 | 0.29 | 0.71 | 58.39 |
| 32 | 0.87 | 0.25 | 71.15 | 0.86 | 0.69 | 19.32 | 0.51 | 0.81 | 36.91 |
| 33 | 0.86 | 0.28 | 67.01 | 0.95 | 0.70 | 26.83 | 0.53 | 0.75 | 29.59 |
| 34 | 0.87 | 0.05 | 94.62 | 0.94 | 0.72 | 23.20 | 0.61 | 0.79 | 22.56 |
| 35 | 0.85 | 0.14 | 83.67 | 0.93 | 0.62 | 33.12 | 0.44 | 0.75 | 41.50 |
| 36 | 0.84 | 0.27 | 68.13 | 0.91 | 0.67 | 25.58 | 0.03 | 0.72 | 96.43 |
| 37 | 0.87 | 0.43 | 50.58 | 0.89 | 0.52 | 41.50 | 0.30 | 0.73 | 59.75 |
| 38 | 0.87 | 0.12 | 86.23 | 0.89 | 0.50 | 43.78 | 0.31 | 0.76 | 59.50 |
| Average | 0.86 | 0.24 | 72.05 | 0.89 | 0.46 | 48.87 | 0.42 | 0.75 | 45.07 |
| Sub-basin | Event 2002 | Event 2007 | Event 2011 | ||||||
|---|---|---|---|---|---|---|---|---|---|
| Raw WRF | Revised WRF | Improvement (%) | Raw WRF | Revised WRF | Improvement (%) | Raw WRF | Revised WRF | Improvement (%) | |
| 1 | 3.55 | 3.00 | 18.48 | 4.87 | 4.08 | 19.26 | 2.32 | 1.84 | 26.03 |
| 2 | 3.87 | 3.00 | 28.92 | 5.00 | 3.70 | 35.17 | 2.37 | 1.31 | 81.24 |
| 3 | 4.58 | 3.01 | 52.44 | 6.79 | 4.19 | 62.22 | 2.01 | 1.03 | 94.22 |
| 4 | 3.47 | 2.89 | 20.06 | 4.79 | 3.91 | 22.53 | 1.86 | 1.31 | 42.43 |
| 5 | 3.53 | 3.00 | 17.79 | 5.05 | 4.39 | 15.12 | 2.77 | 1.46 | 89.83 |
| 6 | 3.80 | 3.32 | 14.65 | 4.47 | 4.18 | 6.82 | 1.98 | 1.07 | 84.95 |
| 7 | 3.81 | 2.23 | 70.81 | 4.67 | 4.14 | 12.95 | 2.19 | 1.17 | 87.66 |
| 8 | 3.67 | 2.99 | 22.67 | 5.35 | 4.51 | 18.69 | 2.17 | 1.17 | 84.88 |
| 9 | 4.03 | 3.31 | 21.99 | 5.92 | 3.89 | 52.39 | 2.18 | 1.30 | 68.49 |
| 10 | 3.76 | 2.64 | 42.70 | 5.29 | 4.82 | 9.71 | 2.02 | 1.62 | 25.10 |
| 11 | 3.80 | 2.99 | 27.23 | 5.35 | 4.36 | 22.84 | 1.64 | 1.26 | 29.94 |
| 12 | 3.79 | 2.81 | 34.85 | 5.49 | 4.31 | 27.34 | 2.25 | 1.27 | 77.78 |
| 13 | 3.84 | 2.64 | 45.74 | 4.79 | 3.70 | 29.28 | 2.32 | 1.88 | 23.63 |
| 14 | 3.39 | 2.71 | 24.92 | 5.48 | 4.15 | 32.26 | 2.18 | 1.69 | 28.98 |
| 15 | 3.71 | 2.87 | 29.13 | 6.14 | 4.14 | 48.46 | 1.89 | 1.32 | 42.88 |
| 16 | 4.85 | 2.57 | 88.92 | 4.06 | 3.49 | 16.03 | 2.04 | 1.41 | 45.28 |
| 17 | 3.74 | 2.72 | 37.34 | 4.64 | 4.04 | 14.83 | 2.05 | 1.61 | 26.89 |
| 18 | 3.20 | 2.45 | 30.79 | 4.74 | 3.78 | 25.48 | 2.19 | 1.75 | 25.05 |
| 19 | 3.37 | 2.45 | 37.29 | 4.84 | 4.53 | 6.91 | 2.39 | 1.03 | 132.93 |
| 20 | 3.18 | 2.62 | 21.50 | 5.53 | 4.21 | 31.54 | 2.22 | 1.77 | 25.06 |
| 21 | 3.04 | 2.65 | 14.77 | 4.58 | 4.29 | 6.78 | 2.39 | 1.91 | 24.71 |
| 22 | 3.08 | 2.72 | 13.16 | 5.13 | 4.94 | 3.84 | 2.57 | 1.43 | 79.25 |
| 23 | 2.82 | 2.42 | 16.72 | 4.20 | 4.03 | 4.34 | 2.36 | 1.93 | 22.27 |
| 24 | 2.75 | 2.39 | 15.13 | 3.88 | 3.23 | 20.19 | 2.16 | 1.17 | 84.12 |
| 25 | 3.17 | 2.38 | 33.08 | 4.95 | 4.51 | 9.71 | 2.28 | 1.84 | 24.04 |
| 26 | 3.07 | 2.50 | 22.65 | 4.68 | 3.06 | 52.87 | 2.49 | 1.75 | 41.82 |
| 27 | 2.77 | 2.41 | 14.94 | 4.15 | 4.14 | 0.29 | 2.15 | 1.40 | 53.18 |
| 28 | 3.68 | 2.49 | 47.56 | 4.09 | 3.32 | 23.23 | 2.15 | 1.17 | 84.38 |
| 29 | 3.07 | 2.59 | 18.73 | 4.07 | 3.84 | 5.75 | 2.30 | 1.45 | 58.13 |
| 30 | 2.92 | 2.50 | 16.73 | 4.16 | 3.37 | 23.49 | 2.42 | 1.94 | 24.39 |
| 31 | 3.30 | 2.55 | 29.36 | 4.38 | 2.30 | 90.40 | 2.29 | 1.83 | 25.48 |
| 32 | 3.06 | 2.55 | 19.92 | 4.70 | 2.62 | 79.76 | 2.56 | 1.73 | 47.35 |
| 33 | 3.32 | 2.68 | 23.96 | 4.74 | 3.60 | 31.49 | 2.63 | 1.64 | 60.29 |
| 34 | 3.46 | 2.49 | 39.32 | 5.06 | 4.78 | 5.74 | 2.55 | 1.62 | 57.53 |
| 35 | 3.31 | 2.47 | 33.80 | 4.33 | 4.18 | 3.57 | 2.42 | 1.98 | 21.97 |
| 36 | 3.46 | 2.78 | 24.67 | 4.37 | 2.34 | 86.58 | 2.33 | 1.28 | 82.00 |
| 37 | 3.47 | 2.88 | 20.41 | 4.01 | 3.99 | 0.59 | 2.28 | 1.36 | 67.94 |
| 38 | 3.50 | 2.58 | 35.76 | 5.62 | 5.11 | 10.09 | 2.36 | 1.94 | 21.09 |
| Average | 3.48 | 2.69 | 29.71 | 4.85 | 3.95 | 25.49 | 2.26 | 1.52 | 53.24 |
| Index. | Station | SURR | SURR-WRF | SURR-Revised WRF |
|---|---|---|---|---|
| Event 2002 | ||||
| KGE | Gunnam | 0.41 | −1.20 | 0.33 |
| KGE | Jeogseong | 0.60 | −1.14 | 0.29 |
| Event 2007 | ||||
| KGE | Gunnam | 0.53 | −5.03 | 0.34 |
| KGE | Jeonkuk | 0.62 | −2.77 | 0.27 |
| KGE | Jeogseong | 0.51 | −3.30 | 0.23 |
| Event 2011 | ||||
| KGE | Gunnam | 0.81 | −0.26 | 0.40 |
| KGE | Jeonkuk | 0.60 | −0.79 | 0.31 |
| KGE | Jeogseong | 0.81 | −1.22 | 0.24 |
© 2020 by the authors. Licensee MDPI, Basel, Switzerland. This article is an open access article distributed under the terms and conditions of the Creative Commons Attribution (CC BY) license (http://creativecommons.org/licenses/by/4.0/).
Share and Cite
Jabbari, A.; Bae, D.-H. Improving Ensemble Forecasting Using Total Least Squares and Lead-Time Dependent Bias Correction. Atmosphere 2020, 11, 300. https://doi.org/10.3390/atmos11030300
Jabbari A, Bae D-H. Improving Ensemble Forecasting Using Total Least Squares and Lead-Time Dependent Bias Correction. Atmosphere. 2020; 11(3):300. https://doi.org/10.3390/atmos11030300
Chicago/Turabian StyleJabbari, Aida, and Deg-Hyo Bae. 2020. "Improving Ensemble Forecasting Using Total Least Squares and Lead-Time Dependent Bias Correction" Atmosphere 11, no. 3: 300. https://doi.org/10.3390/atmos11030300
APA StyleJabbari, A., & Bae, D.-H. (2020). Improving Ensemble Forecasting Using Total Least Squares and Lead-Time Dependent Bias Correction. Atmosphere, 11(3), 300. https://doi.org/10.3390/atmos11030300

