Characteristics of Snow Particle Size Distribution in the PyeongChang Region of South Korea
Abstract
1. Introduction
2. Data and Methods
2.1. Instruments and Dataset
2.2. Snow PSD Parameters
3. Results and Discussion
3.1. Distribution of Snow Microphysical Parameters
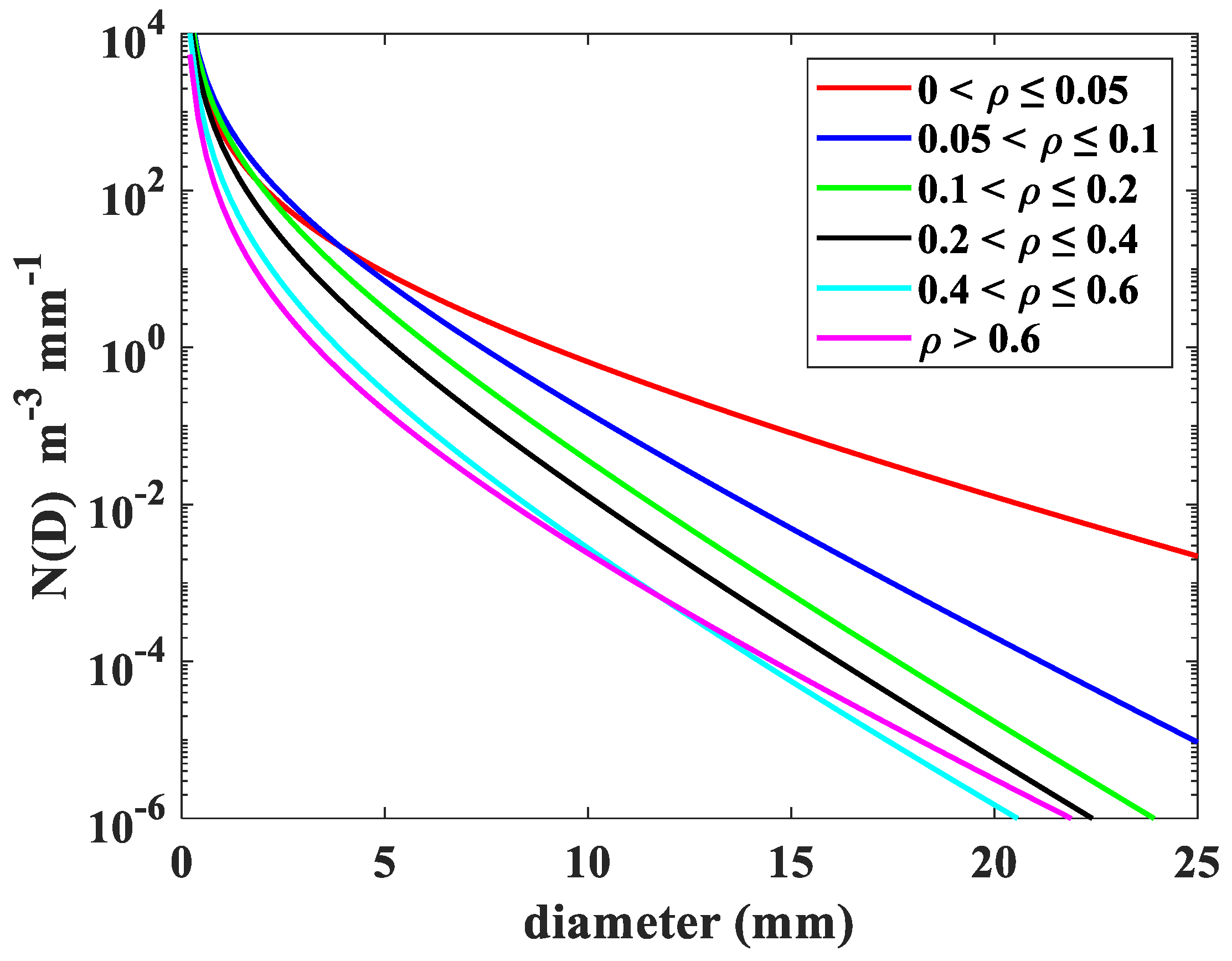
3.2. Snow PSD Characteristics in Different Densities
3.3. Snow PSD Characteristics in Different Snowfall Rate Classes
4. Conclusions
- 1.
- For all snowfall events, more than half of the snow PSD measurements are characterized by density less than 0.2 g cm−3. The standard deviations of density, ice water content (IWC), and snowfall rate (S) are large which indicates a high variability of particles during the snowfall events. The relationship between snowfall rate and ice water content can be expressed as a power-law function, consistent with the previous study [33]. It implies that if the IWC is known, such as from aircraft measurements, the S can be derived. The pressure level and the way to calculate density can make the relationship different. Additionally, the relationship proposed in this study is suitable for ground observations.
- 2.
- From the results of classified density, the decreases as the density increases, and and μ increase as the density increases, PSDs become narrower as the density increases at the same time, and these results are consistent with prior studies [26,28]. and density are related because and density are related, so the dependence of on density is somewhat because of the dependence of on [26].
- 3.
- 4.
- Snow particles vary greatly in different topography and snow events, so the size–density relationships given in the literature might not be suitable for PyeongChang region of South Korea. We used the general hydrodynamic theory in this paper to get the density and the power-law relationship between and for each range and the result is better than previous studies.
Author Contributions
Funding
Acknowledgments
Conflicts of Interest
References
- Mason, B.J. Physics of Clouds and Precipitation. Nat. Cell Biol. 1954, 174, 957–959. [Google Scholar] [CrossRef]
- Stephens, G.L.; L’Ecuyer, T.; Forbes, R.; Gettelmen, A.; Golaz, J.-C.; Bodas-Salcedo, A.; Suzuki, K.; Gabriel, P.; Haynes, J. Dreary State of Precipitation in Global Models. J. Geophys. Res. Space Phys. 2010, 115. [Google Scholar] [CrossRef]
- Jakob, C. Accelerating Progress in Global Atmospheric Model Development Through Improved Parameterizations Challenges, Opportunities, and Strategies. Bull. Am. Meteorol. Soc. 2010, 91, 869–875. [Google Scholar] [CrossRef]
- Tao, W.-K.; Lang, S.; Zeng, X.; Li, X.; Matsui, T.; Mohr, K.; Posselt, D.; Chern, J.; Peters-Lidard, C.; Norris, P.M.; et al. The Goddard Cumulus Ensemble Model (GCE): Improvements and Applications for Studying Precipitation Processes. Atmos. Res. 2014, 143, 392–424. [Google Scholar] [CrossRef]
- Waliser, D.E.; Li, J.-L.F.; Woods, C.P.; Austin, R.T.; Bacmeister, J.; Chern, J.; Del Genio, A.; Jiang, J.H.; Kuang, Z.; Meng, H.; et al. Cloud Ice: A Climate Model Challenge with Signs and Expectations of Progress. J. Geophys. Res. Space Phys. 2009, 114, 1–27. [Google Scholar] [CrossRef]
- Bringi, V.N.; Chandrasekar, V.; Hubbert, J.; Gorgucci, E.; Randeu, W.L.; Schoenhuber, M. Raindrop Size Distribution in Different Climatic Regimes from Disdrometer and Dual-Polarized Radar Analysis. J. Atmos. Sci. 2003, 60, 354–365. [Google Scholar] [CrossRef]
- Dolan, B.; Fuchs, B.; Rutledge, S.A.; Barnes, E.A.; Thompson, E.J. Primary Modes of Global Drop Size Distributions. J. Atmos. Sci. 2018, 75, 1453–1476. [Google Scholar] [CrossRef]
- Seela, B.K.; Janapati, J.; Lin, P.-L.; Reddy, K.K.; Shirooka, R.; Wang, P.K. A Comparison Study of Summer Season Raindrop Size Distribution Between Palau and Taiwan, Two Islands in Western Pacific. J. Geophys. Res. Atmos. 2017, 122, 11787–11805. [Google Scholar] [CrossRef]
- Seela, B.K.; Janapati, J.; Lin, P.-L.; Wang, P.K.; Lee, M.-T. Raindrop Size Distribution Characteristics of Summer and Winter Season Rainfall Over North Taiwan. J. Geophys. Res. Atmos. 2018, 123, 11602–11624. [Google Scholar] [CrossRef]
- Tokay, A.; Short, D.A. Evidence from Tropical Raindrop Spectra of the Origin of Rain from Stratiform versus Convective Clouds. J. Appl. Meteorol. 1996, 35, 355–371. [Google Scholar] [CrossRef]
- Wen, G.; Xiao, H.; Yang, H.; Bi, Y.; Xu, W. Characteristics of Summer and Winter Precipitation Over Northern China. Atmos. Res. 2017, 197, 390–406. [Google Scholar] [CrossRef]
- Wen, L.; Zhao, K.; Zhang, G.; Xue, M.; Zhou, B.; Liu, S.; Chen, X. Statistical Characteristics of Raindrop Size Distributions Observed in East China During the Asian Summer Monsoon Season Using 2-D Video Disdrometer and Micro Rain Radar Data. J. Geophys. Res. Atmos. 2016, 121, 2265–2282. [Google Scholar] [CrossRef]
- Wen, L.; Zhao, K.; Zhang, G.; Liu, S.; Chen, G. Impacts of Instrument Limitations on Estimated Raindrop Size Distribution, Radar Parameters, and Model Microphysics during Mei-Yu Season in East China. J. Atmos. Ocean. Technol. 2017, 34, 1021–1037. [Google Scholar] [CrossRef]
- Tang, Q.; Xiao, H.; Guo, C.; Feng, L. Characteristics of the Raindrop Size Distributions and Their Retrieved Polarimetric Radar Parameters in Northern and Southern China. Atmos. Res. 2014, 135, 59–75. [Google Scholar] [CrossRef]
- Thurai, M.; Huang, G.J.; Bringi, V.N.; Randeu, W.L.; Schönhuber, M. Drop Shapes, Model Comparisons, and Calculations of Polarimetric Radar Parameters in Rain. J. Atmos. Ocean. Technol. 2007, 24, 1019–1032. [Google Scholar] [CrossRef]
- Deo, A.; Walsh, K.J. Contrasting Tropical Cyclone and Non-Tropical Cyclone Related Rainfall Drop Size Distribution at Darwin, Australia. Atmos. Res. 2016, 181, 81–94. [Google Scholar] [CrossRef]
- Ma, Y.; Ni, G.; Chandra, C.V.; Tian, F.; Chen, H. Statistical Characteristics of Raindrop Size Distribution During Rainy Seasons in the Beijing Urban Area and Implications for Radar Rainfall Estimation. Hydrol. Earth Syst. Sci. 2019, 23, 4153–4170. [Google Scholar] [CrossRef]
- Chen, B.; Yang, J.; Pu, J. Statistical Characteristics of Raindrop Size Distribution in the Meiyu Season Observed in Eastern China. J. Meteorol. Soc. Jpn. 2013, 91, 215–227. [Google Scholar] [CrossRef]
- Ji, L.; Chen, B.; Li, L.; Xiao, X.; Zhang, G. Raindrop Size Distributions and Rain Characteristics Observed by a PARSIVEL Disdrometer in Beijing, Northern China. Remote Sens. 2019, 11, 1479. [Google Scholar] [CrossRef]
- Brandes, E.A.; Zhang, G.; Vivekanandan, J. Experiments in Rainfall Estimation with a Polarimetric Radar in a Subtropical Environment. J. Appl. Meteorol. 2002, 41, 674–685. [Google Scholar] [CrossRef]
- Chen, H.; Chandrasekar, V.; Bechini, R. An Improved Dual-Polarization Radar Rainfall Algorithm (DROPS2.0): Application in NASA IFloodS Field Campaign. J. Hydrometeorol. 2017, 18, 917–937. [Google Scholar] [CrossRef]
- Gou, Y.; Ma, Y.; Chen, H.; Wen, Y. Radar- Derived Quantitative Precipitation Estimation in Complex Terrain Over the Eastern Tibetan Plateau. Atmos. Res. 2018, 203, 286–297. [Google Scholar] [CrossRef]
- Chen, H.; Chandrasekar, V. Estimation of Light Rainfall Using Ku-Band Dual-Polarization Radar. IEEE Trans. Geosci. Remote Sens. 2015, 53, 5197–5208. [Google Scholar] [CrossRef]
- Cooper, S.J.; Wood, N.B.; L’Ecuyer, T.S. A Variational Technique to Estimate Snowfall Rate from Coincident Radar, Snowflake, and Fall-Speed Observations. Atmos. Meas. Tech. 2017, 10, 2557–2571. [Google Scholar] [CrossRef]
- Heymsfield, A.J.; Field, P.R.; Bansemer, A. Exponential Size Distributions for Snow. J. Atmos. Sci. 2008, 65, 4017–4031. [Google Scholar] [CrossRef]
- Tiira, J.; Moisseev, D.; Von Lerber, A.; Ori, D.; Tokay, A.; Bliven, L.F.; Petersen, W. Ensemble Mean Density and Its Connection to Other Microphysical Properties of Falling Snow as Observed in Southern Finland. Atmos. Meas. Tech. 2016, 9, 4825–4841. [Google Scholar] [CrossRef]
- Pettersen, C.; Kulie, M.S.; Bliven, L.; Merrelli, A.J.; Petersen, W.A.; Wagner, T.J.; Wolff, D.B.; Wood, N.B. A Composite Analysis of Snowfall Modes from Four Winter Seasons in Marquette, Michigan. J. Appl. Meteorol. Clim. 2020, 59, 103–124. [Google Scholar] [CrossRef]
- Pettersen, C.; Bliven, L.; Von Lerber, A.; Wood, N.B.; Kulie, M.; Mateling, M.E.; Moisseev, D.; Munchak, S.J.; Petersen, W.; Wolff, D.B. The Precipitation Imaging Package: Assessment of Microphysical and Bulk Characteristics of Snow. Atmosphere 2020, 11, 785. [Google Scholar] [CrossRef]
- Battaglia, A.; Rustemeier, E.; Tokay, A.; Blahak, U.; Simmer, C. PARSIVEL Snow Observations: A Critical Assessment. J. Atmos. Ocean. Technol. 2010, 27, 333–344. [Google Scholar] [CrossRef]
- Heymsfield, A.J.; Bansemer, A.; Schmitt, C.G.; Twohy, C.; Poellot, M.R. Effective Ice Particle Densities Derived from Aircraft Data. J. Atmos. Sci. 2004, 61, 982–1003. [Google Scholar] [CrossRef]
- Brandes, E.A.; Ikeda, K.; Zhang, G.; Schönhuber, M.; Rasmussen, R.M. A Statistical and Physical Description of Hydrometeor Distributions in Colorado Snowstorms Using a Video Disdrometer. J. Appl. Meteorol. Clim. 2007, 46, 634–650. [Google Scholar] [CrossRef]
- Huang, G.-J.; Bringi, V.; Moisseev, D.; Petersen, W.; Bliven, L.; Hudak, D.; Bliven, L. Use of 2D-Video Disdrometer to Derive Mean Density–Size and Ze–SR Relations: Four Snow Cases from the Light Precipitation Validation Experiment. Atmos. Res. 2015, 153, 34–48. [Google Scholar] [CrossRef]
- Heymsfield, A.J.; Matrosov, S.Y.; Wood, N.B. Toward Improving Ice Water Content and Snow-Rate Retrievals from Radars. Part I: X and W Bands, Emphasizing CloudSat. J. Appl. Meteorol. Clim. 2016, 55, 2063–2090. [Google Scholar] [CrossRef]
- Braham, R.R. Snow Particle Size Spectra in Lake Effect Snows. J. Appl. Meteorol. 1990, 29, 200–207. [Google Scholar] [CrossRef]
- Barthold, F.E.; Kristovich, D.A.R. Observations of the Cross-Lake Cloud and Snow Evolution in a Lake-Effect Snow Event. Mon. Weather. Rev. 2011, 139, 2386–2398. [Google Scholar] [CrossRef]
- ICE-POP. Development Project and Forecast Demonstration; ICE-POP 2018 Science Plan: Daegu, Korea, 2018. [Google Scholar]
- Kneifel, S.; Von Lerber, A.; Tiira, J.; Moisseev, D.; Kollias, P.; Leinonen, J. Observed Relations Between Snowfall Microphysics and Triple-Frequency Radar Measurements. J. Geophys. Res. Atmos. 2015, 120, 6034–6055. [Google Scholar] [CrossRef]
- Skofronick-Jackson, G.; Hudak, D.; Petersen, W.; Nesbitt, S.W.; Chandrasekar, V.; Durden, S.; Gleicher, K.J.; Huang, G.-J.; Joe, P.; Kollias, P.; et al. Global Precipitation Measurement Cold Season Precipitation Experiment (GCPEX): For Measurement’s Sake, Let It Snow. Bull. Am. Meteorol. Soc. 2015, 96, 1719–1741. [Google Scholar] [CrossRef]
- Newman, A.J.; Kucera, P.A.; Bliven, L.F. Presenting the Snowflake Video Imager (SVI). J. Atmos. Ocean. Technol. 2009, 26, 167–179. [Google Scholar] [CrossRef]
- Lanza, L.; Leroy, M.; Alexandropoulos, C.; Stagi, L.; Wauben, W. Instruments and Observing Methods. Report No. 84. WMO Laboratory Intercomparison of Rainfall Intensity Gauges; WMO/TD-No. 1304; WMO: Geneva, Switzerland, 2006. [Google Scholar]
- Rasmussen, R.; Baker, B.; Kochendorfer, J.; Meyers, T.; Landolt, S.; Fischer, A.P.; Black, J.; Thériault, J.M.; Kucera, P.; Gochis, D.; et al. How Well Are We Measuring Snow: The NOAA/FAA/NCAR Winter Precipitation Test Bed. Bull. Am. Meteorol. Soc. 2012, 93, 811–829. [Google Scholar] [CrossRef]
- Kochendorfer, J.; Rasmussen, R.; Wolff, M.; Baker, B.; Hall, M.E.; Meyers, T.; Landolt, S.; Jachcik, A.; Isaksen, K.; Brækkan, R.; et al. The Quantification and Correction of Wind-Induced Precipitation Measurement Errors. Hydrol. Earth Syst. Sci. 2017, 21, 1973–1989. [Google Scholar] [CrossRef]
- Wolff, M.A.; Isaksen, K.; Petersen-Øverleir, A.; Ødemark, K.; Reitan, T.; Brækkan, R. Derivation of a New Continuous Adjustment Function for Correcting Wind-Induced Loss of Solid Precipitation: Results of a Norwegian Field Study. Hydrol. Earth Syst. Sci. 2015, 19, 951–967. [Google Scholar] [CrossRef]
- OTT. Operating Instructions Precipitation Gauge OTT Pluvio2 L; OTT Hydromet Gmbh: Kempten, Germany, 2012. [Google Scholar]
- Mitchell, D.L. Use of Mass-and Area-Dimensional Power Laws for Determining Precipitation Particle Terminal Velocities. J. Atmos. Sci. 1996, 53, 1710–1723. [Google Scholar] [CrossRef]
- Hanesch, M. Fall Velocity and Shape of Snowflakes. Ph.D. Thesis, Swiss Federal Institute of Technology, Zurich, Switzerland, 1999; p. 123. [Google Scholar]
- Khvorostyanov, V.I.; Curry, J.A. Terminal Velocities of Droplets and Crystals: Power Laws with Continuous Parameters over the Size Spectrum. J. Atmos. Sci. 2002, 59, 1872–1884. [Google Scholar] [CrossRef]
- Khvorostyanov, V.I.; Curry, J.A. Fall Velocities of Hydrometeors in the Atmosphere: Refinements to a Continuous Analytical Power Law. J. Atmos. Sci. 2005, 62, 4343–4357. [Google Scholar] [CrossRef]
- Mitchell, D.L.; Heymsfield, A.J. Refinements in the Treatment of Ice Particle Terminal Velocities, Highlighting Aggregates. J. Atmos. Sci. 2005, 62, 1637–1644. [Google Scholar] [CrossRef]
- Heymsfield, A.J.; Westbrook, C.D. Advances in the Estimation of Ice Particle Fall Speeds Using Laboratory and Field Measurements. J. Atmos. Sci. 2010, 67, 2469–2482. [Google Scholar] [CrossRef]
- Szyrmer, W.; Zawadzki, I. Snow Studies. Part II: Average Relationship between Mass of Snowflakes and Their Terminal Fall Velocity. J. Atmos. Sci. 2010, 67, 3319–3335. [Google Scholar] [CrossRef]
- Wood, N.B.; L’ecuyer, T.S.; Bliven, F.L.; Stephens, G.L. Characterization of Video Disdrometer Uncertainties and Impacts on Estimates of Snowfall Rate and Radar Reflectivity. Atmos. Meas. Tech. 2013, 6, 3635–3648. [Google Scholar] [CrossRef]
- Wood, N.B.; L’Ecuyer, T.S.; Heymsfield, A.J.; Stephens, G.L.; Hudak, D.R.; Rodriguez, P. Estimating Snow Microphysical Properties Using Collocated Multisensor Observations. J. Geophys. Res. Atmos. 2014, 119, 8941–8961. [Google Scholar] [CrossRef]
- Szyrmer, W.; Zawadzki, I. Snow Studies. Part III: Theoretical Derivations for the Ensemble Retrieval of Snow Microphysics from Dual-Wavelength Vertically Pointing Radars. J. Atmos. Sci. 2014, 71, 1158–1170. [Google Scholar] [CrossRef]
- von Lerber, A.; Moisseev, D.; Bliven, L.F.; Petersen, W.; Harri, A.M.; Chandrasekar, V. Microphysical Properties of Snow and Their Link to Z E–S Relations During BAECC 2014. J. Appl. Meteorol. Climatol. 2017, 56, 1561–1582. [Google Scholar] [CrossRef]
- Rogers, R.R.; Mason, B.J.; Sartor, J.D. A Short Course in Cloud Physics, 3rd ed.; Butterworth-Heinemann: Oxford, UK, 1989. [Google Scholar]
- Bringi, V.N.; Chandrasekar, V. Polarimetric Doppler Weather Radar: Principles and Applications; Cambridge University Press (CUP): Cambridge, UK, 2001. [Google Scholar]










| Time | Temperature (°C) | Humidity (%) | WS (m s−1) | WD (°) |
|---|---|---|---|---|
| 0600 UTC | −0.1 | 93.0 | 12.0 | 81.0 |
| 0900UTC | −1.0 | 97.0 | 4.6 | 100.0 |
| 1200UTC | −1.1 | 97.0 | 9.0 | 83.0 |
| 1500UTC | −1.9 | 82.0 | 10.0 | 81.0 |
| Parameters | Min | Median | Mean | Max | STD |
|---|---|---|---|---|---|
| 0.002 | 0.146 | 0.211 | 0.800 | 0.179 | |
| −2.315 | −0.904 | −0.876 | 1.054 | 0.526 | |
| −1.999 | −0.3428 | −0.3549 | 2.412 | 0.741 |
| Density (g cm−3) | No. of Samples | |||
|---|---|---|---|---|
| 0 < ≤ 0.05 | 7683 | 4.4961 | 3.1277 | 0.6635 |
| 0.05 < ≤ 0.1 | 16,310 | 2.8786 | 3.6187 | 0.4665 |
| 0.1 < ≤ 0.2 | 19,594 | 2.2275 | 3.7387 | 0.4884 |
| 0.2 < ≤ 0.4 | 16,097 | 1.7091 | 3.8635 | 0.9272 |
| 0.4 < ≤ 0.6 | 6799 | 1.2663 | 3.9888 | 1.9253 |
| > 0.6 | 3894 | 1.0627 | 4.0082 | 3.3837 |
| S (mm h−1) | No. of Samples | |||
|---|---|---|---|---|
| S ≤ 0.2 | 11,192 | 1.3051 | 3.6499 | 2.2676 |
| 0.2 < S ≤ 0.5 | 17,458 | 1.6050 | 3.7050 | 1.2885 |
| 0.5 < S ≤ 1.0 | 13,734 | 1.9254 | 3.7684 | 0.7877 |
| 1.0 < S ≤ 2.0 | 11,307 | 2.1615 | 3.7661 | 0.4709 |
| S > 2 | 16,686 | 2.7693 | 3.8013 | 0.0058 |
© 2020 by the authors. Licensee MDPI, Basel, Switzerland. This article is an open access article distributed under the terms and conditions of the Creative Commons Attribution (CC BY) license (http://creativecommons.org/licenses/by/4.0/).
Share and Cite
Yu, T.; Chandrasekar, V.; Xiao, H.; Joshil, S.S. Characteristics of Snow Particle Size Distribution in the PyeongChang Region of South Korea. Atmosphere 2020, 11, 1093. https://doi.org/10.3390/atmos11101093
Yu T, Chandrasekar V, Xiao H, Joshil SS. Characteristics of Snow Particle Size Distribution in the PyeongChang Region of South Korea. Atmosphere. 2020; 11(10):1093. https://doi.org/10.3390/atmos11101093
Chicago/Turabian StyleYu, Tiantian, V. Chandrasekar, Hui Xiao, and Shashank S. Joshil. 2020. "Characteristics of Snow Particle Size Distribution in the PyeongChang Region of South Korea" Atmosphere 11, no. 10: 1093. https://doi.org/10.3390/atmos11101093
APA StyleYu, T., Chandrasekar, V., Xiao, H., & Joshil, S. S. (2020). Characteristics of Snow Particle Size Distribution in the PyeongChang Region of South Korea. Atmosphere, 11(10), 1093. https://doi.org/10.3390/atmos11101093

