Pollution Characteristics and Health Risk Assessment of Summertime Atmospheric Volatile Halogenated Hydrocarbons in a Typical Urban Area of Beijing, China
Abstract
1. Introduction
2. Materials and Methods
2.1. Sample Collecting
2.2. Sample Analysis
2.3. Quality Assurance and Quality Control
2.4. Data Processing
2.4.1. Source Apportionment Using Positive Matrix Factorization
2.4.2. Health Risk Assessment
3. Results and Discussion
3.1. Ambient Levels and Composition Characteristics
3.2. Temporal Variations
3.2.1. Daily Variations
3.2.2. Diurnal Variations
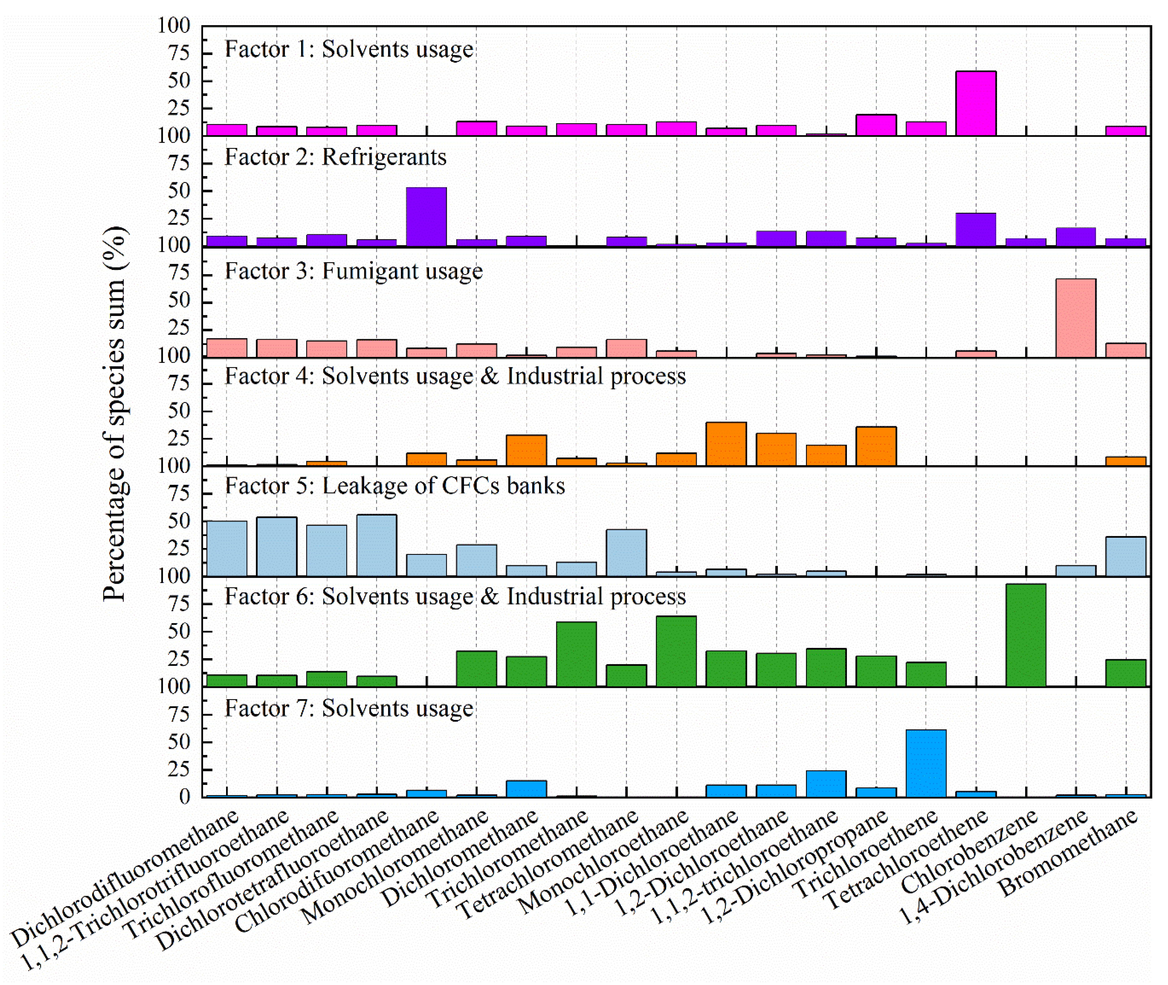
3.3. Source Apportionment
3.4. Health Risk Assessment
4. Conclusions
Author Contributions
Funding
Acknowledgments
Conflicts of Interest
References
- Kim, K.H.; Shon, Z.H.; Nguyen, H.T.; Jeon, E.C. A review of major chlorofluorocarbons and their halocarbon alternatives in the air. Atmos. Environ. 2011, 45, 1369–1382. [Google Scholar] [CrossRef]
- Rennix, C.P.; Quinn, M.M.; Amoroso, P.J.; Eisen, E.A.; Wegman, D.H. Risk of breast cancer among enlisted Army women occupationally exposed to volatile organic compounds. Am. J. Ind. Med. 2005, 48, 157–167. [Google Scholar] [CrossRef] [PubMed]
- Liu, Y.Q.; Lin, F.; Ni, Z.Y. Toxicity studies of 1,1,1-trichloroethane. Foreign Med. Sci. 1999, 26, 69–72, 77. [Google Scholar]
- Hu, M.X. Research progress in toxicology of trichloroethylene. Foreign Med. Sci. 2001, 28, 155–158. [Google Scholar]
- Hardin, B.D.; Kelman, B.J.; Brent, R.L. Trichloroethylene and dichloroethylene: A critical review of teratogenicity. Birth Defects Res. A Clin. Mol. Teratol. 2005, 73, 931–955. [Google Scholar] [CrossRef]
- Zhang, H.M. Survey of health of workers exposed to low level of vinyl chloride. China Trop. Med. 2008, 8, 504–505. [Google Scholar]
- Wei, E.Q.; Wang, Y.L.; Shi, T.R.; Ying, Y.X.; Li, L.R.; Wu, Y.F. Study on the pollution characteristic of VOCs in ambient air of Anshan. Environ. Pollut. Control 2011, 33, 61–64, 70. [Google Scholar]
- Liu, Q.; Wang, Y.S.; Wu, F.K.; Sun, J. Observation and study on atmospheric VOCs in Changsha city. Environ. Sci. 2011, 32, 3543–3548. [Google Scholar]
- Zhao, L.R.; Wang, X.M.; He, Q.S.; Ding, X.; Li, L.F.; Feng, S.L.; Sheng, G.Y.; Fu, J.M. Characteristics of halocarbons in urban Guangzhou streets. Environ. Monit. China 2005, 4, 72–74. [Google Scholar]
- Liu, G.; Sheng, G.Y.; Fu, J.M.; Wu, J.Z.; Liu, P.X. Volatile organic compounds in ambient air in Maoming. Res. Environ. Sci. 2000, 13, 10–13. [Google Scholar]
- Liu, G.; Sheng, G.Y.; Fu, J.M.; Yan, Y.S.; Wang, X.M.; Li, S.C.; Chen, L.Y.; Chen, Z.Y. Hazardous volatile organic compounds in ambient air in Hong Kong. Environ. Chem. 2000, 19, 61–66. [Google Scholar]
- Zhang, Q.X.; Ma, C. Health risk assessment of volatile organic compounds in a typical city of Liaoning province. Environ. Prot. Circ. Econ. 2012, 6, 42–45. [Google Scholar]
- Zhang, Y.; Shen, Y.B.; Liu, Y.B.; Chen, Z.; Zhao, J.; Li, C.X. Distribution characteristics of benzene homologues and volatile halogenated hydrocarbons in atmosphere in Guiyang. J. Environ. Health 2013, 30, 675. [Google Scholar]
- Liao, X.; Xu, Y.; Niu, Z.C.; Zhang, H.; Tong, L.; Chen, J.S.; Lin, J.Q. Pollution characteristics of volatile organic compounds in the air of the cities in southern Fujian. Environ. Eng. 2013, s1, 380–384. [Google Scholar]
- An, J.L.; Zhu, B.; Wang, H.L.; Li, Y.Y.; Lin, X.; Yang, H. Characteristics and source apportionment of VOCs measured in an industrial area of Nanjing, Yangtze River Delta, China. Atmos. Environ. 2014, 97, 206–214. [Google Scholar] [CrossRef]
- Ni, Z.; Liu, J.G.; Song, M.Y.; Wang, X.W.; Ren, L.H.; Kong, X. Characterization of odorous charge and photochemical reactivity of VOC emissions from a full-scale food waste treatment plant in China. J. Environ. Sci. 2015, 29, 34–44. [Google Scholar] [CrossRef]
- An, X.Q.; Zhou, L.X.; Yao, B.; Xu, L.; Ma, L. Analysis on source features of halogenated gases at Shangdianzi regional atmospheric background station. Atmos. Environ. 2012, 57, 91–100. [Google Scholar] [CrossRef]
- Song, P.; Geng, F.H.; Sang, X.F.; Chan, C.Y.; Chan, L.Y.; Yu, Q. Characteristics and sources of non-methane hydrocarbons and halocarbons in wintertime urban atmosphere of Shanghai, China. Environ. Monit. Assess. 2012, 184, 5957–5970. [Google Scholar] [CrossRef]
- Suthawaree, J.; Kato, S.; Pochanart, P.; Kanaya, Y.; Akimoto, H.; Wang, Z.F.; Kajii, Y. Influence of Beijing outflow on Volatile Organic Compounds (VOC) observed at a mountain site in North China Plain. Atmos. Res. 2012, 111, 46–57. [Google Scholar] [CrossRef]
- Statistics, Beijing Municipal Bureau of Statistics (Ed.) Beijing Statistical Yearbook; China Statistics Press: Beijing, China, 2012.
- Zhang, H.; Li, H.; Zhang, Q.; Zhang, Y.; Zhang, W.; Wang, X.; Bi, F.; Chai, F.; Gao, J.; Meng, L.; et al. Atmospheric Volatile Organic Compounds in a Typical Urban Area of Beijing: Pollution Characterization, Health Risk Assessment and Source Apportionment. Atmosphere 2017, 8, 61. [Google Scholar] [CrossRef]
- US Environmental Protection Agency. Air Method, Toxic Organics-15 (TO-15): Compendium of Methods for the Determination of Toxic Organic Compounds in Ambient Air, Second Edition: Determination of Volatile Organic Compounds (VOCs) in Air Collected in Specially-Prepared Canisters and Analyzed by Gas Chromatography/Mass Spectrometry (GC/MS); EPA625/R-96/010b; US Environmental Protection Agency: Washington, DC, USA, 1999.
- Li, L.; Li, H.; Zhang, X.M.; Wang, L.; Xu, L.H.; Wang, X.Z.; Yu, Y.T.; Zhang, Y.J.; Cao, G. Pollution characteristics and health risk assessment of benzene homologues in ambient air in the northeastern urban area of Beijing, China. J. Environ. Sci. 2014, 26, 214–223. [Google Scholar] [CrossRef]
- Ren, Y.; Wang, G.; Wu, C.; Wang, J.; Li, J.; Lu, Z.; Han, Y.; Lang, L.; Cong, C.; Cao, J. Changes in concentration, composition and source contribution of atmospheric organic aerosols by shifting coal to natural gas in Urumqi. Atmos. Environ. 2016, 148, 306–315. [Google Scholar] [CrossRef]
- Zheng, P.; Chen, T.; Dong, C.; Liu, Y.; Li, H.; Han, G.; Sun, J.; Wu, L.; Gao, X.; Wang, X.; et al. Characteristics and sources of halogenated hydrocarbons in the Yellow River Delta region, northern China. Atmos. Res. 2019, 225, 70–80. [Google Scholar] [CrossRef]
- Gao, J.; Zhang, J.; Li, H.; Li, L.; Xu, L.H.; Zhang, Y.J.; Wang, Z.S.; Wang, X.Z.; Zhang, W.Q.; Chen, Y.Z. Comparative study of volatile organic compounds in ambient air using observed mixing ratios and initial mixing ratios taking chemical loss into account—A case study in a typical urban area in Beijing. Sci. Total Environ. 2018, 628–629, 791–804. [Google Scholar] [CrossRef] [PubMed]
- Council, N.R. Risk Assessment in the Federal Government: Managing the Process; The National Academies Press: Washington, DC, USA, 1983. [Google Scholar]
- US Environmental Protection Agency. Risk Assessment Guidance for Superfund: Volume 1: Human Health Evaluation Manual (Part A); Office of Solid Waste and Emergency Response, Ed.; EPA/540/1-89/002; US Environmental Protection Agency: Washington, DC, USA, 1990.
- US Environmental Protection Agency. Risk Assessment Guidance for Superfund Volume I. Human Health Evaluation Manual (Part F, Supplemental Guidance for Inhalation Risk Assessment); Office of Solid Waste and Emergency Response, Ed.; EPA/540/R/070/002; US Environmental Protection Agency: Washington, DC, USA, 2009.
- Majumdar, D.; Dutta, C.; Mukherjee, A.K.; Sen, S. Source apportionment of VOCs at the petrol pumps in Kolkata, India; exposure of workers and assessment of associated health risk. Transp. Res. Part D 2008, 13, 524–530. [Google Scholar] [CrossRef]
- Nadal, M.; Inza, I.; Schuhmacher, M.; Figueras, M.J.; Domingo, J.L. Health risks of the occupational exposure to microbiological and chemical pollutants in a municipal waste organic fraction treatment plant. Int. J. Hyg. Environ. Health 2009, 212, 661–669. [Google Scholar] [CrossRef]
- Chang, E.E.; Wang, W.C.; Zeng, L.X.; Hung-Lung, C. Health risk assessment of exposure to selected volatile organic compounds emitted from an integrated iron and steel plant. Inhal. Toxicol. 2010, 22, 117–125. [Google Scholar] [CrossRef]
- Pilidis, G.A.; Karakitsios, S.P.; Kassomenos, P.A.; Kazos, E.A.; Stalikas, C.D. Measurements of benzene and formaldehyde in a medium sized urban environment. Indoor/outdoor health risk implications on special population groups. Environ. Monit. Assess 2009, 150, 285–294. [Google Scholar] [CrossRef]
- Zhou, J.; You, Y.; Bai, Z.P.; Hu, Y.D.; Zhang, J.F.; Zhang, N. Health risk assessment of personal inhalation exposure to volatile organic compounds in Tianjin, China. Sci. Total Environ. 2011, 409, 452–459. [Google Scholar] [CrossRef]
- Integrated Risk Information System. Available online: https://www.epa.gov/iris (accessed on 10 August 2019).
- Shao, M.; Huang, D.K.; Gu, D.S.; Lu, S.H.; Chang, C.C.; Wang, J.L. Estimates of anthropogenic halocarbon emissions based on measured ratios relative to CO in the Pearl River Delta. Atmos. Chem. Phys. Discuss. 2011, 11, 5011–5025. [Google Scholar] [CrossRef]
- Wu, H.; Chen, H.; Wang, Y.; Ding, A.; Chen, J. The changing ambient mixing ratios of long-lived halocarbons under Montreal Protocol in China. J. Clean. Prod. 2018, 188, 774–785. [Google Scholar] [CrossRef]
- Fang, X.; Jing, W.; Xu, J.; Huang, D.; Shi, Y.; Dan, W.; Hai, W.; Min, S.; Hu, J. Ambient mixing ratios of chlorofluorocarbons, hydrochlorofluorocarbons and hydrofluorocarbons in 46 Chinese cities. Atmos. Environ. 2012, 54, 387–392. [Google Scholar] [CrossRef]
- Cao, W.W.; Shi, J.W.; Han, B.; Wang, X.Y.; Peng, Y.; Qiu, W.G.; Zhao, L.J.; Bai, Z.P. Composition and distribution of VOCs in the ambient air of typical cities in Northern of China. China Environ. Sci. 2012, 32, 200–206. [Google Scholar]
- Barletta, B.; Meinardi, S.; Simpson, I.J.; Sherwood Rowland, F.; Chan, C.-Y.; Wang, X.; Zou, S.; Chan, L.Y.; Blake, D.R. Ambient halocarbon mixing ratios in 45 Chinese cities. Atmos. Environ. 2006, 40, 7706–7719. [Google Scholar] [CrossRef]
- Khan, M.A.; Mead, M.I.; White, I.R.; Golledge, B.; Nickless, G.; Knights, A.; Martin, D.; Rivett, A.C.; Greally, B.R.; Shallcross, D.E. Year-long measurements of C1–C3 halocarbons at an urban site and their relationship with meteorological parameters. Atmos. Sci. Lett. 2009, 10, 75–86. [Google Scholar] [CrossRef]
- Zhang, G.; Yao, B.; Vollmer, M.K.; Montzka, S.A.; Mühle, J.; Weiss, R.F.; O’Doherty, S.; Li, Y.; Fang, S.; Reimann, S. Ambient mixing ratios of atmospheric halogenated compounds at five background stations in China. Atmos. Environ. 2017, 160, 55–69. [Google Scholar] [CrossRef]
- Song, M.; Liu, X.; Zhang, Y.; Shao, M.; Lu, K.; Tan, Q.; Feng, M.; Qu, Y. Sources and abatement mechanisms of VOCs in southern China. Atmos. Environ. 2019, 201, 28–40. [Google Scholar] [CrossRef]
- Guo, H.; Ding, A.; Wang, T.; Simpson, I.; Blake, D.; Barletta, B.; Meinardi, S.; Rowland, F.; Saunders, S.; Fu, T.-M.; et al. Source origins, modeled profiles, and apportionments of halogenated hydrocarbons in the greater Pearl River Delta region, southern China. J. Geophys. Res. 2009, 114, D11302. [Google Scholar] [CrossRef]
- CDC-ATSDR Toxic Substances Portal. Available online: https://www.atsdr.cdc.gov/substances/toxsubstance.asp?toxid=161 (accessed on 10 August 2019).
- International Agency for Research on Cancer. Available online: https://monographs.iarc.fr/agents-classified-by-the-iarc/ (accessed on 10 August 2019).
- Woodruff, T.J.; Caldwell, J.; Cogliano, V.J.; Axelrad, D.A. Estimating Cancer Risk from Outdoor Concentrations of Hazardous Air Pollutants in 1990. Environ. Res. 2000, 82, 194–206. [Google Scholar] [CrossRef]
- Huang, S.; Shao, M.; Lu, S.H. Identification of air toxics from indoor and outdoor measurements of volatile organic compounds in one elementary school in Beijing. Environ. Sci. 2008, 29, 3326–3330. [Google Scholar]
- Hu, G.J.; Mu, S.; Zhang, X.Z.; Zhou, C.H. Current situation with volatile organic compounds pollution in air and health risk assessment. Environ. Monit. For. 2010, 2, 5–7. [Google Scholar]










| Category | VHH Species | Range | Mean | MDL (pptV) | r2 | ||
|---|---|---|---|---|---|---|---|
| µg/m3 * | pptV | µg/m3 * | pptV | ||||
| Chlorofluorocarbons | Trichlorofluoromethane ** | 1.69–2.98 | 302.8–537.1 | 2.17 | 391.1 | 4.2 | 0.999 |
| Dichlorodifluoromethane ** | 2.96–4.83 | 613.3–997.2 | 3.46 | 710.8 | 2.6 | 0.999 | |
| Dichlorotetrafluoroethane ** | 0.12–0.18 | 18.0–26.0 | 0.15 | 22.4 | 3.3 | 0.999 | |
| 1,1,2-Trichlorotrifluoroethane ** | 0.65–0.83 | 86.9–107.6 | 0.72 | 95.9 | 4.0 | 0.999 | |
| Hydrochlorofluorocarbons | Chlorodifluoromethane ** | 1.43–27.56 | 407.8–7891.8 | 5.55 | 1589.3 | 2.8 | 0.999 |
| Chloroalkanes | Monochloromethane | 1.36–6.10 | 664.2–2997.6 | 2.87 | 1413.6 | 3.4 | 0.999 |
| Dichloromethane | 1.23–15.95 | 352.0–4656.7 | 6.43 | 1883.7 | 8.4 | 0.999 | |
| Trichloromethane | 0.11–2.67 | 23.0–554.4 | 0.81 | 168.3 | 5.2 | 0.999 | |
| Tetrachloromethane ** | 0.62–1.30 | 99.6–214.2 | 0.84 | 135.6 | 4.1 | 0.999 | |
| Monochloroethane | ND–0.60 | ND–233.6 | 0.15 | 59.6 | 10.0 | 0.999 | |
| 1,1-Dichloroethane | ND–0.71 | ND–178.1 | 0.22 | 55.9 | 9.1 | 0.999 | |
| 1,2-Dichloroethane | 0.37–10.26 | 91.4–2571.2 | 3.09 | 776.0 | 11.2 | 0.999 | |
| 1,1,2-Trichloroethane | ND–0.81 | ND–151.0 | 0.26 | 48.5 | 8.5 | 0.998 | |
| 1,2-Dichloropropane | 0.15–9.17 | 32.0–2025.2 | 2.38 | 523.0 | 9.90 | 0.998 | |
| Chloroalkenes | 1,1-Dichloroethene | ND–0.30 | ND–78.1 | 0.01 | 2.4 | 15.3 | 0.999 |
| Trichloroethene | ND–0.57 | ND–107.9 | 0.18 | 33.7 | 18.1 | 0.999 | |
| Tetrachloroethene | ND–1.76 | ND–263.5 | 0.43 | 64.6 | 14.4 | 0.998 | |
| trans-1,3-Dichloropropene | ND–0.13 | ND–28.8 | 0.01 | 1.7 | 19.9 | 0.997 | |
| Chlorinated benzenes | Chlorobenzene | ND–0.65 | ND–142.3 | 0.13 | 29.5 | 19.3 | 1.000 |
| 1,3-Dichlorobenzene | ND–0.85 | ND–148.2 | 0.03 | 4.6 | 17.9 | 0.998 | |
| 1,4-Dichlorobenzene | ND–1.92 | ND–328.7 | 0.54 | 90.5 | 17.9 | 0.998 | |
| Bromohydrocarbons | Bromomethane ** | 0.03–0.10 | 9.0–25.8 | 0.06 | 15.4 | 6.2 | 0.999 |
| Tribromomethane | ND–0.34 | ND–33.7 | 0.03 | 3.4 | 8.0 | 0.999 | |
| 7 controlled ODS in China | 7.69–36.17 | 1557.0–9485.0 | 12.95 | 2960.5 | |||
| 23 VHHs | 13.45–76.33 | 3319.2–20702.4 | 30.53 | 7968.5 | |||
| Site | Year | CFC-11 * | CFC-12 * | CFC-113 * | CFC-114 * | HCFC-22 * | CCl4 * | CH3Br * | CH3Cl | CH2Cl2 | CHCl3 | C2Cl4 | Reference |
|---|---|---|---|---|---|---|---|---|---|---|---|---|---|
| Beijing, China | 2012/08–2012/09 | 391.10 | 710.80 | 95.90 | 22.40 | 1589.30 | 135.60 | 15.40 | 1413.60 | 1883.70 | 168.30 | 64.60 | This study |
| Beijing, China | 2010/10 | 377.00 | 649.00 | 99.00 | 18.00 | 977.00 | - | - | - | - | - | - | [38] |
| Tianjin, China | 2008/04–2009/01 | 340.64 | 540.18 | - | 22.68 | - | 170.94 | 8.96 | - | 3476.71 | 250.87 | 122.25 | [39] |
| Changsha, China | 2007/12–2008/11 | 288.00 | 654.00 | 108.00 | 24.00 | - | 153.00 | 21.00 | 1929.00 | 929.00 | 120.00 | 52.00 | [8] |
| Shenyang, China | 2008/04–2009/01 | 578.07 | 1915.45 | - | 11.67 | - | 219.57 | 14.86 | - | 5333.48 | 132.85 | 82.67 | [39] |
| Shanghai, China | 2010/10 | 248.00 | 593.00 | 74.00 | 17.00 | 1026.00 | - | [38] | |||||
| Guangzhou, China | 2010/10 | 241.00 | 560.00 | 71.00 | 17.00 | 409.00 | - | - | - | - | - | - | [38] |
| 45 Cities, China | 2001/01–2001/02 | 284.00 | 564.00 | 90.00 | 15.00 | 220.00 | 114.00 | 13.00 | 952.00 | 226.00 | 48.00 | 129.00 | [40] |
| 46 Cities, China | 2010/10–2010/11 | 268.00 | 558.00 | 78.00 | 17.00 | 508.00 | - | - | - | - | - | - | [38] |
| Bristol, UK | 2004/10–2005/12 | 255.30 | 545.10 | - | - | 314.80 | 92.20 | 16.10 | 534.40 | 289.40 | 39.00 | 34.10 | [41] |
| Philadelphia, USA | 2001/02 | 273 | 567 | 81 | 15 | - | 98 | - | - | 97 | 27 | 116 | [40] |
| Marseille, France | 2001/06–2001-07 | 288 | 564 | 84 | 16 | - | 107 | - | - | 251 | 25 | 276 | [40] |
| Five background stations, China | 2011/01–2012/12 | 239.50 | 536.50 | 74.66 | - | 232.10 | - | - | - | - | - | - | [42] |
| Trinidad Head, California ** | 2012 | 236.26 | 527.48 | 74.03 | 16.35 | 231.16 | 84.75 | 7.33 | 540.51 | 44.49 | 11.88 | 2.51 | AGAGE |
| Pollutant | IARC Level (Publication Year) | Exposure Concentration (µg/m3) | IUR/(m3/µg) | Risk |
|---|---|---|---|---|
| Dichloromethane | 2B (1999) | 6.43 | 1.0 × 10−8 | 6.43 × 10−8 |
| Trichloromethane | 2B (1999) | 0.81 | 2.3 × 10−5 | 1.86 × 10−5 |
| Tetrachloromethane | 2B (1999) | 0.84 | 6.0 × 10−6 | 5.04 × 10−6 |
| 1,2-Dichloroethane | 2B (1999) | 3.09 | 2.6 × 10−5 | 8.04 × 10−5 |
| Trichloroethene | 2A (1995) | 0.18 | 4.1 × 10−6 | 7.31 × 10−7 |
| Tetrachloroethene | 2A (1995) | 0.43 | 2.6 × 10−7 | 1.12 × 10−7 |
| 1,4-Dichlorobenzene | 2B (1999) | 0.54 | 1.1 × 10−5 | 5.89 × 10−6 |
| Pollutant | Exposure Concentration (µg/m3) | RfC (mg/m3) | HQ |
|---|---|---|---|
| Monochloromethane | 2.87 | 1.0 × 101 | 2.87 × 10−4 |
| Dichloromethane | 6.43 | 6.0 × 10−1 | 1.07 × 10−2 |
| Tetrachloromethane | 0.84 | 1.0 × 10−1 | 8.40 × 10−3 |
| Monochloroethane | 0.15 | 1.0 × 101 | 1.54 × 10−5 |
| 1,2-Dichloropropane | 3.09 | 4.0 × 10−3 | 5.94 × 10−1 |
| 1,1-Dichloroethene | 0.01 | 2.0 × 10−1 | 5.00 × 10−5 |
| Trichloroethene | 0.18 | 2.0 × 10−3 | 9.00 × 10−2 |
| Tetrachloroethene | 0.43 | 4.0 × 10−2 | 1.08 × 10−2 |
| 1,4-Dichlorobenzene | 0.54 | 8.0 × 10−1 | 6.75 × 10−4 |
| Chlorodifluoromethane | 5.55 | 5.0 × 101 | 1.11 × 10−5 |
| Bromomethane | 0.06 | 5.0 × 10−3 | 1.20 × 10−2 |
| HI = 0.728 |
| Pollutant | This Study | Fushun | Shenyang | Anshan | Huludao |
|---|---|---|---|---|---|
| Monochloromethane | 2.87 × 10−4 | 1.50 × 10−2 | 6.70 × 10−3 | 9.30 × 10−3 | 1.60 × 10−2 |
| Dichloromethane | 1.07 × 10−2 | 9.10 × 10−3 | 2.40 × 10−2 | 2.30 × 10−2 | 6.10 × 10−3 |
| Tetrachloromethane | 8.40 × 10−3 | 1.20 × 10−2 | 1.40 × 10−2 | 1.70 × 10−2 | 9.30 × 10−3 |
| Monochloroethane | 1.54 × 10−5 | 1.70 × 10−5 | 1.40 × 10−5 | - | - |
| 1,2-Dchloropropane | 5.94 × 10−1 | 2.87 × 10−4 | 2.87 × 10−4 | 2.87 × 10−4 | 2.87 × 10−4 |
| 1,1-Dichloroethene | 5.00 × 10−5 | - | 1.40 × 10−4 | - | - |
| Trichloroethene | 9.00 × 10−2 | - | 1.60 × 10−1 | 2.70 × 10−2 | - |
| Tetrachloroethene | 1.08 × 10−2 | 1.30 × 10−4 | 7.90 × 10−3 | 1.80 × 10−3 | - |
| Bromomethane | 1.20 × 10−2 | 1.10 × 10−3 | 2.90 × 10−3 | - | - |
© 2020 by the authors. Licensee MDPI, Basel, Switzerland. This article is an open access article distributed under the terms and conditions of the Creative Commons Attribution (CC BY) license (http://creativecommons.org/licenses/by/4.0/).
Share and Cite
Ji, Y.; Xu, L.; Li, H.; Wang, C.; Xu, D.; Li, L.; Zhang, H.; Duan, J.; Zhang, Y.; Wang, X.; et al. Pollution Characteristics and Health Risk Assessment of Summertime Atmospheric Volatile Halogenated Hydrocarbons in a Typical Urban Area of Beijing, China. Atmosphere 2020, 11, 1021. https://doi.org/10.3390/atmos11101021
Ji Y, Xu L, Li H, Wang C, Xu D, Li L, Zhang H, Duan J, Zhang Y, Wang X, et al. Pollution Characteristics and Health Risk Assessment of Summertime Atmospheric Volatile Halogenated Hydrocarbons in a Typical Urban Area of Beijing, China. Atmosphere. 2020; 11(10):1021. https://doi.org/10.3390/atmos11101021
Chicago/Turabian StyleJi, Yuanyuan, Linghong Xu, Hong Li, Chuhan Wang, Dongyao Xu, Lei Li, Hao Zhang, Jingchun Duan, Yujie Zhang, Xuezhong Wang, and et al. 2020. "Pollution Characteristics and Health Risk Assessment of Summertime Atmospheric Volatile Halogenated Hydrocarbons in a Typical Urban Area of Beijing, China" Atmosphere 11, no. 10: 1021. https://doi.org/10.3390/atmos11101021
APA StyleJi, Y., Xu, L., Li, H., Wang, C., Xu, D., Li, L., Zhang, H., Duan, J., Zhang, Y., Wang, X., Zhang, W., Bi, F., Chen, Y., Yu, Y., & Meng, L. (2020). Pollution Characteristics and Health Risk Assessment of Summertime Atmospheric Volatile Halogenated Hydrocarbons in a Typical Urban Area of Beijing, China. Atmosphere, 11(10), 1021. https://doi.org/10.3390/atmos11101021

