Precipitation Forecast Contribution Assessment in the Coupled Meteo-Hydrological Models
Abstract
1. Introduction
2. Study Area and Data
3. Methodology
3.1. Meteorological Model of Weather Research and Forecasting (WRF)
3.2. Hydrological Model: Sejong University Rainfall Runoff Model (SURR)
3.3. Accuracy Assessment
4. Results and Analysis
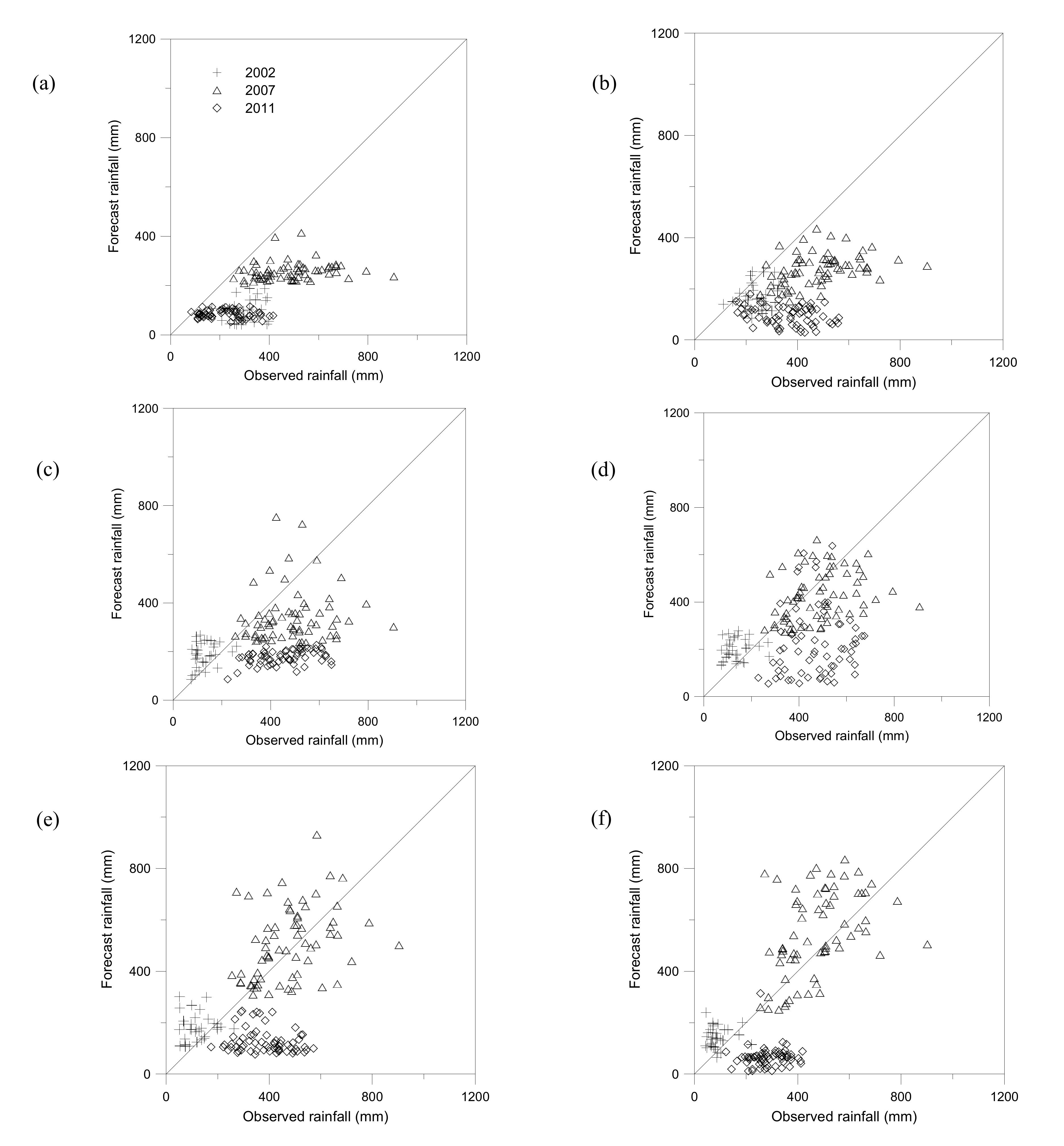
4.1. Point Precipitation Assessment
4.2. Spatial Distribution of MAP
4.3. Spatial Resolution Assessment
4.4. Temporal Resolution Assessment
4.5. Lead-Time Variation Assessment
4.6. Time Series Analysis
5. Discussion
6. Conclusions and Recommendations
- The WRF model underestimated the precipitation in this study area in the point and catchment assessments.
- Comparing the results of the point and catchment scale indicated that the WRF model had better performance for the catchment-scale assessment. These findings led to the selection of the semi-distributed hydrological model.
- It was determined that spatial resolutions lower than 8 km did not affect the inherent inaccuracy of the flood forecasts in all events.
- The findings of the RMSE assessment for flood forecasting illustrated that variations in temporal resolution did not affect the RMSE significantly.
- The skill of the WRF model’s real-time forecasts varied significantly with forecast lead-time. Lead-time variation demonstrated that lead-time dependency was almost negligible below 36 h.
- In addition, the QPF is the most important factor driving the hydrological models in coupled studies; therefore, improvements that focus on the QPF post-processing are proposed. Since the lead-time of forecasting is an important factor in real-time flood forecasting, future studies should also focus on potentially improving the lead-time of flood forecasting.
Author Contributions
Funding
Acknowledgments
Conflicts of Interest
References
- Chen, X.; Ye, C.; Zhang, J.; Xu, C.; Zhang, L.; Tang, Y. Selection of an Optimal Distribution Curve for Non-Stationary Flood Series. Atmosphere 2019, 10, 31. [Google Scholar] [CrossRef]
- Wang, Y.; Liu, R.; Guo, L.; Tian, J.; Zhang, X.; Ding, L.; Wang, C.; Shang, Y. Forecasting and providing warnings of flash floods for ungauged mountainous areas based on a distributed hydrological model. Water 2017, 9, 776. [Google Scholar] [CrossRef]
- Chen, J.; Zhong, P.-A.; Wang, M.-L.; Zhu, F.-L.; Wan, X.-Y.; Zhang, Y. A risk-based model for real-time flood control operation of a cascade reservoir system under emergency conditions. Water 2018, 10, 167. [Google Scholar] [CrossRef]
- Todini, E. Hydrological catchment modelling: Past, present and future. Hydrol. Earth Syst. Sci. 2007, 11, 468–482. [Google Scholar] [CrossRef]
- Moulin, L.; Gaume, E.; Obled, C. Uncertainties on mean areal precipitation: Assessment and impact on streamflow simulations. Hydrol. Earth Syst. Sci. 2009, 13, 99–114. [Google Scholar] [CrossRef]
- Bárdossy, A.; Das, T. Influence of rainfall observation network on model calibration and application. Hydrol. Earth Syst. Sci. 2008, 12, 77–89. [Google Scholar] [CrossRef]
- Ebert, E.; McBride, J. Verification of precipitation in weather systems: Determination of systematic errors. J. Hydrol. 2000, 239, 179–202. [Google Scholar] [CrossRef]
- Cuo, L.; Pagano, T.C.; Wang, Q. A review of quantitative precipitation forecasts and their use in short to medium range streamflow forecasting. J. Hydrometeorol. 2011, 12, 713–728. [Google Scholar] [CrossRef]
- Siddique, R.; Mejia, A.; Brown, J.; Reed, S.; Ahnert, P. Verification of precipitation forecasts from two numerical weather prediction models in the Middle Atlantic Region of the USA: A precursory analysis to hydrologic forecasting. J. Hydrol. 2015, 529, 1390–1406. [Google Scholar] [CrossRef]
- Shrestha, D.L.; Robertson, D.E.; Wang, Q.J.; Pagano, T.C.; Hapuarachchi, H.A.P. Evaluation of numerical weather prediction model precipitation forecasts for short-term streamflow forecasting purpose. Hydrol. Earth Syst. Sci. 2013, 17, 1913–1931. [Google Scholar] [CrossRef]
- Han, J.-Y.; Kim, S.-Y.; Choi, I.-J.; Jin, E.K. Effects of the Convective Triggering Process in a Cumulus Parameterization Scheme on the Diurnal Variation of Precipitation over East Asia. Atmosphere 2019, 10, 28. [Google Scholar] [CrossRef]
- Koyabashi, K.; Otsuka, S.; Saito, K. Ensemble flood simulation for a small dam catchment in Japan using 10 and 2 km resolution nonhydrostatic model rainfalls. Nat. Hazards Earth Syst. Sci. 2016, 16, 1821–1839. [Google Scholar] [CrossRef]
- Misenis, C.; Zhang, Y. An examination of sensitivity of WRF/Chem predictions to physical parameterizations, horizontal grid spacing, and nesting options. Atmos. Res. 2010, 97, 315–334. [Google Scholar] [CrossRef]
- Ochoa-Rodriguez, S.; Wang, L.; Gires, A.; Pina, R.; Reinoso-Rondinel, R.; Bruni, G.; Ichiba, A.; Gaitan, S.; Cristiano, E.; van Assel, J.; et al. Impact of spatial and temporal resolution of rainfall inputs on urban hydrodynamic modelling outputs: A multi-catchment investigation. J. Hydrol. 2018, 531, 389–407. [Google Scholar] [CrossRef]
- Wetterhall, F.; He, Y.; Cloke, H.; Pappenberger, F. Effects of temporal resolution of input precipitation on the performance of hydrological forecasting. Adv. Geosci. 2011, 29, 21–25. [Google Scholar] [CrossRef][Green Version]
- Jang, J.; Hong, S. Quantitative forecast experiment of a heavy rainfall event over Korea in a global model: Horizontal resolution versus lead-time issues. Meteorol. Atmos. Phys. 2014, 124, 113–127. [Google Scholar] [CrossRef]
- Ghile, Y.; Schulze, R. Evaluation of Three Numerical Weather Prediction Models for Short and Medium Range Agrohydrological Applications. Water Resour. Manag. 2010, 24, 1005–1028. [Google Scholar] [CrossRef]
- Bartsotas, N.S.; Nikolopoulos, E.I.; Anagnostou, E.N.; Solomos, S.; Kallos, G. Moving toward Subkilometer Modeling Grid Spacings: Impacts on Atmospheric and Hydrological Simulations of Extreme Flash Flood–Inducing Storms. J. Hydrometeor. 2017, 18, 209–226. [Google Scholar] [CrossRef]
- Chang, K.; Kim, J.; Cho, C.; Bae, D.H.; Kim, J. Performance of a coupled atmosphere-streamflow prediction system at the Pyungchang River IHP basin. J. Hydrol. 2004, 288, 210–224. [Google Scholar] [CrossRef]
- Li, J.; Chen, Y.; Wang, H.; Qin, J.; Li, J.; Chiao, S. Extending flood forecasting lead-time in a large watershed by coupling WRF QPF with a distributed hydrological model. Hydrol. Earth Syst. Sci. 2017, 21, 1279–1294. [Google Scholar] [CrossRef]
- Givati, A.; Rosenfeld, D.; Lynn, B.; Lui, Y.; Rimmer, A. Using the high resolution WRF model for calculating stream flow in the Jordan River. J. Appl. Meteorol. Climatol. 2012, 51, 285–298. [Google Scholar] [CrossRef]
- Shih, D.S.; Chen, C.H.; Yeh, G.T. Improving our understanding of flood forecasting using earlier meteo-hydrological intelligence. J. Hydrol. 2014, 512, 470–481. [Google Scholar] [CrossRef]
- Kim, J.Y. A Study on Establishing South-North Environmental Cooperation in the Water Sector: Lessons from the EU Water Framework Directive (WFD). J. Peace Unification 2011, 1, 99–117. [Google Scholar]
- Kim, N.; Won, Y.; Chung, I. The scale of typhoon RUSA. Hydrol. Earth Syst. Sci. 2006, 3, 3147–3182. [Google Scholar] [CrossRef]
- MOIS (Ministry of the Interior and Safety). Disaster Report Korea; MOIS: Sejong-si, Korea, 2002.
- KDI (Korea Development Institute). Preliminary Feasibility Study Report. Imjin Rive r Gunnam Flood Control Building Project; KDI: Sejong-si, Korea, 2002.
- Skamarock, W.C.; Klemp, J.B.; Dudhia, J.; Gill, D.O.; Barker, D.M.; Duda, G.; Huang, X.; Wang, W.; Powers, J.G. A Description of the Advanced Research WRF Version 3, Tech. Note, NCAR/TN-475+STR; National Center for Atmospheric Research: Boulder, CO, USA, 2008. [Google Scholar]
- Hong, S.-Y. Comparison of heavy rainfall mechanisms in Korea and the central US. J. Meteorol. Soc. Jpn. 2004, 82, 1469–1479. [Google Scholar] [CrossRef]
- Song, H.-J.; Sohn, B.-J. An Evaluation of WRF microphysics Schemes for Simulating the Warm-Type Heavy Rain over the Korean Peninsula. Asia Pac. J. Atmos. Sci. 2018, 54, 225–236. [Google Scholar] [CrossRef]
- Bae, D.H.; Lee, B.J. Development of Continuous Rainfall Runoff Model for Flood Forecasting on the Large Scale Basin. J. Korea Water Resour. Assoc. 2011, 44, 51–64. [Google Scholar] [CrossRef]
- Kimura, T. The Flood Runoff Analysis Method by the Storage Function Model; The Public Works Research Institute Ministry of Construction: Tokyo, Japan, 1961. [Google Scholar]
- Nash, J.E.; Sutcliffe, J.V. River flow forecasting through. Part I. A conceptual model discussion of principles. J. Hydrol. 1970, 10, 282–290. [Google Scholar] [CrossRef]
- Jabbari, A.; Bae, D.-H. Application of Artificial Neural Networks for Accuracy Enhancements of Real-Time Flood Forecasting in the Imjin Basin. Water 2018, 10, 1626. [Google Scholar] [CrossRef]
















| Case Number | Event ID | Event Period |
|---|---|---|
| 1 | 2002 | 28 August–4 September 2002 |
| 2 | 2007 | 23 July–4 September 2007 |
| 3 | 2011 | 25 July–30 July 2011 |
| Meteorological Data | South Korea | North Korea |
|---|---|---|
| Average temperature (°C) | 12.1 | 8.7 |
| Maximum temperature (°C) | 38.4 | 22.6 |
| Minimum temperature (°C) | −20.2 | −16.7 |
| Precipitation (mm) | 1361.8 | 1173.2 |
| Relative humidity (%) | 67.5 | 76.0 |
| Subjective Parameters | Definition | Unit | Estimation Method |
| AKM | Subbasin area | km2 | GIS |
| SLP | Mean slope of the subbasin | m/m | GIS |
| Z | Depth of soil layer | m | GIS |
| SAT | Rate of water content at saturation | mm/mm | GIS |
| FC | Rate of water content at field capacity | mm/mm | GIS |
| WP | Rate of water content at wilting point | mm/mm | GIS |
| KS | Saturated hydraulic conductivity | mm/h | GIS |
| CN2 | Runoff curve number under AMC II | - | GIS |
| Objective Parameters | |||
| LHILL | Mean slope length | m | Calibration |
| SURLAG | Surface runoff lag coefficient | h | Calibration |
| LAGSB | Lag time of the subbasin | h | Calibration |
| LATLAG | Lateral flow lag coefficient | h | Calibration |
| SEPLAG | Delay time for water percolating | h | Calibration |
| GWLAG | Delay time for aquifer recharge | h | Calibration |
| ALPHA_BF | Baseflow recession constant | - | Calibration |
| AQMIN | Threshold water level in shallow aquifer for baseflow | mm | Calibration |
| Ksb | K coefficient of the subbasin | hPsb | Calibration |
| Psb | P coefficient of the subbasin | - | Calibration |
| Kch | K coefficient of the channel | sPsb | Calibration |
| Pch | P coefficient of the channel | - | Calibration |
| Case Number | Event ID | Event Period |
|---|---|---|
| 1 | Calibration | 23 July–3 September 2007 |
| 2 | Calibration | 1 July– 22 August 2008 |
| 3 | Verification | 21 June–4 August 2009 |
| 4 | Verification | 9 July–20 August 2010 |
| 5 | Verification | 16 June–2 August 2011 |
| 6 | Verification | 31 July–13 September 2012 |
| Index | Formula | Range | Ideal Value |
|---|---|---|---|
| Root Mean Square Error (RMSE) | (0,∞) | 0 | |
| Nash-Sutcliffe Efficiency (NSE) | (−∞,1) | 1 | |
| Correlation | (−1,1) | 1 | |
| Relative Error in Volume (REV) | (−∞,∞) | 0 | |
| Mean Relative Error (MRE) | (−∞,∞) | 0 | |
| Bias | (0,∞) | 0 |
| Error Measurement | Calibration Period 23 July–3 September 2007 | Calibration Period 1 July–22 August 2008 | Verification Period 21 June–4 August 2009 | ||||||
| Gunnam | Jeonkuk | Jeogseong | Gunnam | Jeonkuk | Jeogseong | Gunnam | Jeonkuk | Jeogseong | |
| RMSE | 629.36 | 182.87 | 864.82 | 599.13 | 139.52 | 609.68 | 632.18 | 196.79 | 766.87 |
| Nash | 0.69 | 0.78 | 0.71 | 0.70 | 0.83 | 0.79 | 0.57 | 0.85 | 0.79 |
| Correlation | 0.85 | 0.95 | 0.91 | 0.82 | 0.97 | 0.93 | 0.84 | 0.96 | 0.92 |
| REV | −0.48 | −0.12 | −0.52 | 0.37 | 0.03 | 0.08 | 0.16 | −0.22 | 0.03 |
| Error Measurement | Verification Period 9 July–20 August 2010 | Verification Period 16 June–2 August 2011 | Verification Period 31 July–13 September 2012 | ||||||
| Gunnam | Jeonkuk | Jeogseong | Gunnam | Jeonkuk | Jeogseong | Gunnam | Jeonkuk | Jeogseong | |
| RMSE | 702.59 | 263.35 | 779.22 | 621.33 | 220.18 | 704.99 | 688.67 | 77.19 | 616.71 |
| Nash | 0.62 | 0.71 | 0.67 | 0.71 | 0.89 | 0.85 | 0.59 | 0.78 | 0.66 |
| Correlation | 0.63 | 0.92 | 0.84 | 0.84 | 0.97 | 0.93 | 0.62 | 0.95 | 0.81 |
| REV | 0.23 | −0.34 | −0.07 | −0.09 | −0.19 | −0.11 | −0.28 | −0.20 | −0.05 |
| Events | 2002 | 2007 | 2011 | |||
|---|---|---|---|---|---|---|
| Observation | WRF | Observation | WRF | Observation | WRF | |
| ∑ (mm) | 10125 | 5813 | 32129 | 25446 | 33516 | 11818 |
| Min (mm) | 179 | 98 | 278 | 247 | 233 | 127 |
| Max (mm) | 405 | 282 | 907 | 599 | 790 | 253 |
| Underestimation (%) | 94.0 | 84.8 | 100 | |||
| Events | 2002 | 2007 | 2011 | |||
|---|---|---|---|---|---|---|
| Observation | WRF | Observation | WRF | Observation | WRF | |
| ∑ (mm) | 11100 | 6796 | 19041 | 14623 | 17445 | 6710 |
| Min (mm) | 197 | 133 | 299 | 159 | 293 | 53 |
| Max (mm) | 351 | 264 | 642 | 450 | 743 | 219 |
| Underestimation (%) | 97.37 | 78.9 | 100 | |||
| Forecast Data | Precipitation Analysis | Error Measurement | 2002 | 2007 | 2011 |
|---|---|---|---|---|---|
| Individual forecast | Point assessment | RMSE | 84.49 | 212.80 | 91.53 |
| MAP assessment | RMSE | 59.67 | 160.48 | 68.49 | |
| - | Error reduction (%) | 29.38 | 24.59 | 25.17 | |
| Mean forecast | Point assessment | RMSE | 150.42 | 169.52 | 355.39 |
| MAP assessment | RMSE | 121.67 | 158.80 | 303.58 | |
| - | Error reduction (%) | 19.11 | 6.32 | 14.59 |
| Lead Time (hr) | Event 2002 | Event 2007 | Event 2011 | |||
|---|---|---|---|---|---|---|
| Relative Bias | Correlation | Relative Bias | Correlation | Relative Bias | Correlation | |
| 0–12 | 65.00 | 0.11 | 32.00 | 0.17 | 54.00 | 0.04 |
| 13–24 | 34.00 | 0.16 | 22.00 | 0.42 | 52.00 | 0.27 |
| 25–36 | 60.00 | 0.20 | 27.00 | 0.37 | 59.00 | 0.38 |
| 37–48 | 67.00 | 0.15 | 33.00 | 0.35 | 61.00 | 0.18 |
| 49–60 | 76.00 | 0.12 | 40.00 | 0.30 | 64.00 | 0.17 |
| 61–72 | 93.00 | 0.03 | 43.00 | 0.11 | 78.00 | 0.09 |
| Index | Gunnam Station | Jeonkok Station | Jeogseong Station | |||
| SURR | SURR-WRF | SURR | SURR-WRF | SURR | SURR-WRF | |
| Event 2002 | ||||||
| NSE | 0.26 | −18.00 | - | - | 0.68 | −19.84 |
| MRE | −0.09 | −0.95 | - | - | −0.25 | 0.80 |
| REV | 0.16 | 0.70 | - | - | 0.03 | 0.53 |
| Index | Gunnam Station | Jeonkok Station | Jeogseong Station | |||
| SURR | SURR-WRF | SURR | SURR-WRF | SURR | SURR-WRF | |
| Event 2007 | ||||||
| NSE | 0.69 | −4.57 | 0.78 | −6.63 | 0.71 | −10.00 |
| MRE | −0.58 | −0.60 | −0.06 | −0.77 | −0.69 | −0.78 |
| REV | −0.48 | −0.57 | −0.12 | −0.22 | −0.52 | −0.54 |
| Event 2011 | ||||||
| NSE | 0.80 | −0.47 | 0.81 | −0.87 | 0.90 | −1.06 |
| MRE | −0.49 | −0.79 | −0.63 | −0.67 | −0.06 | −0.56 |
| REV | −0.08 | −0.59 | −0.34 | −0.73 | −0.45 | −0.60 |
© 2019 by the authors. Licensee MDPI, Basel, Switzerland. This article is an open access article distributed under the terms and conditions of the Creative Commons Attribution (CC BY) license (http://creativecommons.org/licenses/by/4.0/).
Share and Cite
Jabbari, A.; So, J.-M.; Bae, D.-H. Precipitation Forecast Contribution Assessment in the Coupled Meteo-Hydrological Models. Atmosphere 2020, 11, 34. https://doi.org/10.3390/atmos11010034
Jabbari A, So J-M, Bae D-H. Precipitation Forecast Contribution Assessment in the Coupled Meteo-Hydrological Models. Atmosphere. 2020; 11(1):34. https://doi.org/10.3390/atmos11010034
Chicago/Turabian StyleJabbari, Aida, Jae-Min So, and Deg-Hyo Bae. 2020. "Precipitation Forecast Contribution Assessment in the Coupled Meteo-Hydrological Models" Atmosphere 11, no. 1: 34. https://doi.org/10.3390/atmos11010034
APA StyleJabbari, A., So, J.-M., & Bae, D.-H. (2020). Precipitation Forecast Contribution Assessment in the Coupled Meteo-Hydrological Models. Atmosphere, 11(1), 34. https://doi.org/10.3390/atmos11010034

