An Observational Study on Cloud Spectral Width in North China
Abstract
1. Introduction
2. Data and Methods
2.1. Observation and Instrumentation
2.2. A New Algorithm to Quantify Contributions of Droplets of Different Sizes to ε
3. Results and Discussions
3.1. Factors Affecting and
3.2. Effects of Standard Deviation and Mean Radius on ε
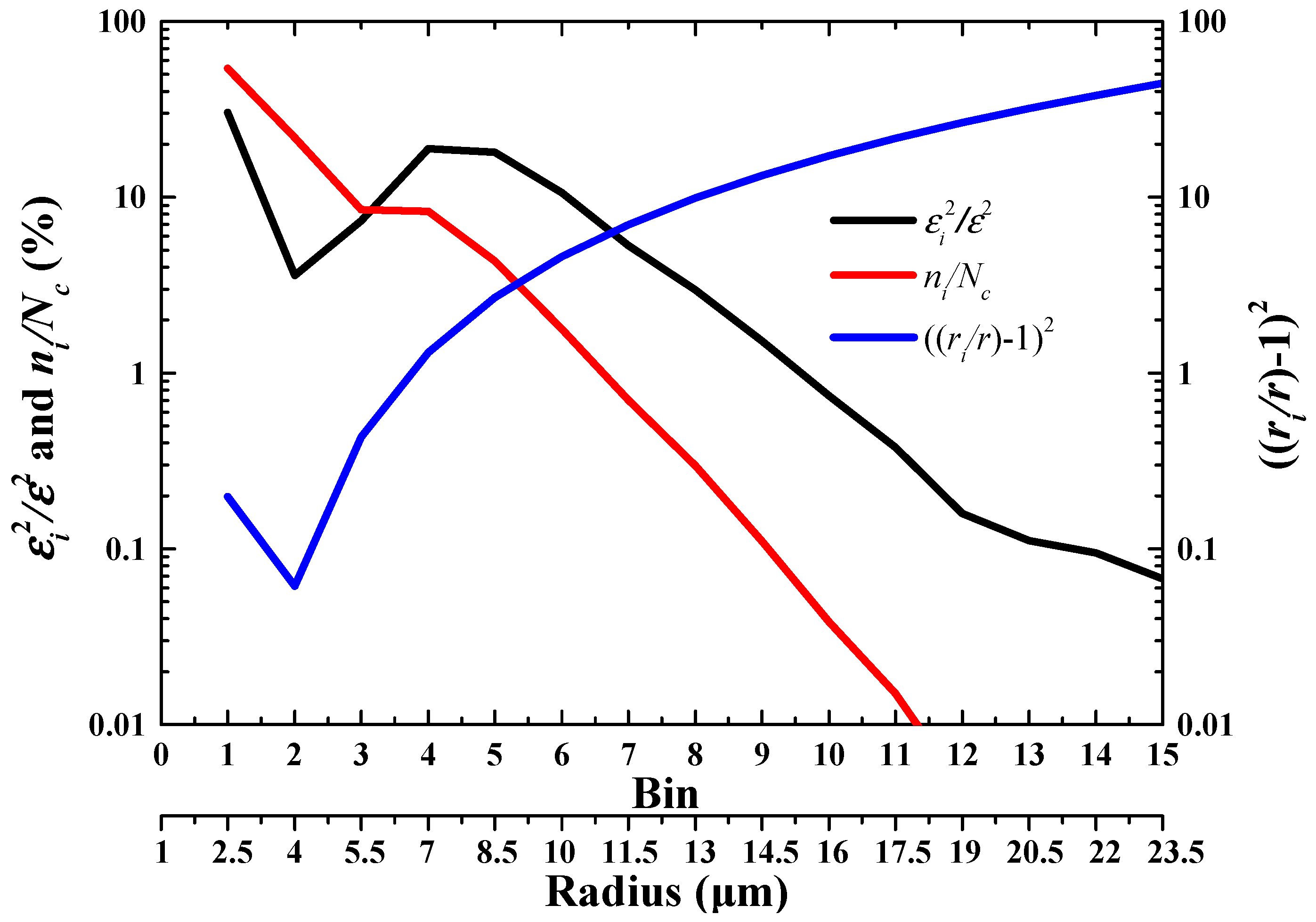
3.3. Contributions of Droplets of Different Sizes to ε
4. Conclusions
Author Contributions
Funding
Acknowledgments
Conflicts of Interest
References
- Ramanathan, V.; Crutzen, P.J.; Kiehl, J.T.; Rosenfeld, D. Aerosols, climate, and the hydrological cycle. Science 2001, 294, 2119–2124. [Google Scholar] [CrossRef] [PubMed]
- Rosenfeld, D.; Lohmann, U.; Raga, G.B.; ODown, C.D.; Kulmala, M.; Fuzzi, S.; Reissell, A.; Andreae, M.O. Flood or drought: How do aerosols affect precipitation? Science 2008, 321, 1309–1313. [Google Scholar] [CrossRef] [PubMed]
- Koren, I.; Dagan, G.; Altaratz, O. From aerosol-limited to invigoration of warm convective clouds. Science 2014, 344, 1143–1146. [Google Scholar] [CrossRef] [PubMed]
- Quaas, J. Approaches to Observe Anthropogenic Aerosol-Cloud Interactions. Curr. Clim. Chang. Rep. 2015, 1, 297–304. [Google Scholar] [CrossRef] [PubMed]
- Haywood, J.; Boucher, O. Estimates of the direct and indirect radiative forcing due to tropospheric aerosols: A review. Rev. Geophys. 2000, 38, 513–543. [Google Scholar] [CrossRef]
- Twomey, S. Pollution and the planetary albedo. Atmos. Environ. 1974, 8, 1251–1256. [Google Scholar] [CrossRef]
- Twomey, S. The Influence of Pollution on the Shortwave Albedo of Clouds. J. Atmos. Sci. 1977, 34, 1149–1152. [Google Scholar] [CrossRef]
- Zhao, C.; Zhao, L.; Dong, X. A Case Study of Stratus Cloud Properties Using in Situ Aircraft Observations over Huanghua, China. Atmosphere 2019, 10, 19. [Google Scholar] [CrossRef]
- Liu, Y.; Daum, P.H. Anthropogenic aerosols. Indirect warming effect from dispersion forcing. Nature 2002, 419, 580–581. [Google Scholar] [CrossRef] [PubMed]
- Intergovernmental Panel on Climate Change. Climate Change 2013: The Physical Science Basis. Contribution of Working Group I to the Fifth Assessment Report of the Intergovernmental Panel on Climate Change; Cambridge Univ. Press: Cambridge, UK, 2013; p. 1535. [Google Scholar]
- Quaas, J.; Boucher, O.; Lohmann, U. Constraining the total aerosol indirect effect in the LMDZ and ECHAM4 GCMs using MODIS satellite data. Atmos. Chem. Phys. 2006, 6, 947–955. [Google Scholar] [CrossRef]
- Ruckstuhl, C.; Norris, J.R.; Philipona, R. Is there evidence for an aerosol indirect effect during the recent aerosol optical depth decline in Europe? J. Geophys. Res. 2010, 115, 288–303. [Google Scholar] [CrossRef]
- Xie, X.; Liu, X. Analytical studies of the cloud droplet spectral dispersion influence on the first indirect aerosol effect. Adv. Atmos. Sci. 2013, 30, 1313–1319. [Google Scholar] [CrossRef]
- Peng, Y.; Lohmann, U. Sensitivity study of the spectral dispersion of the cloud droplet size distribution on the indirect aerosol effect. Geophys. Res. Lett. 2003, 30. [Google Scholar] [CrossRef]
- Rotstayn, L.D.; Liu, Y. Sensitivity of the first indirect aerosol effect to an increase of cloud droplet spectral dispersion with droplet number concentration. J. Clim. 2003, 16, 3476–3481. [Google Scholar] [CrossRef]
- Chen, Y.; Penner, J.E. Uncertainty analysis for estimates of the first indirect aerosol effect. Atmos. Chem. Phys. 2005, 5, 2935–2948. [Google Scholar] [CrossRef]
- Tas, E.; Koren, I.; Altaratz, O. On the sensitivity of droplet size relative dispersion to warm cumulus cloud evolution. Geophys. Res. Lett. 2012, 39, 189–200. [Google Scholar] [CrossRef]
- Lu, M.L.; Seinfeld, J.H. Effect of aerosol number concentration on cloud droplet dispersion: A large-eddy simulation study and implications for aerosol indirect forcing. J. Geophys. Res. 2006, 111. [Google Scholar] [CrossRef]
- Zhao, C.; Tie, X.; Brasseur, G.; Noone, K.J.; Nakajima, T.; Zhang, Q.; Zhang, R.; Huang, M.; Duan, Y.; Li, G.; et al. Aircraft measurements of cloud droplet spectral dispersion and implications for indirect aerosol radiative forcing. Geophys. Res. Lett. 2006, 33, 373–386. [Google Scholar] [CrossRef]
- Wang, X.; Xue, H.; Fang, W.; Zheng, G. A Study of Shallow Cumulus Cloud Droplet Dispersion by Large Eddy Simulations. Acta Meteorol. Sin. 2011, 25, 166–175. [Google Scholar] [CrossRef]
- Ma, J.; Chen, Y.; Wang, W.; Yan, P.; Liu, H.; Yang, S.; Hu, Z.; Lelieveld, J. Strong air pollution causes widespread haze-clouds over China. J. Geophys. Res. 2010, 115, 311–319. [Google Scholar] [CrossRef]
- Yum, S.S.; Hudson, J.G. Adiabatic predictions and observations of cloud droplet spectral broadness. Atmos. Res. 2005, 73, 203–223. [Google Scholar] [CrossRef]
- Liu, Y.; Daum, P.H.; Yum, S.S. Analytical expression for the relative dispersion of the cloud droplet size distribution. Geophys. Res. Lett. 2006, 33, 356–360. [Google Scholar] [CrossRef]
- Lu, C.; Niu, S.; Liu, Y.; Vogelmann, A.M. Empirical relationship between entrainment rate and microphysics in cumulus clouds. Geophys. Res. Lett. 2013, 40, 2333–2338. [Google Scholar] [CrossRef]
- Kumar, B.; Bera, S.; Prabha, T.; Grabowski, W. Cloud-edge mixing: Direct numerical simulation and observations in Indian Monsoon clouds. J. Adv. Model. Earth Syst. 2017, 9, 332–353. [Google Scholar] [CrossRef]
- Martin, G.M.; Johnson, D.W.; Spice, A. The Measurement and Parameterization of Effective Radius of Droplets in Warm Stratocumulus Clouds. J. Atmos. Sci. 1994, 51, 1823–1842. [Google Scholar] [CrossRef]
- Rotstayn, L.D.; Liu, Y. Cloud droplet spectral dispersion and the indirect aerosol effect: Comparison of two treatments in a GCM. Geophys. Res. Lett. 2009, 36, 137. [Google Scholar] [CrossRef]
- Liu, Y.; Daum, P.H.; Guo, H.; Peng, Y. Dispersion Bias, Dispersion Effect, and Aerosol-Cloud Conundrum. Environ. Res. Lett. 2008, 3, 045021. [Google Scholar] [CrossRef]
- Mcfarquhar, G.M.; Heymsfield, A.J. Parameterizations of INDOEX microphysical measurements and calculations of cloud susceptibility: Applications for climate studies. J. Geophys. Res. 2001, 106, 28675–28698. [Google Scholar] [CrossRef]
- Wood, R.; Irons, S.; Jonas, P.R. How Important Is the Spectral Ripening Effect in Stratiform Boundary Layer Clouds? Studies Using Simple Trajectory Analysis. J. Atmos. Sci. 2002, 59, 2681–2693. [Google Scholar] [CrossRef]
- Martins, J.A.; Dias, M.A.F.S. The impact of smoke from forest fires on the spectral dispersion of cloud droplet size distributions in the Amazonian region. Environ. Res. Lett. 2009, 4, 015002. [Google Scholar] [CrossRef]
- Hudson, J.G.; Noble, S.; Jha, V. Cloud droplet spectral width relationship to CCN spectra and vertical velocity. J. Geophys. Res. 2012, 117, D11211. [Google Scholar] [CrossRef]
- Lu, C.; Liu, Y.; Niu, S.; Vogelmann, A.M. Observed impacts of vertical velocity on cloud microphysics and implications for aerosol indirect effects. Geophys. Res. Lett. 2012, 39, 21808. [Google Scholar] [CrossRef]
- Reutter, P.; Trentmann, J.; Su, H.; Simmel, M.; Rose, D.; Gunthe, S.S.; Wernli, H.; Andreae, M.O.; Poschl, U. Aerosol- and updraft-limited regimes of cloud droplet formation: Influence of particle number, size and hygroscopicity on the activation of cloud condensation nuclei (CCN). Atmos. Chem. Phys. 2009, 9, 776–781. [Google Scholar] [CrossRef]
- Chen, J.; Liu, Y.; Zhang, M.; Zhang, M.; Peng, Y. New understanding and quantification of the regime dependence of aerosol-cloud interaction for studying aerosol indirect effects. Geophys. Res. Lett. 2016, 43, 1780–1787. [Google Scholar] [CrossRef]
- Chen, J.; Liu, Y.; Zhang, M.; Peng, Y. Height Dependency of Aerosol-Cloud Interaction Regimes. J. Geophys. Res. 2018, 123, 491–506. [Google Scholar] [CrossRef]
- Czys, R.R. Cloud Seeding; Environmental Geology: Dordrecht, The Netherlands, 1999. [Google Scholar]
- Chazette, P.; Randriamiarisoa, H.; Sanak, J.; Couvert, P.; Flamant, C. Optical properties of urban aerosol from airborne and ground-based in situ measurements performed during the Etude et Simulation de la Qualité de l’air en Ile de France (ESQUIF) program. J. Geophys. Res. 2005, 110, D02206. [Google Scholar] [CrossRef]
- Zhao, C.; Qiu, Y.; Dong, X.; Wang, Z.; Peng, Y.; Li, B.; Wu, Z.; Wang, Y. Negative Aerosol-Cloud re Relationship from Aircraft Observations Over Hebei, China. Earth Space Sci. 2018, 5, 19–29. [Google Scholar] [CrossRef]
- Kleinman, L.I.; Daum, P.H.; Lee, Y.N.; Lewis, E.R.; Sedlacek, A.J., III; Senum, G.I.; Springston, S.R.; Wang, J.; Hubbe, J.; Jayne, J.; et al. Aerosol concentration and size distribution measured below, in, and above cloud from the DOE G-1 during VOCALS-REx. Atmos. Chem. Phys. 2012, 12, 207–223. [Google Scholar] [CrossRef]
- Gillani, N.V.; Schwartz, S.E.; Leaitch, W.R.; Strapp, J.W.; Isaac, G.A. Field observations in continental stratiform clouds: Partitioning of cloud particles between droplets and unactivated interstitial aerosols. J. Geophys. Res. 1995, 100, 18687–18706. [Google Scholar] [CrossRef]
- Wallace, J.M.; Hobbs, P.V. Atmospheric Science: An Introductory Survey., 2nd ed.; Elsevier Academic Press: Cambridge, MA, USA, 2006. [Google Scholar]
- Deng, Z.; Zhao, C.; Zhang, Q.; Huang, M.; Ma, X. Statistical analysis of microphysical properties and the parameterization of effective radius of warm clouds in Beijing area. Atmos. Res. 2009, 93, 888–896. [Google Scholar] [CrossRef]
- Guo, X.; Lu, C.; Zhao, T.; Liu, Y.; Zhang, G.; Luo, S. Observational study of the relationship between entrainment rate and relative dispersion in deep convective clouds. Atmos. Res. 2018, 199, 186–192. [Google Scholar] [CrossRef]








| Flight | Beijing Time | Number of 1 Hz Cloud Samples | Cloud Height (m) | Minimum Temperature (°C) |
|---|---|---|---|---|
| 1 | 10:45–11:06 | 340 | 914–3484 | 0.3 |
| 2 | 16:45–17:25 | 315 | 371–3152 | 2.3 |
| Samples | ||
|---|---|---|
| Flight-1 | Flight-2 | |
| Transitions | 99% and 0.18 | 99% and 0.30 |
| Clouds | 88% and 0.53 | 81% and 0.58 |
| Flight-1 | Flight-2 | |||||
|---|---|---|---|---|---|---|
| (cm−3) | 300–700 * | 700–1250 | 1250–3000 | 100–600 | 600–1400 | 1400–3000 |
| kσ (μm(100 cm−3)−1) | 0.038 | −0.096 | −0.061 | 0.513 | 0.028 | −0.117 |
| kr (μm(100 cm−3)−1) | −0.080 | −0.152 | −0.043 | 0.492 | 0.055 | −0.109 |
| kσ/σ ((100 cm−3)−1) | 0.025 | −0.055 | −0.123 | 0.279 | 0.013 | −0.141 |
| kr /r ((100 cm−3)−1) | −0.028 | −0.050 | −0.076 | 0.149 | 0.016 | −0.049 |
| + | = | - | + | = | - | |
| ε | ε2 | Bins 1–3 | Bins 4–6 | Bins 7–9 | |
|---|---|---|---|---|---|
| ε0.32 | ε20.1 | = 0.98ε2 | - | - | Bin 1–3 |
| 0.32ε 0.4 | 0.1 ε20.16 | = 0.54ε2 + 0.04 | = 0.41ε2 − 0.04 | - | Bin 1–6 |
| 0.4 ε0.55 | 0.16ε20.3 | - | = 0.9ε2 − 0.11 | - | Bin 4–6 |
| ε0.55 | ε 20.3 | - | = 0.62ε2 − 0.02 | = 0.29ε2 − 0.08 | Bin 4–9 |
© 2019 by the authors. Licensee MDPI, Basel, Switzerland. This article is an open access article distributed under the terms and conditions of the Creative Commons Attribution (CC BY) license (http://creativecommons.org/licenses/by/4.0/).
Share and Cite
Wang, Y.; Niu, S.; Lu, C.; Liu, Y.; Chen, J.; Yang, W. An Observational Study on Cloud Spectral Width in North China. Atmosphere 2019, 10, 109. https://doi.org/10.3390/atmos10030109
Wang Y, Niu S, Lu C, Liu Y, Chen J, Yang W. An Observational Study on Cloud Spectral Width in North China. Atmosphere. 2019; 10(3):109. https://doi.org/10.3390/atmos10030109
Chicago/Turabian StyleWang, Yuan, Shengjie Niu, Chunsong Lu, Yangang Liu, Jingyi Chen, and Wenxia Yang. 2019. "An Observational Study on Cloud Spectral Width in North China" Atmosphere 10, no. 3: 109. https://doi.org/10.3390/atmos10030109
APA StyleWang, Y., Niu, S., Lu, C., Liu, Y., Chen, J., & Yang, W. (2019). An Observational Study on Cloud Spectral Width in North China. Atmosphere, 10(3), 109. https://doi.org/10.3390/atmos10030109

