Response of Soil N2O Emissions to Soil Microbe and Enzyme Activities with Aeration at Two Irrigation Levels in Greenhouse Tomato (Lycopersicon esculentum Mill.) Fields
Abstract
1. Introduction
2. Materials and Methods
2.1. Experimental Site
2.2. Experimental Design
2.3. Measurements and Methods
2.4. Statistical Analysis
3. Results
3.1. Soil N2O Fluxes
3.2. Soil Nitrifier and Denitrifier Abundance
3.3. Soil Urease Activity
4. Discussion
4.1. Effects of Aeration and Irrigation on Soil N2O Emissions
4.2. Effects of Aeration and Irrigation on Soil Microbe and Enzyme Activities
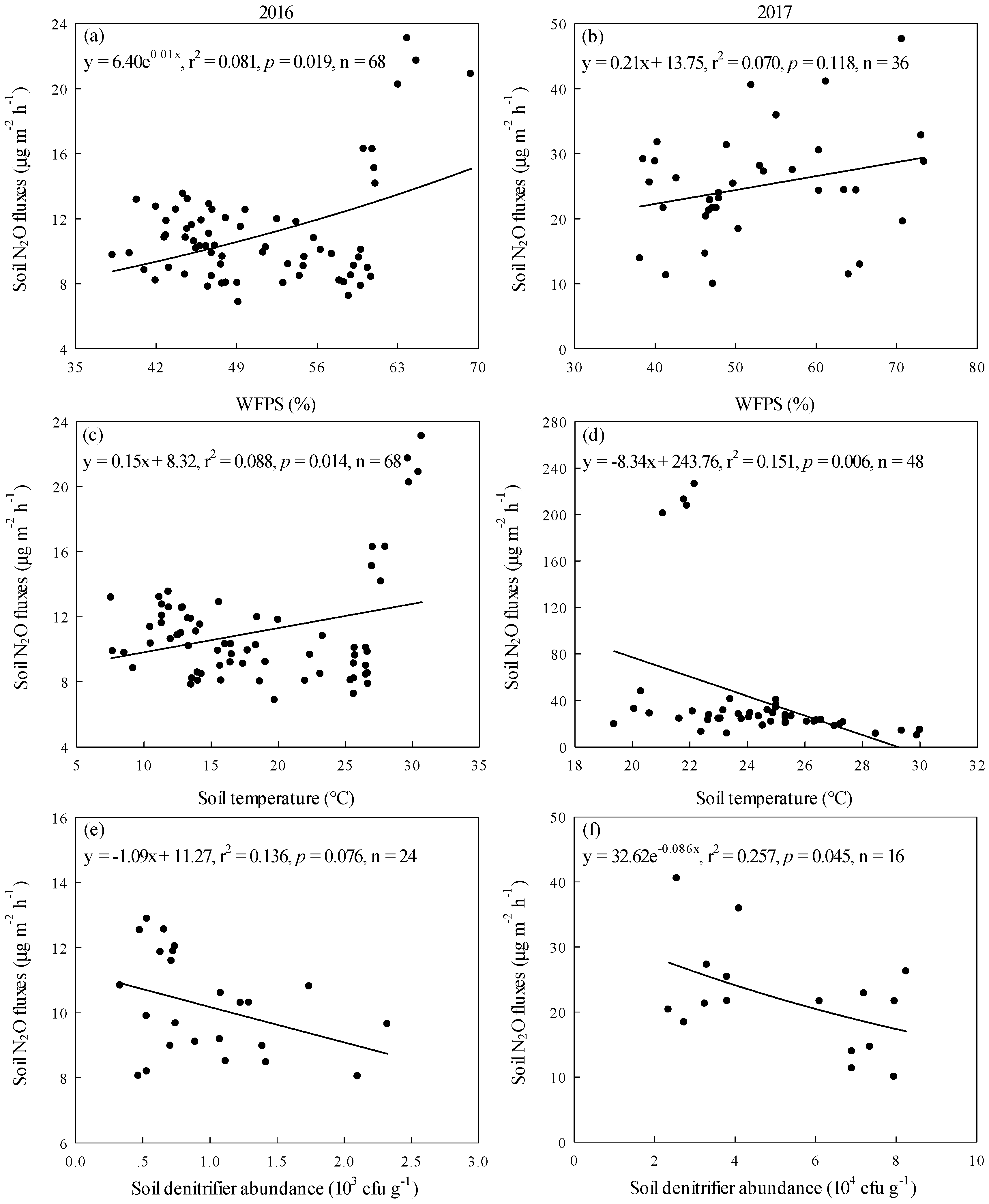
4.3. Effects of Soil Physical and Biotic Parameters on Soil N2O Fluxes
5. Conclusions
Author Contributions
Funding
Acknowledgments
Conflicts of Interest
References
- Intergovernmental Panel on Climate Change (IPCC). Climate Change 2013: The Physical Science Basis; The Working Group I contribution to the Fifth Assessment Report of the Intergovernmental Panel on Climate Change; Cambridge University Press: Cambridge, UK, 2013. [Google Scholar]
- Ravishankara, A.R.; Daniel, J.S.; Portmann, R.W. Nitrous oxide (N2O): The dominant ozone-depleting substance emitted in the 21st century. Science 2009, 326, 123–125. [Google Scholar] [CrossRef] [PubMed]
- Hu, W.; Zhang, Y.; Huang, B.; Teng, Y. Soil environmental quality in greenhouse vegetable production systems in eastern China: Current status and management strategies. Chemosphere 2017, 170, 183–195. [Google Scholar] [CrossRef] [PubMed]
- Yang, L.; Huang, B.; Hu, W.; Chen, Y.; Mao, M.; Yao, L. The impact of greenhouse vegetable farming duration and soil types on phytoavailability of heavy metals and their health risk in eastern China. Chemosphere 2014, 103, 121–130. [Google Scholar] [CrossRef] [PubMed]
- Ishii, S.; Song, Y.; Rathnayake, L.; Tumendelger, A.; Satoh, H.; Toyoda, S.; Yoshida, N.; Okabe, S. Identification of key nitrous oxide production pathways in aerobic partial nitrifying granules. Environ. Microbiol. 2014, 16, 3168–3180. [Google Scholar] [CrossRef]
- Zhang, J.; Huang, X.; Liu, C.; Shi, H.; Hu, H. Nitrogen removal enhanced by intermittent operation in a subsurface wastewater infiltration system. Ecol. Eng. 2005, 25, 419–428. [Google Scholar] [CrossRef]
- Klose, S.; Tabatabai, M.A. Urease activity of microbial biomass in soils. Soil Biol. Biochem. 1999, 31, 205–211. [Google Scholar] [CrossRef]
- Sotres, A.; Cerrillo, M.; Viñas, M.; Bonmatí, A. Nitrogen removal in a two-chambered microbial fuel cell: Establishment of a nitrifying-denitrifying microbial community on an intermittent aerated cathode. Chem. Eng. J. 2016, 284, 905–916. [Google Scholar] [CrossRef]
- Braker, G.; Schwarz, J.; Conrad, R. Influence of temperature on the composition and activity of denitrifying soil communities. FEMS Microbiol. Ecol. 2010, 73, 134–148. [Google Scholar] [CrossRef]
- Hallin, S.; Jones, C.M.; Schloter, M.; Philippot, L. Relationship between N-cycling communities and ecosystem functioning in a 50-year-old fertilization experiment. ISME J. 2009, 3, 597–605. [Google Scholar] [CrossRef]
- Bhattarai, S.P.; Su, N.; Midmore, D.J. Oxygation unlocks yield potentials of crops in oxygen-limited soil environments. Adv. Agron. 2005, 88, 313–377. [Google Scholar]
- Chen, H.; Hou, H.; Hu, H.; Shang, Z.; Zhu, Y.; Cai, H.; Qaisar, S. Aeration of different irrigation levels affects net global warming potential and carbon footprint for greenhouse tomato systems. Sci. Hortic. 2018, 242, 10–19. [Google Scholar] [CrossRef]
- Zhu, Y.; Cai, H.J.; Song, L.B.; Chen, H. Impacts of oxygation on plant growth, yield and fruit quality of tomato. Trans. Chin. Soc. Agric. Mach. 2017, 48, 199–211. (In Chinese) [Google Scholar]
- Li, Y.; Niu, W.; Wang, J.; Liu, L.; Zhang, M.; Xu, J. Effects of artificial soil aeration volume and frequency on soil enzyme activity and microbial abundance when cultivating greenhouse tomato. Soil Sci. Soc. Am. J. 2016, 80, 1208–1221. [Google Scholar] [CrossRef]
- Du, Y.; Niu, W.; Zhang, Q.; Cui, B.; Gu, X.; Guo, L.; Liang, B. Effects of nitrogen on soil microbial abundance, enzyme activity, and nitrogen use efficiency in greenhouse celery under aerated irrigation. Soil Sci. Soc. Am. J. 2018, 82, 606. [Google Scholar] [CrossRef]
- Hou, H.; Chen, H.; Cai, H.; Yang, F.; Li, D.; Wang, F. CO2 and N2O emissions from Lou soils of greenhouse tomato fields under aerated irrigation. Atmos. Environ. 2016, 132, 69–76. [Google Scholar] [CrossRef]
- He, R.; Shen, D. Nitrogen removal in the bioreactor landfill system with intermittent aeration at the top of landfilled waste. J. Hazard. Mater. 2006, 136, 784–790. [Google Scholar] [CrossRef] [PubMed]
- Pan, J.; Fei, H.; Song, S.; Yuan, F.; Yu, L. Effects of intermittent aeration on pollutants removal in subsurface wastewater infiltration system. Bioresour. Technol. 2015, 191, 327–331. [Google Scholar] [CrossRef]
- Yang, F.; Tian, J.; Fang, H.; Gao, Y.; Zhang, X.; Yu, G.; Kuzyakov, Y. Spatial heterogeneity of microbial community and enzyme activities in a broad-leaved Korean pine mixed forest. Eur. J. Soil Biol. 2018, 88, 65–72. [Google Scholar] [CrossRef]
- FAOSTAT: Food and Agriculture Organization of the United Nations, Statistical Data; FAO: Rome, Italy, 2017.
- Lan, T.; Han, Y.; Roelcke, M.; Nieder, R.; Car, Z. Sources of nitrous and nitric oxides in paddy soils: Nitrification and denitrification. J. Environ. Sci. 2014, 26, 581–592. [Google Scholar] [CrossRef]
- Li, S.; Li, Y.; Li, X.; Tian, X.; Zhao, A.; Wang, S.; Wang, S.; Shi, J. Effect of straw management on carbon sequestration and grain production in a maize-wheat cropping system in Anthrosol of the Guanzhong Plain. Soil Till. Res. 2016, 157, 43–51. [Google Scholar] [CrossRef]
- Kang, Y.H. Applied method for drip irrigation scheduling. Water Saving Irrig. 2004, 3, 11–12. (In Chinese) [Google Scholar]
- Huang, J. The Effect of Biochar Application on Soil Microbial Biomass and Soil Enzymes; Chinese Academy of Agricultural Science: Beijing, China, 2012. (In Chinese) [Google Scholar]
- Chen, H.; Hou, H.; Wang, X.; Zhu, Y.; Qaisar, S.; Wang, Y.; Cai, H. The effects of aeration and irrigation regimes on soil CO2 and N2O emissions in a greenhouse tomato production system. J. Integr. Agr. 2018, 17, 449–460. [Google Scholar] [CrossRef]
- Xia, Z.; Xu, H.; Chen, G.; Dong, D.; Bai, E.; Luo, L. Soil N2O production and the δ15N-N2O value: Their relationship with nitrifying/denitrifying bacteria and archaea during a growing season of soybean in northeast China. Eur. J. Soil Biol. 2013, 58, 73–80. [Google Scholar] [CrossRef]
- Waldrop, M.P.; Firestone, M.K. Response of microbial community composition and function to soil climate change. Microb. Ecol. 2006, 52, 716–724. [Google Scholar] [CrossRef] [PubMed]
- Dobbie, K.E.; Smith, K.A. The effects of temperature, water-filled pore space and land use on N2O emissions from an imperfectly drained gleysol. Eur. J. Soil Sci. 2001, 52, 667–673. [Google Scholar] [CrossRef]
- Zhu, Y.; Wang, X.; Yang, X.; Xu, H.; Jia, Y. Key microbial processes in nitrous oxide emissions of agricultural soil and mitigation strategies. Environtal. Sci. 2014, 35, 792–800. (In Chinese) [Google Scholar]
- Braker, G.; Conrad, R. Diversity, structure, and size of N2O-producing microbial communities in soils-what matters for their functioning? Adv. Appl. Microbiol. 2011, 75, 33–70. [Google Scholar]
- Paul, J.W.; Beauchamp, E.G. Effect of carbon constituents in manure on denitrification in soil. Can. J. Soil Sci. 1989, 69, 49–61. [Google Scholar] [CrossRef]
- Miller, M.N.; Zebarth, B.J.; Dandie, C.E.; Burton, D.L.; Goyer, C.; Trevors, J.T. Crop residue influence on denitrification, N2O emissions and denitrifier community abundance in soil. Soil Biol. Biochem. 2008, 40, 2553–2562. [Google Scholar] [CrossRef]
- Vor, T.; Dyckmans, J.; Loftfield, N.; Beese, F.; Flessa, H. Aeration effects on CO2, N2O, and CH4 emission and leachate composition of a forest soil. J. Plant Nutr. Soil Sci. 2003, 166, 39–45. [Google Scholar] [CrossRef]
- Papen, H.; Von Berg, R. A Most Probable Number method (MPN) for the estimation of cell numbers of heterotrophic nitrifying bacteria in soil. Plant Soil 1998, 199, 123–130. [Google Scholar] [CrossRef]
- Ma, W.K.; Bedard-Haughn, A.; Siciliano, S.D.; Farrell, R.E. Relationship between nitrifier and denitrifier community composition and abundance in predicting nitrous oxide emissions from ephemeral wetland soils. Soil Biol. Biochem. 2008, 40, 1114–1123. [Google Scholar] [CrossRef]
- Rubol, S.; Manzoni, S.; Bellin, A.; Porporato, A. Modeling soil moisture and oxygen effects on soil biogeochemical cycles including dissimilatory nitrate reduction to ammonium (DNRA). Adv. Water Resour. 2013, 62, 106–124. [Google Scholar] [CrossRef]
- Stanford, G.; Epstein, E. Nitrogen mineralization-water relations in soils. Soil Sci. Soc. Am. J. 1974, 38, 103–107. [Google Scholar] [CrossRef]
- Di, H.J.; Cameron, K.C.; Podolyan, A.; Robinson, A. Effect of soil moisture status and a nitrification inhibitor, dicyandiamide, on ammonia oxidizer and denitrifier growth and nitrous oxide emissions in a grassland soil. Soil Biol. Biochem. 2014, 73, 59–68. [Google Scholar] [CrossRef]
- Luo, G.J.; Kiese, R.; Wolf, B.; Butterbach-Bahl, K. Effects of soil temperature and moisture on methane uptakes and nitrous oxide emissions across three different ecosystem types. Biogeosciences 2013, 10, 3205–3219. [Google Scholar] [CrossRef]
- Manzoni, S.; Schimel, J.P.; Porporato, A. Responses of soil microbial communities to water stress: Results from a meta-analysis. Ecology 2012, 93, 930–938. [Google Scholar] [CrossRef]
- Shi, Y.; Lalande, R.; Hamel, C.; Ziadi, N. Winter effect on soil microorganisms under different tillage and phosphorus management practices in eastern Canada. Can. J. Microbiol. 2015, 61, 315–326. [Google Scholar] [CrossRef]
- Wang, X.; Kong, Q.; Jin, M.; Song, N.; Zheng, J.; Gu, C.; Li, J. Effect of pH and aeration on nitrification of nitrobacteria. J. Prev. Med. Chin. 2003, 21, 319–322. (In Chinese) [Google Scholar]
- Sexstone, A.J.; Parkin, T.B.; Tiedje, J.M. Temporal response of soil denitrification rates to rainfall and irrigation. Soil Sci. Soc. Am. J. 1985, 49, 99–103. [Google Scholar] [CrossRef]
- Zhao, F.; Sun, J.; Jiang, Y.; Hu, D.; Yang, X.; Dong, M.; Yu, K.; Yu, S. Effect of rhizosphere aeration by subsurface drip irrigation with tanks on the growth of ‘Red Globe’ grape seedling and its absorption, distribution and utilization of urea-15N. Sci. Hortic. 2018, 236, 207–213. [Google Scholar] [CrossRef]
- Pan, J.; Yuan, F.; Zhang, Y.; Huang, L.; Cheng, F.; Zheng, F.; Liu, R. Nitrogen removal in subsurface wastewater infiltration systems with and without intermittent aeration. Ecol. Eng. 2016, 94, 471–477. [Google Scholar] [CrossRef]
- Li, Y.; Niu, W.; Xu, J.; Wang, J.; Zhang, M.; Lv, W. Root morphology of greenhouse produced muskmelon under sub-surface drip irrigation with supplemental soil aeration. Sci. Hortic. 2016, 201, 287–294. [Google Scholar] [CrossRef]
- Lawrence, C.R.; Neff, J.C.; Schimel, J.P. Does adding microbial mechanisms of decomposition improve soil organic matter models? A comparison of four models using data from a pulsed rewetting experiment. Soil Biol. Biochem. 2009, 41, 1923–1934. [Google Scholar] [CrossRef]
- Stark, J.M.; Firestone, M.K. Mechanisms for soil moisture effects on activity of nitrifying bacteria. Appl. Environ. Microbiol. 1995, 61, 218–221. [Google Scholar] [PubMed]
- Zhong, L.; Du, R.; Ding, K.; Kang, X.; Li, F.Y.; Bowatte, S.; Hoogendoorn, C.J.; Wang, Y.; Rui, Y.; Jiang, L.; et al. Effects of grazing on N2O production potential and abundance of nitrifying and denitrifying microbial communities in meadow-steppe grassland in northern China. Soil Biol. Biochem. 2014, 69, 1–10. [Google Scholar] [CrossRef]
- Xu, X.; Ran, Y.; Li, Y.; Zhang, Q.; Liu, Y.; Pan, H.; Guan, X.; Li, J.; Shi, J.; Dong, L.; et al. Warmer and drier conditions alter the nitrifier and denitrifier communities and reduce N2O emissions in fertilized vegetable soils. Agric. Ecosyst. Environ. 2016, 231, 133–142. [Google Scholar] [CrossRef]
- Németh, D.D.; Wagner-Riddle, C.; Dunfield, K.E. Abundance and gene expression in nitrifier and denitrifier communities associated with a field scale spring thaw N2O flux event. Soil Biol. Biochem. 2014, 73, 1–9. [Google Scholar] [CrossRef]
- Wang, X.; Sun, T.; Li, H.; Li, Y.; Pan, J. Nitrogen removal enhanced by shunt distributing wastewater in a subsurface wastewater infiltration system. Ecol. Eng. 2010, 36, 1433–1438. [Google Scholar] [CrossRef]






| Irrigation Time (DAT) | Evaporation (mm) | Irrigation Amount (L) | |
|---|---|---|---|
| W0.6 | W1.0 | ||
| In 2016 | |||
| 14 | 12.7 | 1.07 | 1.78 |
| 18 | 16.1 | 1.35 | 2.25 |
| 22 | 12.3 | 1.03 | 1.72 |
| 25 | 9.0 | 0.76 | 1.26 |
| 29 | 7.9 | 0.66 | 1.11 |
| 33 | 7.0 | 0.59 | 0.98 |
| 36 | 3.2 | 0.27 | 0.45 |
| 41 | 7.3 | 0.61 | 1.02 |
| 44 | 3.7 | 0.31 | 0.52 |
| 49 | 10.1 | 0.85 | 1.41 |
| 55 | 2.8 | 0.24 | 0.39 |
| 61 | 3.0 | 0.25 | 0.42 |
| 65 | 5.8 | 0.49 | 0.81 |
| 74 | 3.2 | 0.27 | 0.45 |
| 77 | 2.8 | 0.24 | 0.39 |
| 82 | 4.9 | 0.41 | 0.69 |
| 88 | 7.3 | 0.61 | 1.02 |
| 94 | 4.8 | 0.40 | 0.67 |
| 102 | 5.2 | 0.44 | 0.73 |
| 109 | 5.0 | 0.42 | 0.70 |
| 114 | 5.6 | 0.47 | 0.78 |
| 121 | 5.0 | 0.42 | 0.70 |
| 127 | 3.7 | 0.31 | 0.52 |
| 132 | 4.5 | 0.38 | 0.63 |
| Total | 152.9 | 12.84 | 21.41 |
| In 2017 | |||
| 20 | 20.5 | 1.72 | 2.87 |
| 27 | 23.6 | 1.98 | 3.30 |
| 34 | 19.6 | 1.65 | 2.74 |
| 38 | 12.7 | 1.07 | 1.78 |
| 42 | 10.6 | 0.89 | 1.48 |
| 46 | 9.8 | 0.82 | 1.37 |
| 50 | 11.1 | 0.93 | 1.55 |
| 53 | 12.3 | 1.03 | 1.72 |
| 57 | 11.2 | 0.94 | 1.57 |
| 62 | 11.1 | 0.93 | 1.55 |
| 68 | 13.7 | 1.15 | 1.92 |
| 72 | 11.6 | 0.97 | 1.62 |
| 76 | 10.5 | 0.88 | 1.47 |
| 80 | 14.4 | 1.21 | 2.02 |
| 84 | 14.4 | 1.21 | 2.02 |
| 88 | 12.5 | 1.05 | 1.75 |
| Total | 219.6 | 18.45 | 30.74 |
© 2019 by the authors. Licensee MDPI, Basel, Switzerland. This article is an open access article distributed under the terms and conditions of the Creative Commons Attribution (CC BY) license (http://creativecommons.org/licenses/by/4.0/).
Share and Cite
Chen, H.; Shang, Z.; Cai, H.; Zhu, Y. Response of Soil N2O Emissions to Soil Microbe and Enzyme Activities with Aeration at Two Irrigation Levels in Greenhouse Tomato (Lycopersicon esculentum Mill.) Fields. Atmosphere 2019, 10, 72. https://doi.org/10.3390/atmos10020072
Chen H, Shang Z, Cai H, Zhu Y. Response of Soil N2O Emissions to Soil Microbe and Enzyme Activities with Aeration at Two Irrigation Levels in Greenhouse Tomato (Lycopersicon esculentum Mill.) Fields. Atmosphere. 2019; 10(2):72. https://doi.org/10.3390/atmos10020072
Chicago/Turabian StyleChen, Hui, Zihui Shang, Huanjie Cai, and Yan Zhu. 2019. "Response of Soil N2O Emissions to Soil Microbe and Enzyme Activities with Aeration at Two Irrigation Levels in Greenhouse Tomato (Lycopersicon esculentum Mill.) Fields" Atmosphere 10, no. 2: 72. https://doi.org/10.3390/atmos10020072
APA StyleChen, H., Shang, Z., Cai, H., & Zhu, Y. (2019). Response of Soil N2O Emissions to Soil Microbe and Enzyme Activities with Aeration at Two Irrigation Levels in Greenhouse Tomato (Lycopersicon esculentum Mill.) Fields. Atmosphere, 10(2), 72. https://doi.org/10.3390/atmos10020072
