Abstract
Aerated irrigation is proven to increase soil N2O emissions; however, the mechanisms of N2O release are still unknown. A field experiment for two consecutive greenhouse tomato-growing seasons, from August 2016 to July 2017, was carried out to examine (1) the differences of aeration and irrigation on soil N2O emissions with a static chamber GC technique, and on soil physical and biotic parameters, and (2) the response of soil N2O emissions to soil physical and biotic parameters. Two irrigation levels were included: 60% (low irrigation) and 100% (high irrigation) of the full irrigation amount. Each irrigation level contained aeration and control, totaling four treatments. During the two growing seasons, soil N2O emissions with aeration were 4.5% higher than the control (p > 0.05). Soil N2O emissions under the high irrigation were 13.8% greater than under the low irrigation, and the difference was significant in 2017 (p < 0.05). Aeration and irrigation had positive effects on the mean soil nitrifier abundance and mean soil urease activity, and the impact of irrigation on urease was significant in 2016 (p = 0.001). In addition, aeration negatively influenced the mean soil denitrifier abundance, while irrigation positively influenced the mean soil denitrifier abundance. Regression analysis showed that the soil water-filled pore space, temperature, and denitrifier abundance were primary factors influencing soil N2O fluxes. This study provides a further understanding of the processes affecting soil N2O emissions and N dynamics, which may assist in developing mitigation strategies to reduce N2O emissions.
1. Introduction
Nitrous oxide (N2O), one of the most important greenhouse gases, has a global warming potential 298 times higher than that of carbon dioxide (CO2) on a 100-year time horizon []. N2O participates in atmospheric photochemical reactions and depletes stratospheric ozone [], thus playing an important role in global climate change. The International Panel on Climate Change (IPCC) [] reports that the atmospheric N2O concentration increased at a rate of 0.73 ± 0.03 ppb∙year−1 for the past 30 years. Greenhouse vegetable soils, covering an area of 2.0 million hectares in 2013 in China [], are considered to make up approximately 85% of the world’s total greenhouse vegetable production areas [], and are needed to satisfy the increasing demand for vegetables. Due to the high application rates of fertilizer, the greatest amounts of N2O often occur in greenhouse vegetable production systems. Accordingly, reducing N2O emissions from greenhouse vegetable fields is necessary to combat climate change.
N2O can be produced as a by-product of nitrification by nitrifiers, or as an end-product or intermediate product of nitrite reduction by denitrifiers during denitrification [,]. Soil urease activity plays a critical role in the soil nitrogen (N) cycle by determining the capacity of soil to supply N []. Therefore, the study of soil nitrifiers, denitrifiers, and urease activities is necessary for studying nitrification and denitrification processes and the N cycle.
Different microbial populations have different requirements for oxygen (O2) [], which may relate to soil N2O emissions [,]. Aerated irrigation (AI) through venturi injectors installed with subsurface drip irrigation pipes is aimed at providing a slurry of air and water to soil, which contains O2 in the gaseous and dissolved phases []. AI was found to increase crop yield, fruit quality, and water use efficiency [,], but information regarding its effect on soil microenvironments is still limited. AI has the potential to increase soil aeration, which would affect the conditions of soil microbes, thus influencing soil fertility and soil N conversion and utilization [,]. Previous independent studies showed that AI does not enhance soil N2O emissions [,], while it increases soil microbial activity []. Nevertheless, studies regarding the effect of aeration on nitrifiers and denitrifiers were conducted only in a laboratory (biofilm reactor) or in a subsurface wastewater infiltration system [,], and field measurements with aeration are yet to be clearly reported. Recently, a field experiment with greenhouse celery reported that soil nitrifier and denitrifier microbes increased under AI []. As reported by Yang et al. [], soil microbes and enzymes are also influenced by different crops. Tomatoes (Lycopersicon esculentum Mill.), one of the world’s main vegetable crops, are abundantly nutritious in the human diet. Because of this, the planting area of tomatoes remained steady or increased in recent years, with 1.0 million hectares planted in 2016 in China []. Soil nitrifiers and denitrifiers in greenhouse tomatoes under AI are yet to be examined, especially in terms of their correlations with soil N2O fluxes. Developing mitigation strategies for N2O emissions depends on developing a better understanding of the environmental factors, mechanisms, and soil processes involved [].
In this study, we carried out a field experiment using tomato plants to examine the effect of aeration at two irrigation levels on soil N2O emissions, as well as soil physical and biotic parameters (soil water-filled pore space, temperature, nitrifier and denitrifier abundance, and urease activity). The purpose of this study was to (1) elucidate the different impacts of aeration and irrigation on soil N2O emissions, as well as on soil physical and biotic parameters, and (2) investigate the factors that affect N2O emissions and N dynamics.
2. Materials and Methods
2.1. Experimental Site
The experiment was conducted in a greenhouse from August 2016 to July 2017, for two consecutive tomato-growing seasons, at the Key Laboratory of Agricultural Soil and Water Engineering in Arid and Semi-Arid Areas of the Ministry of Education, Northwest A&F University, Yangling, Shaanxi Province, China. The site was located at 34°20′ N and 108°04′ E. The mean sunshine duration was 2163.8 h, and the mean frost-free period was 210 days. The experimental region has a Lou soil type, which is classified as Eum-Orthic Anthrosols []. The soil texture is silt clay loam (sand 26.0%; silt 33.0%; clay 41.0%), and the dry bulk density is 1.35 g∙cm−3. The top 20 cm of soil, which was utilized in this experiment, had a field capacity of 23.8% (gravimetric water content), pH of 7.74, organic matter content of 14.13 g∙kg−1, total N of 1.87 g∙kg−1, total P of 1.38 g∙kg−1, and total K of 20.21 g∙kg−1 (sampled on 10 August 2016).
2.2. Experimental Design
During the experimental periods, tomato plants of the cultivar “Jinpeng No. 10” were transplanted on 17 August 2016 and 6 April 2017, when the seedlings had three to four leaves and one heart, to account for two tomato-growing seasons. An irrigation amount of 30 mm was applied to the seedlings during transplantation. Each plot (4 × 0.8 m in size) in the greenhouse had one row with 11 plants. The tomato plants were spaced 35 cm apart. Over the two growing seasons, all plots were covered with a layer of low-density polyethylene to minimize surface evaporation. A drip irrigation pipe was buried at 15 cm below the soil surface, with a dripper interval of 35 cm [,]. The experiments ended on 31 December 2016 and 4 July 2017, with a total growth period of 136 and 90 days for the growing seasons of 2016 and 2017, respectively.
Two irrigation levels were used in this experiment: 60% (W0.6) and 100% (W1.0) of the full irrigation amount (W), as calculated by Equation (1). Each irrigation level included aeration (O) and control (S), resulting in four treatments (W0.6O, W0.6S, W1.0O, and W1.0S). Three replicates of each treatment were used, totaling 12 plots. The experiment was performed with a completely randomized design.
Based on the evaporation determined by an E601 evaporation pan, the full irrigation amount was calculated according to the following Equation []:
where W is the irrigation amount (L), A is the effective plot area irrigated by one dripper, which in this experiment was 0.14 m2 (0.35 × 0.4 m) [], Epan is the total evaporation following the last irrigation event (mm), and kcp is the crop-pan coefficient, which is 1.0 for most crops grown in solar and plastic greenhouses in order to obtain the optimal yields [].
Irrigation was carried out using a bucket connected to a pump []. Throughout the whole growing seasons, 24 and 16 irrigation events in the first and second seasons, respectively, at an interval of 3–9 days, were applied. The total irrigation amounts for W1.0 were 21.41 and 30.74 L for 2016 and 2017, respectively (Table 1).

Table 1.
Irrigation time and amount during the two consecutive greenhouse tomato-growing seasons.
For aeration, a “Mazzei 287” venturi air-injector (Mazzei Injector Company, LLC, Bakersfield, CA, USA) was installed in-line immediately following a control valve and pump. The pressure differential within the venturi (inlet: 0.1 MPa, outlet: 0.02 MPa) was confirmed with pressure gauges on both sides of the venturi and a pressure-regulated bypass line, which established a volumetric air concentration of 17% in the water [].
Over the two growing seasons, only basal fertilizer, which contained organic fertilizer (N–P2O5–K2O ≥ 10%, organic matter ≥ 45%) and compound fertilizer (total nutrients ≥ 45%, including N, P2O5, and K2O, each at 15%), was applied. The application of organic fertilizer (3437.5 kg∙ha−1) and compound fertilizer (2187.5 kg∙ha−1) was carried out on 9 July 2016 and 17 January 2017 []. No additional fertilization was used during the growth period. Other agronomic managements, such as field preparation, planting, spraying, pruning, pollination, and bactericide, were the same for all treatments and followed local production practices [].
2.3. Measurements and Methods
Soil N2O fluxes were measured using the static closed chamber technique, as reported by Hou et al. []. All chambers, which were made of polyvinyl chloride (PVC) materials and wrapped with sponge and aluminum foil, were 25 × 25 × 25 cm in size. The bases of the chambers were installed between two plants in the middle of each plot on the day of transplantation, and kept there until the end of the experiment. A 3-cm-deep groove on the top edge of the bottom layer and on the base of the chamber was designed to be filled with water to seal the rim of the chamber. A mercury thermometer (WNG-01, China) at the top of each chamber was equipped to measure the air temperature inside the chamber when gas-sampling for calculating the gas emission flux. Gas samples, at an average interval of eight days, were collected at 10:00, 10:10, 10:20, and 10:30 a.m. starting seven and nine days after transplanting (DAT) in 2016 and 2017, respectively. A rubber tube was inserted into the chamber from one side, and was connected outside to three stopcocks used to draw air samples with a 50-mL syringe. A 30-mL gas sample was collected at each sampling time, which was kept in the syringe and then connected to a gas chromatograph (7890A GC System, Agilent Technologies, Santa Clara, USA) for N2O concentration analysis []. Sample sets were adopted when the linear regression value of R2 was higher than 0.90. Then, the soil N2O fluxes were calculated following the method outlined by Hou et al. [], and cumulative soil N2O emissions were calculated using the equation below.
where Y is the cumulative soil N2O emissions (kg∙ha−1), F is the soil N2O flux (μg∙m−2∙h−1), T is the days of gas sampling (d); i is the times of gas sampling; 24 is the coefficient for converting the unit day into hour; and 100,000 is the coefficient for converting the unit μg∙m−2 into kg∙ha−1.
Air temperature in the greenhouse was recorded using a mercury thermometer (WNG-01, China) placed 1.5 m above the ground when gas-sampling.
Soil samples (0–10 cm in depth) were collected when sampling gas, except on 9, 66, and 81 DAT in 2017. The samples were taken through a diameter gauge at three sampling points located between two plants at the head, middle, and end of each plot in order to determine the soil water content via oven drying at 105 °C for 12 h. This finding was then transformed into the soil water-filled pore space (WFPS) using the equation given by Hou et al. []. In addition, soil temperature at a depth of 10 cm was measured using a geothermometer (RM-004, China) when the gas samples were collected.
Similar to the collection procedure of WFPS, soil samples (0–20 cm in depth) were collected to measure soil microbes. Some of the fresh soil was assigned to monitor soil nitrifier and denitrifier abundance on 27, 42, 69, 91, 108, and 128 DAT in 2016, and on 38, 52, 73, and 90 DAT in 2017, using the most probable number (MPN) calculation []. The rest of the soil was air-dried and passed through a 1-mm sieve to measure soil urease activity on 12, 25, 42, 59, 90, 108, and 135 DAT in 2016, and on 14, 30, 46, 68, and 90 DAT in 2017, using phenol sodium hypochlorite colorimetry [].
2.4. Statistical Analysis
Statistical analysis of the differences of aeration and irrigation on soil N2O emissions, as well as soil physical and biotic parameters, were tested with a two-way analysis of variance (ANOVA) followed by a least significant difference (LSD) test (95% confidence level, p < 0.05) using SPSS Statistics 22.0 (SPSS Inc., Chicago, IL, USA). Regression analysis was performed using SPSS Statistics 22.0. All figures were created in SigmaPlot 12.5 (Systat Software, Inc., Chicago, IL, USA).
3. Results
3.1. Soil N2O Fluxes
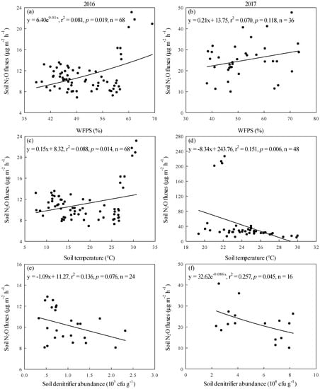
Aeration and irrigation had positive effects on soil N2O fluxes. Across the two growing seasons, soil N2O fluxes under aeration and the high irrigation level (W1.0) were mostly higher than under the control and the low irrigation level (W0.6) (Figure 1). The temporal distribution pattern of soil N2O fluxes was similar among treatments, being primarily affected by the soil water-filled pore space (WFPS) and soil temperature (Figure 2). As can be seen in Figure 1, peaks of soil N2O fluxes during each growing season appeared in the first gas sampling. The maximum was recorded under W1.0O treatment (in 2016: 23.10 μg∙m−2∙h−1; in 2017: 226.14 μg∙m−2∙h−1), which was 6.4–14.1% and 6.3–12.6% higher in 2016 and in 2017, respectively, compared to the other three treatments. Soil N2O fluxes among treatments showed a sharp decrease from one to 25 and one to 22 days after transplanting (DAT) in 2016 and 2017, respectively. After that, soil N2O fluxes changed within a small range, varying from 6.88 to 13.53 μg∙m−2∙h−1 and from 9.98 to 41.08 μg∙m−2∙h−1 for the seasons of 2016 and 2017, respectively. A positive and linear correlation between soil N2O fluxes and WFPS in 2016 was observed (p = 0.019, Figure 3a). A positive and exponential relationship between soil N2O fluxes and WFPS in 2017 was found (p = 0.118, Figure 3b). Soil N2O fluxes in 2016 were positively and linearly correlated with soil temperature (p = 0.014, Figure 3c), while soil N2O fluxes in 2017 were negatively and linearly correlated with soil temperature (p = 0.006, Figure 3d).

Figure 1.
Variations of soil N2O fluxes among treatments and air temperature in the greenhouse for the tomato-growing seasons of 2016 (a) and 2017 (b). Error bars represent standard error (n = 3). W0.6O is 60% of the full irrigation with aeration; W0.6S is 60% of the full irrigation with control; W1.0O is 100% of the full irrigation with aeration; W1.0S is 100% of the full irrigation with control.

Figure 2.
Variations of water-filled pore space (WFPS) (a,b) and soil temperature (c,d) among treatments. (a,c) and (b,d) represent soil parameters in the greenhouse tomato-growing seasons of 2016 and 2017, respectively.

Figure 3.
Relationships between soil N2O fluxes with WFPS in 2016 (a), WFPS in 2017 (b), soil temperature in 2016 (c), soil temperature in 2017 (d), soil denitrifier abundance in 2016 (e), and soil denitrifier abundance in 2017 (f).
Average soil N2O flux of the whole growth period of 2016 under W0.6O, W0.6S, W1.0O, and W1.0S treatment was 10.81, 10.60, 11.97, and 10.85 μg∙m−2∙h−1, respectively. The highest mean value of soil N2O fluxes in 2017 occurred under W1.0O (44.75 μg∙m−2∙h−1), which was 1.19-, 1.23-, and 1.04-fold greater than under W0.6O, W0.6S, and W1.0S, respectively.
As shown in Figure 4, cumulative soil N2O emissions in 2017 were significantly higher compared to those in 2016 (p < 0.05). During each growing season, cumulative soil N2O emissions under aeration for each irrigation level (W0.6 or W1.0) were slightly higher than those under the control, with a total increase of 4.5% across the two seasons, although the differences of treatments were not significant (p > 0.05, Figure 4). Moreover, cumulative soil N2O emissions under the high irrigation level were 13.8% greater than under the low irrigation level, and the differences were significant in 2017 (p < 0.05). That is, soil N2O emissions were more sensitive to irrigation than to aeration. Across the two growing seasons, W1.0O led to the highest values of cumulative soil N2O emissions (in 2016: 0.36 kg∙ha−1; in 2017: 0.67 kg∙ha−1), which was increased by 17.3%, 20.5%, and 6.2% on average compared to W0.6O, W0.6S, and W1.0S, respectively (Figure 4).

Figure 4.
Cumulative soil N2O emissions among treatments in the greenhouse tomato-growing seasons of 2016 and 2017.
3.2. Soil Nitrifier and Denitrifier Abundance
Soil nitrifier and denitrifier abundance, which were affected by aeration and irrigation to some extent (Figure 5), were the primary driving factors in the soil nitrification and denitrification processes. Soil nitrifier abundance among treatments fluctuated across the two growing seasons, and a significantly higher value on 52 DAT was estimated compared to other periods in 2017 (p < 0.05, Figure 5a,b). Soil denitrifier abundance increased and then decreased in 2016, and the value was maximized on 42 DAT (Figure 5c). An overall increase of soil denitrifier abundance in 2017 was observed, and the values on 73 and 90 DAT were significantly greater than those on 38 and 52 DAT (p < 0.05, Figure 5d). Compared to the control, aeration increased soil nitrifier abundance, except for the high irrigation level on 42 DAT and for the two irrigation levels on 69 DAT in 2016 (Figure 5a), as well as for the two irrigation levels on 38 DAT and for the low irrigation level on 73 DAT in 2017 (Figure 5b). Furthermore, aeration decreased soil denitrifier abundance, except for the two irrigation levels on 42 DAT, for the high irrigation level on 69 DAT, and for the low irrigation level on 128 DAT in 2016 (Figure 5c). In 2017, a decrease in soil denitrifier abundance under aeration was observed, except for the high irrigation level on 52 DAT (Figure 5d). Compared with the control, the mean soil nitrifier abundance under aeration increased by 1.8% and 2.2%, while the mean soil denitrifier abundance decreased by 15.2% (p < 0.05) and 7.4% for the irrigation treatment W0.6 and W1.0, respectively. In comparison to low irrigation, high irrigation enhanced soil nitrifier abundance, except on 108 and 128 DAT in 2016, and on 38 and 52 DAT in 2017 (Figure 5a,b). High irrigation increased soil denitrifier abundance compared to low irrigation, except on 42 and 69 DAT in 2016, and on 52 and 73 DAT in 2017 (Figure 5c,d). At the irrigation of W1.0, mean soil nitrifier and denitrifier abundances were 4.8% and 14.0% (p < 0.05) higher than at the irrigation of W0.6, respectively. Regression analysis showed that soil denitrifier abundance was negatively correlated with soil N2O fluxes (Figure 3e,f), and the relationship was significant in 2017 (p = 0.045).

Figure 5.
Variations of soil nitrifier (a,b) and denitrifier (c,d) abundance among treatments. (a,c) and (b,d) represent soil microbes in the greenhouse tomato-growing seasons of 2016 and 2017, respectively.
3.3. Soil Urease Activity
Soil urease activity among treatments varied from 1.08 to 1.19 mg∙g−1∙24 h−1 and from 1.04 to 1.18 mg∙g−1∙24 h−1 for the growing seasons of 2016 and 2017, respectively (Figure 6). Soil urease activity under aeration was greater than that under the control, except for the high irrigation level on 59 DAT and for the two irrigation levels on 90 DAT in 2016, as well as for the low irrigation level on 68 DAT in 2017 (Figure 6). In addition, soil urease activity under high irrigation was greater than under low irrigation, except on 14 and 30 DAT in 2017 (Figure 6b). Taking soil urease at harvest as an example (in 2016: 135 DAT; in 2017: 90 DAT), aeration under the two irrigation levels increased mean soil urease activity by 2.4% on average compared to the control, and the treatment effects were significant in 2016 (p = 0.023). Soil urease activity under irrigation treatment W1.0 was 2.3% higher than that under W0.6, and the differences were significant in 2016 (p = 0.027). As for mean soil urease activity of whole growth periods, the maximum values were observed under W1.0O (in 2016: 1.164 mg∙g−1∙24 h−1; in 2017: 1.133 mg∙g−1∙24 h−1), which were increased by 0.7–5.1% for the growing season of 2016, and by 0.3–1.2% for the growing season of 2017, compared to the other treatments. The effect of irrigation on soil urease activity was significant in 2016 (p = 0.001).

Figure 6.
Variations of soil urease activity among treatments in the greenhouse tomato-growing seasons of 2016 (a) and 2017 (b).
4. Discussion
4.1. Effects of Aeration and Irrigation on Soil N2O Emissions
A sharp decrease in soil N2O fluxes was observed from one to 25 and one to 22 DAT in 2016 and 2017, respectively. After that, gas fluxes were relatively stable (Figure 1). These changing patterns were mainly driven by soil substrates and irrigation applied in this study. Abundant substrates due to basal fertilizer application, and wetted soils induced by irrigation at transplantation led to peaks of N2O fluxes []. Furthermore, soil available N was influenced by the life cycle of the plants [], resulting in less substrates for gas production as plant growth progressed.
Compared to the values in 2016, the significantly higher soil N2O emissions in 2017 (Figure 4) were mostly due to soil disturbance and soil temperature during transplantation. As reported by Waldrop and Firestone [], the soil microbial community changes in response to altered environments, which largely depend on the “life history” of the microbial community. An artefact of the experiment certainly led to soil disturbance. The soil may not have been settled enough after the transplanting of the tomatoes, potentially causing higher emissions. On the other hand, as concluded by Dobbie and Smith [], an increase in temperature can greatly promote soil N2O emissions when water or the substrates are not limiting factors. With the same amount of basal fertilization and transplanting irrigation, higher soil temperature (Figure 2c), which accelerated the decomposition of soil organic matter and improved the activity of enzymes involved in microbial metabolism [], promoted soil N2O release, thus causing large emissions between fertilization and transplantation in 2016, but less available substrates for gas emissions during growth periods.
It was shown that nitrification was the preferential source of soil N2O fluxes at up to 60% WFPS, whereas denitrification dominated at WFPS ranging from 60% to 90% []. Hence, the conditions of our fields across the two growing seasons, with WFPS fluctuating from 38.1% to 73.4% (Figure 2a,b), would mostly permit nitrification, with denitrification occurring simultaneously during the early growth stage. Additionally, increased soil respiration under AI, which was widely verified [,], would result in increased O2 consumption by increasing the availability of electrons to soil microbes [], thus creating anaerobic conditions favoring denitrification []. Intermittent aeration was also shown to produce advantageous conditions for the processes of nitrification and denitrification simultaneously []. The enhancement of soil N2O emissions under aeration in this study (Figure 4) was likely due to the co-occurrence of nitrification and denitrification in the soil. This was similar to the results found by Vor et al. [] who reported that the greatest N2O emissions were observed when nitrification and denitrification coincided in the soil. With respect to the control, the slightly higher soil CO2 or soil organic carbon under AI [], i.e., the carbon sources of nitrification [,], was another cause of greater soil N2O emissions under AI. Lastly, as reported by Ma et al. [] and Chen et al. [,], greater nitrifier and denitrifier abundance and irrigation led to greater N2O emissions. For the season of 2016 in our study, lower soil N2O fluxes on 27 DAT may be largely attributable to the decrease of WFPS and soil denitrifier abundance under aeration, while greater fluxes on 42 DAT and for the high irrigation level on 69 DAT were mostly due to higher WFPS and greater soil denitrifier abundance. Lower soil N2O fluxes under aeration for the low irrigation level on 69 DAT were subject to decreased soil nitrifier and denitrifier abundance. Moreover, higher soil N2O fluxes on 91 and 108 DAT were probably associated with increased WFPS and soil nitrifier abundance under aeration, while greater fluxes on 128 DAT were mostly due to higher WFPS, as well as greater soil nitrifier abundance. In 2017, lower soil N2O fluxes under aeration for the high irrigation level on 38 DAT and for the low irrigation level on 73 DAT were influenced by decreased WFPS, soil nitrifier abundance, and denitrifier abundance. Greater fluxes under aeration for the high irrigation level on 73 and 90 DAT were partly linked to increased soil nitrifier abundance. Surprisingly, the opposite pattern between soil N2O fluxes and soil microbial abundance for the low irrigation level on 38 and 90 DAT, and for the two irrigation levels on 52 DAT was observed. Further research is needed to clarify why there was a different trend between N2O fluxes and soil microbial abundance under these circumstances.
Soil moisture is a critical factor influencing both soil N2O production and emissions []. In this study, soil N2O emissions under the high irrigation level were significantly greater than under the low irrigation level in 2017, but not in 2016 (Figure 4). This might be primarily ascribed to a higher soil temperature (24.4 vs. 18.4 °C on average, Figure 2a,b) and air temperature (27.3 vs. 18.6 °C on average, Figure 1) in 2017 than in 2016, which resulted in a soil environment where soils were warmer and drier. As reported by Waldrop and Firestone [], the change in soil water potential (energetic availability of water) per unit change in water content is greater at lower soil water contents than at higher soil water contents. It was shown that N mineralization increased significantly with the increase of water potential []. Hence, the effect of irrigation levels on soil N2O emissions in 2017 was significant (p < 0.05, Figure 4). Previous studies reported that lower soil moisture inhibits the growth of soil microbes, thus reducing soil N2O emissions [,]. In our study, greater soil N2O fluxes under W1.0 than W0.6 on 91 DAT in 2016 were mainly due to increased soil nitrifier and denitrifier abundance (Figure 5). The increases of N2O on 42 and 69 DAT in 2016 were subject to enhanced soil nitrifier abundance, while the increases of N2O on 108 DAT in 2016 and on 38 DAT in 2017 were probably due to increased soil denitrifier abundance, with the irrigation amount increasing from W0.6 to W1.0. Furthermore, lower soil N2O fluxes under W1.0 than W0.6 on 128 DAT in 2016 and on 73 DAT in 2017 were influenced by reduced soil nitrifier and denitrifier abundance, respectively. Surprisingly, the opposite pattern between soil N2O fluxes and soil microbial abundance on 27 DAT in 2016, and on 52 and 90 DAT in 2017 was observed. Further research is needed to clarify why there was a different pattern between N2O fluxes and soil microbial abundance in these cases, and to investigate other influencing factors. Lastly, relatively dry soils, owing to a low irrigation amount applied, suppressed decomposition due to water stress and restricted solute diffusion [], which in turn inhibited gas production and emissions (Figure 4).
4.2. Effects of Aeration and Irrigation on Soil Microbe and Enzyme Activities
Previous research pointed out that soil microorganisms respond to varying climatic conditions, soil moisture contents, porosities, crop root growth, and particularly soil organic matter levels, all of which are interrelated and influenced by soil management []. The differences of soil nitrifier and denitrifier abundance, as well as soil urease activity, on the different sampling times and year could have resulted from the combined effects of soil moisture, aeration, temperature, and substrate amounts [].
Aeration not only affected the generation of soil nitrifiers, but also impacted the growth rate of microorganisms []. The change of O2 content in the soil directly influenced the synthesis and activity of denitrifying enzymes [], thus having an effect on the denitrification process. It was reported that soil nitrifier microbes only use CO2 as their carbon source []. Higher CO2 emissions under AI [,] were beneficial for microorganism production, suggesting that aeration probably promoted the growth of soil nitrifiers throughout the whole growing seasons (Figure 5a,b). In our study, a lower mean soil denitrifier abundance under the aeration treatment was observed compared to the control (Figure 5c,d). In contrast, Pan et al. [] in a subsurface wastewater infiltration system, and Du et al. [] in greenhouse celery reported that aeration increased both nitrifiers and denitrifiers. The differences may be because this experiment was carried out under field conditions with tomato plants cultivated where soil differences due to its intrinsic properties were quite different from the subsurface wastewater infiltration system used in the research by Pan et al. []. Furthermore, the soil microbes were influenced by different crop types [], which in turn had different nitrogen and water absorption rates, thus causing different conclusions even in greenhouse crop fields. Similar to previous studies [,], mean soil urease activity under the aeration treatment was higher than the control, and the difference was significant in 2016 (p = 0.023, Figure 6). As a consequence of increased soil microbial biomass/activity and enhanced crop root growth under AI [,], more exudates from the roots and microbes were prone to promote enzyme activity generally. Higher soil nitrifier and denitrifier abundance in 2017 than in 2016 (Figure 5) were primarily ascribed to a higher irrigation amount (219.6 vs. 152.9 mm, Table 1) resulting from higher air temperature (Figure 1) and greater soil temperature (Figure 2a,b), which controlled the turnover rate involved in microbial metabolism [] and satisfied the demand of water for crop root and microorganism growth. Compared to soil nitrifier and denitrifier abundance (Figure 5), the relatively stable variability of soil enzyme activity (Figure 6) may lie in the fact that enzymes are the rate-limiting step in litter breakdown, and the depolymerization step is less limited by water availability compared to microbial activity [,] because enzymes do not confront physiological stress, while organisms do [].
Greater mean values of soil nitrifier and denitrifier abundance, as well as urease activity, were observed under W1.0 relative to W0.6 (Figure 5 and Figure 6). This result is similar to a previous study where the microbial community-level activity decreased when soil water content was reduced [], perhaps driven by diffusional restriction of substrate supply to the decomposers, and adverse physiological effects due to cell dehydration under dry conditions [].
4.3. Effects of Soil Physical and Biotic Parameters on Soil N2O Fluxes
Soil moisture affected soil N2O production and emissions by influencing soil aeration, soil oxidation–reduction status, and soil microbial activities []. Soil temperature regulated soil N2O release mainly by controlling the decomposition of soil organic matter, and the activity of enzymes involved in microbial metabolism []. In this study, there was a positive correlation between soil N2O fluxes and WFPS (Figure 3a,b), which was similar to previous results [,]. Positive and negative linear correlations between soil N2O fluxes and soil temperature were observed for the seasons of 2016 and 2017, respectively (p < 0.05, Figure 3c,d). In the previous study, we found that peaks of soil N2O fluxes occurred when the soil temperature was approximately 18 °C [], which was lower compared with the value in the present study (in 2016: around 30 °C; in 2017: around 22 °C). The differences were mainly attributed to weather conditions during transplanting, which induced peaks during this period (Figure 1).
N2O can be produced as a by-product of nitrification by nitrifiers, or as an end-product or intermediate product of nitrite reduction by denitrifiers during the denitrification process [,]. Hence, the abundance of soil nitrifier and denitrifier had a notable impact on soil N2O emissions []. However, soil nitrifier and denitrifier abundance in greenhouse tomato fields with aeration was not previously investigated, especially in terms of correlation with soil N2O fluxes. Similar to previous conclusions that soil nitrifiers and denitrifiers were good indicators for N2O production in grassland, fertilized vegetable, and tilled corn fields over the spring thaw [,,], soil N2O fluxes in our study were linearly and negatively correlated with abundance of soil denitrifier (Figure 3e,f). Urease played a critical role in soil N transformation, by catalyzing the hydrolysis of organic nitrogen into NH3 or NH4+ and affecting substrates for nitrification [], thus influencing soil N2O emissions. However, the correlation between soil N2O fluxes and soil urease activity in our study was not significant (data not shown). This is probably because soil urease activity during the two growing seasons remained relatively stable (Figure 6). Further research analysis using fresh soils instead of air-dried soils to reveal the influencing mechanism of soil enzyme activity on gas emissions is, therefore, required.
5. Conclusions
Overall, aeration under each irrigation level slightly increased soil N2O emissions, mean soil nitrifier abundance, and urease activity, but decreased mean soil denitrifier abundance compared to the control (p > 0.05). In contrast to the low irrigation level, the high irrigation level had greater soil N2O emissions, abundance of mean soil nitrifier and denitrifier, and mean soil urease activity, and the differences were significant for N2O emissions in 2017 and for urease in 2016 (p < 0.05). Soil N2O emissions were more sensitive to irrigation than to aeration, which is an important finding relating to N2O reduction for the formulation of appropriate irrigation schedules. Soil N2O fluxes were closely related to the soil water-filled pore space, temperature, and denitrifier abundance. These results provide insights into the processes impacting soil N2O emissions and N dynamics, and also provide useful information for formulating strategies to mitigate N2O emissions. Further research is needed, including smaller intervals of irrigation levels, and ongoing exploration of other influencing factors to reveal the mechanisms involved in gas emissions.
Author Contributions
Conceptualization, H.C. (Hui Chen) and H.C. (Huanjie Cai); methodology, H.C. (Hui Chen) and H.C. (Huanjie Cai); software, H.C. (Hui Chen) and Z.S.; validation, H.C. (Huanjie Cai); formal analysis, H.C. (Hui Chen); investigation, Z.S., Y.Z. and H.C. (Huanjie Cai); resources, H.C. (Huanjie Cai); data curation, H.C. (Hui Chen); writing—original draft preparation, H.C. (Hui Chen); writing—review and editing, H.C. (Hui Chen); visualization, Z.S., Y.Z. and H.C. (Huanjie Cai); supervision, H.C. (Huanjie Cai); project administration, H.C. (Huanjie Cai); funding acquisition, H.C. (Huanjie Cai).
Funding
This work was supported by the National Key Research and Development Program of China (2016YFC0400201), the National Natural Science of China (51309192), and 111 Project (B12007).
Acknowledgments
The authors thank Huijing Hou, Shikun Sun, Liang Li, Yunfei Wang and Hongwei Hu for their valuable assistance in the experimental work.
Conflicts of Interest
The authors declare no conflict of interest.
References
- Intergovernmental Panel on Climate Change (IPCC). Climate Change 2013: The Physical Science Basis; The Working Group I contribution to the Fifth Assessment Report of the Intergovernmental Panel on Climate Change; Cambridge University Press: Cambridge, UK, 2013. [Google Scholar]
- Ravishankara, A.R.; Daniel, J.S.; Portmann, R.W. Nitrous oxide (N2O): The dominant ozone-depleting substance emitted in the 21st century. Science 2009, 326, 123–125. [Google Scholar] [CrossRef] [PubMed]
- Hu, W.; Zhang, Y.; Huang, B.; Teng, Y. Soil environmental quality in greenhouse vegetable production systems in eastern China: Current status and management strategies. Chemosphere 2017, 170, 183–195. [Google Scholar] [CrossRef] [PubMed]
- Yang, L.; Huang, B.; Hu, W.; Chen, Y.; Mao, M.; Yao, L. The impact of greenhouse vegetable farming duration and soil types on phytoavailability of heavy metals and their health risk in eastern China. Chemosphere 2014, 103, 121–130. [Google Scholar] [CrossRef] [PubMed]
- Ishii, S.; Song, Y.; Rathnayake, L.; Tumendelger, A.; Satoh, H.; Toyoda, S.; Yoshida, N.; Okabe, S. Identification of key nitrous oxide production pathways in aerobic partial nitrifying granules. Environ. Microbiol. 2014, 16, 3168–3180. [Google Scholar] [CrossRef]
- Zhang, J.; Huang, X.; Liu, C.; Shi, H.; Hu, H. Nitrogen removal enhanced by intermittent operation in a subsurface wastewater infiltration system. Ecol. Eng. 2005, 25, 419–428. [Google Scholar] [CrossRef]
- Klose, S.; Tabatabai, M.A. Urease activity of microbial biomass in soils. Soil Biol. Biochem. 1999, 31, 205–211. [Google Scholar] [CrossRef]
- Sotres, A.; Cerrillo, M.; Viñas, M.; Bonmatí, A. Nitrogen removal in a two-chambered microbial fuel cell: Establishment of a nitrifying-denitrifying microbial community on an intermittent aerated cathode. Chem. Eng. J. 2016, 284, 905–916. [Google Scholar] [CrossRef]
- Braker, G.; Schwarz, J.; Conrad, R. Influence of temperature on the composition and activity of denitrifying soil communities. FEMS Microbiol. Ecol. 2010, 73, 134–148. [Google Scholar] [CrossRef]
- Hallin, S.; Jones, C.M.; Schloter, M.; Philippot, L. Relationship between N-cycling communities and ecosystem functioning in a 50-year-old fertilization experiment. ISME J. 2009, 3, 597–605. [Google Scholar] [CrossRef]
- Bhattarai, S.P.; Su, N.; Midmore, D.J. Oxygation unlocks yield potentials of crops in oxygen-limited soil environments. Adv. Agron. 2005, 88, 313–377. [Google Scholar]
- Chen, H.; Hou, H.; Hu, H.; Shang, Z.; Zhu, Y.; Cai, H.; Qaisar, S. Aeration of different irrigation levels affects net global warming potential and carbon footprint for greenhouse tomato systems. Sci. Hortic. 2018, 242, 10–19. [Google Scholar] [CrossRef]
- Zhu, Y.; Cai, H.J.; Song, L.B.; Chen, H. Impacts of oxygation on plant growth, yield and fruit quality of tomato. Trans. Chin. Soc. Agric. Mach. 2017, 48, 199–211. (In Chinese) [Google Scholar]
- Li, Y.; Niu, W.; Wang, J.; Liu, L.; Zhang, M.; Xu, J. Effects of artificial soil aeration volume and frequency on soil enzyme activity and microbial abundance when cultivating greenhouse tomato. Soil Sci. Soc. Am. J. 2016, 80, 1208–1221. [Google Scholar] [CrossRef]
- Du, Y.; Niu, W.; Zhang, Q.; Cui, B.; Gu, X.; Guo, L.; Liang, B. Effects of nitrogen on soil microbial abundance, enzyme activity, and nitrogen use efficiency in greenhouse celery under aerated irrigation. Soil Sci. Soc. Am. J. 2018, 82, 606. [Google Scholar] [CrossRef]
- Hou, H.; Chen, H.; Cai, H.; Yang, F.; Li, D.; Wang, F. CO2 and N2O emissions from Lou soils of greenhouse tomato fields under aerated irrigation. Atmos. Environ. 2016, 132, 69–76. [Google Scholar] [CrossRef]
- He, R.; Shen, D. Nitrogen removal in the bioreactor landfill system with intermittent aeration at the top of landfilled waste. J. Hazard. Mater. 2006, 136, 784–790. [Google Scholar] [CrossRef] [PubMed]
- Pan, J.; Fei, H.; Song, S.; Yuan, F.; Yu, L. Effects of intermittent aeration on pollutants removal in subsurface wastewater infiltration system. Bioresour. Technol. 2015, 191, 327–331. [Google Scholar] [CrossRef]
- Yang, F.; Tian, J.; Fang, H.; Gao, Y.; Zhang, X.; Yu, G.; Kuzyakov, Y. Spatial heterogeneity of microbial community and enzyme activities in a broad-leaved Korean pine mixed forest. Eur. J. Soil Biol. 2018, 88, 65–72. [Google Scholar] [CrossRef]
- FAOSTAT: Food and Agriculture Organization of the United Nations, Statistical Data; FAO: Rome, Italy, 2017.
- Lan, T.; Han, Y.; Roelcke, M.; Nieder, R.; Car, Z. Sources of nitrous and nitric oxides in paddy soils: Nitrification and denitrification. J. Environ. Sci. 2014, 26, 581–592. [Google Scholar] [CrossRef]
- Li, S.; Li, Y.; Li, X.; Tian, X.; Zhao, A.; Wang, S.; Wang, S.; Shi, J. Effect of straw management on carbon sequestration and grain production in a maize-wheat cropping system in Anthrosol of the Guanzhong Plain. Soil Till. Res. 2016, 157, 43–51. [Google Scholar] [CrossRef]
- Kang, Y.H. Applied method for drip irrigation scheduling. Water Saving Irrig. 2004, 3, 11–12. (In Chinese) [Google Scholar]
- Huang, J. The Effect of Biochar Application on Soil Microbial Biomass and Soil Enzymes; Chinese Academy of Agricultural Science: Beijing, China, 2012. (In Chinese) [Google Scholar]
- Chen, H.; Hou, H.; Wang, X.; Zhu, Y.; Qaisar, S.; Wang, Y.; Cai, H. The effects of aeration and irrigation regimes on soil CO2 and N2O emissions in a greenhouse tomato production system. J. Integr. Agr. 2018, 17, 449–460. [Google Scholar] [CrossRef]
- Xia, Z.; Xu, H.; Chen, G.; Dong, D.; Bai, E.; Luo, L. Soil N2O production and the δ15N-N2O value: Their relationship with nitrifying/denitrifying bacteria and archaea during a growing season of soybean in northeast China. Eur. J. Soil Biol. 2013, 58, 73–80. [Google Scholar] [CrossRef]
- Waldrop, M.P.; Firestone, M.K. Response of microbial community composition and function to soil climate change. Microb. Ecol. 2006, 52, 716–724. [Google Scholar] [CrossRef] [PubMed]
- Dobbie, K.E.; Smith, K.A. The effects of temperature, water-filled pore space and land use on N2O emissions from an imperfectly drained gleysol. Eur. J. Soil Sci. 2001, 52, 667–673. [Google Scholar] [CrossRef]
- Zhu, Y.; Wang, X.; Yang, X.; Xu, H.; Jia, Y. Key microbial processes in nitrous oxide emissions of agricultural soil and mitigation strategies. Environtal. Sci. 2014, 35, 792–800. (In Chinese) [Google Scholar]
- Braker, G.; Conrad, R. Diversity, structure, and size of N2O-producing microbial communities in soils-what matters for their functioning? Adv. Appl. Microbiol. 2011, 75, 33–70. [Google Scholar]
- Paul, J.W.; Beauchamp, E.G. Effect of carbon constituents in manure on denitrification in soil. Can. J. Soil Sci. 1989, 69, 49–61. [Google Scholar] [CrossRef]
- Miller, M.N.; Zebarth, B.J.; Dandie, C.E.; Burton, D.L.; Goyer, C.; Trevors, J.T. Crop residue influence on denitrification, N2O emissions and denitrifier community abundance in soil. Soil Biol. Biochem. 2008, 40, 2553–2562. [Google Scholar] [CrossRef]
- Vor, T.; Dyckmans, J.; Loftfield, N.; Beese, F.; Flessa, H. Aeration effects on CO2, N2O, and CH4 emission and leachate composition of a forest soil. J. Plant Nutr. Soil Sci. 2003, 166, 39–45. [Google Scholar] [CrossRef]
- Papen, H.; Von Berg, R. A Most Probable Number method (MPN) for the estimation of cell numbers of heterotrophic nitrifying bacteria in soil. Plant Soil 1998, 199, 123–130. [Google Scholar] [CrossRef]
- Ma, W.K.; Bedard-Haughn, A.; Siciliano, S.D.; Farrell, R.E. Relationship between nitrifier and denitrifier community composition and abundance in predicting nitrous oxide emissions from ephemeral wetland soils. Soil Biol. Biochem. 2008, 40, 1114–1123. [Google Scholar] [CrossRef]
- Rubol, S.; Manzoni, S.; Bellin, A.; Porporato, A. Modeling soil moisture and oxygen effects on soil biogeochemical cycles including dissimilatory nitrate reduction to ammonium (DNRA). Adv. Water Resour. 2013, 62, 106–124. [Google Scholar] [CrossRef]
- Stanford, G.; Epstein, E. Nitrogen mineralization-water relations in soils. Soil Sci. Soc. Am. J. 1974, 38, 103–107. [Google Scholar] [CrossRef]
- Di, H.J.; Cameron, K.C.; Podolyan, A.; Robinson, A. Effect of soil moisture status and a nitrification inhibitor, dicyandiamide, on ammonia oxidizer and denitrifier growth and nitrous oxide emissions in a grassland soil. Soil Biol. Biochem. 2014, 73, 59–68. [Google Scholar] [CrossRef]
- Luo, G.J.; Kiese, R.; Wolf, B.; Butterbach-Bahl, K. Effects of soil temperature and moisture on methane uptakes and nitrous oxide emissions across three different ecosystem types. Biogeosciences 2013, 10, 3205–3219. [Google Scholar] [CrossRef]
- Manzoni, S.; Schimel, J.P.; Porporato, A. Responses of soil microbial communities to water stress: Results from a meta-analysis. Ecology 2012, 93, 930–938. [Google Scholar] [CrossRef]
- Shi, Y.; Lalande, R.; Hamel, C.; Ziadi, N. Winter effect on soil microorganisms under different tillage and phosphorus management practices in eastern Canada. Can. J. Microbiol. 2015, 61, 315–326. [Google Scholar] [CrossRef]
- Wang, X.; Kong, Q.; Jin, M.; Song, N.; Zheng, J.; Gu, C.; Li, J. Effect of pH and aeration on nitrification of nitrobacteria. J. Prev. Med. Chin. 2003, 21, 319–322. (In Chinese) [Google Scholar]
- Sexstone, A.J.; Parkin, T.B.; Tiedje, J.M. Temporal response of soil denitrification rates to rainfall and irrigation. Soil Sci. Soc. Am. J. 1985, 49, 99–103. [Google Scholar] [CrossRef]
- Zhao, F.; Sun, J.; Jiang, Y.; Hu, D.; Yang, X.; Dong, M.; Yu, K.; Yu, S. Effect of rhizosphere aeration by subsurface drip irrigation with tanks on the growth of ‘Red Globe’ grape seedling and its absorption, distribution and utilization of urea-15N. Sci. Hortic. 2018, 236, 207–213. [Google Scholar] [CrossRef]
- Pan, J.; Yuan, F.; Zhang, Y.; Huang, L.; Cheng, F.; Zheng, F.; Liu, R. Nitrogen removal in subsurface wastewater infiltration systems with and without intermittent aeration. Ecol. Eng. 2016, 94, 471–477. [Google Scholar] [CrossRef]
- Li, Y.; Niu, W.; Xu, J.; Wang, J.; Zhang, M.; Lv, W. Root morphology of greenhouse produced muskmelon under sub-surface drip irrigation with supplemental soil aeration. Sci. Hortic. 2016, 201, 287–294. [Google Scholar] [CrossRef]
- Lawrence, C.R.; Neff, J.C.; Schimel, J.P. Does adding microbial mechanisms of decomposition improve soil organic matter models? A comparison of four models using data from a pulsed rewetting experiment. Soil Biol. Biochem. 2009, 41, 1923–1934. [Google Scholar] [CrossRef]
- Stark, J.M.; Firestone, M.K. Mechanisms for soil moisture effects on activity of nitrifying bacteria. Appl. Environ. Microbiol. 1995, 61, 218–221. [Google Scholar] [PubMed]
- Zhong, L.; Du, R.; Ding, K.; Kang, X.; Li, F.Y.; Bowatte, S.; Hoogendoorn, C.J.; Wang, Y.; Rui, Y.; Jiang, L.; et al. Effects of grazing on N2O production potential and abundance of nitrifying and denitrifying microbial communities in meadow-steppe grassland in northern China. Soil Biol. Biochem. 2014, 69, 1–10. [Google Scholar] [CrossRef]
- Xu, X.; Ran, Y.; Li, Y.; Zhang, Q.; Liu, Y.; Pan, H.; Guan, X.; Li, J.; Shi, J.; Dong, L.; et al. Warmer and drier conditions alter the nitrifier and denitrifier communities and reduce N2O emissions in fertilized vegetable soils. Agric. Ecosyst. Environ. 2016, 231, 133–142. [Google Scholar] [CrossRef]
- Németh, D.D.; Wagner-Riddle, C.; Dunfield, K.E. Abundance and gene expression in nitrifier and denitrifier communities associated with a field scale spring thaw N2O flux event. Soil Biol. Biochem. 2014, 73, 1–9. [Google Scholar] [CrossRef]
- Wang, X.; Sun, T.; Li, H.; Li, Y.; Pan, J. Nitrogen removal enhanced by shunt distributing wastewater in a subsurface wastewater infiltration system. Ecol. Eng. 2010, 36, 1433–1438. [Google Scholar] [CrossRef]
© 2019 by the authors. Licensee MDPI, Basel, Switzerland. This article is an open access article distributed under the terms and conditions of the Creative Commons Attribution (CC BY) license (http://creativecommons.org/licenses/by/4.0/).