A Novel Probability Model for LncRNA–Disease Association Prediction Based on the Naïve Bayesian Classifier
Abstract
1. Introduction
2. Data Collection and Preprocessing
2.1. Construction of miRNA–Disease and miRNA–lncRNA Association Sets
2.2. Construction of the lncRNA–Disease Association Set
2.3. Construction of the Gene–Disease and Gene–lncRNA Association Sets
2.4. Construction of the Gene–miRNA Association Set
2.5. Construction of the Set of Diseases with Disease Tree Numbers
2.6. Analysis of Multi Relational Data Sources
3. Method
3.1. Construction of the MDN, MLN, LDN, and
3.2. Construction of GDN, GLN, GMN, and
3.3. Construction of NBCLDA
3.3.1. Method for Applying the Naïve Bayesian Theory into
3.3.2. Method for Applying the Naïve Bayesian Theory to
3.3.3. Method of Appending the Disease Semantic Similarity into
4. Results
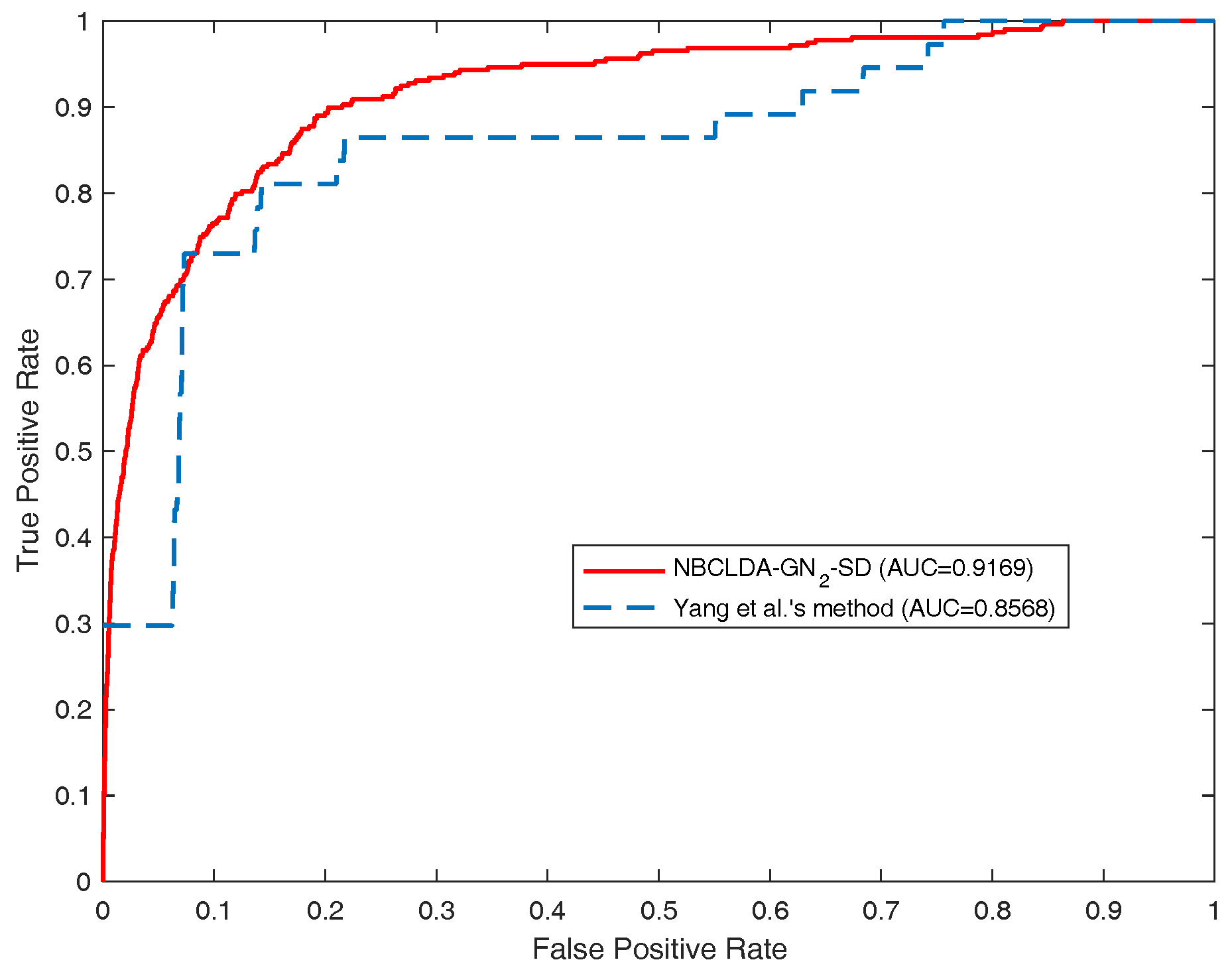
4.1. Performance Evaluation
4.2. Case Studies
5. Discussion
6. Conclusions
Supplementary Materials
Author Contributions
Funding
Acknowledgments
Conflicts of Interest
References
- Li, Y.; Zhang, J.; Pan, J.; Feng, X.; Duan, P.; Yin, X.; Xu, Y.; Wang, X.; Zou, S. Insights into the roles of lncRNAs in skeletal and dental diseases. Cell Biosci. 2018, 8, 8. [Google Scholar] [CrossRef] [PubMed]
- Garitano-Trojaola, A.; Agirre, X.; Prósper, F.; Fortes, P. Long non-coding RNAs in haematological malignancies. Int. J. Mol. Sci. 2013, 14, 15386. [Google Scholar] [CrossRef] [PubMed]
- Guttman, M.; Russell, P.; Ingolia, N.T.; Weissman, J.S.; Lander, E.S.R. Ribosome Profiling Provides Evidence that Large Noncoding RNAs Do Not Encode Proteins. Cell 2013, 154, 240–251. [Google Scholar] [CrossRef] [PubMed]
- Guttman, M.; Rinn, J.L. Modular regulatory principles of large non-coding RNAs. Nature 2012, 482, 339–346. [Google Scholar] [CrossRef] [PubMed]
- Wang, K.C.; Chang, H.Y. Molecular mechanisms of long noncoding RNAs. Mol. Cell 2011, 43, 904–914. [Google Scholar] [CrossRef] [PubMed]
- Wapinski, O.; Chang, H.Y. Long noncoding RNAs and human disease. Trends Cell Biol. 2011, 21, 354–361. [Google Scholar] [CrossRef] [PubMed]
- Derrien, T.; Johnson, R.; Bussotti, G.; Tanzer, A.; Djebali, A.; Tilgner, H.; Guernec, G.; Martin, D.; Merkel, A.; Knowles, D. The GENCODE v7 catalog of human long noncoding RNAs: Analysis of their gene structure, evolution, and expression. Genome Res. 2012, 22, 1775–1789. [Google Scholar] [CrossRef] [PubMed]
- Zhao, W.; Luo, J.; Jiao, S. Comprehensive characterization of cancer subtype associated long non-coding RNAs and their clinical implications. Sci. Rep. 2014, 4, 6591. [Google Scholar] [CrossRef] [PubMed]
- Cheetham, S.W.; Gruhl, F.; Mattick, J.S.; Dinger, M.E. Long noncoding RNAs and the genetics of cancer. Br. J. Cancer 2013, 108, 2419–2425. [Google Scholar] [CrossRef] [PubMed]
- Mercer, T.R.; Dinger, M.E.; Mattick, J.S. Long non-coding RNAs: Insights into functions. Nat. Rev. Genet. 2009, 10, 155–159. [Google Scholar] [CrossRef] [PubMed]
- Taft, R.J.; Pang, K.C.; Mercer, T.R.; Dinger, M.; Mattick, JS. Non-coding RNAs: Regulators of disease. J. Pathol. 2010, 220, 126–139. [Google Scholar] [CrossRef] [PubMed]
- Zhang, Q.; Chen, C.Y.; Yedavalli, V.S.; Jeang, K.T. NEAT1 long noncoding RNA and paraspeckle bodies modulate HIV-1 posttranscriptional expression. MBio 2013, 4, e00596-12. [Google Scholar] [CrossRef] [PubMed]
- Pasmant, E.; Sabbagh, A.; Vidaud, M.; Biéche, I. ANRIL, a long, noncoding RNA, is an unexpected major hotspot in GWAS. FASEB J. 2011, 25, 444–448. [Google Scholar] [CrossRef] [PubMed]
- Faghihi, M.A.; Modarresi, F.; Khalil, A.M.; Wood, D.E.; Sahagan, B.G.; Morgan, T.E.; Finch, C.E.; Laurent, G.S.; Kenny, P.J.; Wahlestedt, C. Expression of a noncoding RNA is elevated in Alzheimer’s disease and drives rapid feed-forward regulation of b-secretase. Nat. Med. 2008, 14, 723–730. [Google Scholar] [CrossRef] [PubMed]
- Malih, S.; Saidijam, M.; Malih, N. A brief review on long noncoding RNAs: a new paradigm in breast cancer pathogenesis, diagnosis and therapy. Tumor Biology 2016, 37, 1479–1485. [Google Scholar] [CrossRef] [PubMed]
- Cui, Z.; Ren, S.; Lu, J.; Wang, F.; Xu, W.; Sun, Y.; Wei, M.; Chen, J.; Gao, X.; Xu, C.; Mao, J.H.; Sun, Y. The prostate cancer-up-regulated long noncoding RNA PlncRNA-1 modulates apoptosis and proliferation through reciprocal regulation of androgen receptor. Urol. Oncol. 2013, 31, 1117–1123. [Google Scholar] [CrossRef] [PubMed]
- Wang, J.; Liu, X.; Wu, H.; Ni, P.; Gu, Z.; Qiao, Y.; Chen, N.; Sun, F.; Fan, Q. CREB up-regulates long noncoding RNA, HULC expression through interaction with microRNA-372 in liver cancer. Nucleic Acids Res. 2010, 38, 5366–5383. [Google Scholar] [CrossRef] [PubMed]
- Ma, Z.; Xue, S.; Zeng, B.; Qiu, D. lncRNA SNHG5 is associated with poor prognosis of bladder cancer and promotes bladder cancer cell proliferation through targeting p27. Oncol. Lett. 2018, 15, 1924–1930. [Google Scholar] [CrossRef] [PubMed]
- Spizzo, R.; Almeida, M.I.; Colombatti, A.; Calin, G.A. Long non-coding RNAs and cancer: A new frontier of translational research? Oncogene 2012, 31, 4577–4587. [Google Scholar] [CrossRef] [PubMed]
- Gupta, R.A.; Shah, N.; Wang, K.C.; Kim, J.; Horlings, H.M.; Wong, D.J.; Tsai, M.C.; Hung, T.; Argani, P.; Rinn, J.L. Long non-coding RNA HOTAIR reprograms chromatin state to promote cancer metastasis. Nature 2010, 464, 1071–1076. [Google Scholar] [CrossRef] [PubMed]
- Gutschner, T.; Heammerle, M.; Eissmann, M.; Hsu, J.; Kim, Y.; Hung, G.; Revenko, A.; Arun, G.; Stentrup, M.; Gross, M. The noncoding RNA MALAT1 is a critical regulator of the metastasis phenotype of lung cancer cells. Cancer Res. 2013, 73, 1180–1189. [Google Scholar] [CrossRef] [PubMed]
- Lottin, S.; Adriaenssens, E.; Berteaux, N.; Leprêtre, A.; Vilain, M.O.; Denhez, E.; Coll, J.; Dugimont, T.; Curgy, J.J. The human H19 gene is frequently overexpressed in myometrium and stroma during pathological endometrial proliferative events. Eur. J. Cancer 2005, 41, 168–177. [Google Scholar] [CrossRef] [PubMed]
- Sun, J.; Shi, H.; Wang, Z.; Zhang, C.; Liu, L.; Wang, L.; He, W.; Hao, D.; Liu, S.; Zhou, M. Inferring novel lncRNA–disease associations based on a random walk model of a lncRNA functional similarity network. Mol. Biosyst. 2014, 10, 2074–2081. [Google Scholar] [CrossRef] [PubMed]
- Ping, P.; Wang, L.; Kuang, L.; Ye, S.; Lqbal, M.F.B. A Novel Method based on lncRNA–disease association Network for LncRNA–Disease Association Prediction. IEEE/ACM Trans. Comput. Biol. Bioinform. 2018. [Google Scholar] [CrossRef]
- Yang, X.; Gao, L.; Guo, X.; Shi, X.; Wu, H.; Song, F.; Wang, B. A network based method for analysis of lncRNA-disease associations and prediction of lncRNAs implicated in diseases. PLoS ONE 2014, 9, e87797. [Google Scholar] [CrossRef] [PubMed]
- Ding, L.; Wang, M.; Sun, D.; Li, A. TPGLDA: Novel prediction of associations between lncRNAs and diseases via lncRNA–disease-gene tripartite graph. Sci. Rep. 2018, 8, 1065. [Google Scholar] [CrossRef] [PubMed]
- Chen, X. Predicting lncRNA–disease associations and constructing lncRNA functional similarity network based on the information of miRNA. Sci. Rep. 2015, 5, 13186. [Google Scholar] [CrossRef] [PubMed]
- Liu, M.X.; Chen, X.; Chen, G.; Cui, Q.H.; Yan, G.Y. A computational framework to infer human disease-associated long noncoding RNAs. PLoS ONE 2014, 9, e84408. [Google Scholar] [CrossRef] [PubMed]
- Li, J.W.; Cheng, G.; Wang, Y.C.; Gao, C.; Wang, Y.; Ma, W.; Tu, J.; Wang, J.; Chen, Z.; Kong, W.; Cui, Q. A bioinformatics method for predicting long noncoding RNAs associated with vascular disease. Sci. China Life Sci. 2014, 57, 852–857. [Google Scholar] [CrossRef] [PubMed]
- Gu, C.; Liao, B.; Li, X.; Cai, L.; Li, Z.; Li, K.; Yang, J. Global network random walk for predicting potential human lncRNA–disease associations. Sci. Rep. 2017, 7, 12442. [Google Scholar] [CrossRef] [PubMed]
- Gligorijević, V.; Pržulj, N. Methods for biological data integration: perspectives and challenges. J. R. Soc. Interface 2015, 12, 20150571. [Google Scholar] [CrossRef] [PubMed]
- Zeng, X.; Ding, N.; Rodríguez-Patón, A.; Zou, Q. Probability-based collaborative filtering model for predicting gene–disease associations. BMC Med. Genom. 2017, 10 (Suppl. 5), 76. [Google Scholar] [CrossRef] [PubMed]
- Zhao, H.; Kuang, L.; Wang, L.; Ping, P.; Xuan, Z.; Pei, T.; Wu, Z. Prediction of microRNA-disease associations based on distance correlation set. BMC Bioinform. 2018, 19, 141. [Google Scholar] [CrossRef] [PubMed]
- Zeng, X.; Zhang, X.; Zou, Q. Integrative approaches for predicting microRNA function and prioritizing disease-related microRNA using biological interaction networks. Brief. Bioinform. 2016, 17, 193. [Google Scholar] [CrossRef] [PubMed]
- Lu, C.; Yang, M.; Luo, F.; Wu, F.X.; Li, M.; Pan, Y.; Li, Y.; Wang, J. Prediction of lncRNA–disease associations based on inductive matrix completion. Bioinformatics 2018. [Google Scholar] [CrossRef] [PubMed]
- Zhang, J.; Zhang, Z.; Chen, Z.; Deng, L. Integrating multiple heterogeneous networks for novel lncRNA-disease association inference. IEEE/ACM Trans. Comput. Biol. Bioinform. 2017. [Google Scholar] [CrossRef] [PubMed]
- Fu, G.; Wang, J.; Domeniconi, C.; Yu, G. Matrix factorization based data fusion for the prediction of lncRNA–disease associations. Bioinformatics 2017. [Google Scholar] [CrossRef] [PubMed]
- Chen, X. KATZLDA: KATZ measure for the lncRNA–disease association prediction. Sci. Rep. 2015, 5, 16840. [Google Scholar] [CrossRef] [PubMed]
- Li, Y.; Qiu, C.; Tu, J.; Geng, B.; Yang, J.; Jiang, T.; Cui, Q. HMDD v2.0: A database for experimentally supported human microRNA and disease associations. Nucleic Acids Res. 2014, 42, D1070. [Google Scholar] [CrossRef] [PubMed]
- Li, J.H.; Liu, S.; Zhou, H.; Qu, L.H.; Yang, J.H. starBase v2.0: Decoding miRNA-ceRNA, miRNA-ncRNA and protein-RNA interaction networks from large-scale CLIP-Seq data. Nucleic Acids Res. 2014, 42, D92. [Google Scholar] [CrossRef] [PubMed]
- Cui, T.; Lin, Z.; Yan, H.; Yi, Y.; Tan, P.; Zhao, Y.; Hu, Y.; Xu, L.; Li, E.; Wang, D. MNDR v2.0: An updated resource of ncRNA–disease associations in mammals. Nucleic Acids Res. 2018, 46, D371–D374. [Google Scholar] [CrossRef] [PubMed]
- Piñero, J.; Àlex, B.; Queraltrosinach, N.; Gutierrez-Sacristan, A.; Deu-Pons, J.; Centeno, E.; Garcia-Garcia, J.; Sanz, F.; Furlong, L.I. DisGeNET: A comprehensive platform integrating information on human disease-associated genes and variants. Nucleic Acids Res. 2017, 45, D833–D839. [Google Scholar] [CrossRef] [PubMed]
- Wang, P.; Ning, S.; Zhang, Y.; Li, R.; Ye, J.; Zhao, Z.; Zhi, H.; Wang, T.; Guo, Z.; Li, X. Identification of lncRNA-associated competing triplets reveals global patterns and prognostic markers for cancer. Nucleic Acids Res. 2015, 43, 3478. [Google Scholar] [CrossRef] [PubMed]
- Xiao, F.; Zuo, Z.; Cai, G.; Xiao, F.; Zuo, Z.; Cai, G.; Kang, S.; Gao, X.; Li, T. miRecords: An integrated resource for microRNA-target interactions. Nucleic Acids Res. 2008, 37, D105–D110. [Google Scholar] [CrossRef] [PubMed]
- U.S. National Library of Medicine. Medical Subject Headings 2018 [Internet]. Available online: https://meshb.nlm.nih.gov/search (accessed on 6 July 2018).
- Liu, Z.; Zhang, Q.; Lu, L.; Zhou, T. Link prediction in complex networks: A local naïve Bayes model. Europhys. Lett. 2011, 96, 48007. [Google Scholar] [CrossRef]
- Wang, D.; Wang, J.; Lu, M.; Song, F.; Cui, Q. Inferring the human microRNA functional similarity and functional network based on microRNA-associated diseases. Bioinformatics 2010, 26, 1644–1650. [Google Scholar] [CrossRef] [PubMed]
- Luo, J.; Ding, P.; Liang, C.; Cao, B.; Chen, X. Collective prediction of disease-associated miRNAs based on transduction learning. IEEE/ACM Trans. Comput. Biol. Bioinform. 2016, 14, 1468–1475. [Google Scholar] [CrossRef] [PubMed]
- Berger, F.G. Interview: Screening and treatment for colorectal cancer. Colorectal Cancer 2013, 2, 117–120. [Google Scholar] [CrossRef]
- Prensner, J.R.; Chinnaiyan, A.M. The emergence of lncRNAs in cancer biology. Cancer Dis. 2011, 1, 391–407. [Google Scholar] [CrossRef] [PubMed]
- Gutschner, T.; Diederichs, S. The hallmarks of cancer: A long non-coding RNA point of view. RNA Biol. 2012, 9, 703–719. [Google Scholar] [CrossRef] [PubMed]
- Chen, D.L.; Chen, L.Z.; Lu, Y.X.; Zhang, D.S.; Zeng, Z.L.; Pan, Z.Z.; Huang, P.; Wang, F.H.; Li, Y.H.; Ju, H.Q. Long noncoding RNA XIST expedites metastasis and modulates epithelial-mesenchymal transition in colorectal cancer. Econ. Theory Bus. Manag. 2017, 8, e3011. [Google Scholar] [CrossRef] [PubMed]
- Li, P.; Zhang, X.; Wang, H.; Wang, L.; Liu, T.; Du, L.; Yang, Y.; Wang, C. MALAT1 is associated with poor response to oxaliplatin-based chemotherapy in colorectal cancer patients and promotes chemoresistance through EZH2. Mol. Cancer Ther. 2017, 16, 739–751. [Google Scholar] [CrossRef] [PubMed]
- Nakano, S.; Murakami, K.; Meguro, M.; Soejima, H.; Higashimoto, K.; Urano, T.; Kugoh, H.; Mukai, T.; Ikeguchi, M.; Oshimura, M. Expression profile of LIT1/KCNQ1OT1, and epigenetic status at the KvDMR1 in colorectal cancers. Cancer Sci. 2006, 97, 1147–1154. [Google Scholar] [CrossRef] [PubMed]
- Han, D.; Gao, X.; Wang, M.; Qiao, Y.; Xu, Y.; Yang, J.; Dong, N.; He, J.; Sun, Q.; Lv, G. Long noncoding RNA H19 indicates a poor prognosis of colorectal cancer and promotes tumor growth by recruiting and binding to eIF4A3. Oncotarget 2016, 7, 22159–22173. [Google Scholar] [CrossRef] [PubMed]
- Weiss, M.; Plass, C.; Gerhauser, C. Role of lncRNAs in prostate cancer development and progression. Biol. Chem. 2014, 395, 1275–1290. [Google Scholar] [CrossRef] [PubMed]
- Yang, G.; Lu, X.; Yuan, L. LncRNA: A link between RNA and cancer. Biochim. Biophys. Acta 2014, 1839, 1097–1109. [Google Scholar] [CrossRef] [PubMed]
- Chakravarty, D.; Sboner, A.; Nair, S.S.; Giannopoulou, E.; Li, R.; Hennig, S.; Mosquera, JM.; Pauwels, J.; Park, K.; Kossai, M. The oestrogen receptor alpha-regulated lncRNA NEAT1 is a critical modulator of prostate cancer. Nat. Commun. 2014, 5, 5383. [Google Scholar] [CrossRef] [PubMed]
- Ren, S.; Liu, Y.; Xu, W.; Sun, Y.; Lu, J.; Wang, F.; Wei, M.; Shen, J.; Hou, J.; Gao, X.; Xu, C. Long noncoding RNA MALAT-1 is a new potential therapeutic target for castration resistant prostate cancer. J. Urol. 2013, 190, 2278–2287. [Google Scholar] [CrossRef] [PubMed]
- Zhu, M.; Chen, Q.; Liu, X.; Sun, Q.; Zhao, X.; Deng, R.; Wang, Y.; Huang, J.; Xu, M.; Yan, J.; Yu, J. lncRNA H19/miR-675 axis represses prostate cancer metastasis by targeting TGFBI. FEB J. 2014, 281, 3766–3775. [Google Scholar] [CrossRef] [PubMed]
- Tian, X.; Zhang, G.; Zhao, H.; Li, Y.; Zhu, C. Long non-coding RNA NEAT1 contributes to docetaxel resistance of prostate cancer through inducing RET expression by sponging miR-34a. RSC Adv. 2017, 7, 42986–42996. [Google Scholar] [CrossRef]
- Boele, F.W.; Rooney, A.G.; Grant, R.; Klein, M. Psychiatric symptoms in glioma patients: from diagnosis to management. Neuropsychiatr. Dis. Treat. 2015, 11, 1413–1420. [Google Scholar] [CrossRef] [PubMed]
- Zhou, Q.; Liu, J.; Quan, J.; Liu, W.; Tan, H.; Li, W. lncRNAs as potential molecular biomarkers for the clinicopathology and prognosis of glioma: A systematic review and meta-analysis. Gene 2018. [Google Scholar] [CrossRef] [PubMed]
- Ma, K.X.; Wang, H.J.; Li, X.R.; Li, T.; Su, G.; Yang, P.; Wu, J.W. Long noncoding RNA MALAT1 associates with the malignant status and poor prognosis in glioma. Tumour Biol. J. Int. Soc. Oncodev. Biol. Med. 2015, 36, 3355–3359. [Google Scholar] [CrossRef] [PubMed]
- Zhang, T.; Wang, Y.R.; Zeng, F.; Cao, H.Y.; Zhou, H.D.; Wang, Y.J. LncRNA H19 is overexpressed in glioma tissue, is negatively associated with patient survival, and promotes tumor growth through its derivative miR-675. Eur. Rev. Med. Pharmacol. Sci. 2016, 20, 4891–4897. [Google Scholar] [PubMed]
- Li, J.; Zhang, M.; An, G.; Ma, Q. LncRNA TUG1 acts as a tumor suppressor in human glioma by promoting cell apoptosis. Exp. Biol. Med. 2016, 241, 644. [Google Scholar] [CrossRef] [PubMed]








| Methods | AUCs | Methods | AUCs |
|---|---|---|---|
| NBCLDA--SD | 0.8982 | NBCLDA--SD | 0.9169 |
| HGLDA | 0.7621 | Yang et al. method | 0.8568 |
| NBCLDA--SD | 0.8897 | NBCLDA--SD | 0.8829 |
| SIMCLDA | 0.8526 | KATZLDA | 0.8283 |
| NBCLDA--SD | 0.8704 | NBCLDA--SD | 0.8897 |
| MFLDA | 0.7945 | TPGLDA | 0.92 |
| Methods | F1-Score | ||
|---|---|---|---|
| NBCLDA | 0.1536 (k = 20) | 0.1582 (k = 40) | null (k = 60) |
| SIMCLDA | 0.0635 (k = 20) | 0.0482 (k = 40) | null (k = 60) |
| NBCLDA | 0.1773 (k = 20) | 0.2415 (k = 40) | null (k = 60) |
| MFLDA | 0.2012 (k = 20) | 0.1139 (k = 40) | null (k = 60) |
| NBCLDA | 0.2575 (k = 20) | 0.2855 (k = 34) | null (k = 60) |
| Yang et al.’s method | 0.2707 (k = 20) | 0.2769 (k = 34) | null (k = 60) |
| NBCLDA | 0.1183 (k = 20) | 0.1088 (k = 40) | 0.1139 (k = 60) |
| KATZLDA | 0.1274 (k = 20) | 0.0869 (k = 40) | 0.0779 (k = 60) |
| NBCLDA | 0.1295 (k = 20) | 0.1510 (k = 40) | 0.1320 (k = 60) |
| TPGLDA | 0.2070 (k = 20) | 0.1644 (k = 40) | 0.1301 (k = 60) |
| Disease | lncRNA | Evidence (PMID) | Rank |
|---|---|---|---|
| Colorectal cancer | XIST | 17143621 | 1 |
| Colorectal cancer | MALAT1 | 25446987,25031737,21503572,25025966,24244343,26887056 | 3 |
| Colorectal cancer | KCNQ1OT1 | 16965397 | 6 |
| Colorectal cancer | H19 | 11120891,19926638,22427002,26068968,26989025 | 8 |
| Colorectal cancer | NEAT1 | 26314847 | 9 |
| Colorectal cancer | SNHG16 | 24519959 | 12 |
| Colorectal cancer | TUG1 | 26856330 | 18 |
| Prostate cancer | MALAT1 | 23845456,23726266,26516927,22349460 | 3 |
| Prostate cancer | KCNQ1OT1 | 23728290 | 6 |
| Prostate cancer | H19 | 24063685,24988946 | 8 |
| Prostate cancer | NEAT1 | 23728290,25415230 | 10 |
| Prostate cancer | TUG1 | 26975529 | 19 |
| Glioma | MALAT1 | 26649278,25613066,26619802,27134488,26938295 | 4 |
| Glioma | H19 | 24466011,26983719 | 6 |
| Glioma | TUG1 | 25645334,27363339 | 10 |
| Glioma | NEAT1 | 26582084 | 12 |
© 2018 by the authors. Licensee MDPI, Basel, Switzerland. This article is an open access article distributed under the terms and conditions of the Creative Commons Attribution (CC BY) license (http://creativecommons.org/licenses/by/4.0/).
Share and Cite
Yu, J.; Ping, P.; Wang, L.; Kuang, L.; Li, X.; Wu, Z. A Novel Probability Model for LncRNA–Disease Association Prediction Based on the Naïve Bayesian Classifier. Genes 2018, 9, 345. https://doi.org/10.3390/genes9070345
Yu J, Ping P, Wang L, Kuang L, Li X, Wu Z. A Novel Probability Model for LncRNA–Disease Association Prediction Based on the Naïve Bayesian Classifier. Genes. 2018; 9(7):345. https://doi.org/10.3390/genes9070345
Chicago/Turabian StyleYu, Jingwen, Pengyao Ping, Lei Wang, Linai Kuang, Xueyong Li, and Zhelun Wu. 2018. "A Novel Probability Model for LncRNA–Disease Association Prediction Based on the Naïve Bayesian Classifier" Genes 9, no. 7: 345. https://doi.org/10.3390/genes9070345
APA StyleYu, J., Ping, P., Wang, L., Kuang, L., Li, X., & Wu, Z. (2018). A Novel Probability Model for LncRNA–Disease Association Prediction Based on the Naïve Bayesian Classifier. Genes, 9(7), 345. https://doi.org/10.3390/genes9070345

