Interstitial 12p Deletion Syndrome: Revised Minimal Critical Region and Review of the Literature
Abstract
1. Introduction
2. Materials and Methods
2.1. Patient Recruitment
2.2. Genetic Tests
3. Results
3.1. Clinical Description and Genetic Findings
3.2. Summary of Clinical Findings in 12p Interstitial Deletions
3.3. Genetic Findings
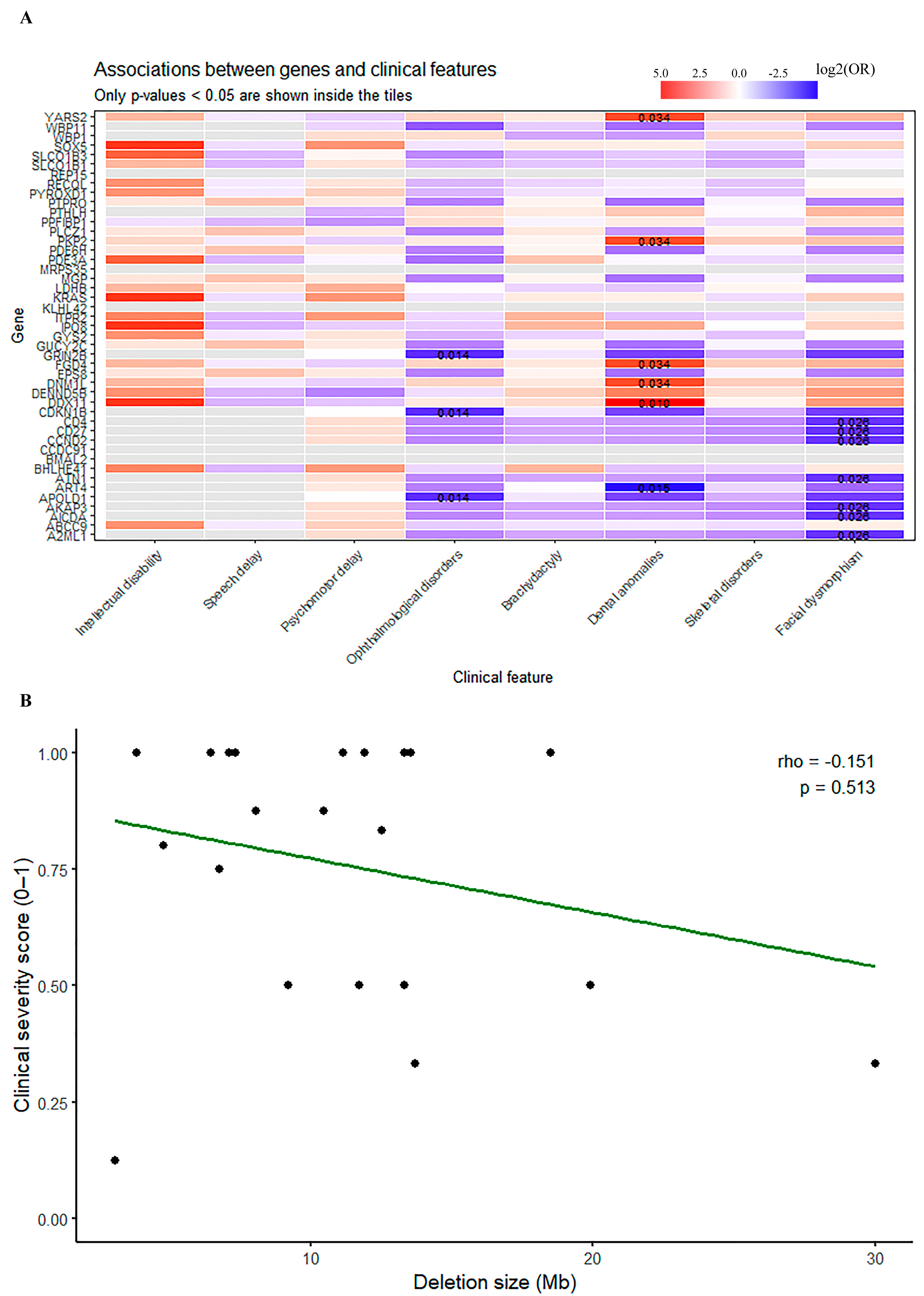
3.4. Minimal Critical Region on Chromosome 12p and Involved Genes; Statistical Analysis
4. Discussion
Supplementary Materials
Author Contributions
Funding
Institutional Review Board Statement
Informed Consent Statement
Data Availability Statement
Acknowledgments
Conflicts of Interest
References
- Lu, H.; Cui, Y.; Shi, Y.; Xia, X.; Liang, Q.; Yao, B.; Ge, Y.; Li, X.; Huang, Y. A girl with distinctive features of borderline high blood pressure, short stature, characteristic brachydactyly, and 11.47 Mb deletion in 12p11.21–12p12.2 by oligonucleotide array CGH. Am. J. Med. Genet. A 2009, 149A, 2321–2323. [Google Scholar] [CrossRef] [PubMed]
- Gläser, B.; Rossier, E.; Barbi, G.; Chiaie, L.D.; Blank, C.; Vogel, W.; Kehrer-Sawatzki, H. Molecular cytogenetic analysis of a constitutional de novo interstitial deletion of chromosome 12p in a boy with developmental delay and congenital anomalies. Am. J. Med. Genet. A 2003, 116A, 66–70. [Google Scholar] [CrossRef] [PubMed]
- Hoppe, A.; Heinemeyer, J.; Klopocki, E.; Graul-Neumann, L.M.; Spors, B.; Bittigau, P.; Kaindl, A.M. Interstitial 12p deletion involving more than 40 genes in a patient with postnatal microcephaly, psychomotor delay, optic nerve atrophy, and facial dysmorphism. Meta Gene 2014, 2, 72–82. [Google Scholar] [CrossRef]
- Huang, J.; Liu, H.-Y.; Wang, R.-R.; Xiao, H.; Wu, D.; Li, T.; Jiang, Y.-H.; Zhang, X. A 3.06-Mb interstitial deletion on 12p11.22–12.1 caused brachydactyly type E combined with pectus carinatum. Chin. Med. J. 2019, 132, 1681–1688. [Google Scholar] [CrossRef]
- Fryns, J.P.; Kleczkowska, A.; Van De Berghe, H. Interstitial deletion of the short arm of chromosome 12. Report of a new patient and review of the literature. Ann. Genet. 1990, 33, 43–45. [Google Scholar]
- Soysal, Y.; Vermeesch, J.; Davani, N.A.; Hekimler, K.; İmirzalıoğlu, N. A 10.46 Mb 12p11.1–12.1 interstitial deletion coincident with a 0.19 Mb NRXN1 deletion detected by array CGH in a girl with scoliosis and autism. Am. J. Med. Genet. A 2011, 155A, 1745–1752. [Google Scholar] [CrossRef]
- Nagai, T.; Nishimura, G.; Kato, R.; Hasegawa, T.; Ohashi, H.; Fukushima, Y. Del (12)(p11.21p12.2) associated with an asphyxiating thoracic dystrophy or chondroectodermal dysplasia-like syndrome. Am. J. Med. Genet. 1995, 55, 16–18. [Google Scholar] [CrossRef]
- Stumm, M.; Klopocki, E.; Gasiorek-Wiens, A.; Knoll, U.; Wirjadi, D.; Sarioglu, N.; Wegner, R.; Tönnies, H. Molecular cytogenetic characterization of an interstitial deletion 12p detected by prenatal diagnosis. Prenat. Diagn. 2007, 27, 475–478. [Google Scholar] [CrossRef]
- Tenconi, R.; Baccichetti, C.; Anglani, F.; Pellergrino, P.A.; Kaplan, J.C.; Junien, C. Partial deletion of the short arm of chromosome 12(p11; p13). Report of a case. Ann. Genet. 1975, 18, 95–98. [Google Scholar]
- Li, H.; Durbin, R. Fast and accurate long-read alignment with Burrows-Wheeler transform. Bioinformatics 2010, 26, 589–595. [Google Scholar] [CrossRef] [PubMed]
- Richards, S.; Aziz, N.; Bale, S.; Bick, D.; Das, S.; Gastier-Foster, J.; Grody, W.W.; Hegde, M.; Lyon, E.; Spector, E.; et al. Standards and guidelines for the interpretation of sequence variants: A joint consensus recommendation of the American College of Medical Genetics and Genomics and the Association for Molecular Pathology. Genet. Med. 2015, 17, 405–424. [Google Scholar] [CrossRef]
- Lek, M.; Karczewski, K.J.; Minikel, E.V.; Samocha, K.E.; Banks, E.; Fennell, T.; O’Donnell-Luria, A.H.; Ware, J.S.; Hill, A.J.; Cummings, B.B.; et al. Analysis of protein-coding genetic variation in 60,706 humans. Nature 2016, 536, 285–291. [Google Scholar] [CrossRef]
- Karczewski, K.J.; Francioli, L.C.; Tiao, G.; Cummings, B.B.; Alfoldi, J.; Wang, Q.; Collins, R.L.; Laricchia, K.M.; Ganna, A.; Birnbaum, D.P.; et al. The mutational constraint spectrum quantified from variation in 141,456 humans. Nature 2020, 581, 434–443. [Google Scholar] [CrossRef]
- Klopocki, E.; Hennig, B.P.; Dathe, K.; Koll, R.; de Ravel, T.; Baten, E.; Blom, E.; Gillerot, Y.; Weigel, J.F.; Krüger, G.; et al. Deletion and point mutations of PTHLH cause brachydactyly type E. Am. J. Hum. Genet. 2010, 86, 434–439. [Google Scholar] [CrossRef] [PubMed]
- Sethi, A.; Ruby, J.G.; Veras, M.A.; Telis, N.; Melamud, E. Genetics implicates overactive osteogenesis in the development of diffuse idiopathic skeletal hyperostosis. Nat. Commun. 2023, 14, 2644. [Google Scholar] [CrossRef]
- Zhu, Y.; Bai, Y.; Yan, W.; Li, M.; Wu, F.; Xu, M.; Wu, N.; Ge, H.; Liu, Y. A mutation in CCDC91, Homo sapiens coiled-coil domain containing 91 proteins, causes autosomal-dominant acrokeratoelastoidosis. Eur. J. Hum. Genet. 2024, 32, 647–655. [Google Scholar] [CrossRef] [PubMed]
- Matys, V.; Kel-Margoulis, O.V.; Fricke, E.; Liebich, I.; Land, S.; Barre-Dirrie, A.; Reuter, I.; Chekmenev, D.; Krull, M.; Hornischer, K.; et al. TRANSFAC and its module TRANSCompel: Transcriptional gene regulation in eukaryotes. Nucleic Acids Res. 2006, 34, D108–D110. [Google Scholar] [CrossRef]
- Nakajima, M.; Takahashi, A.; Tsuji, T.; Karasugi, T.; Baba, H.; Uchida, K.; Kawabata, S.; Okawa, A.; Shindo, S.; Takeuchi, K.; et al. A genome-wide association study identifies susceptibility loci for ossification of the posterior longitudinal ligament of the spine. Nat. Genet. 2014, 46, 1012–1016. [Google Scholar] [CrossRef] [PubMed]
- Hsu, Y.-H.; Estrada, K.; Evangelou, E.; Ackert-Bicknell, C.; Akesson, K.; Beck, T.; Brown, S.J.; Capellini, T.; Carbone, L.; Cauley, J.; et al. Meta-analysis of genomewide association studies reveals genetic variants for hip bone geometry. J. Bone Miner. Res. 2019, 34, 1284–1296. [Google Scholar] [CrossRef]
- Wilkinson, J.M.; Zeggini, E. The genetic epidemiology of joint shape and the development of osteoarthritis. Calcif. Tissue Int. 2021, 109, 257–276. [Google Scholar] [CrossRef]
- Rosenhahn, E.; O’bRien, T.J.; Zaki, M.S.; Sorge, I.; Wieczorek, D.; Rostasy, K.; Vitobello, A.; Nambot, S.; Alkuraya, F.S.; Hashem, M.O.; et al. Bi-allelic loss-of-function variants in PPFIBP1 cause a neurodevelopmental disorder with microcephaly, epilepsy, and periventricular calcifications. Am. J. Hum. Genet. 2022, 109, 1421–1435. [Google Scholar] [CrossRef]
- Philippe, M.A.; Fruchet, B.; Cagninacci, L.; Beaudoin, L.; Gadault, A.; Aznar, B.; Venteclef, N.; Challet, E.; Lehuen, A.; Rogner, U.C.; et al. BMAL2 controls adipose tissue inflammation and metabolic adaptation during obesity. Metabolism 2026, 174, 156396. [Google Scholar] [CrossRef] [PubMed]
- Arya, V.B.; Chawla, G.; Nambisan, A.K.R.; Muhi-Iddin, N.; Vamvakiti, E.; Ajzensztejn, M.; Hulse, T.; Pinto, C.F.; Lahiri, N.; Bint, S.; et al. Xq27.1 Duplication Encompassing SOX3: Variable Phenotype and Smallest Duplication Associated with Hypopituitarism to Date—A Large Case Series of Unrelated Patients and a Literature Review. Horm. Res. Paediatr. 2019, 92, 382–389. [Google Scholar] [CrossRef] [PubMed]
- Edgerley, K.; Bryson, L.; Hanington, L.; Irving, R.; Joss, S.; Lampe, A.; Maystadt, I.; Osio, D.; Richardson, R.; Split, M.; et al. SOX5: Lamb-Shaffer syndrome-a case series further expanding the phenotypic spectrum. Am. J. Med. Genet. A 2023, 191, 1447–1458. [Google Scholar] [CrossRef] [PubMed]
- Scala, M.; Tomati, V.; Ferla, M.; Lena, M.; Cohen, J.S.; Fatemi, A.; Brokamp, E.; Bican, A.; Phillips, J.A., III; Koziura, M.E.; et al. De novo variants in DENND5B causes neurodevelopmental disorder. Am. J. Hum. Genet. 2024, 111, 529–543. [Google Scholar] [CrossRef]


| Clinical Features | New Patient | Hong-Yong L. et al. [1] | Glaser B. et al. [2] | Hoppe A. et al. [3] | Huang J. et al. [4] | Fryns JP. et al. [5] | Soysal Y. et al. [6] | Nagai T. et al. [7] | Stumm M. et al. [8] | Tenconi R. et al. [9] |
|---|---|---|---|---|---|---|---|---|---|---|
| Sex; age | M; 15 y.o. | F; 13 y.o. | M; 6 months | M; 8 months | Family of nine affected individuals | F; 7.5 months | F; 12 y.o. | M; 5 y.o. | F; fetus | M; 2 months |
| Facial dysmorphism | +: frontal bossing; bitemporal constriction; hypertelorism; downslanting palpebral fissures; saddle nasal bridge; bilateral flat foot. | +; short stature; round face | +; unilateral cleft lip; bilateral cleft palate; slight facial asymmetry, low-set and dysplastic ears; large and flat nasal bridge; short palpebral fissures with bilateral epicanthic folds; short neck and a broad thorax with wide-set mamillae. | +; small ears; epicanthus; broad nasal bridge; and hypoplastic nostrils; inverted nipples; micropenis; hemangioma on his lower extremities; trunk hypotonia. | - | - | +; hypertelorism; downslanting palpebral fissures; mild inner epicantal folds; arched eyebrows; broad nasal base; bulbous nose; short philtrum. | +; craniofacial dysmorphisms | + | - |
| ASD | + | - | n.a. | n.a. | - | n.a. | + | - | n.a. | n.a. |
| Intellectual disability | - | +; moderate | n.a. | n.a. | - | n.a. | +; mild | + | n.a. | n.a. |
| Speech delay | +; moderate | - | n.a. | n.a. | n.a. | - | - | n.a. | n.a. | |
| ADHD | + | - | n.a. | n.a. | - | n.a. | - | - | n.a. | n.a. |
| EEG abnormalities | +; sporadic, independent sharp abnormalities on the posterior vertex/parieto-occipital and fronto-centro-temporal region. | - | - | - | - | - | - | - | - | - |
| Psychomotor delay | - | - | + | +; significant. | - | + | + | - | - | + |
| Movement disorder | - | - | - | - | - | + | + | - | - | + |
| Brain MRI alterations | - | - | - | + | - | - | - | - | - | - |
| Microcephaly/macrocephaly/abnormalities of the head | - | - | +; microbrachycephaly. | +; postnatal microcephaly (−2.31 SD). | - | +; craniofacial dysmorphism. | + | - | - | +; craniofacial dysmorphism |
| Atrophy of optic nerve/Ophthalmological problems | +; hypertelorism. | - | +; unable to follow moving objects; no clear fixation. In the fundus of the right eye, partial pallor and vascular defects. | +; at 4 weeks of age, eye movement disorder of intermittent exotropia and discrete anisocoria. At 8 months, bilateral optic atrophy. | - | - | +; strabismus, myopia | - | - | - |
| Brachydactyly or abnormalities of hand/feet | +; bilateral. | +; characteristic brachydactyly, with the fifth toe overlapping the fourth one. Roentgenograms of hands and feet disclosed the bilateral brachydactyly, with shortened metacarpals of digits 3–5,middle phalanges of digit 5, and metatarsals of digits 4 and 5. | +; hands showed deeply furrowed single transverse creases and at the right foot the third toe overlaps the fourth one. | - | +; bilateral severe generalized brachydactyly of hands and feet and pectus carinatum. | + | +; phalangeal deformity in distal phalanges of hands; 5th finger camptodactyly; brachydactyly of the feet. | + | + | + |
| Tooth abnormalities | +; misalignment of teeth. | +; chaotic tooth arrangement. | - | - | - | - | +; irregular tooth arrangement. | + | - | - |
| Cardiovascular anomalies | - | - | +; hemodynamically insignificant small muscular ventricular septal defect and an atrial septal defect secundum. | - | - | + | - | - | - | + |
| Skeletal abnormalities | +; moderate scoliosis. | - | +; short tubular bones at ultrasound. | - | - | - | +; history of joint hypermobility; scoliosis; micro/retrognathia. | - | +; skeletal anomalies; marked micrognathia | - |
| Other | +; anxiety disorder; motor and sound tics. | +; pregnancy complicated at 28 weeks, when ultrasound diagnosed cleft lip and palate. At post-natal examination, horseshoe kidney. | +; splenomegaly | - | +; genital hypoplasia; Turner-like stigmata. | +; arterial hypertension | +; increased nuchal translucency at pregnancy | - |
| Clinical Features | #272344 | #520968 | #284660 | #283599 | #263616 | #392769 | #395971 | #400822 | #287369 | #434796 | #503143 | #534262 |
|---|---|---|---|---|---|---|---|---|---|---|---|---|
| Sex; age | F; 15 y.o. | F; n.a. | M; 9 y.o. | M; 3 y.o. | M; 20 y.o. | F; 17 y.o. | M; 5 y.o. | F; 13 y.o. | M; 6 y.o. | M; 11 months | F; n.a. | F; 11 y.o. |
| Facial dysmorphism | +; long face with bitemporal narrowing; narrow palpebral fissures; long eyelashes; malar flattening; broad nasal bridge and tip with thick alae naesi and columella; long and smooth philtrum; small and receding chin; high and narrow palate with prominent palatal ridges. | n.a. | +; broad forehead. | +; short stature. | +; proportionate short stature. | +; abnormal pinna morphology; low-set ears; macrotia; protruding ears; stenosis of the external auditory canal; proportionate short stature; short and broad neck; bulbous nose; downslanted palpebral fissures; enlarged naris; exaggerated cupid’s bow; high palate; narrow forehead; narrow palate; prominent nasal bridge; highly arched eyebrow; frontal bossing. | +; short stature; low- set ears; depressed nasal bridge; round face; short nose; pectus excavatum; narrow chest; short thorax. | +; short stature; prominent nose. | + | +; short stature. | n.a. | +; short stature. |
| Microcephaly/macrocephaly/abnormalities of the head | +; -4SD | n.a. | n.a. | n.a. | n.a. | + | n.a. | + | +; trigonocephaly. | n.a. | n.a. | n.a. |
| Intellectual disability | - | n.a. | n.a. | n.a. | + | + | + | n.a. | n.a. | +; mild. | n.a. | n.a. |
| Speech delay | + | n.a. | +; oral apraxia | n.a. | n.a. | n.a. | + | +; dysarthria. | n.a. | n.a. | n.a. | n.a. |
| Psychomotor delay | +; moderate. | n.a. | +; mild. | +; global. | n.a. | +; significant. | n.a. | - | +; global. | +; motor delay. | n.a. | n.a. |
| Atrophy of optic nerve/Ophthalmological problems | +; divergent strabism, astigmatism and anisometropia; bilateral optic nerve hypoplasia and thin retrochiasmatic optical tracts. | n.a. | +; strabismus, optic nerve hypoplasia. | +; optic atrophy. | +; optic atrophy. | +; optic atrophy. | n.a. | +; hypertelorism; strabismus. | n.a. | +; myopia; optic nerve hypoplasia. | n.a. | n.a. |
| Brachydactyly or abnormalities of hand/feet | +; long fingers with broad thumbs and mild swelling of the distal interphalangeal joints, short toes with broad hallux and nail hypoplasia. | +; bilateral. | +; short 4th and 5th metacarpal; short distal phalanx of the thumb. | +; short digits. | +; short palm. | +; finger clinodactyly; genu valgum; short metacarpal. | +; cone- shaped epiphyses of the phalanges of the hand; finger clinodactyly; short phalanx of finger; short metacarpal; short foot. | n.a. | +; type E brachydactyly. | n.a. | n.a. | +; short 3rd, 4th, 5th metacarpal; short metatarsal. |
| Tooth abnormalities | +; conical shaped teeth with absent upper incisives after shedding of “double teeth”. | n.a. | n.a. | n.a. | n.a. | +; tooth malposition. | +; oligodontia. | n.a. | n.a. | n.a. | n.a. | +; delayed eruption of permanent teeth. |
| Skeletal abnormalities | +; kyphosis and thoracolumbar gibbus, and symptomatic spinal stenosis. An X-ray and spinal MRI showed abnormal vertebrae T12-L (wedging and irregular plates) and spinal stenosis at the L4-L5 level. | n.a. | n.a. | +; micrognatia. | n.a. | +; pneumatization of cranial sinuses; craniosynostosis; micrognathia; scoliosis. | +; coxa valga; narrow greater sciatic notch; abnormal pubic bone. morphology; osteochondroma. | +; hyperlordosis; micrognathia; scoliosis. | n.a. | n.a. | n.a. | +; cone- shaped epiphysis. |
| Other | +; small pituitary gland; episodes of low-frequency activity bilaterally on the posterior hemispheres. | n.a. | +; cryptorchidism. | +; hydrocephalus; ureteral duplication. | +; abnormality of the skin; aplasia/hypoplasia of the skin. | +; atrial septal defect; pulmonic stenosis; atopic dermatitis; anomalous pulmonary venous return. | +; iron deficiency anemia; hypothyroidism; elevated circulating creatine kinase concentration; type I diabetes mellitus. | n.a. | n.a. |
| Gene Full Name and Symbol (*OMIM) | Phenotype MIM Number (#) | Biological Activity | pLI ≥ 0 | LOEUF~0 | pHaplo ≥ 0.86 | ClinGen Dosage Sensitivity Rate | Main Expression Pattern (GTEx) | Association with Neurodevelopment Disorder |
|---|---|---|---|---|---|---|---|---|
| PTHLH (*168470) Parathyroid hormone-like hormone | Brachydactyly, type E2 (#613382). | Encodes a parathyroid hormone-related protein (PTHrP) that is involved in the regulation of endochondral bone development. | 0.93 | 0.56 | 0.92 | Haploinsufficiency: 3; Triplosensitivity: 1 | Breast mammary tissue; low expression in all the other tissues | No |
| CCDC91 (*617366) Coiled-coil domain containing 91 | - | Encodes for a critical accessory protein that promotes transport of carrier vesicles between the Golgi and lysosomes and lysosomal enzyme maturation. | 0.06 | 1.08 | 0.09 | - | Testis; low expression in all the other tissues | No |
| REP15 (*610848) RAB15 Effector Protein | - | REP15 is a binding partner of the RAB GTPase family member RAB15 that facilitates transferrin receptor recycling from the endocytic recycling compartment. | 0.02 | 1.87 | 0.11 | - | Colon, sigmoid and transverse; small intestine; spleen; stomach; low expression in all the other tissues | No |
| MRPS35 (*611995) Mitochondrial ribosomal protein S35 | - | MRPS35 is a component of the small subunit of the mitochondrial ribosome that is encoded by the nuclear genome. | 0.00 | 1.17 | 0.31 | - | Ubiquitous | No |
| BMAL2 (*614517) Basic helix–loop–helix ARNT like 2 | - | BMAL2 is a basic helix–loop–helix (bHLH)/PAS domain transcription factor with a role in regulation of circadian rhythm. | 0.00 | 0.83 | - | - | - | No |
| KLHL42 (*618919) Kelch like family member 42 | - | KLHL42 is a cullun-3-interacting protein that functions as a CUL3 substrate adaptor. | 0.00 | 1.32 | 0.48 | - | Ubiquitous | No |
| PPFIBP1 (*603141) PPFIB scaffold protein 1 | Neurodevelopmental disorder with seizures, microcephaly, and brain abnormalities (620024). | PPFIBP1 encodes for the liprin-beta1 protein, which has been shown to play a role in neuronal outgrowth and synapse formation in Drosophila Melanogaster. | 0.00 | 0.91 | 0.81 | - | Ubiquitous | Yes |
Disclaimer/Publisher’s Note: The statements, opinions and data contained in all publications are solely those of the individual author(s) and contributor(s) and not of MDPI and/or the editor(s). MDPI and/or the editor(s) disclaim responsibility for any injury to people or property resulting from any ideas, methods, instructions or products referred to in the content. |
© 2026 by the authors. Licensee MDPI, Basel, Switzerland. This article is an open access article distributed under the terms and conditions of the Creative Commons Attribution (CC BY) license.
Share and Cite
Privitera, F.; Pagano, S.; Cipriano, L.; Nutile, G.; Milone, A.; Santorelli, F.M. Interstitial 12p Deletion Syndrome: Revised Minimal Critical Region and Review of the Literature. Genes 2026, 17, 104. https://doi.org/10.3390/genes17010104
Privitera F, Pagano S, Cipriano L, Nutile G, Milone A, Santorelli FM. Interstitial 12p Deletion Syndrome: Revised Minimal Critical Region and Review of the Literature. Genes. 2026; 17(1):104. https://doi.org/10.3390/genes17010104
Chicago/Turabian StylePrivitera, Flavia, Stefano Pagano, Lorenzo Cipriano, Giulia Nutile, Annarita Milone, and Filippo Maria Santorelli. 2026. "Interstitial 12p Deletion Syndrome: Revised Minimal Critical Region and Review of the Literature" Genes 17, no. 1: 104. https://doi.org/10.3390/genes17010104
APA StylePrivitera, F., Pagano, S., Cipriano, L., Nutile, G., Milone, A., & Santorelli, F. M. (2026). Interstitial 12p Deletion Syndrome: Revised Minimal Critical Region and Review of the Literature. Genes, 17(1), 104. https://doi.org/10.3390/genes17010104

