Gene-by-Environment Interactions Involving Maternal Exposures with Orofacial Cleft Risk in Filipinos
Abstract
1. Introduction
2. Materials and Methods
2.1. Study Population Description
2.2. Genotyping and Imputation
2.3. Statistical Analyses
2.3.1. Gene-by-Environment Interaction Analyses
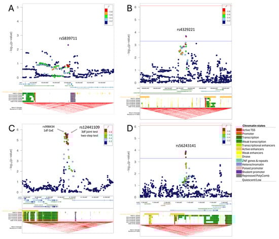
2.3.2. Regional Plots
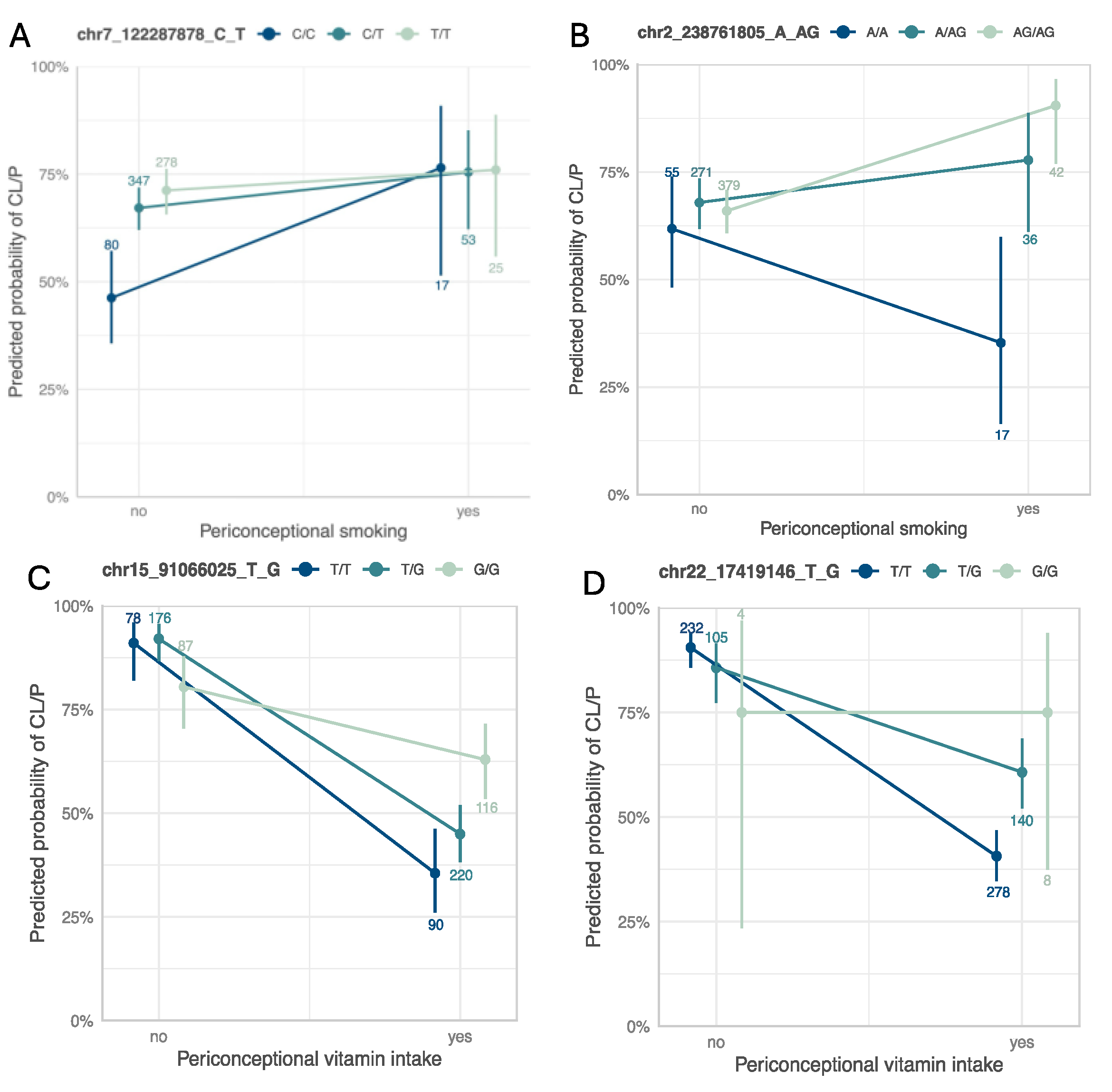
2.3.3. Interaction Plots and eQTL/sQTL Plots
2.3.4. Sensitivity Analysis
2.3.5. Replication
2.3.6. Examination of Known GEI Loci Implicated in CL/P Risk in This GEI Analysis
3. Results
3.1. Genome-Wide Interaction Analysis for Maternal Smoking
| Exposure | Method | Variant Info | Discovery | Replication 1 | Replication 2 | Replication 3 | |||||||||||||||
|---|---|---|---|---|---|---|---|---|---|---|---|---|---|---|---|---|---|---|---|---|---|
| SNV (hg38) | rsID | Nearest Gene | Type | Alt AF | 3df Test | 2df EDGE | GxE | DG | GE All | GE Cases | GE Controls | Case Only | Case Only | Case Only | |||||||
| P | P | β | P | P | P | β | P | P | β | P | β | P | β | P | |||||||
| Smoking | 3df test | 7-122287878-C-T | rs4329221 | FEZF1 | intergenic | 0.63 | 9.87 × 10−6 | 6.18 × 10−6 | −0.58 | 1.63 × 10−1 | 2.87 × 10−5 | 1.09 × 10−2 | −0.57 | 4.87 × 10−3 | 5.71 × 10−1 | −0.06 a | 9.10 × 10−1 | −1.39 a | 2.63 × 10−1 | −0.87 | 3.44 × 10−3 |
| Smoking | Two-step test | 2-238761805-A-AG | rs5839711 | TWIST2 | intergenic | 0.72 | 7.93 × 10−5 | 2.08 × 10−2 | 1.56 | 1.98 × 10−4 | 6.62 × 10−1 | 6.00 × 10−3 | −0.07 | 7.53 × 10−1 | 1.31 × 10−5 a | 0.15 | 8.22 × 10−1 | 50.57 a | 3.50 × 10−1 | 0.61 | 7.15 × 10−2 |
| Vitamin intake | 3df test and two-step test | 15-91066025-T-G | rs12441109 | SV2B | intergenic | 0.53 | 2.65 × 10−6 | 3.66 × 10−7 | 1.45 | 2.68 × 10−6 | 2.02 × 10−1 | 2.55 × 10−2 | 0.65 | 1.02 × 10−5 | 9.69 × 10−3 | −0.25 | 4.51 × 10−1 | 0.04 | 9.34 × 10−1 | 0.03 | 9.02 × 10−1 |
| Vitamin intake | Two-step test | 22-17419146-T-G | rs56243141 | CECR2 | intronic | 0.17 | 2.58 × 10−4 | 2.52 × 10−2 | 1.56 | 1.26 × 10−4 | 2.28 × 10−2 | 1.39 × 10−1 | 0.65 | 4.98 × 10−4 | 2.60 × 10−3 | −0.123 | 7.90 × 10−1 | 0.71 | 2.21 × 10−1 | −0.36 | 3.11 × 10−1 |
| Vitamin intake | 3df test and two-step test | 5-57049741-A-G | rs179464 | MIER3 | intergenic | 0.51 | 8.33 × 10−6 | 1.02 × 10−3 | −1.20 | 4.04 × 10−4 | 2.54 × 10−4 | 5.34 × 10−1 | −0.18 | 2.31 × 10−1 | 4.43 × 10−5 | −0.50 | 1.83 × 10−1 | 0.10 | 8.42 × 10−1 | −0.13 | 7.02 × 10−1 |
3.2. Genome-Wide Interaction Analysis for Maternal Vitamin Use
3.3. Replication Analysis
3.4. Known GEI Loci with Maternal Smoking and Vitamin Intake in CL/P Risk
| Exposure | Variant Info | Discovery Sample | |||||||||||
|---|---|---|---|---|---|---|---|---|---|---|---|---|---|
| SNV (hg38) | rsID | Nearest Gene | Type | Study MAF | Reference | AF | GxE | DG | GE Cases | ||||
| OR | P | OR | P | OR | P | ||||||||
| Smoking | 4-92455080-G-A | rs4389540 | GRID2 | Intronic | 0.14 | Beaty et al. (2013) [14] | 0.005 | - | - | - | - | - | - |
| Smoking | 7-150999023-T-G | rs1799983 | NOS3 | Exonic-missense | 0.26 | Shaw et al. (2005) [13] | 0.17 | 0.76 | 6.16 × 10−1 | 0.99 | 9.33 × 10−1 | 0.91 | 7.19 × 10−1 |
| Smoking | 9-24527359-G-A | rs2257210 | ELAVL2 | Intergenic | 0.31 | Beaty et al. (2013) [14] | 0.21 | 1.11 | 8.23 × 10−1 | 0.97 | 8.24 × 10−1 | 1.31 | 2.30 × 10−1 |
| Vitamin intake | 1-216999264-T-C | rs1339221 | ESRRG | Intronic | 0.40 | Haaland et al. (2018) [17] | 0.32 | 0.54 | 6.01 × 10−2 | 1.03 | 8.33 × 10−1 | 0.83 | 2.03 × 10−1 |
| Vitamin intake | 7-150999023-T-G | rs1799983 | NOS3 | Exonic-missense | 0.26 | Shaw et al. (2005) [13] | 0.17 | 3.93 | 6.42 × 10−3 | 0.85 | 3.60 × 10−1 | 1.04 | 8.59 × 10−1 |
| Vitamin intake | 16-24342036-A-G | rs9930171 | CACNG3 | Intronic | 0.35 | Carlson et al. (2022) [16] | 0.41 | 0.85 | 6.04 × 10−1 | 0.93 | 5.92 × 10−1 | 0.96 | 7.60 × 10−1 |
4. Discussion
5. Conclusions
Supplementary Materials
Author Contributions
Funding
Institutional Review Board Statement
Informed Consent Statement
Data Availability Statement
Acknowledgments
Conflicts of Interest
Abbreviations
| CL/P | Cleft lip with or without cleft palate |
| df | Degree-of-freedom |
| DG | Disease–gene association, referring to genetic main effect |
| eQTL | Expression quantitative trait locus |
| GE | Environment–gene association |
| GEI | Gene–environment interaction |
| OFC | Orofacial cleft |
| POFC | Pittsburgh Orofacial Cohort |
| sQTL | Splicing quantitative trait locus |
References
- Murray, J.C.; Daack-Hirsch, S.; Buetow, K.H.; Munger, R.; Espina, L.; Paglinawan, N.; Villanueva, E.; Rary, J.; Magee, K.; Magee, W. Clinical and epidemiologic studies of cleft Lip and palate in the Philippines. Cleft Palate Craniofacial J. 1997, 34, 7–10. [Google Scholar] [CrossRef]
- David-Padilla, C.; Paz EMCC, la.; Lucero, F.; Villafuerte, C.; Cardenas, J.; Villanueva, E. Profile of Oral Cleft Cases Reported in the Philippine Oral Cleft Registry from May 2003 to December 2006. Acta Med. Philipp. 2008, 42, 27–33. [Google Scholar]
- Jugessur, A.; Murray, J.C. Orofacial clefting: Recent insights into a complex trait. Curr. Opin. Genet. Dev. 2005, 15, 270–278. [Google Scholar] [CrossRef] [PubMed]
- Tamura, T.; Munger, R.G.; Corcoran, C.; Bacayao, J.Y.; Nepomuceno, B.; Solon, F. Plasma zinc concentrations of mothers and the risk of nonsyndromic oral clefts in their children: A case-control study in the Philippines. Birth Defects Res. Part A Clin. Mol. Teratol. 2005, 73, 612–616. [Google Scholar] [CrossRef] [PubMed]
- Tamura, T.; Munger, R.G.; Nepomuceno, B.; Corcoran, C.; Cembrano, J.; Solon, F. Maternal plasma pyridoxal-5′-phosphate concentrations and risk of isolated oral clefts in the Philippines. Birth Defects Res. Part A Clin. Mol. Teratol. 2007, 79, 276–280. [Google Scholar] [CrossRef] [PubMed]
- Munger, R.G.; Sauberlich, H.E.; Corcoran, C.; Nepomuceno, B.; Daack-Hirsch, S.; Solon, F.S. Maternal vitamin B-6 and folate status and risk of oral cleft birth defects in the Philippines. Birth Defects Res. Part A Clin. Mol. Teratol. 2004, 70, 464–471. [Google Scholar] [CrossRef] [PubMed]
- Figueiredo, J.C.; Ly, S.; Magee, K.S.; Ihenacho, U.; Baurley, J.W.; Sanchez-Lara, P.A.; Brindopke, F.; Nguyen, T.; Nguyen, V.; Tangco, M.I.; et al. Parental risk factors for oral clefts among Central Africans, Southeast Asians, and Central Americans. Birth Defects Res. Part A Clin. Mol. Teratol. 2015, 103, 863–879. [Google Scholar] [CrossRef] [PubMed]
- Jafari, A.; Rajabi, A.; Gholian-Aval, M.; Peyman, N.; Mahdizadeh, M.; Tehrani, H. National, regional, and global prevalence of cigarette smoking among women/females in the general population: A systematic review and meta-analysis. Environ. Health Prev. Med. 2021, 26, 5. [Google Scholar] [CrossRef] [PubMed]
- Auslander, A.; McKean-Cowdin, R.; Brindopke, F.; Sylvester, B.; DiBona, M.; Magee, K.; Kapoor, R.; Conti, D.V.; Rakotoarison, S.; Magee, W. The role of smoke from cooking indoors over an open flame and parental smoking on the risk of cleft lip and palate: A case-control study in 7 low-resource countries. J. Glob. Health 2020, 10, 020410. [Google Scholar] [CrossRef] [PubMed]
- Marazita, M.L. Gene × environment associations in orofacial clefting. Curr. Top. Dev. Biol. 2023, 152, 169–192. [Google Scholar] [CrossRef] [PubMed]
- Khan, M.I.; Cs, P.; Srinath, N.M. Genetic Factors in Nonsyndromic Orofacial Clefts. Glob. Med. Genet. 2020, 7, 101–108. [Google Scholar] [CrossRef] [PubMed]
- Thieme, F.; Ludwig, K.U. The role of noncoding genetic variation in isolated orofacial clefts. J. Dent. Res. 2017, 96, 1238–1247. [Google Scholar] [CrossRef] [PubMed]
- Shaw, G.M.; Iovannisci, D.M.; Yang, W.; Finnell, R.H.; Carmichael, S.L.; Cheng, S.; Lammer, E.J. Endothelial nitric oxide synthase (NOS3) genetic variants, maternal smoking, vitamin use, and risk of human orofacial clefts. Am. J. Epidemiol. 2005, 162, 1207–1214. [Google Scholar] [CrossRef] [PubMed]
- Beaty, T.H.; Taub, M.A.; Scott, A.F.; Murray, J.C.; Marazita, M.L.; Schwender, H.; Parker, M.; Hetmanski, J.B.; Balakrishnan, P.; Mansilla, M.A.; et al. Confirming genes influencing risk to cleft lip with/without cleft palate in a case-parent trio study. Hum. Genet. 2013, 132, 771–781. [Google Scholar] [CrossRef] [PubMed]
- Wu, T.; Fallin, M.D.; Shi, M.; Ruczinski, I.; Liang, K.Y.; Hetmanski, J.B.; Wang, H.; Ingersoll, R.G.; Huang, S.; Ye, X.; et al. Evidence of gene-environment interaction for the RUNX2 gene and environmental tobacco smoke in controlling the risk of cleft lip with/without cleft palate. Birth Defects Res. Part A Clin. Mol. Teratol. 2012, 94, 76–83. [Google Scholar] [CrossRef] [PubMed]
- Carlson, J.C.; Shaffer, J.R.; Deleyiannis, F.; Hecht, J.T.; Wehby, G.L.; Christensen, K.; Feingold, E.; Weinberg, S.M.; Marazita, M.L.; Leslie, E.J. Genome-wide interaction study implicates VGLL2 and alcohol exposure and PRL and smoking in orofacial cleft risk. Front. Cell Dev. Biol. 2022, 10, 621261. [Google Scholar] [CrossRef] [PubMed]
- Haaland, Ø.A.; Lie, R.T.; Romanowska, J.; Gjerdevik, M.; Gjessing, H.K.; Jugessur, A. A genome-wide search for gene-environment effects in isolated cleft lip with or without cleft palate triads points to an interaction between maternal periconceptional vitamin use and variants in ESRRG. Front. Genet. 2018, 9, 60. [Google Scholar] [CrossRef] [PubMed]
- Zhang, W.; Venkataraghavan, S.; Hetmanski, J.B.; Leslie, E.J.; Marazita, M.L.; Feingold, E.; Weinberg, S.M.; Ruczinski, I.; Taub, M.A.; Scott, A.F.; et al. Detecting gene-environment interaction for maternal exposures using case-parent trios ascertained through a case with non-syndromic orofacial cleft. Front. Cell Dev. Biol. 2021, 9, 621018. [Google Scholar] [CrossRef] [PubMed]
- Laurie, C.C.; Doheny, K.F.; Mirel, D.B.; Pugh, E.W.; Bierut, L.J.; Bhangale, T.; Boehm, F.; Caporaso, N.E.; Cornelis, M.C.; Edenberg, H.J.; et al. Quality control and quality assurance in genotypic data for genome-wide association studies. Genet. Epidemiol. 2010, 34, 591–602. [Google Scholar] [CrossRef] [PubMed]
- Das, S.; Forer, L.; Schönherr, S.; Sidore, C.; Locke, A.E.; Kwong, A.; Vrieze, S.I.; Chew, E.Y.; Levy, S.; McGue, M.; et al. Next-generation genotype imputation service and methods. Nat. Genet. 2016, 48, 1284–1287. [Google Scholar] [CrossRef] [PubMed]
- Fuchsberger, C.; Abecasis, G.R.; Hinds, D.A. minimac2: Faster genotype imputation. Bioinformatics 2015, 31, 782–784. [Google Scholar] [CrossRef] [PubMed]
- Morrison, J. BinaryDosage: A Package to Create, Merge, and Read Binary Genotype Files. Version 1.0.0. Available online: https://cran.rstudio.com/web/packages/BinaryDosage2020 (accessed on 10 July 2023).
- Morrison, J. GxEScanR: Run GWAS/GWEIS Scans Using Binary Dosage Files [R Package GxEScanR Version 2.0.2]. 2020. Available online: https://cran.r-project.org/web/packages/GxEScanR (accessed on 10 July 2023).
- Gauderman, W.J.; Zhang, P.; Morrison, J.L.; Lewinger, J.P. Finding novel genes by testing G × E interactions in a genome-wide association study. Genet. Epidemiol. 2013, 37, 603–613. [Google Scholar] [CrossRef] [PubMed]
- Gauderman, W.J.; Kim, A.; Conti, D.V.; Morrison, J.; Thomas, D.C.; Vora, H.; Lewinger, J.P. A unified model for the analysis of gene-environment interaction. Am. J. Epidemiol. 2019, 188, 760–767. [Google Scholar] [CrossRef] [PubMed]
- Gao, X.; Starmer, J.; Martin, E.R. A multiple testing correction method for genetic association studies using correlated single nucleotide polymorphisms. Genet. Epidemiol. 2008, 32, 361–369. [Google Scholar] [CrossRef] [PubMed]
- Pruim, R.J.; Welch, R.P.; Sanna, S.; Teslovich, T.M.; Chines, P.S.; Gliedt, T.P.; Boehnke, M.; Abecasis, G.R.; Willer, C.J. LocusZoom: Regional visualization of genome-wide association scan results. Bioinformatics 2010, 26, 2336–2337. [Google Scholar] [CrossRef] [PubMed]
- Wilderman, A.; van Oudenhove, J.; Kron, J.; Noonan, J.P.; Cotney, J. High-resolution epigenomic atlas of human embryonic craniofacial development. Cell Rep. 2018, 23, 1581–1597. [Google Scholar] [CrossRef] [PubMed]
- Krietenstein, N.; Abraham, S.; Venev, S.V.; Abdennur, N.; Gibcus, J.; Hsieh, T.H.S.; Parsi, K.M.; Yang, L.; Maehr, R.; Mirny, L.A.; et al. Ultrastructural details of mammalian chromosome architecture. Mol. Cell 2020, 78, 554–565.e7. [Google Scholar] [CrossRef] [PubMed]
- The GTEx Consortium. The GTEx Consortium atlas of genetic regulatory effects across human tissues. Science 2020, 369, 1318–1330. [Google Scholar] [CrossRef] [PubMed]
- Leslie, E.J.; Carlson, J.C.; Shaffer, J.R.; Feingold, E.; Wehby, G.; Laurie, C.A.; Jain, D.; Doheny, K.F.; McHenry, T.; Resick, J.; et al. A multi-ethnic genome-wide association study identifies novel loci for non-syndromic cleft lip with or without cleft palate on 2p24.2, 17q23 and 19q13. Hum. Mol. Genet. 2016, 25, 2862–2872. [Google Scholar] [CrossRef] [PubMed]
- Beaty, T.H.; Murray, J.C.; Marazita, M.L.; Munger, R.G.; Ruczinski, I.; Hetmanski, J.B.; Liang, K.Y.; Wu, T.; Murray, T.; Fallin, M.D.; et al. A genome-wide association study of cleft lip with and without cleft palate identifies risk variants near MAFB and ABCA4. Nat. Genet. 2010, 42, 525–529. [Google Scholar] [CrossRef] [PubMed]
- van der Auwera, G.A.; Carneiro, M.O.; Hartl, C.; Poplin, R.; del Angel, G.; Levy-Moonshine, A.; Jordan, T.; Shakir, K.; Roazen, D.; Thibault, J.; et al. From FastQ data to high confidence variant calls: The Genome Analysis Toolkit best practices pipeline. Curr. Protoc. Bioinform. 2013, 43, 11.10.1–11.10.33. [Google Scholar] [CrossRef] [PubMed]
- García-Aznar, J.M.; Alvarez, S.A.; del Castillo, T.B. Pivotal role of BCL11B in the immune, hematopoietic and nervous systems: A review of the BCL11B-associated phenotypes from the genetic perspective. Genes. Immun. 2024, 25, 232–241. [Google Scholar] [CrossRef] [PubMed]
- Fishilevich, S.; Nudel, R.; Rappaport, N.; Hadar, R.; Plaschkes, I.; Stein, T.I.; Rosen, N.; Kohn, A.; Twik, M.; Safran, M.; et al. GeneHancer: Genome-wide integration of enhancers and target genes in GeneCards. Database 2017, 1, bax028. [Google Scholar] [CrossRef] [PubMed]
- Haaland, Ø.A.; Romanowska, J.; Gjerdevik, M.; Lie, R.T.; Gjessing, H.K.; Jugessur, A. A genome-wide scan of cleft lip triads identifies parent-of-origin interaction effects between ANK3 and maternal smoking, and between ARHGEF10 and alcohol consumption. F1000Research 2019, 8, 960. [Google Scholar] [CrossRef] [PubMed]
- Beaty, T.H.; Ruczinski, I.; Murray, J.C.; Marazita, M.L.; Munger, R.G.; Hetmanski, J.B.; Murray, T.; Redett, R.J.; Fallin, M.D.; Liang, K.Y.; et al. Evidence for gene-environment interaction in a genome wide study of nonsyndromic cleft palate. Genet. Epidemiol. 2011, 35, 469–478. [Google Scholar] [CrossRef] [PubMed]
- Shi, M.; Christensen, K.; Weinberg, C.R.; Romitti, P.; Bathum, L.; Lozada, A.; Morris, R.W.; Lovett, M.; Murray, J.C. Orofacial cleft risk is increased with maternal smoking and specific detoxification-gene variants. Am. J. Hum. Genet. 2007, 80, 76–90. [Google Scholar] [CrossRef] [PubMed]
- Wu, T.; Schwender, H.; Ruczinski, I.; Murray, J.C.; Marazita, M.L.; Munger, R.G.; Hetmanski, J.B.; Parker, M.M.; Wang, P.; Murray, T.; et al. Evidence of gene−environment interaction for two genes on chromosome 4 and environmental tobacco smoke in controlling the risk of nonsyndromic cleft palate. PLoS ONE 2014, 9, e88088. [Google Scholar] [CrossRef] [PubMed]
- Shimizu, T.; Nakazawa, M.; Kani, S.; Bae, Y.K.; Shimizu, T.; Kageyama, R.; Hibi, M. Zinc finger genes Fezf1 and Fezf2 control neuronal differentiation by repressing Hes5 expression in the forebrain. Development 2010, 137, 1875–1885. [Google Scholar] [CrossRef] [PubMed]
- Kotan, L.D.; Hutchins, B.I.; Ozkan, Y.; Demirel, F.; Stoner, H.; Cheng, P.J.; Esen, I.; Gurbuz, F.; Bicakci, Y.K.; Mengen, E.; et al. Mutations in FEZF1 cause Kallmann syndrome. Am. J. Hum. Genet. 2014, 95, 326–331. [Google Scholar] [CrossRef] [PubMed]
- Cho, H.J.; Shan, Y.; Whittington, N.C.; Wray, S. Nasal placode development, GnRH neuronal migration and Kallmann Syndrome. Front. Cell Dev. Biol. 2019, 7, 121. [Google Scholar] [CrossRef] [PubMed]
- Shi, C.; Sun, L.; Song, Y. FEZF1-AS1: A novel vital oncogenic lncRNA in multiple human malignancies. Biosci. Rep. 2019, 39, BSR20191202. [Google Scholar] [CrossRef] [PubMed]
- Zhao, X.; Su, F.; Guo, Q.; Tao, X.; Wang, H.; Wang, H.; Li, Q.; Zhang, W. Preeclampsia-associated lncRNA FEZF1-AS1 regulates cell proliferation and apoptosis in placental trophoblast cells through the ELAVL1/NOC2L axis. Cell Div. 2023, 18, 17. [Google Scholar] [CrossRef] [PubMed]
- Saunders, G.R.B.; Wang, X.; Chen, F.; Jang, S.K.; Liu, M.; Wang, C.; Gao, S.; Jiang, Y.; Khunsriraksakul, C.; Otto, J.M.; et al. Genetic diversity fuels gene discovery for tobacco and alcohol use. Nature 2022, 612, 720–724. [Google Scholar] [CrossRef] [PubMed]
- Linnér, R.K.; Biroli, P.; Kong, E.; Meddens, S.F.W.; Wedow, R.; Fontana, M.A.; Lebreton, M.; Tino, S.P.; Abdellaoui, A.; Hammerschlag, A.R.; et al. Genome-wide association analyses of risk tolerance and risky behaviors in over 1 million individuals identify hundreds of loci and shared genetic influences. Nat. Genet. 2019, 51, 245–257. [Google Scholar] [CrossRef] [PubMed]
- Liu, M.; Jiang, Y.; Wedow, R.; Li, Y.; Brazel, D.M.; Chen, F.; Datta, G.; Davila-Velderrain, J.; McGuire, D.; Tian, C.; et al. Association studies of up to 1.2 million individuals yield new insights into the genetic etiology of tobacco and alcohol use. Nat. Genet. 2019, 51, 237–244. [Google Scholar] [CrossRef] [PubMed]
- Kim, J.Y.; Park, M.; Ohn, J.; Seong, R.H.; Chung, J.H.; Kim, K.H.; Jo, S.J.; Kwon, O. Twist2-driven chromatin remodeling governs the postnatal maturation of dermal fibroblasts. Cell Rep. 2022, 39, 110821. [Google Scholar] [CrossRef] [PubMed]
- Marchegiani, S.; Davis, T.; Tessadori, F.; van Haaften, G.; Brancati, F.; Hoischen, A.; Huang, H.; Valkanas, E.; Pusey, B.; Schanze, D.; et al. Recurrent Mutations in the Basic Domain of TWIST2 Cause Ablepharon Macrostomia and Barber-Say Syndromes. Am. J. Hum. Genet. 2015, 97, 99–110. [Google Scholar] [CrossRef] [PubMed]
- Merindol, N.; Riquet, A.; Szablewski, V.; Eliaou, J.F.; Puisieux, A.; Bonnefoy, N. The emerging role of Twist proteins in hematopoietic cells and hematological malignancies. Blood Cancer J. 2014, 4, e206. [Google Scholar] [CrossRef] [PubMed]
- de Maria, B.; Mazzanti, L.; Roche, N.; Hennekam, R.C. Barber-Say syndrome and Ablepharon-Macrostomia syndrome: An overview. Am. J. Med. Genet. Part A 2016, 170, 1989–2001. [Google Scholar] [CrossRef] [PubMed]
- Fang, X.; Cai, Y.; Liu, J.; Wang, Z.; Wu, Q.; Zhang, Z.; Yang, C.J.; Yuan, L.; Ouyang, G. Twist2 contributes to breast cancer progression by promoting an epithelial–mesenchymal transition and cancer stem-like cell self-renewal. Oncogene 2011, 30, 4707–4720. [Google Scholar] [CrossRef] [PubMed]
- Alvizi, L.; Nani, D.; Brito, L.A.; Kobayashi, G.S.; Passos-Bueno, M.R.; Mayor, R. Neural crest E-cadherin loss drives cleft lip/palate by epigenetic modulation via pro-inflammatory gene–environment interaction. Nat. Commun. 2023, 14, 2868. [Google Scholar] [CrossRef] [PubMed]
- Cox, L.L.; Cox, T.C.; Uribe, L.M.M.; Zhu, Y.; Richter, C.T.; Nidey, N.; Standley, J.M.; Deng, M.; Blue, E.; Chong, J.X.; et al. Mutations in the epithelial cadherin-p120-catenin complex cause mendelian non-syndromic cleft lip with or without cleft palate. Am. J. Hum. Genet. 2018, 102, 1143–1157. [Google Scholar] [CrossRef] [PubMed]
- Green, B.L.; Fasaye, G.A.; Samaranayake, S.G.; Duemler, A.; Gamble, L.A.; Davis, J.L. Frequent cleft lip and palate in families with pathogenic germline CDH1 variants. Front. Genet. 2022, 13, 1012025. [Google Scholar] [CrossRef] [PubMed]
- Bureau, A.; Parker, M.M.; Ruczinski, I.; Taub, M.A.; Marazita, M.L.; Murray, J.C.; Mangold, E.; Noethen, M.M.; Ludwig, K.U.; Hetmanski, J.B.; et al. Whole Exome sequencing of distant relatives in multiplex families implicates rare variants in candidate genes for oral clefts. Genetics 2014, 197, 1039–1044. [Google Scholar] [CrossRef] [PubMed]
- Di Cello, F.; Flowers, V.L.; Li, H.; Vecchio-Pagán, B.; Gordon, B.; Harbom, K.; Shin, J.; Beaty, R.; Wang, W.; Brayton, C.; et al. Cigarette smoke induces epithelial to mesenchymal transition and increases the metastatic ability of breast cancer cells. Mol. Cancer 2013, 12, 90. [Google Scholar] [CrossRef] [PubMed]
- Wu, J.; He, Z.; Yang, X.M.; Li, K.L.; Wang, D.L.; Sun, F.L. RCCD1 depletion attenuates TGF-β-induced EMT and cell migration by stabilizing cytoskeletal microtubules in NSCLC cells. Cancer Lett. 2017, 400, 18–29. [Google Scholar] [CrossRef] [PubMed]
- Sheybani, Z.; Dokoohaki, M.H.; Negahdaripour, M.; Dehdashti, M.; Zolghadr, H.; Moghadami, M.; Masoompour, S.M.; Zolghadr, A.R. The interactions of folate with the enzyme furin: A computational study. RSC Adv. 2021, 11, 23815–23824. [Google Scholar] [CrossRef] [PubMed]
- Cox, T.C.; Lidral, A.C.; McCoy, J.C.; Liu, H.; Cox, L.L.; Zhu, Y.; Anderson, R.D.; Uribe, L.M.M.; Anand, D.; Deng, M.; et al. Mutations in GDF11 and the extracellular antagonist, Follistatin, as a likely cause of Mendelian forms of orofacial clefting in humans. Hum. Mutat. 2019, 40, 1813–1825. [Google Scholar] [CrossRef] [PubMed]
- Ravenscroft, T.A.; Phillips, J.B.; Fieg, E.; Bajikar, S.S.; Peirce, J.; Wegner, J.; Luna, A.A.; Fox, E.J.; Yan, Y.L.; Rosenfeld, J.A.; et al. Heterozygous loss-of-function variants significantly expand the phenotypes associated with loss of GDF11. Genet. Med. 2021, 23, 1889–1900. [Google Scholar] [CrossRef] [PubMed]
- Dicipulo, R.; Norton, K.A.; Fairbridge, N.A.; Kibalnyk, Y.; Fox, S.C.; Hornberger, L.K.; McDermid, H.E. Cecr2 mutant mice as a model for human cat eye syndrome. Sci. Rep. 2021, 11, 3111. [Google Scholar] [CrossRef] [PubMed]
- Fairbridge, N.A.; Dawe, C.E.; Niri, F.H.; Kooistra, M.K.; King-Jones, K.; McDermid, H.E. Cecr2 mutations causing exencephaly trigger misregulation of mesenchymal/ectodermal transcription factors. Birth Defects Res. Part A Clin. Mol. Teratol. 2010, 88, 619–625. [Google Scholar] [CrossRef] [PubMed]
- Liu, C.; Wang, D.; Jin, L.; Zhang, J.; Meng, W.; Jin, L.; Shang, X. The relationship between maternal periconceptional micronutrient supplementation and non-syndromic cleft lip/palate in offspring. Birth Defects Res. 2023, 115, 545–554. [Google Scholar] [CrossRef] [PubMed]
- Bai, B.; Jiang, Q.; Liu, L.; Liu, C.; Zhang, Q. Double whammy: The genetic variants in CECR2 and high Hcy on the development of neural tube defects. Front. Genet. 2023, 14, 1189847. [Google Scholar] [CrossRef] [PubMed]
- Bernardo, A.K.M.; Gordoncillo, N.P.; Atienza, L.M.; Talavera, M.T.M.; Recuenco, M.C. Prevalence and factors associated with folate deficiency among Filipino women of child-bearing age. Malays. J. Nutr. 2020, 26, 229–243. [Google Scholar] [CrossRef]




| Discovery | Replication 1 | Replication 2 | Replication 3 | |||
|---|---|---|---|---|---|---|
| CL/P cases | Controls | CL/P cases | CL/P cases | CL/P cases | ||
| N | 540 | 260 | 137 | 88 | 213 | |
| Maternal vitamin use | Yes | 204 | 222 | 108 | 20 | 36 |
| No | 303 | 38 | 29 | 63 | 170 | |
| Unknown | 33 | 0 | 0 | 5 | 7 | |
| Maternal smoking | Yes | 72 | 23 | 10 | 4 | 33 |
| No | 468 | 237 | 124 | 84 | 180 | |
| Unknown | 0 | 0 | 3 | 0 | 0 | |
| Assigned sex at birth | Males | 320 | 123 | 85 | 59 | 139 |
| Females | 220 | 137 | 52 | 29 | 74 | |
Disclaimer/Publisher’s Note: The statements, opinions and data contained in all publications are solely those of the individual author(s) and contributor(s) and not of MDPI and/or the editor(s). MDPI and/or the editor(s) disclaim responsibility for any injury to people or property resulting from any ideas, methods, instructions or products referred to in the content. |
© 2025 by the authors. Licensee MDPI, Basel, Switzerland. This article is an open access article distributed under the terms and conditions of the Creative Commons Attribution (CC BY) license (https://creativecommons.org/licenses/by/4.0/).
Share and Cite
Erdogan-Yildirim, Z.; Carlson, J.C.; Mukhopadhyay, N.; Leslie-Clarkson, E.J.; Padilla, C.D.; Murray, J.C.; Beaty, T.H.; Weinberg, S.M.; Marazita, M.L.; Shaffer, J.R. Gene-by-Environment Interactions Involving Maternal Exposures with Orofacial Cleft Risk in Filipinos. Genes 2025, 16, 876. https://doi.org/10.3390/genes16080876
Erdogan-Yildirim Z, Carlson JC, Mukhopadhyay N, Leslie-Clarkson EJ, Padilla CD, Murray JC, Beaty TH, Weinberg SM, Marazita ML, Shaffer JR. Gene-by-Environment Interactions Involving Maternal Exposures with Orofacial Cleft Risk in Filipinos. Genes. 2025; 16(8):876. https://doi.org/10.3390/genes16080876
Chicago/Turabian StyleErdogan-Yildirim, Zeynep, Jenna C. Carlson, Nandita Mukhopadhyay, Elizabeth J. Leslie-Clarkson, Carmencita D. Padilla, Jeffrey C. Murray, Terri H. Beaty, Seth M. Weinberg, Mary L. Marazita, and John R. Shaffer. 2025. "Gene-by-Environment Interactions Involving Maternal Exposures with Orofacial Cleft Risk in Filipinos" Genes 16, no. 8: 876. https://doi.org/10.3390/genes16080876
APA StyleErdogan-Yildirim, Z., Carlson, J. C., Mukhopadhyay, N., Leslie-Clarkson, E. J., Padilla, C. D., Murray, J. C., Beaty, T. H., Weinberg, S. M., Marazita, M. L., & Shaffer, J. R. (2025). Gene-by-Environment Interactions Involving Maternal Exposures with Orofacial Cleft Risk in Filipinos. Genes, 16(8), 876. https://doi.org/10.3390/genes16080876

