The Potential Role of Brassica napus Metallothioneins in Salt Stress and Interactions with Plant Growth-Promoting Bacteria
Abstract
1. Introduction
2. Materials and Methods
2.1. Plant Material and Preparation of Bacterial Inoculum
2.2. Bacteria Growth in the Presence of NaCl
2.3. B. napus Seed Germination, Seedling and Plant Growth in the Presence of NaCl and S. plymuthica
2.4. Phytohormones Content
2.5. Identification of Cis-Regulatory Elements in Promoters of BnMT Genes
2.6. BnMT1-BnMT4 Genes Expression Analysis by qRT-PCR
2.7. Statistical Analysis
3. Results
3.1. Tolerance of S. plymuthica, S. liquefaciens, and M. timonae to Sodium Chloride
3.2. B. napus Seed Germination and Seedling Growth in the Presence of Sodium Chloride and S. plymuthica
3.3. The Growth of B. napus Plants in the Presence of Sodium Chloride and S. plymuthica
3.4. The Content of Phytohormones
3.5. In Silico Analysis of Promoter Sequences of BnMT Genes
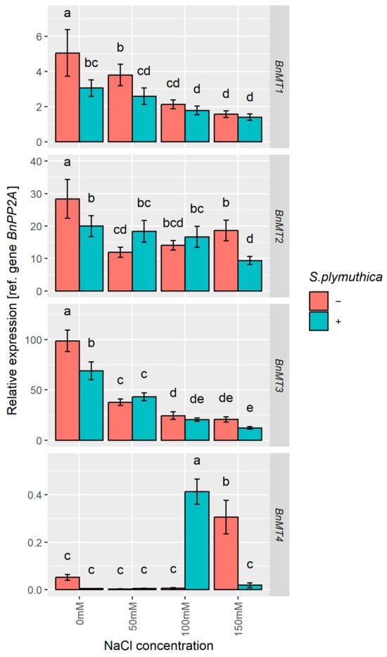
3.6. Analysis of BnMT1-4 Gene Expression in B. napus Seedlings in Response to Sodium Chloride and S. plymuthica
3.7. Correlations Between Growth Parameters, Phytohormone Content and BnMTs Gene Expression
4. Discussion
5. Conclusions
Supplementary Materials
Author Contributions
Funding
Institutional Review Board Statement
Informed Consent Statement
Data Availability Statement
Acknowledgments
Conflicts of Interest
Abbreviations
| ABA | abscisic acid |
| CRE | cis-regulatory element |
| GA | gibberellins |
| IAA | indole-3-acetic acid |
| JA | jasmonic acid |
| MeJA | methyl jasmonate |
| MT | metallothioneins |
| PGPR | plant growth-promoting rhizobacteria |
| SA | salicylic acid |
References
- GSASmap | Global Soil Partnership | Food and Agriculture Organization of the United Nations. Available online: https://web.archive.org/web/20250110231938/https://www.fao.org/global-soil-partnership/gsasmap/en/ (accessed on 21 January 2025).
- Stavi, I.; Thevs, N.; Priori, S. Soil Salinity and Sodicity in Drylands: A Review of Causes, Effects, Monitoring, and Restoration Measures. Front. Environ. Sci. 2021, 9, 712831. [Google Scholar] [CrossRef]
- Zörb, C.; Geilfus, C.-M.; Dietz, K.-J. Salinity and Crop Yield. Plant Biol. 2019, 21, 31–38. [Google Scholar] [CrossRef] [PubMed]
- Shrivastava, P.; Kumar, R. Soil Salinity: A Serious Environmental Issue and Plant Growth Promoting Bacteria as One of the Tools for Its Alleviation. Saudi J. Biol. Sci. 2015, 22, 123–131. [Google Scholar] [CrossRef]
- Kumar, S.; Li, G.; Yang, J.; Huang, X.; Ji, Q.; Liu, Z.; Ke, W.; Hou, H. Effect of Salt Stress on Growth, Physiological Parameters, and Ionic Concentration of Water Dropwort (Oenanthe javanica) Cultivars. Front. Plant Sci. 2021, 12, 660409. [Google Scholar] [CrossRef]
- Ullah, A.; Bano, A.; Khan, N. Climate Change and Salinity Effects on Crops and Chemical Communication between Plants and Plant Growth-Promoting Microorganisms under Stress. Front. Sustain. Food Syst. 2021, 5, 618092. [Google Scholar] [CrossRef]
- Mishra, A.; Tanna, B. Halophytes: Potential Resources for Salt Stress Tolerance Genes and Promoters. Front. Plant Sci. 2017, 8, 829. [Google Scholar] [CrossRef]
- Manousaki, E.; Kadukova, J.; Papadantonakis, N.; Kalogerakis, N. Phytoextraction and Phytoexcretion of Cd by the Leaves of Tamarix smyrnensis Growing on Contaminated Non-Saline and Saline Soils. Environ. Res. 2008, 106, 326–332. [Google Scholar] [CrossRef]
- Nikalje, G.C.; Saini, N.; Suprasanna, P. Halophytes and Heavy Metals: Interesting Partnerships. In Plant-Metal Interactions; Srivastava, S., Srivastava, A., Suprasanna, P., Eds.; Springer International Publishing: Cham, Switzerland, 2019; pp. 99–118. [Google Scholar]
- Ziller, A.; Fraissinet-Tachet, L. Metallothionein Diversity and Distribution in the Tree of Life: A Multifunctional Protein. Metallomics 2018, 10, 1549–1559. [Google Scholar] [CrossRef]
- Leszczyszyn, O.I.; Imam, H.T.; Blindauer, C.A. Diversity and Distribution of Plant Metallothioneins: A Review of Structure, Properties and Functions. Metallomics 2013, 5, 1146–1169. [Google Scholar] [CrossRef]
- Mierek-Adamska, A.; Dąbrowska, G.B.; Blindauer, C.A. The Type 4 Metallothionein from Brassica napus Seeds Folds in a Metal-Dependent Fashion and Favours Zinc over Other Metals. Metallomics 2018, 10, 1430–1443. [Google Scholar] [CrossRef]
- Mierek-Adamska, A.; Kotowicz, K.; Goc, A.; Boniecka, J.; Berdychowska, J.; Dąbrowska, G.B. Potential Involvement of Rapeseed (Brassica napus L.) Metallothioneins in the Hydrogen Peroxide-induced Regulation of Seed Vigour. J. Agron. Crop Sci. 2019, 205, 598–607. [Google Scholar] [CrossRef]
- Konieczna, W.; Warchoł, M.; Mierek-Adamska, A.; Skrzypek, E.; Waligórski, P.; Piernik, A.; Dąbrowska, G.B. Changes in Physio-Biochemical Parameters and Expression of Metallothioneins in Avena sativa L. in Response to Drought. Sci. Rep. 2023, 13, 2486. [Google Scholar] [CrossRef] [PubMed]
- Feng, M.; Yu, Q.; Chen, Y.; Fu, Z.; Xu, L.; Guo, J. ScMT10, a Metallothionein-like Gene from Sugarcane, Enhances Freezing Tolerance in Nicotiana tabacum Transgenic Plants. Environ. Exp. Bot. 2022, 194, 104750. [Google Scholar] [CrossRef]
- Nishimura, S.; Tatano, S.; Miyamoto, Y.; Ohtani, K.; Fukumoto, T.; Gomi, K.; Tada, Y.; Ichimura, K.; Akimitsu, K. A Zinc-Binding Citrus Protein Metallothionein Can Act as a Plant Defense Factor by Controlling Host-Selective ACR-Toxin Production. Plant Mol. Biol. 2013, 81, 1–11. [Google Scholar] [CrossRef]
- Kumar, G.; Kushwaha, H.R.; Panjabi-Sabharwal, V.; Kumari, S.; Joshi, R.; Karan, R.; Mittal, S.; Pareek, S.L.S.; Pareek, A. Clustered Metallothionein Genes Are Co-Regulated in Rice and Ectopic Expression of OsMT1e-P Confers Multiple Abiotic Stress Tolerance in Tobacco via ROS Scavenging. BMC Plant Biol. 2012, 12, 107. [Google Scholar] [CrossRef]
- Mekawy, A.M.M.; Assaha, D.V.M.; Munehiro, R.; Kohnishi, E.; Nagaoka, T.; Ueda, A.; Saneoka, H. Characterization of Type 3 Metallothionein-like Gene (OsMT-3a) from Rice, Revealed Its Ability to Confer Tolerance to Salinity and Heavy Metal Stresses. Environ. Exp. Bot. 2018, 147, 157–166. [Google Scholar] [CrossRef]
- Jin, S.; Xu, C.; Li, G.; Sun, D.; Li, Y.; Wang, X.; Liu, S. Functional Characterization of a Type 2 Metallothionein Gene, SsMT2, from Alkaline-Tolerant Suaeda salsa. Sci. Rep. 2017, 7, 17914. [Google Scholar] [CrossRef]
- Yan, K.; Ablimit, M.; Liu, S.; Liu, Z.; Wang, Y. A Novel Metallothionein Gene HcMT from Halophyte Shrub Halostachys caspica Respond to Cadmium and Sodium Stress. Plant Physiol. Biochem. 2023, 201, 107763. [Google Scholar] [CrossRef]
- Munns, R.; Gilliham, M. Salinity Tolerance of Crops—What Is the Cost? New Phytol. 2015, 208, 668–673. [Google Scholar] [CrossRef]
- Reddy, P.P. Plant Growth Promoting Rhizobacteria for Horticultural Crop Protection; Springer: New Delhi, India, 2014. [Google Scholar]
- Antoszewski, M.; Mierek-Adamska, A.; Dąbrowska, G.B. The Importance of Microorganisms for Sustainable Agriculture—A Review. Metabolites 2022, 12, 1100. [Google Scholar] [CrossRef]
- Giannelli, G.; Potestio, S.; Visioli, G. The Contribution of PGPR in Salt Stress Tolerance in Crops: Unravelling the Molecular Mechanisms of Cross-Talk between Plant and Bacteria. Plants 2023, 12, 2197. [Google Scholar] [CrossRef] [PubMed]
- Piernik, A.; Hrynkiewicz, K.; Wojciechowska, A.; Szymańska, S.; Lis, M.I.; Muscolo, A. Effect of Halotolerant Endophytic Bacteria Isolated from Salicornia europaea L. on the Growth of Fodder Beet (Beta vulgaris L.) under Salt Stress. Arch. Agron. Soil Sci. 2017, 63, 1404–1418. [Google Scholar] [CrossRef]
- El-Esawi, M.A.; Alaraidh, I.A.; Alsahli, A.A.; Alzahrani, S.M.; Ali, H.M.; Alayafi, A.A.; Ahmad, M. Serratia liquefaciens KM4 Improves Salt Stress Tolerance in Maize by Regulating Redox Potential, Ion Homeostasis, Leaf Gas Exchange and Stress-Related Gene Expression. Int. J. Mol. Sci. 2018, 19, 3310. [Google Scholar] [CrossRef] [PubMed]
- Shen, J.; Liu, Y.; Wang, X.; Bai, J.; Lin, L.; Luo, F.; Zhong, H. A Comprehensive Review of Health-Benefiting Components in Rapeseed Oil. Nutrients 2023, 15, 999. [Google Scholar] [CrossRef]
- Raboanatahiry, N.; Li, H.; Yu, L.; Li, M. Rapeseed (Brassica napus): Processing, Utilization, and Genetic Improvement. Agronomy 2021, 11, 1776. [Google Scholar] [CrossRef]
- Borges, C.E.; Santos Veloso, R.; Conceição, C.A.; Mendes, D.S.; Ramirez-Cabral, N.Y.; Shabani, F.; Shafapourtehrany, M.; Nery, M.C.; Silva, R.S. Forecasting Brassica Napus Production under Climate Change with a Mechanistic Species Distribution Model. Sci. Rep. 2023, 13, 12656. [Google Scholar] [CrossRef]
- Kyriakidou, M.; Tai, H.H.; Anglin, N.L.; Ellis, D.; Strömvik, M.V. Current Strategies of Polyploid Plant Genome Sequence Assembly. Front. Plant Sci. 2018, 9, 1660. [Google Scholar] [CrossRef]
- Lane, B.; Kajioka, R.; Kennedy, T. The Wheat-Germ Ec Protein Is a Zinc-Containing Metallothionein. Biochem. Cell Biol. 1987, 65, 1001–1005. [Google Scholar] [CrossRef]
- Dąbrowska, G.; Mierek-Adamska, A.; Goc, A. Characterisation of Brassica napus L. Metallothionein Genes (BnMTs) Expression in Organs and during Seed Germination. Aust. J. Crop Sci. 2013, 7, 1324–1332. [Google Scholar]
- Hrynkiewicz, K.; Baum, C.; Leinweber, P. Density, Metabolic Activity, and Identity of Cultivable Rhizosphere Bacteria on Salix viminalis in Disturbed Arable and Landfill Soils. J. Plant Nutr. Soil Sci. 2010, 173, 747–756. [Google Scholar] [CrossRef]
- Hrynkiewicz, K.; Złoch, M.; Kowalkowski, T.; Baum, C.; Niedojadło, K.; Buszewski, B. Strain-Specific Bioaccumulation and Intracellular Distribution of Cd2+ in Bacteria Isolated from the Rhizosphere, Ectomycorrhizae, and Fruitbodies of Ectomycorrhizal Fungi. Environ. Sci. Pollut. Res. 2015, 22, 3055–3067. [Google Scholar] [CrossRef] [PubMed]
- Pu, C.-H.; Lin, S.-K.; Chuang, W.-C.; Shyu, T.-H. Modified QuEChERS Method for 24 Plant Growth Regulators in Grapes Using LC-MS/MS. J. Food Drug Anal. 2018, 26, 637–648. [Google Scholar] [CrossRef] [PubMed]
- Pawełek, A.; Wyszkowska, J.; Cecchetti, D.; Dinka, M.D.; Przybylski, K.; Szmidt-Jaworska, A. The Physiological and Biochemical Response of Field Bean (Vicia faba L. (Partim)) to Electromagnetic Field Exposure Is Influenced by Seed Age, Light Conditions, and Growth Media. Agronomy 2022, 12, 2161. [Google Scholar] [CrossRef]
- Ma, L.; Wu, J.; Qi, W.; Coulter, J.A.; Fang, Y.; Li, X.; Liu, L.; Jin, J.; Niu, Z.; Yue, J.; et al. Screening and Verification of Reference Genes for Analysis of Gene Expression in Winter Rapeseed (Brassica rapa L.) under Abiotic Stress. PLoS ONE 2020, 15, 0236577. [Google Scholar] [CrossRef]
- Xie, F.; Wang, J.; Zhang, B. RefFinder: A Web-Based Tool for Comprehensively Analyzing and Identifying Reference Genes. Funct. Integr. Genomics 2023, 23, 125. [Google Scholar] [CrossRef]
- Wang, Y.; Mostafa, S.; Zeng, W.; Jin, B. Function and Mechanism of Jasmonic Acid in Plant Responses to Abiotic and Biotic Stresses. Int. J. Mol. Sci. 2021, 22, 8568. [Google Scholar] [CrossRef]
- Benjamin, G.; Pandharikar, G.; Frendo, P. Salicylic Acid in Plant Symbioses: Beyond Plant Pathogen Interactions. Biology 2022, 11, 861. [Google Scholar] [CrossRef]
- Feng, Y.; Cui, J.; Zhou, T.; Liu, Y.; Yue, C.; Huang, J.; Hua, Y. Comprehensive Dissection into Morpho-Physiologic Responses, Ionomic Homeostasis, and Transcriptomic Profiling Reveals the Systematic Resistance of Allotetraploid Rapeseed to Salinity. BMC Plant Biol. 2020, 20, 534. [Google Scholar] [CrossRef]
- Sabagh, A.E.L.; Islam, M.S.; Skalicky, M.; Raza, M.A.; Singh, K.; Hossain, M.A.; Hossain, A.; Mahboob, W.; Iqbal, M.A.; Ratnasekera, D.; et al. Salinity Stress in Wheat (Triticum aestivum L.) in the Changing Climate: Adaptation and Management Strategies. Front. Agron. 2021, 3, 661932. [Google Scholar] [CrossRef]
- Khataar, M.; Mohammadi, M.H.; Shabani, F. Soil Salinity and Matric Potential Interaction on Water Use, Water Use Efficiency and Yield Response Factor of Bean and Wheat. Sci. Rep. 2018, 8, 2679. [Google Scholar] [CrossRef]
- Parihar, P.; Singh, S.; Singh, R.; Singh, V.P.; Prasad, S.M. Effect of Salinity Stress on Plants and Its Tolerance Strategies: A Review. Environ. Sci. Pollut. Res. 2015, 22, 4056–4075. [Google Scholar] [CrossRef] [PubMed]
- Pushpavalli, R.; Quealy, J.; Colmer, T.D.; Turner, N.C.; Siddique, K.H.M.; Rao, M.V.; Vadez, V. Salt Stress Delayed Flowering and Reduced Reproductive Success of Chickpea (Cicer arietinum L.), a Response Associated with Na+ Accumulation in Leaves. J. Agron. Crop Sci. 2016, 202, 125–138. [Google Scholar] [CrossRef]
- Ghanem, M.E.; Elteren, J.; Albacete, A.; Quinet, M.; Martínez-Andújar, C.; Kinet, J.-M.; Pérez-Alfocea, F.; Lutts, S. Impact of Salinity on Early Reproductive Physiology of Tomato (Solanum lycopersicum) in Relation to a Heterogeneous Distribution of Toxic Ions in Flower Organs. Funct. Plant Biol. 2009, 36, 125–136. [Google Scholar] [CrossRef] [PubMed]
- Ashraf, M.; McNeilly, T. Salinity Tolerance in Brassica Oilseeds. CRC Crit. Rev. Plant Sci. 2004, 23, 157–174. [Google Scholar] [CrossRef]
- Fang, Y.; Li, J.; Jiang, J.; Geng, Y.; Wang, J.; Wang, Y. Physiological and Epigenetic Analyses of Brassica napus Seed Germination in Response to Salt Stress. Acta Physiol. Plant. 2017, 39, 128. [Google Scholar] [CrossRef]
- Janczak, K.; Hrynkiewicz, K.; Znajewska, Z.; Dąbrowska, G. Use of Rhizosphere Microorganisms in the Biodegradation of PLA and PET Polymers in Compost Soil. Int. Biodeter. Biodegr. 2018, 130, 65–75. [Google Scholar] [CrossRef]
- Nordstedt, N.P.; Jones, M.L. Serratia Plymuthica MBSA-MJ1 Increases Shoot Growth and Tissue Nutrient Concentration in Containerized Ornamentals Grown Under Low-Nutrient Conditions. Front. Microbiol. 2021, 12, 788198. [Google Scholar] [CrossRef]
- Pan, B.; Vessey, J.K.; Smith, D.L. Response of Field-Grown Soybean to Co-Inoculation with the Plant Growth Promoting Rhizobacteria Serratia proteamaculans or Serratia liquefaciens, and Bradyrhizobium japonicum Pre-Incubated with Genistein. Eur. J. Agron. 2002, 17, 143–153. [Google Scholar] [CrossRef]
- Chhetri, G.; Kim, H.-J.; Jeon, J.-M.; Yoon, J.-J. Isolation of Massilia Species Capable of Degrading Poly(3-Hydroxybutyrate) Isolated from Eggplant (Solanum melongena L.) Field. Chemosphere 2024, 368, 143776. [Google Scholar] [CrossRef]
- Maxton, A.; Singh, P.; Masih, S.A. ACC Deaminase-Producing Bacteria Mediated Drought and Salt Tolerance in Capsicum annuum. J. Plant Nutr. 2018, 41, 574–583. [Google Scholar] [CrossRef]
- Turhan, E.; Kiran, S.; Ates, Ç.; Ates, O.; Kusvuran, S.; Ellialtioglu, S.S. Ameliorative Effects of Inoculation with Serratia marcescens and Grafting on Growth of Eggplant Seedlings under Salt Stress. J. Plant Nutr. 2020, 43, 594–603. [Google Scholar] [CrossRef]
- Moon, Y.-S.; Khan, M.; Khan, M.A.; Ali, S. Ameliorative Symbiosis of Serratia fonticola (S1T1) under Salt Stress Condition Enhance Growth-Promoting Attributes of Cucumis sativus L. Symbiosis 2023, 89, 283–297. [Google Scholar] [CrossRef]
- Nordstedt, N.P.; Jones, M.L. Genomic Analysis of Serratia plymuthica MBSA-MJ1: A Plant Growth Promoting Rhizobacteria That Improves Water Stress Tolerance in Greenhouse Ornamentals. Front. Microbiol. 2021, 12, 653556. [Google Scholar] [CrossRef]
- Kulkova, I.; Wróbel, B.; Dobrzyński, J. Serratia Spp. as Plant Growth-Promoting Bacteria Alleviating Salinity, Drought, and Nutrient Imbalance Stresses. Front. Microbiol. 2024, 15, 1342331. [Google Scholar] [CrossRef]
- Dąbrowska, G.B.; Turkan, S.; Tylman-Mojżeszek, W.; Mierek-Adamska, A. In Silico Study of the RSH (RelA/SpoT Homologs) Gene Family and Expression Analysis in Response to PGPR Bacteria and Salinity in Brassica napus. Int. J. Mol. Sci. 2021, 22, 10666. [Google Scholar] [CrossRef]
- Szymańska, S.; Dąbrowska, G.B.; Tyburski, J.; Niedojadło, K.; Piernik, A.; Hrynkiewicz, K. Boosting the Brassica napus L. Tolerance to Salinity by the Halotolerant Strain Pseudomonas stutzeri ISE12. Environ. Exp. Bot. 2019, 163, 55–68. [Google Scholar] [CrossRef]
- Zheng, Y.; Wang, X.; Cui, X.; Wang, K.; Wang, Y.; He, Y. Phytohormones Regulate the Abiotic Stress: An Overview of Physiological, Biochemical, and Molecular Responses in Horticultural Crops. Front. Plant Sci. 2023, 13, 1095363. [Google Scholar] [CrossRef]
- Mýtinová, Z.; Motyka, V.; Haisel, D.; Gaudinová, A.; Lubovská, Z.; Wilhelmová, N. Effect of Abiotic Stresses on the Activity of Antioxidative Enzymes and Contents of Phytohormones in Wild Type and AtCKX2 Transgenic Tobacco Plants. Biol. Plant. 2010, 54, 461–470. [Google Scholar] [CrossRef]
- Trifunović-Momčilov, M.; Motyka, V.; Dobrev, P.I.; Marković, M.; Milošević, S.; Jevremović, S.; Dragićević, I.Č.; Subotić, A. Phytohormone Profiles in Non-Transformed and AtCKX Transgenic Centaury (Centaurium erythraea Rafn) Shoots and Roots in Response to Salinity Stress in Vitro. Sci. Rep. 2021, 11, 21471. [Google Scholar] [CrossRef]
- Sawada, H.; Shim, I.-S.; Usui, K. Induction of Benzoic Acid 2-Hydroxylase and Salicylic Acid Biosynthesis—Modulation by Salt Stress in Rice Seedlings. Plant Sci. 2006, 171, 263–270. [Google Scholar] [CrossRef]
- Gharbi, E.; Martínez, J.-P.; Benahmed, H.; Hichri, I.; Dobrev, P.I.; Motyka, V.; Quinet, M.; Lutts, S. Phytohormone Profiling in Relation to Osmotic Adjustment in NaCl-Treated Plants of the Halophyte Tomato Wild Relative Species Solanum chilense Comparatively to the Cultivated Glycophyte Solanum lycopersicum. Plant Sci. 2017, 258, 77–89. [Google Scholar] [CrossRef] [PubMed]
- Yang, W.; Zhou, Z.; Chu, Z. Emerging Roles of Salicylic Acid in Plant Saline Stress Tolerance. Int. J. Mol. Sci. 2023, 24, 3388. [Google Scholar] [CrossRef] [PubMed]
- Li, Z.; Ma, J.; Li, J.; Chen, Y.; Xie, Z.; Tian, Y.; Su, X.; Tian, T.; Shen, T. A Biocontrol Strain of Serratia plymuthica MM Promotes Growth and Controls Fusarium Wilt in Watermelon. Agronomy 2023, 13, 2437. [Google Scholar] [CrossRef]
- Khan, A.L.; Waqas, M.; Hamayun, M.; Al-Harrasi, A.; Al-Rawahi, A.; Lee, I.-J. Co-Synergism of Endophyte Penicillium resedanum LK6 with Salicylic Acid Helped Capsicum annuum in Biomass Recovery and Osmotic Stress Mitigation. BMC Microbiol. 2013, 13, 51. [Google Scholar] [CrossRef] [PubMed]
- Arkhipova, T.N.; Evseeva, N.V.; Tkachenko, O.V.; Burygin, G.L.; Vysotskaya, L.B.; Akhtyamova, Z.A.; Kudoyarova, G.R. Rhizobacteria Inoculation Effects on Phytohormone Status of Potato Microclones Cultivated in Vitro under Osmotic Stress. Biomolecules 2020, 10, 1231. [Google Scholar] [CrossRef]
- Egamberdieva, D.; Wirth, S.J.; Alqarawi, A.A.; Abd-Allah, E.F.; Hashem, A. Phytohormones and Beneficial Microbes: Essential Components for Plants to Balance Stress and Fitness. Front. Microbiol. 2017, 8, 2104. [Google Scholar] [CrossRef]
- Timofeeva, A.M.; Galyamova, M.R.; Sedykh, S.E. How Do Plant Growth-Promoting Bacteria Use Plant Hormones to Regulate Stress Reactions? Plants 2024, 13, 2371. [Google Scholar] [CrossRef]
- Nascimento, F.X.; Glick, B.R.; Rossi, M.J. Isolation and Characterization of Novel Soil- and Plant-Associated Bacteria with Multiple Phytohormone-Degrading Activities Using a Targeted Methodology. Access Microbiol. 2019, 1, 000053. [Google Scholar] [CrossRef]
- Singh, P.; Choudhary, K.K.; Chaudhary, N.; Gupta, S.; Sahu, M.; Tejaswini, B.; Sarkar, S. Salt Stress Resilience in Plants Mediated through Osmolyte Accumulation and Its Crosstalk Mechanism with Phytohormones. Front. Plant Sci. 2022, 13, 1006617. [Google Scholar] [CrossRef]
- Krężel, A.; Maret, W. The Bioinorganic Chemistry of Mammalian Metallothioneins. Chem. Rev. 2021, 121, 14594–14648. [Google Scholar] [CrossRef]
- Dabrowska, G.; Mierek-Adamska, A.; Goc, A. Plant Metallothioneins: Putative Functions Identified by Promoter Analysis in Silico. Acta Biol. Crac. Ser. Bot. 2012, 54, 109–120. [Google Scholar] [CrossRef]
- Ain-Ali, Q.-U.; Mushtaq, N.; Amir, R.; Gul, A.; Tahir, M.; Munir, F. Genome-Wide Promoter Analysis, Homology Modeling and Protein Interaction Network of Dehydration Responsive Element Binding (DREB) Gene Family in Solanum tuberosum. PLoS ONE 2021, 16, 0261215. [Google Scholar] [CrossRef] [PubMed]
- Mei, L.; Zhu, Y.; Liu, H.; Hui, Y.; Xiang, J.; Daud, M.K.; Jiang, S.; Zhu, S. Genome-Wide Characterization on MT Family and Their Expression in Response to Environmental Cues in Upland Cotton (Gossypium hirsutum L.). Int. J. Biol. Macromol. 2022, 198, 54–67. [Google Scholar] [CrossRef] [PubMed]
- Ren, Y.; Zhao, J. Functional Analysis of the Rice Metallothionein Gene OsMT2b Promoter in Transgenic Arabidopsis Plants and Rice Germinated Embryos. Plant Sci. 2009, 176, 528–538. [Google Scholar] [CrossRef]
- Ma, Y.; Xue, M.; Zhang, X.; Chen, S. Genome-Wide Analysis of the Metallothionein Gene Family in Cassava Reveals Its Role in Response to Physiological Stress through the Regulation of Reactive Oxygen Species. BMC Plant Biol. 2023, 23, 227. [Google Scholar] [CrossRef]
- Ahn, Y.O.; Kim, S.H.; Lee, J.; Kim, H.R.; Lee, H.S.; Kwak, S.S. Three Brassica rapa Metallothionein Genes Are Differentially Regulated under Various Stress Conditions. Mol. Biol. Rep. 2012, 39, 2059–2067. [Google Scholar] [CrossRef]
- Cheng, M.; Yuan, H.; Wang, R.; Zou, J.; Liang, T.; Yang, F.; Li, S. Genome-Wide Identification and Analysis of the Metallothionein Genes in Oryza Genus. Int. J. Mol. Sci. 2021, 22, 9651. [Google Scholar] [CrossRef]
- Konieczna, W.; Mierek-Adamska, A.; Chojnacka, N.; Antoszewski, M.; Szydłowska-Czerniak, A.; Dąbrowska, G.B. Characterization of the Metallothionein Gene Family in Avena sativa L. and the Gene Expression during Seed Germination and Heavy Metal Stress. Antioxidants 2023, 12, 1865. [Google Scholar] [CrossRef]
- Hrynkiewicz, K.; Dąbrowska, G.; Baum, C.; Niedojadlo, K.; Leinweber, P. Interactive and Single Effects of Ectomycorrhiza Formation and Bacillus cereus on Metallothionein MT1 Expression and Phytoextraction of Cd and Zn by Willows. Water Air Soil Pollut. 2012, 223, 957–968. [Google Scholar] [CrossRef]
- Obertello, M.; Wall, L.; Laplaze, L.; Nicole, M.; Auguy, F.; Gherbi, H.; Bogusz, D.; Franche, C. Functional Analysis of the Metallothionein Gene cgMT1 Isolated from the Actinorhizal Tree Casuarina glauca. Mol. Plant Microbe Interact. 2007, 20, 1231–1240. [Google Scholar] [CrossRef]
- Kim, Y.-O.; Kang, H. Comparative Expression Analysis of Genes Encoding Metallothioneins in Response to Heavy Metals and Abiotic Stresses in Rice (Oryza sativa) and Arabidopsis thaliana. Biosci. Biotechnol. Biochem. 2018, 82, 1656–1665. [Google Scholar] [CrossRef] [PubMed]
- Konieczna, W.; Mierek-Adamska, A.; Warchoł, M.; Skrzypek, E.; Dąbrowska, G.B. The Involvement of Metallothioneins and Stress Markers in Response to Osmotic Stress in Avena sativa L. J. Agron. Crop Sci. 2023, 209, 371–389. [Google Scholar] [CrossRef]
- Pan, Y.; Zhu, M.; Wang, S.; Ma, G.; Huang, X.; Qiao, C.; Wang, R.; Xu, X.; Liang, Y.; Lu, K.; et al. Genome-Wide Characterization and Analysis of Metallothionein Family Genes That Function in Metal Stress Tolerance in Brassica napus L. Int. J. Mol. Sci. 2018, 19, 2181. [Google Scholar] [CrossRef] [PubMed]
- Mierek-Adamska, A.; Kulasek, M.; Dąbrowska, G.B.; Blindauer, C.A. Type 4 Plant Metallothioneins—Players in Zinc Biofortification? Biol. Rev. 2025, in press. [Google Scholar]
- Kawashima, I.; Kennedy, T.D.; Chino, M.; Lane, B.G. Wheat Ec Metallothionein Genes: Like Mammalian Zn2+ Metallothionein Genes, Wheat Zn2+ Metallothionein Genes Are Conspicuously Expressed during Embryogenesis. Eur. J. Biochem. 1992, 209, 971–976. [Google Scholar] [CrossRef]
- Reynolds, T.L.; Crawford, R.L. Changes in Abundance of an Abscisic Acid-Responsive, Early Cysteine-Labeled Metallothionein Transcript during Pollen Embryogenesis in Bread Wheat (Triticum aestivum). Plant Mol. Biol. 1996, 32, 823–829. [Google Scholar] [CrossRef]
- Ren, Y.; Liu, Y.; Chen, H.; Li, G.; Zhang, X.; Zhao, J. Type 4 Metallothionein Genes Are Involved in Regulating Zn Ion Accumulation in Late Embryo and in Controlling Early Seedling Growth in Arabidopsis. Plant Cell Environ. 2012, 35, 770–789. [Google Scholar] [CrossRef]








| Primer Name | Sequence 5′-3′ | PCR Product Size (bp) |
|---|---|---|
| BnMT1_for | TGGTTCCGCTTGCAAATGTG | 90 |
| BnMT1_rev | CTACAGTTTGACCCGCAGCT | |
| BnMT2_for | CTGTGGTTGTGGATCTGGCT | 118 |
| BnMT2_rev | TGCAACGCCGAAGACAAAAG | |
| BnMT3_for | AGACCCAGTGCGTGAAGAAG | 110 |
| BnMT3_rev | CCCGTTCTCTTCTGCACCAT | |
| BnMT4_for | AGGCAAAGGAACCTCAGTCG | 112 |
| BnMT4_rev | TTGATCCCCACCAGATGCTG | |
| BnPP2A_for | AGGGCTATCACCTTCTC | 85 |
| BnPP2A_rev | ACACATTGGTCCTTCGT | |
| BnRPL_for | CACACTCACCACCGCAAGGGC | 143 |
| BnRPL_rev | GGATGACGGAAGGCGACGCG | |
| BnSAND_for | ATACCGAGCATACCAGAA | 108 |
| BnSAND_rev | GTGACCCAGCATAGCAGA |
Disclaimer/Publisher’s Note: The statements, opinions and data contained in all publications are solely those of the individual author(s) and contributor(s) and not of MDPI and/or the editor(s). MDPI and/or the editor(s) disclaim responsibility for any injury to people or property resulting from any ideas, methods, instructions or products referred to in the content. |
© 2025 by the authors. Licensee MDPI, Basel, Switzerland. This article is an open access article distributed under the terms and conditions of the Creative Commons Attribution (CC BY) license (https://creativecommons.org/licenses/by/4.0/).
Share and Cite
Mierek-Adamska, A.; Tylman-Mojżeszek, W.; Pawełek, A.; Kulasek, M.; Dąbrowska, G.B. The Potential Role of Brassica napus Metallothioneins in Salt Stress and Interactions with Plant Growth-Promoting Bacteria. Genes 2025, 16, 166. https://doi.org/10.3390/genes16020166
Mierek-Adamska A, Tylman-Mojżeszek W, Pawełek A, Kulasek M, Dąbrowska GB. The Potential Role of Brassica napus Metallothioneins in Salt Stress and Interactions with Plant Growth-Promoting Bacteria. Genes. 2025; 16(2):166. https://doi.org/10.3390/genes16020166
Chicago/Turabian StyleMierek-Adamska, Agnieszka, Wioleta Tylman-Mojżeszek, Agnieszka Pawełek, Milena Kulasek, and Grażyna B. Dąbrowska. 2025. "The Potential Role of Brassica napus Metallothioneins in Salt Stress and Interactions with Plant Growth-Promoting Bacteria" Genes 16, no. 2: 166. https://doi.org/10.3390/genes16020166
APA StyleMierek-Adamska, A., Tylman-Mojżeszek, W., Pawełek, A., Kulasek, M., & Dąbrowska, G. B. (2025). The Potential Role of Brassica napus Metallothioneins in Salt Stress and Interactions with Plant Growth-Promoting Bacteria. Genes, 16(2), 166. https://doi.org/10.3390/genes16020166

