Polygenic Score Approach to Predicting Risk of Metabolic Syndrome
Abstract
1. Introduction
2. Materials and Methods
2.1. Study Group
2.2. Clinical Measurements
2.3. Genotyping
2.4. Statistical Analysis
3. Results
3.1. Association Analysis
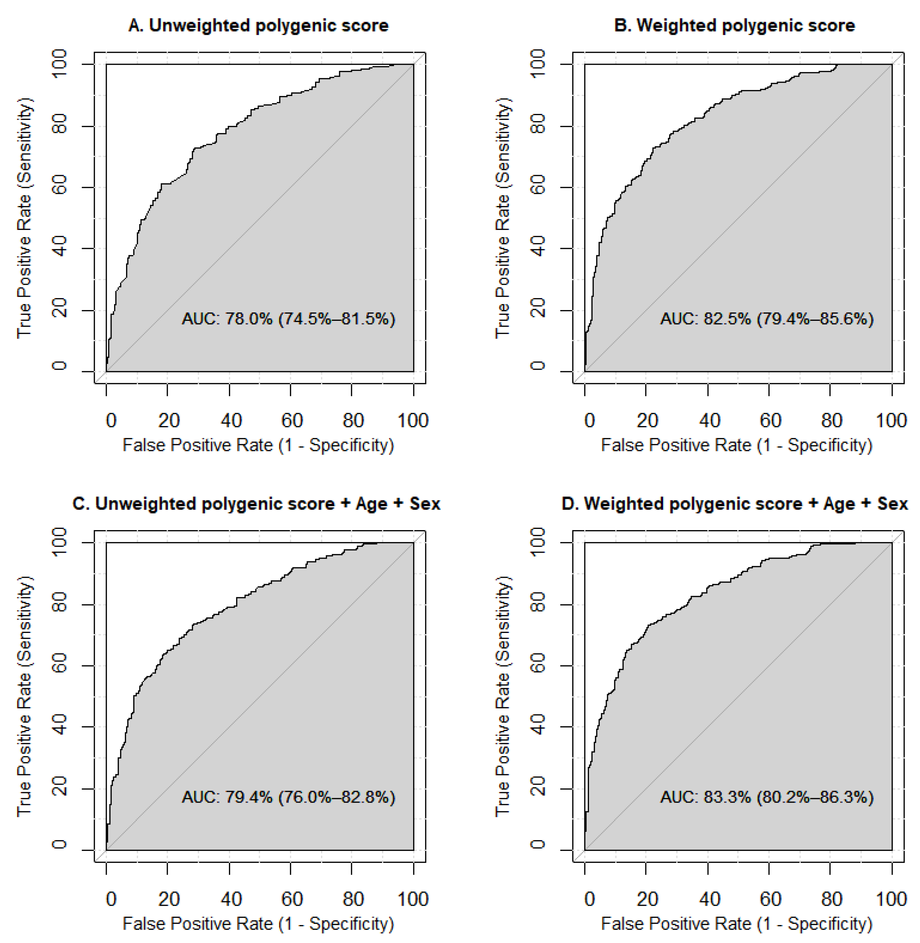
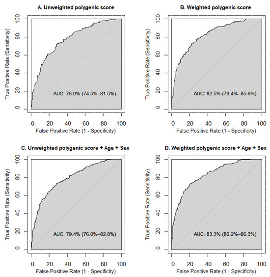
3.2. Polygenic Score Analysis
3.3. Net Reclassification Improvement Analysis
4. Discussion
Study Strengths and Limitations
5. Conclusions
Supplementary Materials
Author Contributions
Funding
Institutional Review Board Statement
Informed Consent Statement
Data Availability Statement
Acknowledgments
Conflicts of Interest
References
- Miranda, P.J.; DeFronzo, R.A.; Califf, R.M.; Guyton, J.R. Metabolic syndrome: Definition, pathophysiology, and mechanisms. Am. Heart J. 2005, 149, 33–45. [Google Scholar] [CrossRef]
- Richards, M.P. A brief review of the archaeological evidence for Palaeolithic and Neolithic subsistence. Eur. J. Clin. Nutr. 2002, 56, 1270–1278. [Google Scholar] [CrossRef] [PubMed]
- Park, S.; Kim, S.; Kim, B.; Kim, D.S.; Kim, J.; Ahn, Y.; Kim, H.; Song, M.; Shim, I.; Jung, S.H.; et al. Multivariate genomic analysis of 5 million people elucidates the genetic architecture of shared components of the metabolic syndrome. Nat. Genet. 2024, 56, 2380–2391. [Google Scholar] [CrossRef] [PubMed]
- Kraja, A.T.; Vaidya, D.; Pankow, J.S.; Goodarzi, M.O.; Assimes, T.L.; Kullo, I.J.; Sovio, U.; Mathias, R.A.; Sun, Y.V.; Franceschini, N.; et al. A Bivariate Genome-Wide Approach to Metabolic Syndrome: STAMPEED Consortium. Diabetes 2011, 60, 1329–1339. [Google Scholar] [CrossRef] [PubMed]
- Kristiansson, K.; Perola, M.; Tikkanen, E.; Kettunen, J.; Surakka, I.; Havulinna, A.S.; Stančáková, A.; Barnes, C.; Widen, E.; Kajantie, E.; et al. Genome-Wide Screen for Metabolic Syndrome Susceptibility Loci Reveals Strong Lipid Gene Contribution But No Evidence for Common Genetic Basis for Clustering of Metabolic Syndrome Traits. Circ. Cardiovasc. Genet. 2012, 5, 242–249. [Google Scholar] [CrossRef]
- Timasheva, Y.; Balkhiyarova, Z.; Avzaletdinova, D.; Rassoleeva, I.; Morugova, T.V.; Korytina, G.; Prokopenko, I.; Kochetova, O. Integrating common risk factors with polygenic scores improves the prediction of type 2 diabetes. Int. J. Mol. Sci. 2023, 24, 984. [Google Scholar] [CrossRef]
- Timasheva, Y.; Balkhiyarova, Z.; Avzaletdinova, D.; Morugova, T.; Korytina, G.F.; Nouwen, A.; Prokopenko, I.; Kochetova, O. Mendelian Randomization Analysis Identifies Inverse Causal Relationship between External Eating and Metabolic Phenotypes. Nutrients 2024, 16, 1166. [Google Scholar] [CrossRef]
- Kochetova, O.V.; Viktorova, T.V.; Mustafina, O.E.; Karpov, A.A.; Khusnutdinova, E.K. Genetic association of ADRA2A and ADRB3 genes with metabolic syndrome among the Tatars. Russ. J. Genet. 2015, 51, 711–714. [Google Scholar] [CrossRef]
- Kochetova, O.V.; Avzaletdinova, D.S.; Morugova, T.V.; Mustafina, O.E. Chemokine gene polymorphisms association with increased risk of type 2 diabetes mellitus in Tatar ethnic group, Russia. Mol. Biol. Rep. 2019, 46, 887–896. [Google Scholar] [CrossRef] [PubMed]
- Beecham, A.H.; Patsopoulos, N.A.; Xifara, D.K.; Davis, M.F.; Kemppinen, A.; Cotsapas, C.; Shah, T.S.; Spencer, C.; Booth, D.; Goris, A.; et al. Analysis of immune-related loci identifies 48 new susceptibility variants for multiple sclerosis. Nat. Genet. 2013, 45, 1353–1360. [Google Scholar] [CrossRef] [PubMed]
- Pahwa, R.; Adams-Huet, B.; Jialal, I. The effect of increasing body mass index on cardio-metabolic risk and biomarkers of oxidative stress and inflammation in nascent metabolic syndrome. J. Diabetes Complicat. 2017, 31, 810–813. [Google Scholar] [CrossRef]
- Kochetova, O.V.; Avzaletdinova, D.S.; Korytina, G.F. Association of inflammation gene polymorphism with increased risk of metabolic syndrome in tatar ethnic group. Russ. Open Med. J. 2022, 11, 305. [Google Scholar] [CrossRef]
- Korytina, G.F.; Aznabaeva, Y.G.; Akhmadishina, L.Z.; Kochetova, O.V.; Nasibullin, T.R.; Zagidullin, N.S.; Zagidullin, S.Z.; Viktorova, T.V. The Relationship Between Chemokine and Chemokine Receptor Genes Polymorphisms and Chronic Obstructive Pulmonary Disease Susceptibility in Tatar Population from Russia: A Case Control Study. Biochem. Genet. 2022, 60, 54–79. [Google Scholar] [CrossRef]
- Kochetova, O.V.; Akhmadishina, L.Z.; Korytina, G.F.; Karpov, A.A.; Mustafina, O.E. Association of obesity susceptibility gene variants with metabolic syndrome in women. Obes. Metab. 2017, 14, 33–40. [Google Scholar] [CrossRef][Green Version]
- Graae, A.S.; Hollensted, M.; Kloppenborg, J.T.; Mahendran, Y.; Schnurr, T.M.; Appel, E.V.R.; Rask, J.; Nielsen, T.R.H.; Johansen, M.; Linneberg, A.; et al. An adult-based insulin resistance genetic risk score associates with insulin resistance, metabolic traits and altered fat distribution in Danish children and adolescents who are overweight or obese. Diabetologia 2018, 61, 1769–1779. [Google Scholar] [CrossRef]
- Seral-Cortes, M.; Sabroso-Lasa, S.; De Miguel-Etayo, P.; Gonzalez-Gross, M.; Gesteiro, E.; Molina-Hidalgo, C.; De Henauw, S.; Erhardt, É.; Censi, L.; Manios, Y.; et al. Interaction Effect of the Mediterranean Diet and an Obesity Genetic Risk Score on Adiposity and Metabolic Syndrome in Adolescents: The HELENA Study. Nutrients 2020, 12, 3841. [Google Scholar] [CrossRef] [PubMed]
- Nagrani, R.; Foraita, R.; Gianfagna, F.; Iacoviello, L.; Marild, S.; Michels, N.; Molnár, D.; Moreno, L.; Russo, P.; Veidebaum, T.; et al. Common genetic variation in obesity, lipid transfer genes and risk of Metabolic Syndrome: Results from IDEFICS/I.Family study and meta-analysis. Sci. Rep. 2020, 10, 7189. [Google Scholar] [CrossRef]
- Grundy, S.M.; Cleeman, J.I.; Daniels, S.R.; Donato, K.A.; Eckel, R.H.; Franklin, B.A.; Gordon, D.J.; Krauss, R.M.; Savage, P.J.; Smith, S.C.; et al. Diagnosis and Management of the Metabolic Syndrome. Circulation. 2005, 112, 2735–2752. [Google Scholar] [CrossRef] [PubMed]
- Huang, P.L. A comprehensive definition for metabolic syndrome. Dis. Models Mech. 2009, 2, 231–237. [Google Scholar] [CrossRef]
- World Health Organization. Physical Status: The Use and Interpretation Of Anthropometry, Report of a WHO Expert Committee; World Health Organization technical report series; WHO: Geneva, Switzerland, 1995; Volume 854, p. 463. [Google Scholar]
- Parati, G.; Stergiou, G.; O’Brien, E.; Asmar, R.; Beilin, L.; Bilo, G.; Clement, D.; de la Sierra, A.; de Leeuw, P.; Dolan, E.; et al. European Society of Hypertension practice guidelines for ambulatory blood pressure monitoring. J. Hypertens. 2014, 32, 1359–1366. [Google Scholar] [CrossRef] [PubMed]
- Matthews, D.R.; Hosker, J.P.; Rudenski, A.S.; Naylor, B.A.; Treacher, D.F.; Turner, R.C. Homeostasis model assessment: Insulin resistance and β-cell function from fasting plasma glucose and insulin concentrations in man. Diabetologia 1985, 28, 412–419. [Google Scholar] [CrossRef] [PubMed]
- Kochetova, O.V.; Avzaletdinova, D.S.; Korytina, G.F.; Morugova, T.V.; Mustafina, O.E. The association between eating behavior and polymorphisms in GRIN2B, GRIK3, GRIA1 and GRIN1 genes in people with type 2 diabetes mellitus. Mol. Biol. Rep. 2020, 47, 2035–2046. [Google Scholar] [CrossRef]
- Avzaletdinova, D.S.; Sharipova, L.F.; Kochetova, O.V.; Morugova, T.V.; Mustafina, O.E. Association of adiponectin gene alleles with type 2 diabetes mellitus in residents of Bashkortostan. Probl. Endokrinol. 2019, 65, 31–38. [Google Scholar] [CrossRef] [PubMed]
- Krylov, M.Y.; Benevolenskaya, L.; Myakotkin, V.; Krylov, M.Y. Leptin A19G polymorphism and leptin receptor Gln223Arg and Lys109Arg polymorphismsin postmenopausal osteoporosis. Nauchno-Prakt. Revmatol. 2010, 48, 27–31. [Google Scholar] [CrossRef]
- Khan, I.A.; Jahan, P.; Hasan, Q.; Rao, P. Validation of the association of TCF7L2 and SLC30A8 gene polymorphisms with post-transplant diabetes mellitus in Asian Indian population. Intractable Rare Dis. Res. 2015, 4, 87–92. [Google Scholar] [CrossRef] [PubMed]
- Wang, J.; Yan, G.; Zhang, J.; Gao, K.; Zhang, M.; Li, L.; Wang, Y.; Wang, Q.; Zhai, Y.; You, H.; et al. Association of LRP5, TCF7L2, and GCG variants and type 2 diabetes mellitus as well as fasting plasma glucose and lipid metabolism indexes. Hum. Immunol. 2015, 76, 339–343. [Google Scholar] [CrossRef] [PubMed]
- Munoz-Barrios, S.; Guzman-Guzman, I.P.; Munoz-Valle, J.F.; Salgado-Bernabe, A.B.; Salgado-Goytia, L.; Parra-Rojas, I. Association of the HindIII and S447X polymorphisms in LPL gene with hypertension and type 2 diabetes in Mexican families. Dis. Markers 2012, 33, 313–320. [Google Scholar] [CrossRef]
- Aoki, M.N.; da Silva do Amaral Herrera, A.C.; Amarante, M.K.; do Val Carneiro, J.L.; Fungaro, M.H.P.; Watanabe, M.A.E. CCR5 and p53 codon 72 gene polymorphisms: Implications in breast cancer development. Int. J. Mol. Med. 2009, 23, 429–435. [Google Scholar] [CrossRef][Green Version]
- Chang, C.C.; Chow, C.C.; Tellier, L.C.; Vattikuti, S.; Purcell, S.M.; Lee, J.J. Second-generation PLINK: Rising to the challenge of larger and richer datasets. Gigascience 2015, 4, 7. [Google Scholar] [CrossRef]
- Benjamini, Y.; Hochberg, Y. Controlling the False Discovery Rate—A Practical and Powerful Approach to Multiple Testing. J. R. Stat. Soc. B 1995, 57, 289–300. [Google Scholar] [CrossRef]
- Canela-Xandri, O.; Rawlik, K.; Tenesa, A. An atlas of genetic associations in UK Biobank. Nat. Genet. 2018, 50, 1593–1599. [Google Scholar] [CrossRef] [PubMed]
- Kolde, R. pheatmap: Pretty Heatmaps. R Package Version 1.0.12, 2019. Available online: https://CRAN.R-project.org/package=pheatmap (accessed on 22 December 2024).
- Carstensen, B.; Plummer, M.; Laara, E.; Hills, M. Epi: Statistical Analysis in Epidemiology. R Package Version 2.44. 2020. Available online: https://CRAN.R-project.org/package=Epi (accessed on 22 December 2024).
- Robin, X.; Turck, N.; Hainard, A.; Tiberti, N.; Lisacek, F.; Sanchez, J.-C.; Müller, M. pROC: An open-source package for R and S+ to analyze and compare ROC curves. BMC Bioinform. 2011, 12, 77. [Google Scholar] [CrossRef] [PubMed]
- Pencina, M.J.; D’Agostino Sr, R.B.; D’Agostino Jr, R.B.; Vasan, R.S. Evaluating the added predictive ability of a new marker: From area under the ROC curve to reclassification and beyond. Stat. Med. 2008, 27, 157–172. [Google Scholar] [CrossRef]
- Inoue, E. nricens: NRI for Risk Prediction Models with Time to Event and Binary Response Data. R Package Version 1.6. 2018. Available online: https://CRAN.R-project.org/package=nricens (accessed on 22 December 2024).
- Sim, X.; Ong, R.T.; Suo, C.; Tay, W.T.; Liu, J.; Ng, D.P.; Boehnke, M.; Chia, K.S.; Wong, T.Y.; Seielstad, M.; et al. Transferability of type 2 diabetes implicated loci in multi-ethnic cohorts from Southeast Asia. PLoS Genet. 2011, 7, e1001363. [Google Scholar] [CrossRef]
- Surendran, P.; Feofanova, E.V.; Lahrouchi, N.; Ntalla, I.; Karthikeyan, S.; Cook, J.; Chen, L.; Mifsud, B.; Yao, C.; Kraja, A.T.; et al. Discovery of rare variants associated with blood pressure regulation through meta-analysis of 1.3 million individuals. Nat. Genet. 2020, 52, 1314–1332. [Google Scholar] [CrossRef] [PubMed]
- Palmer, C.J.; Bruckner, R.J.; Paulo, J.A.; Kazak, L.; Long, J.Z.; Mina, A.I.; Deng, Z.; LeClair, K.B.; Hall, J.A.; Hong, S.; et al. Cdkal1, a type 2 diabetes susceptibility gene, regulates mitochondrial function in adipose tissue. Mol. Metab. 2017, 6, 1212–1225. [Google Scholar] [CrossRef] [PubMed]
- Stancáková, A.; Kuulasmaa, T.; Paananen, J.; Jackson, A.U.; Bonnycastle, L.L.; Collins, F.S.; Boehnke, M.; Kuusisto, J.; Laakso, M. Association of 18 confirmed susceptibility loci for type 2 diabetes with indices of insulin release, proinsulin conversion, and insulin sensitivity in 5,327 nondiabetic Finnish men. Diabetes 2009, 58, 2129–2136. [Google Scholar] [CrossRef] [PubMed]
- Miyaki, K.; Oo, T.; Song, Y.; Lwin, H.; Tomita, Y.; Hoshino, H.; Suzuki, N.; Muramatsu, M. Association of a cyclin-dependent kinase 5 regulatory subunit-associated protein 1-like 1 (CDKAL1) polymorphism with elevated hemoglobin A1c levels and the prevalence of metabolic syndrome in Japanese men: Interaction with dietary energy intake. Am. J. Epidemiol. 2010, 172, 985–991. [Google Scholar] [CrossRef] [PubMed]
- Kang, J.; Guan, R.C.; Zhao, Y.; Chen, Y. Obesity-related loci in TMEM18, CDKAL1 and FAIM2 are associated with obesity and type 2 diabetes in Chinese Han patients. BMC Med. Genet. 2020, 21, 65. [Google Scholar] [CrossRef] [PubMed]
- Li, G.; Li, Y.; Han, L.; Wang, D.; Zhang, Q.; Xiao, X.; Qi, L.; Willi, S.M.; Li, M.; Mi, J.; et al. Interaction between early environment and genetic predisposition instigates the metabolically obese, normal weight phenotype in children: Findings from the BCAMS study. Eur. J. Endocrinol. 2020, 182, 393–403. [Google Scholar] [CrossRef] [PubMed]
- Chen, C.Y.; Chen, T.T.; Feng, Y.A.; Yu, M.; Lin, S.C.; Longchamps, R.J.; Wang, S.H.; Hsu, Y.H.; Yang, H.I.; Kuo, P.H.; et al. Analysis across Taiwan Biobank, Biobank Japan, and UK Biobank identifies hundreds of novel loci for 36 quantitative traits. Cell Genom. 2023, 3, 100436. [Google Scholar] [CrossRef]
- Kichaev, G.; Bhatia, G.; Loh, P.R.; Gazal, S.; Burch, K.; Freund, M.K.; Schoech, A.; Pasaniuc, B.; Price, A.L. Leveraging Polygenic Functional Enrichment to Improve GWAS Power. Am. J. Hum. Genet. 2019, 104, 65–75. [Google Scholar] [CrossRef]
- Harris, B.H.L.; Di Giovannantonio, M.; Zhang, P.; Harris, D.A.; Lord, S.R.; Allen, N.E.; Maughan, T.S.; Bryant, R.J.; Harris, A.L.; Bond, G.L.; et al. New role of fat-free mass in cancer risk linked with genetic predisposition. Sci. Rep. 2024, 14, 7270. [Google Scholar] [CrossRef] [PubMed]
- Justice, A.E.; Winkler, T.W.; Feitosa, M.F.; Graff, M.; Fisher, V.A.; Young, K.; Barata, L.; Deng, X.; Czajkowski, J.; Hadley, D.; et al. Genome-wide meta-analysis of 241,258 adults accounting for smoking behaviour identifies novel loci for obesity traits. Nat. Commun. 2017, 8, 14977. [Google Scholar] [CrossRef] [PubMed]
- Kitamoto, A.; Kitamoto, T.; Mizusawa, S.; Teranishi, H.; So, R.; Matsuo, T.; Nakata, Y.; Hyogo, H.; Ochi, H.; Nakamura, T.; et al. NUDT3 rs206936 is associated with body mass index in obese Japanese women. Endocr. J. 2013, 60, 991–1000. [Google Scholar] [CrossRef] [PubMed]
- Saeed, S.; Bonnefond, A.; Tamanini, F.; Mirza, M.U.; Manzoor, J.; Janjua, Q.M.; Din, S.M.; Gaitan, J.; Milochau, A.; Durand, E.; et al. Loss-of-function mutations in ADCY3 cause monogenic severe obesity. Nat. Genet. 2018, 50, 175–179. [Google Scholar] [CrossRef] [PubMed]
- Grarup, N.; Moltke, I.; Andersen, M.K.; Dalby, M.; Vitting-Seerup, K.; Kern, T.; Mahendran, Y.; Jorsboe, E.; Larsen, C.V.L.; Dahl-Petersen, I.K.; et al. Loss-of-function variants in ADCY3 increase risk of obesity and type 2 diabetes. Nat. Genet. 2018, 50, 172–174. [Google Scholar] [CrossRef] [PubMed]
- Loid, P.; Mustila, T.; Mäkitie, R.E.; Viljakainen, H.; Kämpe, A.; Tossavainen, P.; Lipsanen-Nyman, M.; Pekkinen, M.; Mäkitie, O. Rare Variants in Genes Linked to Appetite Control and Hypothalamic Development in Early-Onset Severe Obesity. Front. Endocrinol. 2020, 11, 81. [Google Scholar] [CrossRef]
- Shunmugam, V.; Say, Y.H. Evaluation of Association of ADRA2A rs553668 and ACE I/D Gene Polymorphisms with Obesity Traits in the Setapak Population, Malaysia. Iran. Red Crescent Med. J. 2016, 18, e22452. [Google Scholar] [CrossRef] [PubMed]
- Ma, L.; Tataranni, P.A.; Hanson, R.L.; Infante, A.M.; Kobes, S.; Bogardus, C.; Baier, L.J. Variations in peptide YY and Y2 receptor genes are associated with severe obesity in Pima Indian men. Diabetes 2005, 54, 1598–1602. [Google Scholar] [CrossRef] [PubMed]
- Friedlander, Y.; Li, G.; Fornage, M.; Williams, O.D.; Lewis, C.E.; Schreiner, P.; Pletcher, M.J.; Enquobahrie, D.; Williams, M.; Siscovick, D.S. Candidate molecular pathway genes related to appetite regulatory neural network, adipocyte homeostasis and obesity: Results from the CARDIA Study. Ann. Hum. Genet. 2010, 74, 387–398. [Google Scholar] [CrossRef]
- Heinrich, M.; Sieg, M.; Kruppa, J.; Nürnberg, P.; Schreier, P.H.; Heilmann-Heimbach, S.; Hoffmann, P.; Nöthen, M.M.; Janke, J.; Pischon, T.; et al. Association between genetic variants of the cholinergic system and postoperative delirium and cognitive dysfunction in elderly patients. BMC Med. Genom. 2021, 14, 248. [Google Scholar] [CrossRef]
- Tsermpini, E.E.; Redenšek, S.; Dolžan, V. Genetic Factors Associated With Tardive Dyskinesia: From Pre-clinical Models to Clinical Studies. Front. Pharmacol. 2022, 12, 834129. [Google Scholar] [CrossRef]
- Zhu, Z.; Guo, Y.; Shi, H.; Liu, C.L.; Panganiban, R.A.; Chung, W.; O’Connor, L.J.; Himes, B.E.; Gazal, S.; Hasegawa, K.; et al. Shared genetic and experimental links between obesity-related traits and asthma subtypes in UK Biobank. J. Allergy Clin. Immunol. 2020, 145, 537–549. [Google Scholar] [CrossRef]
- Christakoudi, S.; Evangelou, E.; Riboli, E.; Tsilidis, K.K. GWAS of allometric body-shape indices in UK Biobank identifies loci suggesting associations with morphogenesis, organogenesis, adrenal cell renewal and cancer. Sci. Rep. 2021, 11, 10688. [Google Scholar] [CrossRef] [PubMed]
- Meng, W.; Reel, P.S.; Nangia, C.; Rajendrakumar, A.L.; Hebert, H.L.; Guo, Q.; Adams, M.J.; Zheng, H.; Lu, Z.H.; Ray, D.; et al. A Meta-Analysis of the Genome-Wide Association Studies on Two Genetically Correlated Phenotypes Suggests Four New Risk Loci for Headaches. Phenomics 2023, 3, 64–76. [Google Scholar] [CrossRef]
- Pozhidaev, I.V.; Boiko, A.S.; Loonen, A.J.M.; Paderina, D.Z.; Fedorenko, O.Y.; Tenin, G.; Kornetova, E.G.; Semke, A.V.; Bokhan, N.A.; Wilffert, B.; et al. Association of Cholinergic Muscarinic M4 Receptor Gene Polymorphism with Schizophrenia. Appl. Clin. Genet. 2020, 13, 97–105. [Google Scholar] [CrossRef]
- Lind, L. Genome-Wide Association Study of the Metabolic Syndrome in UK Biobank. Metab. Syndr. Relat. Disord. 2019, 17, 505–511. [Google Scholar] [CrossRef]
- Thorleifsson, G.; Walters, G.B.; Gudbjartsson, D.F.; Steinthorsdottir, V.; Sulem, P.; Helgadottir, A.; Styrkarsdottir, U.; Gretarsdottir, S.; Thorlacius, S.; Jonsdottir, I.; et al. Genome-wide association yields new sequence variants at seven loci that associate with measures of obesity. Nat. Genet. 2009, 41, 18–24. [Google Scholar] [CrossRef] [PubMed]
- Wang, H.; Zhang, F.; Zeng, J.; Wu, Y.; Kemper, K.E.; Xue, A.; Zhang, M.; Powell, J.E.; Goddard, M.E.; Wray, N.R.; et al. Genotype-by-environment interactions inferred from genetic effects on phenotypic variability in the UK Biobank. Sci. Adv. 2019, 5, eaaw3538. [Google Scholar] [CrossRef] [PubMed]
- Marcos-Pasero, H.; Aguilar-Aguilar, E.; de la Iglesia, R.; Espinosa-Salinas, I.; Molina, S.; Colmenarejo, G.; Martínez, J.A.; Ramírez de Molina, A.; Reglero, G.; Loria-Kohen, V. “GENYAL” Study to Childhood Obesity Prevention: Methodology and Preliminary Results. Front. Nutr. 2022, 9, 777384. [Google Scholar] [CrossRef] [PubMed]
- Becer, E.; Ergoren, M.C. Dual Effect of the GHRL Gene Variant in the Molecular Pathogenesis of Obesity. Balk. J. Med. Genet. BJMG 2021, 24, 27–34. [Google Scholar] [CrossRef]
- Imaizumi, T.; Ando, M.; Nakatochi, M.; Yasuda, Y.; Honda, H.; Kuwatsuka, Y.; Kato, S.; Kondo, T.; Iwata, M.; Nakashima, T.; et al. Effect of dietary energy and polymorphisms in BRAP and GHRL on obesity and metabolic traits. Obes. Res. Clin. Pract. 2018, 12, 39–48. [Google Scholar] [CrossRef] [PubMed]
- Dickson, S.L.; Hrabovszky, E.; Hansson, C.; Jerlhag, E.; Alvarez-Crespo, M.; Skibicka, K.P.; Molnar, C.S.; Liposits, Z.; Engel, J.A.; Egecioglu, E. Blockade of central nicotine acetylcholine receptor signaling attenuate ghrelin-induced food intake in rodents. Neuroscience 2010, 171, 1180–1186. [Google Scholar] [CrossRef] [PubMed]
- Leggio, L.; Addolorato, G.; Cippitelli, A.; Jerlhag, E.; Kampov-Polevoy, A.B.; Swift, R.M. Role of feeding-related pathways in alcohol dependence: A focus on sweet preference, NPY, and ghrelin. Alcohol. Clin. Exp. Res. 2011, 35, 194–202. [Google Scholar] [CrossRef] [PubMed]
- Suchankova, P.; Nilsson, S.; von der Pahlen, B.; Santtila, P.; Sandnabba, K.; Johansson, A.; Jern, P.; Engel, J.A.; Jerlhag, E. Genetic variation of the growth hormone secretagogue receptor gene is associated with alcohol use disorders identification test scores and smoking. Addict. Biol. 2016, 21, 481–488. [Google Scholar] [CrossRef]
- Larsson, A.; Edström, L.; Svensson, L.; Söderpalm, B.; Engel, J.A. Voluntary ethanol intake increases extracellular acetylcholine levels in the ventral tegmental area in the rat. Alcohol Alcohol. 2005, 40, 349–358. [Google Scholar] [CrossRef]
- Jerlhag, E.; Egecioglu, E.; Dickson, S.L.; Douhan, A.; Svensson, L.; Engel, J.A. Ghrelin administration into tegmental areas stimulates locomotor activity and increases extracellular concentration of dopamine in the nucleus accumbens. Addict. Biol. 2007, 12, 6–16. [Google Scholar] [CrossRef] [PubMed]
- Liguori, R.; Labruna, G.; Alfieri, A.; Martone, D.; Farinaro, E.; Contaldo, F.; Sacchetti, L.; Pasanisi, F.; Buono, P. The FTO gene polymorphism (rs9939609) is associated with metabolic syndrome in morbidly obese subjects from southern Italy. Mol. Cell. Probes 2014, 28, 195–199. [Google Scholar] [CrossRef]
- Molina-Luque, R.; Ulloa, N.; Romero-Saldaña, M.; Zilic, M.; Gleisner, A.; Lanuza, F.; Molina-Recio, G. Association between the FTO SNP rs9939609 and Metabolic Syndrome in Chilean Children. Nutrients 2021, 13, 2014. [Google Scholar] [CrossRef]
- Ho, C.Y.; Lee, J.I.; Huang, S.P.; Chen, S.C.; Geng, J.H. A Genome-Wide Association Study of Metabolic Syndrome in the Taiwanese Population. Nutrients 2023, 16, 77. [Google Scholar] [CrossRef]
- He, L.; Kernogitski, Y.; Kulminskaya, I.; Loika, Y.; Arbeev, K.G.; Loiko, E.; Bagley, O.; Duan, M.; Yashkin, A.; Ukraintseva, S.V.; et al. Pleiotropic Meta-Analyses of Longitudinal Studies Discover Novel Genetic Variants Associated with Age-Related Diseases. Front. Genet. 2016, 7, 179. [Google Scholar] [CrossRef]
- Peeters, A.V.; Beckers, S.; Verrijken, A.; Mertens, I.; Roevens, P.; Peeters, P.J.; Van Hul, W.; Van Gaal, L.F. Association of SIRT1 gene variation with visceral obesity. Hum. Genet. 2008, 124, 431–436. [Google Scholar] [CrossRef] [PubMed]
- Cruz, M.; Valladares-Salgado, A.; Garcia-Mena, J.; Ross, K.; Edwards, M.; Angeles-Martinez, J.; Ortega-Camarillo, C.; de la Peña, J.E.; Burguete-Garcia, A.I.; Wacher-Rodarte, N.; et al. Candidate gene association study conditioning on individual ancestry in patients with type 2 diabetes and metabolic syndrome from Mexico City. Diabetes Metab. Res. Rev. 2010, 26, 261–270. [Google Scholar] [CrossRef]
- D’Onofrio, N.; Servillo, L.; Balestrieri, M.L. SIRT1 and SIRT6 Signaling Pathways in Cardiovascular Disease Protection. Antioxid. Redox Signal. 2018, 28, 711–732. [Google Scholar] [CrossRef] [PubMed]
- Moynihan, K.A.; Grimm, A.A.; Plueger, M.M.; Bernal-Mizrachi, E.; Ford, E.; Cras-Méneur, C.; Permutt, M.A.; Imai, S. Increased dosage of mammalian Sir2 in pancreatic β cells enhances glucose-stimulated insulin secretion in mice. Cell Metab. 2005, 2, 105–117. [Google Scholar] [CrossRef]
- Sardu, C.; Pieretti, G.; D’Onofrio, N.; Ciccarelli, F.; Paolisso, P.; Passavanti, M.B.; Marfella, R.; Cioffi, M.; Mone, P.; Dalise, A.M.; et al. Inflammatory Cytokines and SIRT1 Levels in Subcutaneous Abdominal Fat: Relationship With Cardiac Performance in Overweight Pre-diabetics Patients. Front. Physiol. 2018, 9, 1030. [Google Scholar] [CrossRef] [PubMed]
- van Walree, E.S.; Jansen, I.E.; Bell, N.Y.; Savage, J.E.; de Leeuw, C.; Nieuwdorp, M.; van der Sluis, S.; Posthuma, D. Disentangling Genetic Risks for Metabolic Syndrome. Diabetes 2022, 71, 2447–2457. [Google Scholar] [CrossRef]
- Tamlander, M.; Mars, N.; Pirinen, M.; Palotie, A.; Daly, M.; Riley-Gills, B.; Jacob, H.; Paul, D.; Runz, H.; John, S.; et al. Integration of questionnaire-based risk factors improves polygenic risk scores for human coronary heart disease and type 2 diabetes. Commun. Biol. 2022, 5, 158. [Google Scholar] [CrossRef] [PubMed]
- Cheng, H.; Sewda, A.; Marquez-Luna, C.; White, S.R.; Whitney, B.M.; Williams-Nguyen, J.; Nance, R.M.; Lee, W.J.; Kitahata, M.M.; Saag, M.S.; et al. Genetic architecture of cardiometabolic risks in people living with HIV. BMC Med. 2020, 18, 288. [Google Scholar] [CrossRef] [PubMed]
- Zhao, J.; Arafat, D.; Brigham, K.L.; Gibson, G. Genetic risk prediction in a small cohort of healthy adults in Atlanta. Genet. Res. 2013, 95, 30–37. [Google Scholar] [CrossRef]
- Morieri, M.L.; Gao, H.; Pigeyre, M.; Shah, H.S.; Sjaarda, J.; Mendonca, C.; Hastings, T.; Buranasupkajorn, P.; Motsinger-Reif, A.A.; Rotroff, D.M.; et al. Genetic Tools for Coronary Risk Assessment in Type 2 Diabetes: A Cohort Study From the ACCORD Clinical Trial. Diabetes Care 2018, 41, 2404–2413. [Google Scholar] [CrossRef] [PubMed]



| Gene | SNV | EA 1 | MA 2 | MAF 3 | PHWE 4 | OR 5 (95%CIOR) 6 | P 7 | PFDR 8 | |
|---|---|---|---|---|---|---|---|---|---|
| Control | MetS | ||||||||
| TNFRSF1B | rs1061624 | A | G | 0.51 | 0.47 | 0.088 | 1.32 (1.04–1.69) | 0.022 | 0.049 |
| LEPR | rs1137100 | G | G | 0.21 | 0.29 | 0.294 | 1.53 (1.17–2.01) | 0.002 | 0.007 |
| CRP | rs2794521 | C | C | 0.21 | 0.29 | 0.546 | 1.51 (1.16–1.97) | 0.002 | 0.007 |
| SEC16B | rs10913469 | T | C | 0.23 | 0.17 | 0.197 | 1.76 (1.3–2.38) | 2.29 × 10−4 | 1.14 × 10−3 |
| ADCY3 | rs17799872 | A | A | 0.08 | 0.13 | 0.498 | 1.57 (1.08–2.29) | 0.018 | 0.041 |
| GHRL | rs696217 | A | A | 0.08 | 0.14 | 0.479 | 1.89 (1.33–2.68) | 3.67 × 10−4 | 1.63 × 10−3 |
| NPY2R | rs1047214 | C | T | 0.52 | 0.38 | 0.067 | 2.12 (1.64–2.74) | 7.47 × 10−9 | 1.50 × 10−7 |
| CDKAL1 | rs9295474 | C | G | 0.36 | 0.16 | 0.827 | 2.63 (1.97–3.5) | 4.47 × 10−11 | 1.79 × 10−9 |
| LPL | rs295 | C | C | 0.25 | 0.35 | 0.789 | 1.46 (1.16–1.85) | 0.002 | 0.006 |
| SIRT1 | rs3818292 | G | G | 0.21 | 0.28 | 0.364 | 1.39 (1.07–1.81) | 0.014 | 0.034 |
| ADRA2A | rs1800544 | G | G | 0.14 | 0.25 | 0.145 | 2.18 (1.62–2.95) | 2.98 × 10−7 | 3.98 × 10−6 |
| BDNF | rs11030107 | G | G | 0.13 | 0.23 | 0.515 | 1.9 (1.38–2.61) | 7.49 × 10−5 | 4.99 × 10−4 |
| CHRM4 | rs2067482 | C | T | 0.08 | 0.04 | 1 | 2.29 (1.34–3.9) | 0.002 | 0.007 |
| CHRM1 | rs2067477 | A | A | 0.04 | 0.12 | 1 | 3.08 (1.91–4.97) | 3.77 × 10−6 | 3.01 × 10−5 |
| HTR3A | rs1062613 | T | T | 0.19 | 0.3 | 0.068 | 2.01 (1.5–2.69) | 2.30 × 10−6 | 2.30 × 10−5 |
| ZBTB42 | rs3803300 | A | A | 0.03 | 0.07 | 1 | 2.34 (1.32–4.16) | 0.004 | 0.010 |
| FTO | rs9939609 | A | A | 0.18 | 0.27 | 0.607 | 1.72 (1.3–2.27) | 1.52 × 10−4 | 8.66 × 10−4 |
| GIPR | rs2302382 | C | A | 0.23 | 0.16 | 0.391 | 1.55 (1.16–2.08) | 0.003 | 0.010 |
| Reference (Age + Sex) | Reference (18SNV Polygenic Score +Age + Sex) | |||||||
|---|---|---|---|---|---|---|---|---|
| 18SNV 1 Polygenic Score + Sex + Age | 40SNV Polygenic Score + Sex + Age | |||||||
| NRI 2 | SE 3 | 95%CI 4 | p-Value 5 | NRI | SE | 95%CI | p-Value | |
| Total | 1.03 | 0.07 | (0.89, 1.16) | 3.42 × 10−50 | −0.11 | 0.16 | (−0.42, 0.23) | 0.507 |
| Cases | 0.55 | 0.04 | (0.45, 0.61) | 1.45 × 10−40 | −0.08 | 0.08 | (−0.25, 0.07) | 0.363 |
| Controls | 0.48 | 0.04 | (0.41, 0.57) | 7.52 × 10−34 | −0.03 | 0.09 | (−0.19, 0.18) | 0.718 |
Disclaimer/Publisher’s Note: The statements, opinions and data contained in all publications are solely those of the individual author(s) and contributor(s) and not of MDPI and/or the editor(s). MDPI and/or the editor(s) disclaim responsibility for any injury to people or property resulting from any ideas, methods, instructions or products referred to in the content. |
© 2024 by the authors. Licensee MDPI, Basel, Switzerland. This article is an open access article distributed under the terms and conditions of the Creative Commons Attribution (CC BY) license (https://creativecommons.org/licenses/by/4.0/).
Share and Cite
Timasheva, Y.; Kochetova, O.; Balkhiyarova, Z.; Korytina, G.; Prokopenko, I.; Nouwen, A. Polygenic Score Approach to Predicting Risk of Metabolic Syndrome. Genes 2025, 16, 22. https://doi.org/10.3390/genes16010022
Timasheva Y, Kochetova O, Balkhiyarova Z, Korytina G, Prokopenko I, Nouwen A. Polygenic Score Approach to Predicting Risk of Metabolic Syndrome. Genes. 2025; 16(1):22. https://doi.org/10.3390/genes16010022
Chicago/Turabian StyleTimasheva, Yanina, Olga Kochetova, Zhanna Balkhiyarova, Gulnaz Korytina, Inga Prokopenko, and Arie Nouwen. 2025. "Polygenic Score Approach to Predicting Risk of Metabolic Syndrome" Genes 16, no. 1: 22. https://doi.org/10.3390/genes16010022
APA StyleTimasheva, Y., Kochetova, O., Balkhiyarova, Z., Korytina, G., Prokopenko, I., & Nouwen, A. (2025). Polygenic Score Approach to Predicting Risk of Metabolic Syndrome. Genes, 16(1), 22. https://doi.org/10.3390/genes16010022

