A Custom qPCR Assay to Simultaneously Quantify Human and Microbial DNA
Abstract
1. Introduction
2. Materials and Methods
2.1. qPCR Assays
2.2. Reproducibility Study
2.3. Bacterial DNA Amplification
2.4. Dataset Creation
2.5. DNA Extraction of Surface Swabs
2.6. Data Analysis
3. Results and Discussion
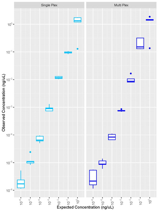
3.1. Multiplex qPCR Assay Development and Reproducibility Study
3.2. Bacterial DNA Amplification
3.3. Dataset Creation
4. Conclusions
Supplementary Materials
Author Contributions
Funding
Institutional Review Board Statement
Informed Consent Statement
Data Availability Statement
Acknowledgments
Conflicts of Interest
References
- Smith, J.A.L. Assessment of the Threat. In Microbial Forensics; Elsevier: Amsterdam, The Netherlands, 2011; pp. 189–197. ISBN 978-0-12-382006-8. [Google Scholar]
- Moitas, B.; Caldas, I.M.; Sampaio-Maia, B. Forensic Microbiology and Geographical Location: A Systematic Review. Aust. J. Forensic Sci. 2023, 56, 416–431. [Google Scholar] [CrossRef]
- Schmedes, S.E.; Woerner, A.E.; Novroski, N.M.M.; Wendt, F.R.; King, J.L.; Stephens, K.M.; Budowle, B. Targeted Sequencing of Clade-Specific Markers from Skin Microbiomes for Forensic Human Identification. Forensic Sci. Int. Genet. 2018, 32, 50–61. [Google Scholar] [CrossRef]
- Cho, H.-W.; Eom, Y.-B. Forensic Analysis of Human Microbiome in Skin and Body Fluids Based on Geographic Location. Front. Cell. Infect. Microbiol. 2021, 11, 695191. [Google Scholar] [CrossRef] [PubMed]
- Tozzo, P.; D’Angiolella, G.; Brun, P.; Castagliuolo, I.; Gino, S.; Caenazzo, L. Skin Microbiome Analysis for Forensic Human Identification: What Do We Know So Far? Microorganisms 2020, 8, 873. [Google Scholar] [CrossRef]
- Yang, M.-Q.; Wang, Z.-J.; Zhai, C.-B.; Chen, L.-Q. Research Progress on the Application of 16S rRNA Gene Sequencing and Machine Learning in Forensic Microbiome Individual Identification. Front. Microbiol. 2024, 15, 1360457. [Google Scholar] [CrossRef]
- Franceschetti, L.; Lodetti, G.; Blandino, A.; Amadasi, A.; Bugelli, V. Exploring the Role of the Human Microbiome in Forensic Identification: Opportunities and Challenges. Int. J. Leg. Med. 2024, 138, 1891–1905. [Google Scholar] [CrossRef] [PubMed]
- Puig, J.; Knödlseder, N.; Quera, J.; Algara, M.; Güell, M. DNA Damage Protection for Enhanced Bacterial Survival Under Simulated Low Earth Orbit Environmental Conditions in Escherichia Coli. Front. Microbiol. 2021, 12, 789668. [Google Scholar] [CrossRef]
- Santos-López, A.; Rodríguez-Beltrán, J.; San Millán, Á. The Bacterial Capsule Is a Gatekeeper for Mobile DNA. PLoS Biol. 2021, 19, e3001308. [Google Scholar] [CrossRef] [PubMed]
- Procopio, N.; Lovisolo, F.; Sguazzi, G.; Ghignone, S.; Voyron, S.; Migliario, M.; Renò, F.; Sellitto, F.; D’Angiolella, G.; Tozzo, P.; et al. “Touch Microbiome” as a Potential Tool for Forensic Investigation: A Pilot Study. J. Forensic Leg. Med. 2021, 82, 102223. [Google Scholar] [CrossRef]
- Fierer, N.; Lauber, C.L.; Zhou, N.; McDonald, D.; Costello, E.K.; Knight, R. Forensic Identification Using Skin Bacterial Communities. Proc. Natl. Acad. Sci. USA 2010, 107, 6477–6481. [Google Scholar] [CrossRef]
- Robinson, J.M.; Pasternak, Z.; Mason, C.E.; Elhaik, E. Forensic Applications of Microbiomics: A Review. Front. Microbiol. 2021, 11, 608101. [Google Scholar] [CrossRef] [PubMed]
- The Forensic Microbiome: The Invisible Traces We Leave Behind. Available online: https://nij.ojp.gov/topics/articles/forensic-microbiome-invisible-traces-we-leave-behind (accessed on 18 July 2024).
- Nodari, R.; Arghittu, M.; Bailo, P.; Cattaneo, C.; Creti, R.; D’Aleo, F.; Saegeman, V.; Franceschetti, L.; Novati, S.; Fernández-Rodríguez, A.; et al. Forensic Microbiology: When, Where and How. Microorganisms 2024, 12, 988. [Google Scholar] [CrossRef] [PubMed]
- García, M.G.; Pérez-Cárceles, M.D.; Osuna, E.; Legaz, I. Impact of the Human Microbiome in Forensic Sciences: A Systematic Review. Appl. Environ. Microbiol. 2020, 86, e01451-20. [Google Scholar] [CrossRef] [PubMed]
- Tambuzzi, S.; Maciocco, F.; Gentile, G.; Boracchi, M.; Bailo, P.; Marchesi, M.; Zoja, R. Applications of Microbiology to Different Forensic Scenarios—A Narrative Review. J. Forensic Leg. Med. 2023, 98, 102560. [Google Scholar] [CrossRef]
- Gouello, A.; Dunyach-Remy, C.; Siatka, C.; Lavigne, J.-P. Analysis of Microbial Communities: An Emerging Tool in Forensic Sciences. Diagnostics 2021, 12, 1. [Google Scholar] [CrossRef]
- Meadow, J.F.; Altrichter, A.E.; Green, J.L. Mobile Phones Carry the Personal Microbiome of Their Owners. PeerJ 2014, 2, e447. [Google Scholar] [CrossRef]
- Lax, S.; Hampton-Marcell, J.T.; Gibbons, S.M.; Colares, G.B.; Smith, D.; Eisen, J.A.; Gilbert, J.A. Forensic Analysis of the Microbiome of Phones and Shoes. Microbiome 2015, 3, 21. [Google Scholar] [CrossRef]
- Burrill, J.; Daniel, B.; Frascione, N. A Review of Trace “Touch DNA” Deposits: Variability Factors and an Exploration of Cellular Composition. Forensic Sci. Int. Genet. 2019, 39, 8–18. [Google Scholar] [CrossRef]
- Poetsch, M.; Markwerth, P.; Konrad, H.; Bajanowski, T.; Helmus, J. About the Influence of Environmental Factors on the Persistence of DNA—A Long-Term Study. Int. J. Leg. Med. 2022, 136, 687–693. [Google Scholar] [CrossRef]
- Kaesler, T.; Kirkbride, K.P.; Linacre, A. Persistence of Touch DNA on Commonly Encountered Substrates in Different Storage Conditions. Forensic Sci. Int. 2023, 348, 111728. [Google Scholar] [CrossRef]
- Ritalahti, K.M.; Amos, B.K.; Sung, Y.; Wu, Q.; Koenigsberg, S.S.; Löffler, F.E. Quantitative PCR Targeting 16S rRNA and Reductive Dehalogenase Genes Simultaneously Monitors Multiple Dehalococcoides Strains. Appl. Environ. Microbiol. 2006, 72, 2765–2774. [Google Scholar] [CrossRef] [PubMed]
- Seashols-Williams, S.; Green, R.; Wohlfahrt, D.; Brand, A.; Tan-Torres, A.L.; Nogales, F.; Brooks, J.P.; Singh, B. An Accurate Bacterial DNA Quantification Assay for HTS Library Preparation of Human Biological Samples. Electrophoresis 2018, 39, 2824–2832. [Google Scholar] [CrossRef]
- Radwan, O.; Gunasekera, T.S.; Ruiz, O.N. Robust Multiplex Quantitative Polymerase Chain Reaction Assay for Universal Detection of Microorganisms in Fuel. Energy Fuels 2018, 32, 10530–10539. [Google Scholar] [CrossRef]
- Conte, J.; Potoczniak, M.J.; Tobe, S.S. Using Synthetic Oligonucleotides as Standards in Probe-Based qPCR. BioTechniques 2018, 64, 177–179. [Google Scholar] [CrossRef] [PubMed]
- Holt, A.; Wootton, S.C.; Mulero, J.J.; Brzoska, P.M.; Langit, E.; Green, R.L. Developmental Validation of the Quantifiler® HP and Trio Kits for Human DNA Quantification in Forensic Samples. Forensic Sci. Int. Genet. 2016, 21, 145–157. [Google Scholar] [CrossRef] [PubMed]
- TaKaRa. Taq™ Hot Start Version [Package Insert]; Takara Bio Inc.: San Jose, CA, USA, 2023. [Google Scholar]
- Grice, E.A.; Kong, H.H.; Renaud, G.; Young, A.C.; Bouffard, G.G.; Blakesley, R.W.; Wolfsberg, T.G.; Turner, M.L.; Segre, J.A. A Diversity Profile of the Human Skin Microbiota. Genome Res. 2008, 18, 1043–1050. [Google Scholar] [CrossRef] [PubMed]
- R Core Team. R: A Language and Environment for Statistical Computing; R Foundation for Statistical Computing: Vienna, Austria, 2023; Available online: https://www.R-project.org/ (accessed on 17 July 2024).
- RStudio Team. RStudio: Integrated Development for R; RStudio PBC: Boston, MA, USA, 2020; Available online: http://www.rstudio.com/ (accessed on 17 July 2024).
- Royston, P. Remark AS R94: A Remark on Algorithm AS 181: The W-Test for Normality. Appl. Stat. 1995, 44, 547. [Google Scholar] [CrossRef]
- Hollander, M.; Wolfe, D.A. Nonparametric Statistical Methods; Wiley series in probability and mathematical statistics Applied probability and statistics; Wiley: New York, NY, USA, 1973; ISBN 978-0-471-40635-8. [Google Scholar]
- Dinno, A. Dunn’s Test: Dunn’s Test of Multiple Comparisons Using Rank Sums, Version 1.3.6; 2014. Available online: https://github.com/deepankardatta/blandr (accessed on 1 April 2024).
- Dunn, O.J. Multiple Comparisons Using Rank Sums. Technometrics 1964, 6, 241–252. [Google Scholar] [CrossRef]
- Wickham, H. Ggplot2: Elegant Graphics for Data Analysis; Springer: New York, NY, USA, 2016. [Google Scholar]
- Datta, D. Blandr: Bland-Altman Method Comparison for R, Version 0.6.0; 2024. Available online: https://github.com/deepankardatta/blandr (accessed on 18 July 2024).
- Bland, J.M.; Altman, D.G. Statistical Methods for Assessing Agreement between Two Methods of Clinical Measurement. Lancet 1986, 1, 307–310. [Google Scholar] [CrossRef]
- Giavarina, D. Understanding Bland Altman Analysis. Biochem. Med. 2015, 25, 141–151. [Google Scholar] [CrossRef]
- Nextera xT DNA Library Prep: Product Documentation; Illumina: San Diego, CA, USA, 2023.
- Ensenberger, M.G.; Lenz, K.A.; Matthies, L.K.; Hadinoto, G.M.; Schienman, J.E.; Przech, A.J.; Morganti, M.W.; Renstrom, D.T.; Baker, V.M.; Gawrys, K.M.; et al. Developmental Validation of the PowerPlex® Fusion 6C System. Forensic Sci. Int. Genet. 2016, 21, 134–144. [Google Scholar] [CrossRef] [PubMed]
- PowerPlex® Fusion 6C System for Use on the Applied Biosystems® Genetic Analyzers; Promega Corporation: Madison, WI, USA, 2023.





| Assay | Quantifiler® HP | Bacterial Single-Plex | Multiplex |
|---|---|---|---|
| Number of Targets | Two | One | Three |
| Master Mix components | HP Reaction and Primer Mixes | 10× buffer containing Mg2+, dNTPs, BSA, Hot Start Taq, bacterial primers and probe, PCR grade water | HP Reaction and Primer Mixes, bacterial primers and probe, PCR grade water |
| Final volume | 20 μL | 30 μL | 25 μL |
| Cycling parameters | Holding stage at 95 °C for 2 min, 40 cycles of 95 °C for 9 s, 60 °C for 30 s | Initial stage at 50 °C for 2 min, 95 °C for 10 min, 40 cycles of 95 °C for 15 s, 52 °C for 1 min, 72 °C for 1 min | Holding stage at 95 °C for 2 min, 40 cycles of 95 °C for 9 s, 60 °C for 30 s |
| Sample Type | N | Description |
|---|---|---|
| Keyboard | 8 | Enter, shift, “e,” “r,” “t,” “a,” “s,” “d,” “f,” “g,” “h,” “j,” “k,” “l,” ctrl, and fn keys |
| Computer Mouse | 8 | Sides, top, and roller |
| Smart Watch | 10 | Entire band, back of screen |
| Elevator button | 4 | Buttons and immediate outside area |
| Cleaning supplies | 4 | Upper 1/3 of handle |
| Sebum deposit | 10 | Forehead of donor was rubbed; fingertip was placed on desktop |
| Dispenser | 4 | Pump of each one hand sanitizer dispenser and three hand soap dispensers |
| Fridge Handle | 2 | Entirety of handle of fridge |
| Dresser Drawer | 2 | Entirety of handle for each drawer of dresser |
| Light Switch | 3 | Entirety of switch, not panel |
| TV Remote | 2 | Front, back, side, and in between buttons |
| Sample Type | N | Average Human DNA Quantity (ng/μL) | Standard Deviation | Avg Bacterial DNA Quantity (ng/μL) | Standard Deviation | Average IPC (CT Value) |
|---|---|---|---|---|---|---|
| Keyboard | 8 | 0.0075 | 0.006 | 2.21 × 10−7 | 1.40 × 10−7 | 29.7 |
| Mouse | 8 | 0.076 | 0.183 | 2.52 × 10−7 | 1.42 × 10−7 | 29.5 |
| Smart Watch | 10 | 0.357 | 0.426 | 1.14 × 10−5 | 1.28 × 10−5 | 29.7 |
| Elevator button | 4 | 0.012 | 0.011 | 2.13 × 10−7 | 1.39 × 10−7 | 29.7 |
| Cleaning supplies | 4 | 0.007 | 0.005 | 4.40 × 10−7 | 5.15 × 10−7 | 29.6 |
| Sebum deposit | 10 | 0.059 | 0.060 | 4.76 × 10−7 | 5.23 × 10−7 | 29.8 |
| Dispensers | 4 | 0.016 | 0.013 | 4.71 × 10−7 | 3.43 × 10−7 | 29.4 |
| Fridge Handle | 2 | 0.039 | 0.049 | 8.34 × 10−8 | 9.52 × 10−8 | 29.9 |
| Dresser Drawer | 2 | 0.056 | 0.020 | 2.45 × 10−7 | 1.22 × 10−7 | 29.8 |
| Light Switch | 3 | 0.097 | 0.057 | 2.83 × 10−7 | 1.79 × 10−7 | 29.8 |
| TV Remote | 2 | 0.165 | 0.040 | 3.98 × 10−7 | 4.63 × 10−7 | 29.7 |
Disclaimer/Publisher’s Note: The statements, opinions and data contained in all publications are solely those of the individual author(s) and contributor(s) and not of MDPI and/or the editor(s). MDPI and/or the editor(s) disclaim responsibility for any injury to people or property resulting from any ideas, methods, instructions or products referred to in the content. |
© 2024 by the authors. Licensee MDPI, Basel, Switzerland. This article is an open access article distributed under the terms and conditions of the Creative Commons Attribution (CC BY) license (https://creativecommons.org/licenses/by/4.0/).
Share and Cite
Foster, M.; McElhoe, J.A.; Holland, M.M. A Custom qPCR Assay to Simultaneously Quantify Human and Microbial DNA. Genes 2024, 15, 1129. https://doi.org/10.3390/genes15091129
Foster M, McElhoe JA, Holland MM. A Custom qPCR Assay to Simultaneously Quantify Human and Microbial DNA. Genes. 2024; 15(9):1129. https://doi.org/10.3390/genes15091129
Chicago/Turabian StyleFoster, Miriam, Jennifer A. McElhoe, and Mitchell M. Holland. 2024. "A Custom qPCR Assay to Simultaneously Quantify Human and Microbial DNA" Genes 15, no. 9: 1129. https://doi.org/10.3390/genes15091129
APA StyleFoster, M., McElhoe, J. A., & Holland, M. M. (2024). A Custom qPCR Assay to Simultaneously Quantify Human and Microbial DNA. Genes, 15(9), 1129. https://doi.org/10.3390/genes15091129

