Validation of Molecular Markers for Low Kunitz Trypsin Inhibitor Content in European Soybean (Glycine max L. Merr.) Germplasm
Abstract
1. Introduction
2. Materials and Methods
2.1. Plant Material, Populations’ Development, and Choice of Markers
2.2. Satt228 Genotyping
2.3. SNP Genotyping
2.4. KASP Genotyping
2.5. Measurement of KTI Content
2.6. Statistical Analyses
3. Results
3.1. Allele Frequencies at Marker Loci in the Cultivar Panel
3.2. SSR Validation in F2
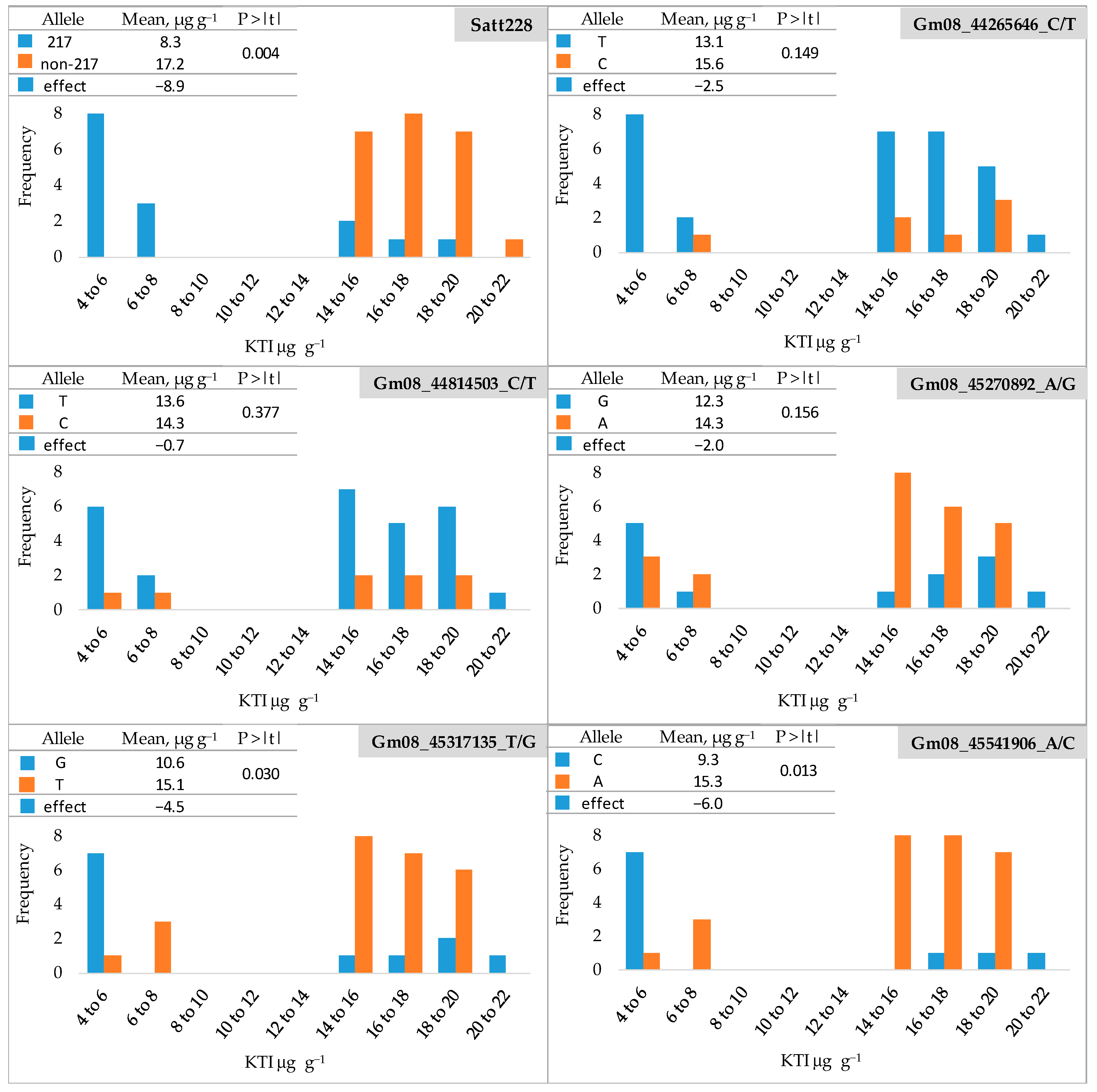
3.3. SNP Validation in F3:5 Families
4. Discussion
5. Conclusions
Supplementary Materials
Author Contributions
Funding
Institutional Review Board Statement
Informed Consent Statement
Data Availability Statement
Conflicts of Interest
References
- FAOSTAT Database. Available online: https://www.fao.org/faostat/en/#data/QCL (accessed on 7 June 2024).
- Fraanje, W.; Garnett, T. Soy: Food, Feed, and Land Use Change (Foodsource: Building Blocks). Food Climate Research Network. 2020. Available online: https://tabledebates.org/sites/default/files/2021-12/FCRN%20Building%20Block%20-%20Soy_food%2C%20feed%2C%20and%20land%20use%20change%20%281%29.pdf (accessed on 7 June 2024).
- Liu, K. Chemistry and nutritional value of soybean components. In Soybeans; Springer: Boston, MA, USA, 1997; pp. 25–113. [Google Scholar]
- Nahashon, S.; Kilonzo-Nthenge, A. Advances in soybean and soybean by-products in monogastric nutrition and health. In Soybean and Nutrition; El-Shemy, H., Ed.; IntechOpen: London, UK, 2011. [Google Scholar]
- Kumar, V.; Rani, A.; Rawal, R.; Mourya, V. Marker assisted accelerated introgression of null allele of kunitz trypsin inhibitor in soybean. Breed. Sci. 2015, 65, 447–452. [Google Scholar] [CrossRef] [PubMed]
- Park, A.; Kang, S.-H.; Kang, B.-H.; Chowdhury, S.; Shin, S.-Y.; Lee, W.-H.; Lee, J.-D.; Lee, S.; Choi, Y.-M.; Ha, B.-K. Identification of a Novel KTi-1 Allele Associated with Reduced Trypsin Inhibitor Activity in Soybean Accessions. Agriculture 2023, 13, 2070. [Google Scholar] [CrossRef]
- Vagadia, B.H.; Vanga, S.K.; Raghavan, V. Inactivation methods of soybean trypsin inhibitor—A review. Trends Food Sci. Technol. 2017, 64, 115–125. [Google Scholar] [CrossRef]
- Tan-Wilson, A.L.; Chen, J.C.; Duggan, M.C.; Chapman, C.; Obach, R.S.; Wilson, K.A. Soybean Bowman-Birk trypsin isoinhibitors: Classification and report of a glycine-rich trypsin inhibitor class. J. Agric. Food Chem. 1987, 35, 974–981. [Google Scholar] [CrossRef]
- Kumar, V.; Rani, A.; Rawal, R. Deployment of gene specific marker in development of Kunitz trypsin inhibitor free soybean genotypes. Indian J. Exp. Biol. 2013, 51, 1125–1129. [Google Scholar] [PubMed]
- Boge, E.L.; Boylston, T.D.; A Wilson, L. Effect of cultivar and roasting method on composition of roasted soybeans. J. Sci. Food Agric. 2009, 89, 821–826. [Google Scholar] [CrossRef]
- Kim, M.S.; Park, M.J.; Jeong, W.H.; Nam, K.C.; Chung, J.I. SSR markers tightly linked to the Ti locus in soybean [Glycine max (L.) Merr.]. Euphytica 2006, 152, 361–366. [Google Scholar] [CrossRef]
- Orf, J.H.; Hymowitz, T. Inheritance of the absence of the Kunitz trypsin inhibitor in seed protein of soybeans. Crop Sci. 1979, 19, 107–109. [Google Scholar] [CrossRef]
- Palacios, M.F.; Easter, R.A.; Soltwedel, K.T.; Parsons, C.M.; Douglas, M.W.; Hymowitz, T.; Pettigrew, J.E. Effect of soybean variety and processing on growth performance of young chicks and pigs. J. Anim. Sci. 2004, 82, 1108–1114. [Google Scholar] [CrossRef] [PubMed]
- Peric, V.; Srebric, M.; Dragicevic, V.; Nikolic, A.; Mikic, A.; Drinic, S.M. Development of Soybean Varieties with Specific Nutritional Composition of Grain. J. Hyg. Eng. Des. 2014, 8, 174–177. [Google Scholar]
- Gillman, J.D.; Kim, W.-S.; Krishnan, H.B. Identification of a New Soybean Kunitz Trypsin Inhibitor Mutation and Its Effect on Bowman− Birk Protease Inhibitor Content in Soybean Seed. J. Agric. Food Chem. 2015, 63, 1352–1359. [Google Scholar] [CrossRef] [PubMed]
- Maranna, S.; Verma, K.; Talukdar, A.; Lal, S.K.; Kumar, A.; Mukherjee, K. Introgression of null allele of Kunitz trypsin inhibitor through marker-assisted backcross breeding in soybean (Glycine max L. Merr.). BMC Genet. 2016, 17, 106. [Google Scholar] [CrossRef]
- Jofuku, K.D.; Goldberg, R.B. Kunitz trypsin inhibitor genes are differentially expressed during the soybean life cycle and in transformed tobacco plants. Plant Cell 1989, 1, 1079–1093. [Google Scholar] [PubMed]
- Jofuku, K.D.; Schipper, R.D.; Goldberg, R.B. A frameshift mutation prevents Kunitz trypsin inhibitor mRNA accumulation in soybean embryos. Plant Cell 1989, 1, 427–435. [Google Scholar] [PubMed]
- Torbica, A.M.; Živančev, D.R.; Nikolić, Z.T.; Đorđević, V.B.; Nikolovski, B.G. Advantages of the lab-on-a-chip method in the determination of the Kunitz trypsin inhibitor in soybean varieties. J. Agric. Food Chem. 2010, 58, 7980–7985. [Google Scholar] [CrossRef] [PubMed]
- Zhou, T.; Han, S.; Li, Z.; He, P. Purification and quantification of Kunitz trypsin inhibitor in soybean using two-dimensional liquid chromatography. Food Anal. Methods 2017, 10, 3350–3360. [Google Scholar] [CrossRef]
- Rosso, M.L.; Shang, C.; Correa, E.; Zhang, B. An efficient HPLC approach to quantify Kunitz trypsin inhibitor in soybean seeds. Crop Sci. 2018, 58, 1616–1623. [Google Scholar] [CrossRef]
- Bulatova, K.; Mazkirat, S.; Didorenko, S.; Babissekova, D.; Kudaibergenov, M.; Alchinbayeva, P.; Khalbayeva, S.; Shavrukov, Y. Trypsin inhibitor assessment with biochemical and molecular markers in a soybean germplasm collection and hybrid populations for seed quality improvement. Agronomy 2019, 9, 76–86. [Google Scholar] [CrossRef]
- da Silva, D.A.; Carpentieri-Pipolo, V.; Barreto, T.; Abdelnoor, R.V.; Marin, S.R.R.; Carrão-Panizzi, M.C. Genetic removal of trypsin inhibitor and lipoxygenase isozymes form soybean seeds (Glycine max) by simple sequence repeat marker assisted selection. Genet. Mol. Res. 2023, 22, gmr19145. [Google Scholar] [CrossRef]
- Rosso, M.L.; Shang, C.; Song, Q.; Escamilla, D.; Gillenwater, J.; Zhang, B. Development of breeder-friendly KASP markers for low concentration of Kunitz trypsin inhibitor in soybean seeds. Int. J. Mol. Sci. 2021, 22, 2675. [Google Scholar] [CrossRef]
- Patil, G.; Chaudhary, J.; Vuong, T.D.; Jenkins, B.; Qiu, D.; Kadam, S.; Shannon, G.J.; Nguyen, H.T. Development of SNP genotyping assays for seed composition traits in soybean. Int. J. Plant Genom. 2017, 2017, 6572969. [Google Scholar] [CrossRef] [PubMed]
- Žulj Mihaljević, M.; Šarčević, H.; lovrić, A.; Andrijanić, Z.; Sudarić, A.; Jukić, G.; Pejić, I. Genetic diversity of European commercial soybean [Glycine max (L.) Merr.] germplasm revealed by SSR markers. Genet. Resour. Crop Evol. 2020, 67, 587–1600. [Google Scholar] [CrossRef]
- Andrijanić, Z.; Nazzicari, N.; Šarčević, H.; Sudarić, A.; Annicchiarico, P.; Pejić, I. Genetic Diversity and Population Structure of European Soybean Germplasm Revealed by Single Nucleotide Polymorphism. Plants 2023, 12, 1837. [Google Scholar] [CrossRef] [PubMed]
- KASP Genotyping Services. Available online: https://www.biosearchtech.com/services/genotyping-services/all-inclusive-services (accessed on 28 June 2023).
- SAS Institute. Statistical Analysis Software (SAS) User’s Guide, Version 9.4; SAS Institute Inc.: Cary, NC, USA, 2016.
- Wang, Z.; Shea, Z.; Rosso, L.; Shang, C.; Li, J.; Bewick, P.; Li, Q.; Zhao, B.; Zhang, B. Development of new mutant alleles and markers for KTI1 and KTI3 via CRISPR/Cas9-mediated mutagenesis to reduce trypsin inhibitor content and activity in soybean seeds. Front. Plant Sci. 2023, 14, 1111680. [Google Scholar] [CrossRef]
- Han, Y.; Parsons, C.M.; Hymowitz, T. Nutritional evaluation of soya beans varying in trypsin inhibitor content. Poult. Sci. 1991, 70, 896–906. [Google Scholar] [CrossRef]
- Perić, V.; Žilić, S.; Srebrić, M.; Mikić, A. Nutritional value of the grain of Kunitz-free soybean cultivars. Biotechnol. Anim. Husb. 2011, 27, 1537–1542. [Google Scholar] [CrossRef]




| Satt228 Genotype | χ2 | DF | Pr > χ2 | |||
|---|---|---|---|---|---|---|
| 250/250 | 250/217 | 217/217 | ||||
| Cross | ‘Ascasubi’ × ‘DH_5170′ | |||||
| Observed segregation | 12 | 31 | 19 | 1.5806 | 2 | 0.4537 |
| Expected segregation | 15.5 | 31 | 15.5 | |||
| Cross | ‘Bahia’ × ‘ES_Mentor’ | |||||
| Observed segregation | 14 | 28 | 12 | 0.2222 | 2 | 0.8948 |
| Expected segregation | 13.5 | 27 | 13.5 | |||
Disclaimer/Publisher’s Note: The statements, opinions and data contained in all publications are solely those of the individual author(s) and contributor(s) and not of MDPI and/or the editor(s). MDPI and/or the editor(s) disclaim responsibility for any injury to people or property resulting from any ideas, methods, instructions or products referred to in the content. |
© 2024 by the authors. Licensee MDPI, Basel, Switzerland. This article is an open access article distributed under the terms and conditions of the Creative Commons Attribution (CC BY) license (https://creativecommons.org/licenses/by/4.0/).
Share and Cite
Bukan, M.; Andrijanić, Z.; Pejić, I.; Ključarić, M.; Čižmek, L.; Tomaz, I.; Buljević, N.; Šarčević, H. Validation of Molecular Markers for Low Kunitz Trypsin Inhibitor Content in European Soybean (Glycine max L. Merr.) Germplasm. Genes 2024, 15, 1028. https://doi.org/10.3390/genes15081028
Bukan M, Andrijanić Z, Pejić I, Ključarić M, Čižmek L, Tomaz I, Buljević N, Šarčević H. Validation of Molecular Markers for Low Kunitz Trypsin Inhibitor Content in European Soybean (Glycine max L. Merr.) Germplasm. Genes. 2024; 15(8):1028. https://doi.org/10.3390/genes15081028
Chicago/Turabian StyleBukan, Miroslav, Zoe Andrijanić, Ivan Pejić, Marko Ključarić, Lucija Čižmek, Ivana Tomaz, Nina Buljević, and Hrvoje Šarčević. 2024. "Validation of Molecular Markers for Low Kunitz Trypsin Inhibitor Content in European Soybean (Glycine max L. Merr.) Germplasm" Genes 15, no. 8: 1028. https://doi.org/10.3390/genes15081028
APA StyleBukan, M., Andrijanić, Z., Pejić, I., Ključarić, M., Čižmek, L., Tomaz, I., Buljević, N., & Šarčević, H. (2024). Validation of Molecular Markers for Low Kunitz Trypsin Inhibitor Content in European Soybean (Glycine max L. Merr.) Germplasm. Genes, 15(8), 1028. https://doi.org/10.3390/genes15081028

