Genome-Wide Identification of WRKY Transcription Factor Family in Chinese Rose and Response to Drought, Heat, and Salt Stress
Abstract
1. Introduction
2. Results
2.1. Identification and Chromosomal Localization of WRKY Genes in Chinese Rose
2.2. Phylogenetic Analysis of WRKY Genes in Chinese Rose
2.3. Motifs, Domains, and Gene Structures of WRKY Genes in Chinese Rose
2.4. Cis-Acting Elements of the WRKY Gene Family in Chinese Rose
2.5. Collinearity Analysis of WRKY Genes in Chinese Rose
2.6. Collinearity Analysis of WRKY Genes in Chinese Rose and Other Species
2.7. Protein–Protein Interaction Network Analysis of WRKY Genes in Chinese Rose
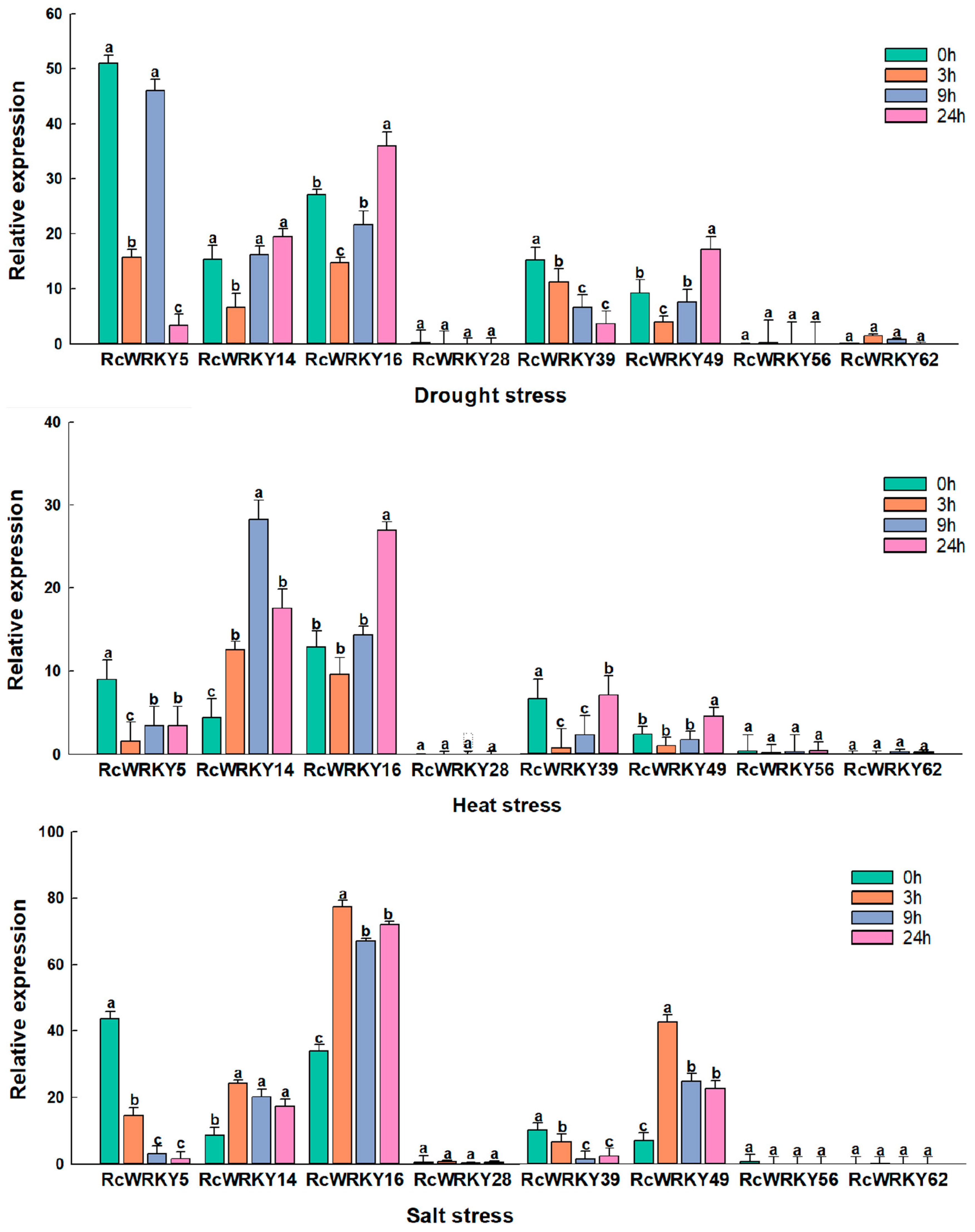
2.8. Expression Patterns of WRKY Genes in Different Tissue Types of Chinese Rose under Drought, Heat, and Salt Stress
3. Materials and Methods
3.1. Genome-Wide Identification and Analysis of Physicochemical Properties of Chinese Rose WRKY Gene Family
3.2. Phylogenetic Analysis and Chromosome Mapping of the WRKY Gene Family in Chinese Rose
3.3. Gene Structure, Promoter, and Collinearity Analysis of WRKY Gene Family in Chinese Rose
3.4. Protein–Protein Interaction Network Analysis of WRKY Genes in Chinese Rose
3.5. Plant Material, Stress Treatments, and Tissue Collection
3.6. Analysis of WRKY Gene Expression in Chinese Rose under Drought Stress by qRT-PCR
4. Discussion
5. Conclusions
Supplementary Materials
Author Contributions
Funding
Institutional Review Board Statement
Informed Consent Statement
Data Availability Statement
Conflicts of Interest
References
- Zhao, X. Genome-wide identifcation and analysis of the WRKY gene family and cold stress response in Acer truncatum. Genes 2021, 12, 1867. [Google Scholar]
- Ishiguro, S.; Nakamura, K. Characterization of a cDNA encoding a novel DNA-binding protein, SPF1, that recognizes SP8 sequences in the 5′ upstream regions of genes coding for sporamin and β-amylase from sweet potato. Mol. Gen. Genet. 1994, 244, 563–571. [Google Scholar] [CrossRef] [PubMed]
- Cheng, Y.F. Identifcation of the WRKY gene family and characterization of stress-responsive genes in Taraxacum kok-saghyz Rodin. Int. J. Mol. Sci. 2022, 23, 10270. [Google Scholar] [CrossRef]
- Muhammad, A.K.; Kang, D.R.; Wu, Y.F.; Wang, Y.A.; Peng, H.; Wang, Z.C. Characterization of WRKY gene family in whole-genome and exploration of fowering improvement genes in Chrysanthemum lavandulifolium. Front. Plant Sci. 2022, 13, 861193. [Google Scholar]
- Hu, W.J.; Ren, Q.; Chen, Y.; Xu, G.; Qian, Y. Genome-wide identifcation and analysis of WRKY gene family in maize provide insights into regulatory network in response to abiotic stresses. BMC Plant Biol. 2021, 21, 427. [Google Scholar] [CrossRef] [PubMed]
- Khoso, M.A.; Hussain, A.; Ritonga, F.N.; Ali, Q.; Channa, M.M.; Alshegaihi, R.M.; Meng, Q.; Ali, M.; Zaman, W.; Brohi, R.D.; et al. WRKY transcription factors (TFs): Molecular switches to regulate drought, temperature, and salinity stresses in plants. Front. Plant Sci. 2022, 13, 1039329. [Google Scholar] [CrossRef] [PubMed]
- Wani, S.H.; Anand, S.; Singh, B.; Bohra, A.; Joshi, R. WRKY transcription factors and plant defense responses: Latest discoveries and future prospects. Plant Cell Rep. 2021, 40, 1071–1085. [Google Scholar] [CrossRef] [PubMed]
- Yuan, H.M.; Guo, W.; Zhao, L.; Yu, Y.; Chen, S.; Tao, L. Genome-wide identifcation and expression analysis of the WRKY transcription factor family in fax (Linum usitatissimum L.). BMC Genom. 2021, 22, 375. [Google Scholar] [CrossRef] [PubMed]
- Wang, J.Y.; Wang, L.; Yan, Y.; Zhang, S.; Guo, X. GhWRKY21 regulates ABA-mediated drought tolerance by fne-tuning the expression of GhHAB in cotton. Plant Cell Rep. 2021, 40, 2135–2150. [Google Scholar] [CrossRef]
- Liu, G.Y.; Li, B.; Li, X.; Wei, Y.; Shi, H. MaWRKY80 positively regulates plant drought stress resistance through modulation of abscisic acid and redox metabolism. Plant Physiol. Biochem. 2020, 156, 155–166. [Google Scholar] [CrossRef]
- Ali, M.A.; Azeem, F.; Nawaz, M.A.; Acet, T.; Bohlmann, H. Transcription factors WRKY11 and WRKY17 are involved in abiotic stress responses in Arabidopsis. J. Plant Physiol. 2018, 226, 12–21. [Google Scholar] [CrossRef] [PubMed]
- Yang, Z.; Chi, X.; Guo, F.; Jin, X.; Sun, B. SbWRKY30 enhances the drought tolerance of plants and regulates a drought stress-responsive gene, SbRD19, in sorghum. J. Plant Physiol. 2020, 246, 153142. [Google Scholar] [CrossRef] [PubMed]
- Gulzar, F.; Fu, J.Y.; Zhu, C.Y.; Yan, J.; Li, X.L.; Meraj, T.A.; Shen, Q.L.; Hassan, B.; Wang, Q. Maize WRKY transcription factor ZmWRKY79 positively regulates drought tolerance through elevating ABA biosynthesis. Int. J. Mol. Sci. 2021, 22, 10080. [Google Scholar] [CrossRef] [PubMed]
- Zhu, L.; Li, S.; Ouyang, M.; Yang, L.; Sun, S.; Wang, Y. Overexpression of watermelon ClWRKY20 in transgenic Arabidopsis improves salt and low-temperature tolerance. Sci. Hortic. 2022, 295, 110848. [Google Scholar] [CrossRef]
- Long, L.X. Progress in the understanding of WRKY transcription factors in woody plants. Int. J. Biol. Macromol. 2023, 242, 124379. [Google Scholar] [CrossRef] [PubMed]
- Zhang, Y.L.; Du, P.; Xiong, F.Q.; Zhang, X.J.; Song, H. WRKY genes improve drought tolerance in Arachis duranensis. Front. Plant Sci. 2022, 13, 910408. [Google Scholar] [CrossRef] [PubMed]
- An, X. Bioinformatics analysis of WRKY family genes in fax (Linum usitatissimum). Life 2023, 13, 1258. [Google Scholar] [CrossRef] [PubMed]
- Huang, J.J.; Liu, F.H.; Chao, D.; Xin, B.N.; Liu, K.; Cao, S.L.; Chen, X.X.; Peng, L.Y.; Zhang, B.L.; Fu, S.; et al. The WRKY transcription factor OsWRKY54 is involved in salt tolerance in rice. Int. J. Mol. Sci. 2022, 23, 11999. [Google Scholar] [CrossRef] [PubMed]
- Hui, J.A.; Zhang, X.; Wang, S.M. Analysis of biological characteristics of wild Hulthemia berberifolia (Pall.) Dumort. Xinjiang Shandong For. Sci. Technol. 2013, 43, 61–63. [Google Scholar]
- Hui, J.A.; Zhang, X.; Wang, S.M. Microstructure characteristics of Hulthemia berberifolia (Pall.) Dumort. in Xinjiang. Jiangsu Agric. Sci. 2014, 42, 126–127. [Google Scholar]
- Yan, Z.; Li, J.; Linuera, A.B. Effects of exogenous calcium on seed germination and seedling growth of Hulthemia berberifolia under salt stress. Acta Agrestia Sin. 2022, 30, 1185–1193. [Google Scholar]
- Horton, P.; Keun-Joon, P.; Takeshi, O.; Naoya, F.; Hajime, H.; Adams-Collier, C.J. WoLF PSORT: Protein localization predictor. Nucleic Acids Res. 2007, 35, W585–W587. [Google Scholar] [CrossRef]
- Swarbreck, D.; Wilks, C.; Lamesch, P.; Berardini, T.Z.; Garcia-Hernandez, M.; Foerster, H. The Arabidopsis Information Resource (TAIR): Gene structure and function annotation. Nucleic Acids Res. 2007, 36, D1009–D1014. [Google Scholar] [CrossRef]
- Kumar, S.; Glen, S.; Michael, L.; Christina, K.; Koichiro, T. MEGA X: Molecular evolutionary genetics analysis across computing platforms. Mol. Biol. Evol. 2018, 35, 1547–1549. [Google Scholar] [CrossRef]
- Gao, S.Q. Genome-wide identifcation of the histone acetyltransferase gene family in Triticum aestivum. BMC Genom. 2021, 22, 49. [Google Scholar] [CrossRef]
- Viana, V.E.; Carlos, L.; Busanello, C.; Pegoraro, C.; Costa, A. When rice gets the chills: Comparative transcriptome profling at germination shows WRKY transcription factor responses. Plant Biol. 2021, 23, 100–112. [Google Scholar] [CrossRef]
- Lescot, M.; Déhais, P.; Thijs, G.; Marchal, K.; Moreau, Y.; Van de Peer, Y.; Rouzé, P.; Rombauts, S. PlantCARE, a database of plant cis-acting regulatory elements and a portal to tools for in silico analysis of promoter sequences. Nucleic Acids Res. 2002, 30, 325–327. [Google Scholar] [CrossRef]
- Wang, Y.P.; Haibao, T.; Debarry, J.D.; Xu, T.; Jingping, L.; Xiyin, W. MCScanX: A toolkit for detection and evolutionary analysis of gene synteny and collinearity. Nucleic Acids Res. 2012, 40, e49. [Google Scholar] [CrossRef]
- Wang, Y.Y.; Jiang, X.; Bai, H.; Liu, C. Genome-wide ldentifcation and expression analysis of NF-YA gene family in gossypium arboreum. Mol. Plant Breed. 2021, 19, 4564–4573. [Google Scholar]
- Szklarczyk, D.; Gable, A.L.; Nastou, K.C.; David, L.; Rebecca, K.; Sampo, P. The STRING database in 2021: Customizable protein-protein networks, and functional characterization of user-uploaded gene/measurement sets. Nucleic Acids Res 2021, 49, D605–D612. [Google Scholar] [CrossRef]
- Doncheva, N.T.; Morris, J.H.; Gorodkin, J.; Jensen, L.J. Cytoscape StringApp: Network analysis and visualization of proteomics data. J. Proteome Res. 2019, 18, 623–632. [Google Scholar] [CrossRef] [PubMed]
- Yin, H.; Chen, I.; Li, X.Y. Analysis and improvement of high—Quality RNA extraction in leaves of lily. J. China Agric. Univ. 2008, 13, 41–45. [Google Scholar]
- Chi, B.W.; Liu, I.; Xie, T.; Zhao, Z.X.; Wen, J.F. Cloning and expression analysis of LbCAT and LbGPX in Lilium. Acta Bot. Boreali—Occident. Sin. 2021, 41, l467–1474. [Google Scholar]
- Garrido-Gala, J. A comprehensive study of the WRKY transcription factor family in strawberry. Plants 2022, 11, 1585. [Google Scholar] [CrossRef]
- Ding, X.Q.; Hu, M.J.; Xiang, S. Bioinformatics analysis of WRKY gene family in Kandelia cande. Jiangsu Agric. Sci. 2022, 50, 50–60. [Google Scholar]
- Hu, B.; Jin, J.P.; Yuan, G. GSDS 2.0: An upgraded gene feature visualization server. Bioinformatics 2015, 31, 1296–1297. [Google Scholar] [CrossRef]
- Yang, B.; Jiang, Y.; Rahman, M.H.; Deyholos, M.K.; Kav, N.N. Identification and expression analysis of wrky transcription factor genes in canola (Brassica napus L.) in response to fungal pathogens and hormone treatments. BMC Plant Biol. 2009, 9, 68. [Google Scholar] [CrossRef]
- Song, X.M.; Zeng, Y.; Yin, F.; Mao, X. Genome-wide identification and comprehensive analysis of WRKY transcription factor family in safflower during drought stress. Sci. Rep. 2023, 13, 16955. [Google Scholar] [CrossRef] [PubMed]
- Wu, W.; Zhu, S.; Xu, L.; Zhu, L.; Wang, D.; Liu, Y. Genome-wide identification of the liriodendron chinense wrky gene family and its diverse roles in response to multiple abiotic stress. BMC Plant Biol. 2022, 22, 1–27. [Google Scholar]
- Karlsson, M.; Reue, K.; Xia, Y.R.; Lusis, A.J.; Langin, D.; Tornqvist, H. Exon–intron organization and chromosomal localization of the mouse monoglyceride lipase gene. Gene 2001, 272, 11–18. [Google Scholar] [CrossRef]
- Song, H.; Wang, P.F.; Li, J.Y.; Zhang, C.Z.; Bai, Y.P.; Wanf, X.J. Genome-wide identification and characterization of wrky gene family in peanut. Front. Plant Sci. 2016, 7, 9. [Google Scholar] [CrossRef] [PubMed]
- Zhang, Y.; Zhang, W.; Manzoor, M.A.; Sabir, I.A.; Zhang, P.; Cao, Y. Differential involvement of wrky genes in abiotic stress tolerance of dendrobium huoshanense. Ind. Crop. Prod. 2023, 204 Pt A, 117295. [Google Scholar] [CrossRef]
- Morel, J.B.; Kwak, S.S.; South, K.; Bai, Y. The Role of Tomato WRKY Genes in Plant Responses to Combined Abiotic and Biotic Stresses. Front. Plant Sci. 2018, 9, 352235. [Google Scholar] [CrossRef] [PubMed]
- Wang, L.; Zhu, W.; Fang, L.; Sun, X.; Su, L.; Liang, Z. Genome-wide identification of wrky family genes and their response to cold stress in vitis vinifera. BMC Plant Biol. 2014, 14, 103. [Google Scholar] [CrossRef] [PubMed]
- Liu, Z.Q.; Shi, L.P.; Yang, S.; Qiu, S.S.; Ma, X.L.; Cai, J.S. A conserved double-W box in the promoter of CaWRKY40 mediates autoregulation during response to pathogen attack and heat stress in pepper. Mol. Plant Pathol. 2021, 22, 3–18. [Google Scholar] [CrossRef] [PubMed]
- Zheng, Z.Y.; Qamar, S.A.; Chen, Z.; Mengiste, T. Arabidopsis WRKY33 transcription factor is required for resistance to necrotrophic fungal pathogens. Plant J. 2006, 48, 592–605. [Google Scholar] [CrossRef] [PubMed]
- Zhou, J.; Wang, J.; Zheng, Z.Y.; Fan, B.F.; Yu, J.Q.; Chen, Z.X. Characterization of the promoter and extended C-terminal domain of Arabidopsis WRKY33 and functional analysis of tomato WRKY33 homologues in plant stress responses. J. Exp. Bot. 2015, 66, 4567–4583. [Google Scholar] [CrossRef] [PubMed]
- Sun, Y.D.; Yu, D.Q. Activated expression of AtWRKY53 negatively regulates drought tolerance by mediating stomatal movement. Plant Cell Rep. 2015, 34, 1295–1306. [Google Scholar] [CrossRef] [PubMed]
- Zhao, M.M.; Zhang, X.W.; Liu, Y.W.; Li, K.; Zhou, C.J. A WRKY transcription factor, TaWRKY42-B, facilitates initiation of leaf senescence by promoting jasmonic acid biosynthesis. BMC Plant Biol. 2020, 20, 444. [Google Scholar] [CrossRef]
- Zhao, D.; Li, M.; Hou, T. Overexpression of ZmWRKY65 transcription factor from maize confers stress resistances in transgenic Arabidopsis. Sci. Rep. 2021, 11, 4024. [Google Scholar]
- Bai, Y.; Zhang, T.; Zheng, X.; Li, B.; Qi, X.; Xu, Y. Overexpression of a WRKY transcription factor McWRKY57-like from Mentha canadensis L. enhances drought tolerance in transgenic Arabidopsis. BMC Plant Biol. 2023, 23, 216. [Google Scholar] [CrossRef]
- Wang, D.; Chen, Q.; Chen, W.; Liu, X.; Liang, G. A WRKY transcription factor, EjWRKY17, from eriobotrya japonica enhances drought tolerance in transgenic Arabidopsis. Int. J. Mol. Sci. 2021, 22, 5593. [Google Scholar] [CrossRef] [PubMed]
- Li, F.; Zhang, L.; Ji, H.; Xu, Z.; Zhou, Y.; Yang, S. The specific w-boxes of gapc5 promoter bound by tawrky are involved in drought stress response in wheat. Plant Sci. 2020, 296, 110460. [Google Scholar] [CrossRef] [PubMed]
- Liu, Y.; Yang, T.; Lin, Z.; Gu, B.; Xing, C.; Zhao, L. A wrky transcription factor pbrwrky53 from pyrus betulaefolia is involved in drought tolerance and asa accumulation. Plant Biotechnol. J. 2019, 17, 1770–1787. [Google Scholar] [CrossRef] [PubMed]
- Xu, Z.; Wang, J.; Ma, Y.; Wang, F.; Wang, J.; Zhang, Y. The bzip transcription factor slareb1 regulates anthocyanin biosynthesis in response to low temperature in tomato. Plant J. For. Cell Mol. Biol. 2023, 115, 205–219. [Google Scholar] [CrossRef]
- Budhagatapalli, N.; Narasimhan, R.; Rajaraman, J.; Viswanathan, C.; Nataraja, K.N. Ectopic expression of atice1 and osice1 transcription factor delays stress-induced senescence and improves tolerance to abiotic stresses in tobacco. J. Plant Biochem. Biotechnol. 2016, 25, 285–293. [Google Scholar] [CrossRef]








| Paralogous WRKY Pairs | Chr Location | Duplication Type | Ka | Ks | Ka/Ks |
|---|---|---|---|---|---|
| RcWRKY-3 | Chr1 | Segmental | 0.5702 | 2.4233 | 0.2353 |
| RcWRKY-11 | Chr1 | ||||
| RcWRKY-7 | Chr1 | Segmental | 0.6036 | 2.4398 | 0.2474 |
| RcWRKY-27 | Chr3 | ||||
| RcWRKY-5 | Chr1 | Segmental | 0.4942 | 2.2465 | 0.2200 |
| RcWRKY-61 | Chr7 | ||||
| RcWRKY-3 | Chr1 | Segmental | 0.5012 | 1.5593 | 0.3214 |
| RcWRKY-62 | Chr7 | ||||
| RcWRKY-22 | Chr2 | Segmental | 0.3623 | 2.5665 | 0.1412 |
| RcWRKY-39 | Chr4 | ||||
| RcWRKY-23 | Chr2 | Segmental | 0.4049 | 1.9961 | 0.2029 |
| RcWRKY-40 | Chr4 | ||||
| RcWRKY-24 | Chr2 | Segmental | 0.3613 | 2.5494 | 0.1417 |
| RcWRKY-37 | Chr4 | ||||
| RcWRKY-21 | Chr2 | Segmental | 0.2585 | 1.8568 | 0.1392 |
| RcWRKY-41 | Chr5 | ||||
| RcWRKY-19 | Chr2 | Segmental | 0.4138 | 2.4782 | 0.1670 |
| RcWRKY-43 | Chr5 | ||||
| RcWRKY-17 | Chr2 | Segmental | 0.4729 | NaN | NaN |
| RcWRKY-42 | Chr5 | ||||
| RcWRKY-21 | Chr2 | Segmental | 0.3524 | 1.6203 | 0.2175 |
| RcWRKY-45 | Chr5 | ||||
| RcWRKY-20 | Chr2 | Segmental | 0.5243 | 1.2481 | 0.4201 |
| RcWRKY-46 | Chr5 | ||||
| RcWRKY-14 | Chr2 | Segmental | 0.3136 | 4.7404 | 0.0661 |
| RcWRKY-56 | Chr6 | ||||
| RcWRKY-18 | Chr2 | Segmental | 0.5320 | NaN | NaN |
| RcWRKY-53 | Chr6 | ||||
| RcWRKY-23 | Chr2 | Segmental | 0.4085 | 1.6088 | 0.2539 |
| RcWRKY-58 | Chr7 | ||||
| RcWRKY-24 | Chr2 | Segmental | 0.3239 | NaN | NaN |
| RcWRKY-60 | Chr7 | ||||
| RcWRKY-34 | Chr3 | Segmental | 0.4683 | NaN | NaN |
| RcWRKY-36 | Chr4 | ||||
| RcWRKY-29 | Chr3 | Segmental | 0.3373 | 1.2935 | 0.2607 |
| RcWRKY-48 | Chr5 | ||||
| RcWRKY-26 | Chr3 | Segmental | 0.3231 | 1.3243 | 0.2440 |
| RcWRKY-52 | Chr6 | ||||
| RcWRKY-37 | Chr4 | Segmental | 0.3757 | 2.0867 | 0.1801 |
| RcWRKY-60 | Chr7 | ||||
| RcWRKY-40 | Chr4 | Segmental | 0.4092 | 1.6738 | 0.2445 |
| RcWRKY-58 | Chr7 | ||||
| RcWRKY-51 | Chr5 | Segmental | 0.1341 | 0.2643 | 0.5075 |
| RcWRKY-50 | Chr5 | ||||
| RcWRKY-41 | Chr5 | Segmental | 0.3781 | 2.2186 | 0.1704 |
| RcWRKY-45 | Chr5 |
Disclaimer/Publisher’s Note: The statements, opinions and data contained in all publications are solely those of the individual author(s) and contributor(s) and not of MDPI and/or the editor(s). MDPI and/or the editor(s) disclaim responsibility for any injury to people or property resulting from any ideas, methods, instructions or products referred to in the content. |
© 2024 by the authors. Licensee MDPI, Basel, Switzerland. This article is an open access article distributed under the terms and conditions of the Creative Commons Attribution (CC BY) license (https://creativecommons.org/licenses/by/4.0/).
Share and Cite
Yan, X.; Zhao, J.; Huang, W.; Liu, C.; Hao, X.; Gao, C.; Deng, M.; Wen, J. Genome-Wide Identification of WRKY Transcription Factor Family in Chinese Rose and Response to Drought, Heat, and Salt Stress. Genes 2024, 15, 800. https://doi.org/10.3390/genes15060800
Yan X, Zhao J, Huang W, Liu C, Hao X, Gao C, Deng M, Wen J. Genome-Wide Identification of WRKY Transcription Factor Family in Chinese Rose and Response to Drought, Heat, and Salt Stress. Genes. 2024; 15(6):800. https://doi.org/10.3390/genes15060800
Chicago/Turabian StyleYan, Xinyu, Jiahui Zhao, Wei Huang, Cheng Liu, Xuan Hao, Chengye Gao, Minghua Deng, and Jinfen Wen. 2024. "Genome-Wide Identification of WRKY Transcription Factor Family in Chinese Rose and Response to Drought, Heat, and Salt Stress" Genes 15, no. 6: 800. https://doi.org/10.3390/genes15060800
APA StyleYan, X., Zhao, J., Huang, W., Liu, C., Hao, X., Gao, C., Deng, M., & Wen, J. (2024). Genome-Wide Identification of WRKY Transcription Factor Family in Chinese Rose and Response to Drought, Heat, and Salt Stress. Genes, 15(6), 800. https://doi.org/10.3390/genes15060800
