The Reversion of the Epigenetic Signature of Coronary Heart Disease in Response to Smoking Cessation
Abstract
1. Introduction
2. Materials and Methods
3. Results
4. Discussion
Author Contributions
Funding
Institutional Review Board Statement
Informed Consent Statement
Data Availability Statement
Conflicts of Interest
References
- Wang, H.; Naghavi, M.; Allen, C.; Barber, R.M.; Bhutta, Z.A.; Carter, A.; Casey, D.C.; Charlson, F.J.; Chen, A.Z.; Coates, M.M.; et al. Global, regional, and national life expectancy, all-cause mortality, and cause-specific mortality for 249 causes of death, 1980–2015: A systematic analysis for the global burden of disease study 2015. Lancet 2016, 388, 1459–1544. [Google Scholar] [CrossRef] [PubMed]
- Ruff, C.T.; Braunwald, E. The evolving epidemiology of acute coronary syndromes. Nat. Rev. Cardiol. 2011, 8, 140–147. [Google Scholar] [CrossRef] [PubMed]
- Morrow, D.; De Lemos, J. Stable ischemic heart disease. In Braunwald’s Heart Disease: A Textbook of Cardiovascular Medicine, 12th ed.; Elsevier: Philadelphia, PA, USA, 2022. [Google Scholar]
- Fihn, S.D.; Gardin, J.M.; Abrams, J.; Berra, K.; Blankenship, J.C.; Dallas, A.P.; Douglas, P.S.; Foody, J.M.; Gerber, T.C.; Hinderliter, A.L. 2012 accf/aha/acp/aats/pcna/scai/sts guideline for the diagnosis and management of patients with stable ischemic heart disease: A report of the american college of cardiology foundation/american heart association task force on practice guidelines, and the american college of physicians, american association for thoracic surgery, preventive cardiovascular nurses association, society for cardiovascular angiography and interventions, and society of thoracic surgeons. J. Am. Coll. Cardiol. 2012, 60, e44–e164. [Google Scholar] [PubMed]
- De Gonzalez, A.B.; Kim, K.-P.; Smith-Bindman, R.; McAreavey, D. Myocardial Perfusion Scans. Circulation 2010, 122, 2403–2410. [Google Scholar] [CrossRef]
- Willi, C.; Bodenmann, P.; Ghali, W.A.; Faris, P.D.; Cornuz, J. Active smoking and the risk of type 2 diabetes: A systematic review and meta-analysis. JAMA 2007, 298, 2654–2664. [Google Scholar] [CrossRef]
- Philibert, R.; Dogan, T.; Knight, S.; Ahmad, F.; Lau, S.; Miles, G.; Knowlton, K.; Dogan, M.V. The validation of an integrated genetic-epigenetic test for the assessment of coronary heart disease. J. Am. Heart Assoc. 2023. [Google Scholar]
- Ang, S.H.; Thevarajah, M.; Alias, Y.; Khor, S.M. Current aspects in hemoglobin A1c detection: A review. Clin. Chim. Acta 2015, 439, 202–211. [Google Scholar] [CrossRef]
- Bookstein, L.; Gidding, S.S.; Donovan, M.; Smith, F.A. Day-to-day variability of serum cholesterol, triglyceride, and high-density lipoprotein cholesterol levels. Arch. Intern. Med. 1990, 150, 1653–1657. [Google Scholar] [CrossRef]
- Philibert, W.; Andersen, A.M.; Hoffman, E.A.; Philibert, R.; Dogan, M. The Reversion of DNA Methylation at Coronary Heart Disease Risk Loci in Response to Prevention Therapy. Processes 2021, 9, 699. [Google Scholar] [CrossRef]
- Jacobs, D.R., Jr.; Adachi, H.; Mulder, I.; Kromhout, D.; Menotti, A.; Nissinen, A.; Blackburn, H. Cigarette Smoking and Mortality Risk: Twenty-five–Year Follow-up of the Seven Countries Study. Arch. Intern. Med. 1999, 159, 733–740. [Google Scholar] [CrossRef]
- Breitling, L.P.; Salzmann, K.; Rothenbacher, D.; Burwinkel, B.; Brenner, H. Smoking, F2RL3 methylation, and prognosis in stable coronary heart disease. Eur. Heart J. 2012, 33, 2841–2848. [Google Scholar] [CrossRef]
- Critchley, J.A.; Capewell, S. Smoking cessation for the secondary prevention of coronary heart disease. Cochrane Database Syst. Rev. 2003, CD003041. [Google Scholar] [CrossRef]
- Liu, Y.; Comellas, A.; Kaczka, D.; Motahari, A.; Lee, C.; Gerke, A.; Wilson, J.; Salisbury, S.; O’Connel-Moore, D.; Philibert, R. An incentive-based program coupled with sildenafil provides enhanced success of smoking cessation associated with an accelerated loss of ct assessed smoking-associated lung density (inflammation) and improved dlco. In D76. Copd: Clinical Studies; American Thoracic Society: New York, NY, USA, 2020; p. A7556. [Google Scholar]
- Caraballo, R.S.; Asman, K. Epidemiology of menthol cigarette use in the United States. Tob. Induc. Dis. 2011, 9, S1. [Google Scholar] [CrossRef]
- Caraballo, R.S.; Giovino, G.A.; Pechacek, T.F.; Mowery, P.D. Factors Associated with Discrepancies between Self-Reports on Cigarette Smoking and Measured Serum Cotinine Levels among Persons Aged 17 Years or Older: Third National Health and Nutrition Examination Survey, 1988–1994. Am. J. Epidemiol. 2001, 153, 807–814. [Google Scholar] [CrossRef] [PubMed]
- Gelernter, J.; Polimanti, R. Genetics of substance use disorders in the era of big data. Nat. Rev. Genet. 2021, 22, 712–729. [Google Scholar] [CrossRef] [PubMed]
- Fang, F.; Andersen, A.M.; Philibert, R.; Hancock, D.B. Epigenetic biomarkers for smoking cessation. Addict. Neurosci. 2023, 6, 100079. [Google Scholar] [CrossRef]
- Lahiri, D.K.; Nurnberger, J.I., Jr. A rapid non-enzymatic method for the preparation of hmw DNA from blood for rflp studies. Nucleic Acids Res. 1991, 19, 5444. [Google Scholar] [CrossRef]
- Philibert, R.; Dogan, M.; Beach, S.R.H.; Mills, J.A.; Long, J.D. AHRR methylation predicts smoking status and smoking intensity in both saliva and blood DNA. Am. J. Med. Genet. Part B Neuropsychiatr. Genet. 2020, 183, 51–60 . [Google Scholar] [CrossRef]
- Dawes, K.; Andersen, A.; Reimer, R.; Mills, J.A.; Hoffman, E.; Long, J.D.; Miller, S.; Philibert, R. The relationship of smoking to cg05575921 methylation in blood and saliva DNA samples from several studies. Sci. Rep. 2021, 11, 21627. [Google Scholar] [CrossRef]
- Fleiss, J.L. Statistical Methods for Rates and Proportions, 2nd ed.; John Wiley & Sons Inc.: New York, NY, USA, 1981. [Google Scholar]
- Dunn, O.J. Multiple comparisons among means. J. Am. Stat. Assoc. 1961, 56, 52–64. [Google Scholar] [CrossRef]
- Zheng, Y.; Joyce, B.T.; Hwang, S.-J.; Ma, J.; Liu, L.; Allen, N.B.; Krefman, A.E.; Wang, J.; Gao, T.; Nannini, D.R.; et al. Association of Cardiovascular Health Through Young Adulthood with Genome-Wide DNA Methylation Patterns in Midlife: The CARDIA Study. Circulation 2022, 146, 94–109. [Google Scholar] [CrossRef] [PubMed]
- Mendelson, M.M.; Marioni, R.E.; Joehanes, R.; Liu, C.; Hedman, K.; Aslibekyan, S.; Demerath, E.W.; Guan, W.; Zhi, D.; Yao, C.; et al. Association of Body Mass Index with DNA Methylation and Gene Expression in Blood Cells and Relations to Cardiometabolic Disease: A Mendelian Randomization Approach. PLoS Med. 2017, 14, e1002215. [Google Scholar] [CrossRef] [PubMed]
- Wahl, S.; Drong, A.; Lehne, B.; Loh, M.; Scott, W.R.; Kunze, S.; Tsai, P.-C.; Ried, J.S.; Zhang, W.; Yang, Y. Epigenome-wide association study of body mass index, and the adverse outcomes of adiposity. Nature 2017, 541, 81–86. [Google Scholar] [CrossRef] [PubMed]
- Korbecki, J.; Barczak, K.; Gutowska, I.; Chlubek, D.; Baranowska-Bosiacka, I. Cxcl1: Gene, promoter, regulation of expression, mrna stability, regulation of activity in the intercellular space. Int. J. Mol. Sci. 2022, 23, 792. [Google Scholar] [CrossRef]
- Wang, L.; Zhang, Y.-L.; Lin, Q.-Y.; Liu, Y.; Guan, X.-M.; Ma, X.-L.; Cao, H.-J.; Liu, Y.; Bai, J.; Xia, Y.-L.; et al. CXCL1–CXCR2 axis mediates angiotensin II-induced cardiac hypertrophy and remodelling through regulation of monocyte infiltration. Eur. Heart J. 2018, 39, 1818–1831. [Google Scholar] [CrossRef]
- Daugherty, A.; Dunn, J.L.; Rateri, D.L.; Heinecke, J.W. Myeloperoxidase, a catalyst for lipoprotein oxidation, is expressed in human atherosclerotic lesions. J. Clin. Investig. 1994, 94, 437–444. [Google Scholar] [CrossRef]
- Muret, K.; Désert, C.; Lagoutte, L.; Boutin, M.; Gondret, F.; Zerjal, T.; Lagarrigue, S. Long noncoding RNAs in lipid metabolism: Literature review and conservation analysis across species. BMC Genom. 2019, 20, 882. [Google Scholar] [CrossRef]
- Philibert, R.A.; Beach, S.R.H.; Lei, M.K.; Brody, G.H. Changes in DNA methylation at the aryl hydrocarbon receptor repressor may be a new biomarker for smoking. Clin. Epigenet. 2013, 5, 19. [Google Scholar] [CrossRef]
- Esser, C. Biology and function of the aryl hydrocarbon receptor: Report of an international and interdisciplinary conference. Arch. Toxicol. 2012, 86, 1323–1329. [Google Scholar] [CrossRef]
- Meeks, K.A.C.; Henneman, P.; Venema, A.; Addo, J.; Bahendeka, S.; Burr, T.; Danquah, I.; Galbete, C.; Mannens, M.M.A.M.; Mockenhaupt, F.P.; et al. Epigenome-wide association study in whole blood on type 2 diabetes among sub-Saharan African individuals: Findings from the RODAM study. Leuk. Res. 2018, 48, 58–70. [Google Scholar] [CrossRef]
- Wang, Z.; Gao, W.; Wang, B.; Cao, W.; Lv, J.; Yu, C.; Pang, Z.; Cong, L.; Wang, H.; Wu, X. Correlation between fasting plasma glucose, hba1c and DNA methylation in adult twins. Beijing Da Xue Xue Bao. Yi Xue Ban = J. Peking Univ. Health Sci. 2020, 52, 425–431. [Google Scholar]
- Kurian, S.M.; Ferreri, K.; Wang, C.-H.; Todorov, I.; Al-Abdullah, I.H.; Rawson, J.; Mullen, Y.; Salomon, D.R.; Kandeel, F. Gene expression signature predicts human islet integrity and transplant functionality in diabetic mice. PLoS ONE 2017, 12, e0185331. [Google Scholar] [CrossRef]
- Walaszczyk, E. DNA Methylation in Type 2 Diabetes and Metabolic Health. Ph.D. Thesis, University of Groningen, Groningen, The Netherlands, 2021. [Google Scholar]
- Hong, X.; Wu, Z.; Cao, W.; Lv, J.; Yu, C.; Huang, T.; Sun, D.; Liao, C.; Pang, Y.; Pang, Z.; et al. Longitudinal Association of DNA Methylation with Type 2 Diabetes and Glycemic Traits: A 5-Year Cross-Lagged Twin Study. Diabetes 2022, 71, 2804–2817. [Google Scholar] [CrossRef] [PubMed]
- Rimm, E.B.; Manson, J.E.; Stampfer, M.J.; Colditz, G.A.; Willett, W.C.; Rosner, B.; Hennekens, C.H.; Speizer, F.E. Cigarette smoking and the risk of diabetes in women. Am. J. Public Health 1993, 83, 211–214. [Google Scholar] [CrossRef] [PubMed]
- Tibuakuu, M.; Kamimura, D.; Kianoush, S.; DeFilippis, A.P.; Al Rifai, M.; Reynolds, L.M.; White, W.B.; Butler, K.R.; Mosley, T.H.; Turner, S.T.; et al. The association between cigarette smoking and inflammation: The Genetic Epidemiology Network of Arteriopathy (GENOA) study. PLoS ONE 2017, 12, e0184914. [Google Scholar] [CrossRef] [PubMed]
- Vogel, E.A.; Ramo, D.E. Smoking cessation, metabolic risk behaviors, and stress management over time in a sample of young adult smokers. Transl. Behav. Med. 2019, 11, 189–197. [Google Scholar] [CrossRef] [PubMed]
- McCartney, D.L.; Stevenson, A.J.; Hillary, R.F.; Walker, R.M.; Bermingham, M.L.; Morris, S.W.; Clarke, T.-K.; Campbell, A.; Murray, A.D.; Whalley, H.C.; et al. Epigenetic signatures of starting and stopping smoking. Ebiomedicine 2018, 37, 214–220. [Google Scholar] [CrossRef] [PubMed]
- Guida, F.; Sandanger, T.M.; Castagne, R.; Campanella, G.; Polidoro, S.; Palli, D.; Krogh, V.; Tumino, R.; Sacerdote, C.; Panico, S.; et al. Dynamics of smoking-induced genome-wide methylation changes with time since smoking cessation. Hum. Mol. Genet. 2015, 24, 2349–2359. [Google Scholar] [CrossRef]
- Zhang, X.; Wang, C.; He, D.; Cheng, Y.; Yu, L.; Qi, D.; Li, B.; Zheng, F. Identification of DNA methylation-regulated genes as potential biomarkers for coronary heart disease via machine learning in the Framingham Heart Study. Clin. Epigenet. 2022, 14, 122. [Google Scholar] [CrossRef]
- Dogan, M.V.; Grumbach, I.M.; Michaelson, J.J.; Philibert, R.A. Integrated genetic and epigenetic prediction of coronary heart disease in the Framingham Heart Study. PLoS ONE 2018, 13, e0190549. [Google Scholar] [CrossRef]
- Lauritsen, S.M.; Kristensen, M.; Olsen, M.V.; Larsen, M.S.; Lauritsen, K.M.; Jørgensen, M.J.; Lange, J.; Thiesson, B. Explainable artificial intelligence model to predict acute critical illness from electronic health records. Nat. Commun. 2020, 11, 3852. [Google Scholar] [CrossRef] [PubMed]
- Schrader, S.; Perfilyev, A.; Martinell, M.; García-Calzón, S.; Ling, C. Statin therapy is associated with epigenetic modifications in individuals with Type 2 diabetes. Epigenomics 2021, 13, 919–925. [Google Scholar] [CrossRef] [PubMed]


| N | 39 |
| Age | 42.7 ± 10.4 years |
| Gender | |
| Male | 22 |
| Female | 17 |
| Ethnicity | |
| White | 37 |
| African American | 1 |
| Other | 1 |
| Smoking Variables | |
| Pack-Year Consumption | 28 ± 20 |
| Cigarettes per day | 17 ± 9.7 |
| FTND | 3.7 ± 9.7 |
| Cotinine (ng/mL) | 278 ± 135 |
| Smoking Intensity | ||||
|---|---|---|---|---|
| Assay | Gene Localization | Average Value (%) | ||
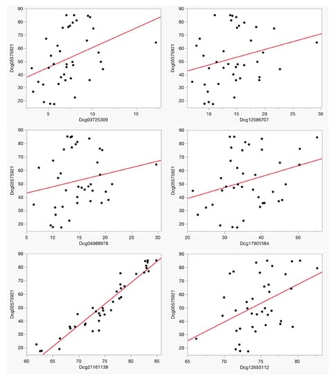
| Dcg05575921 | AHRR | 52.3 ± 20.6 | ||
| Coronary Heart Disease (PrecisionCHD) | Association with cg05575921 | |||
| Adj R2 | Nominal p-value | |||
| Dcg03725309 | SARS1 | 7.3 ± 2.6 | 0.12 | p < 0.02 |
| Dcg12586707 | CXCL1 | 14.4 ± 4.6 | 0.04 | p < 0.11 |
| Dcg04988978 | MPO | 14.8 ± 4.4 | 0.04 | p < 0.22 |
| Dcg17901584 | DHCR24-DT | 36.4 ± 7.6 | 0.09 | p < 0.07 |
| Dcg21161138 * | AHRR | 72.0 ± 6.2 | 0.91 | p < 0.0001 |
| Dcg12655112 | EHD4 | 74.7 ± 3.3 | 0.19 | p < 0.005 |
| Smoking Intensity | |||
|---|---|---|---|
| Assay | Average Change (%) | ||
| Dcg05575921 | −4.9 ± 6.2 | ||
| Coronary Heart Disease (PrecisionCHD) | Association with ∆cg05575921 | ||
| Adj R2 | Nominal p-value | ||
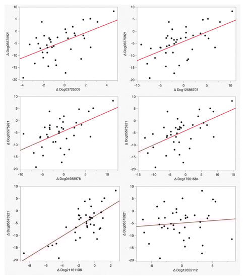
| Dcg03725309 | −0.5 ± 1.9 | 0.29 | p < 0.0004 |
| Dcg12586707 | −0.9 ± 4.5 | 0.32 | p < 0.0002 |
| Dcg04988978 | −0.7 ± 4.2 | 0.29 | p < 0.0004 |
| Dcg17901584 | −1.4 ± 6.1 | 0.33 | p < 0.0001 |
| Dcg21161138 | −1.3 ± 2.1 | 0.50 | p < 0.0001 |
| Dcg12655112 | −0.1 ± 3.4 | 0.01 | p < 0.53 |
Disclaimer/Publisher’s Note: The statements, opinions and data contained in all publications are solely those of the individual author(s) and contributor(s) and not of MDPI and/or the editor(s). MDPI and/or the editor(s) disclaim responsibility for any injury to people or property resulting from any ideas, methods, instructions or products referred to in the content. |
© 2023 by the authors. Licensee MDPI, Basel, Switzerland. This article is an open access article distributed under the terms and conditions of the Creative Commons Attribution (CC BY) license (https://creativecommons.org/licenses/by/4.0/).
Share and Cite
Philibert, R.; Moody, J.; Philibert, W.; Dogan, M.V.; Hoffman, E.A. The Reversion of the Epigenetic Signature of Coronary Heart Disease in Response to Smoking Cessation. Genes 2023, 14, 1233. https://doi.org/10.3390/genes14061233
Philibert R, Moody J, Philibert W, Dogan MV, Hoffman EA. The Reversion of the Epigenetic Signature of Coronary Heart Disease in Response to Smoking Cessation. Genes. 2023; 14(6):1233. https://doi.org/10.3390/genes14061233
Chicago/Turabian StylePhilibert, Robert, Joanna Moody, Willem Philibert, Meeshanthini V. Dogan, and Eric A. Hoffman. 2023. "The Reversion of the Epigenetic Signature of Coronary Heart Disease in Response to Smoking Cessation" Genes 14, no. 6: 1233. https://doi.org/10.3390/genes14061233
APA StylePhilibert, R., Moody, J., Philibert, W., Dogan, M. V., & Hoffman, E. A. (2023). The Reversion of the Epigenetic Signature of Coronary Heart Disease in Response to Smoking Cessation. Genes, 14(6), 1233. https://doi.org/10.3390/genes14061233

