SPAG9 Expression Predicts Good Prognosis in Patients with Clear-Cell Renal Cell Carcinoma: A Bioinformatics Analysis with Experimental Validation
Abstract
1. Introduction
2. Materials and Methods
2.1. Data Acquisition
2.2. Analysis with the Online Tool
2.3. Cell Culture and RNA Transfection
2.4. RNA Extraction and RT–qPCR Assay
2.5. GSEA and ssGSEA Analysis
2.6. Analysis with R Software
2.7. ScRNA-seq Data Processing
2.8. Prognostic Model Construction and Validation
2.9. Statistical Significance
3. Results
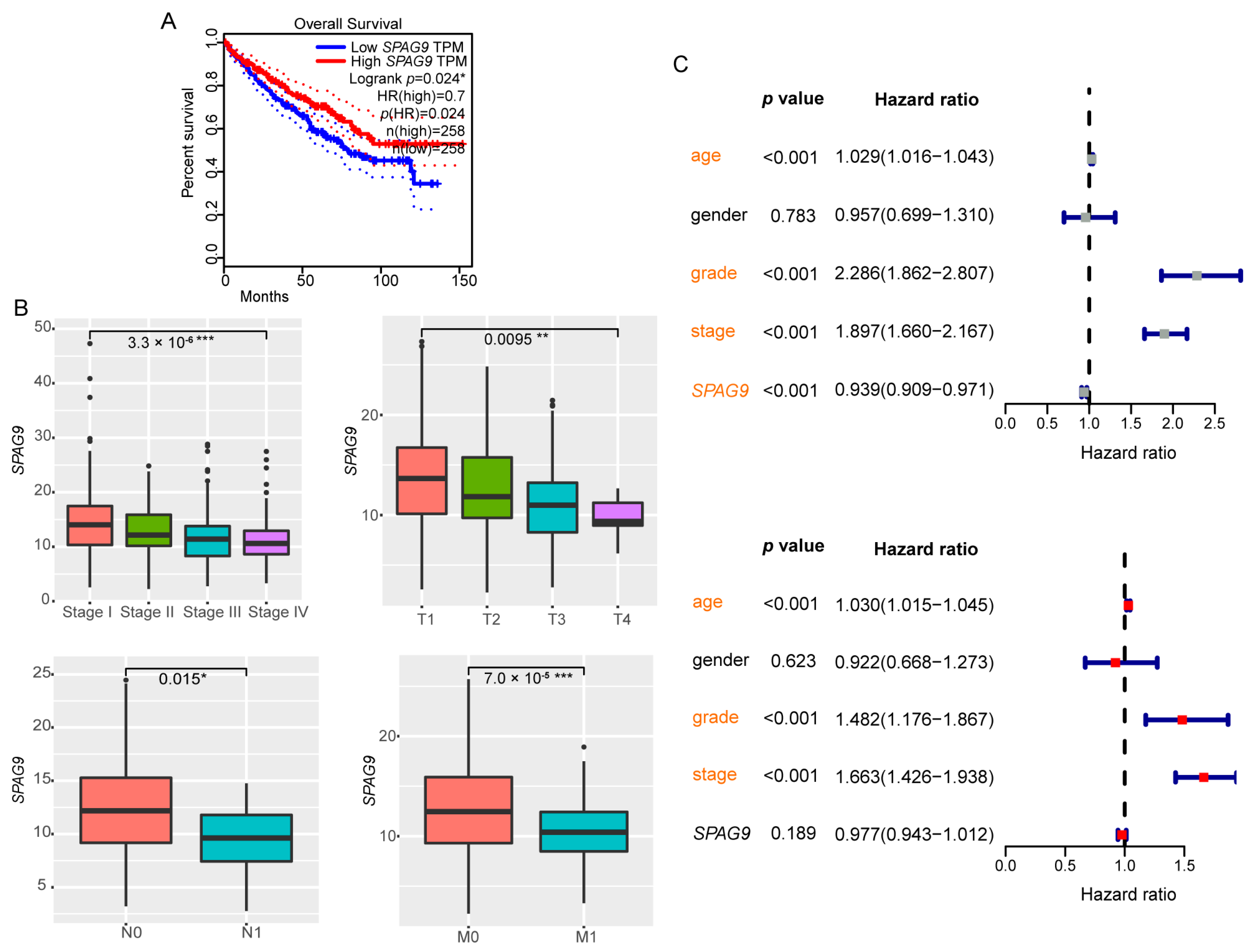
3.1. SPAG9 Expression Suggests Poor Prognosis in Pan-Cancer Patients but Good Prognosis in ccRCC Patients
3.2. SPAG9 Increases the Expression of Autophagy-Related Genes in 786-O Cells, but Not in HTB-9 Cells
3.3. SPAG9 Expression Was Significantly Correlated with a Weaker Inflammatory Response in ccRCC but Not in BLCA
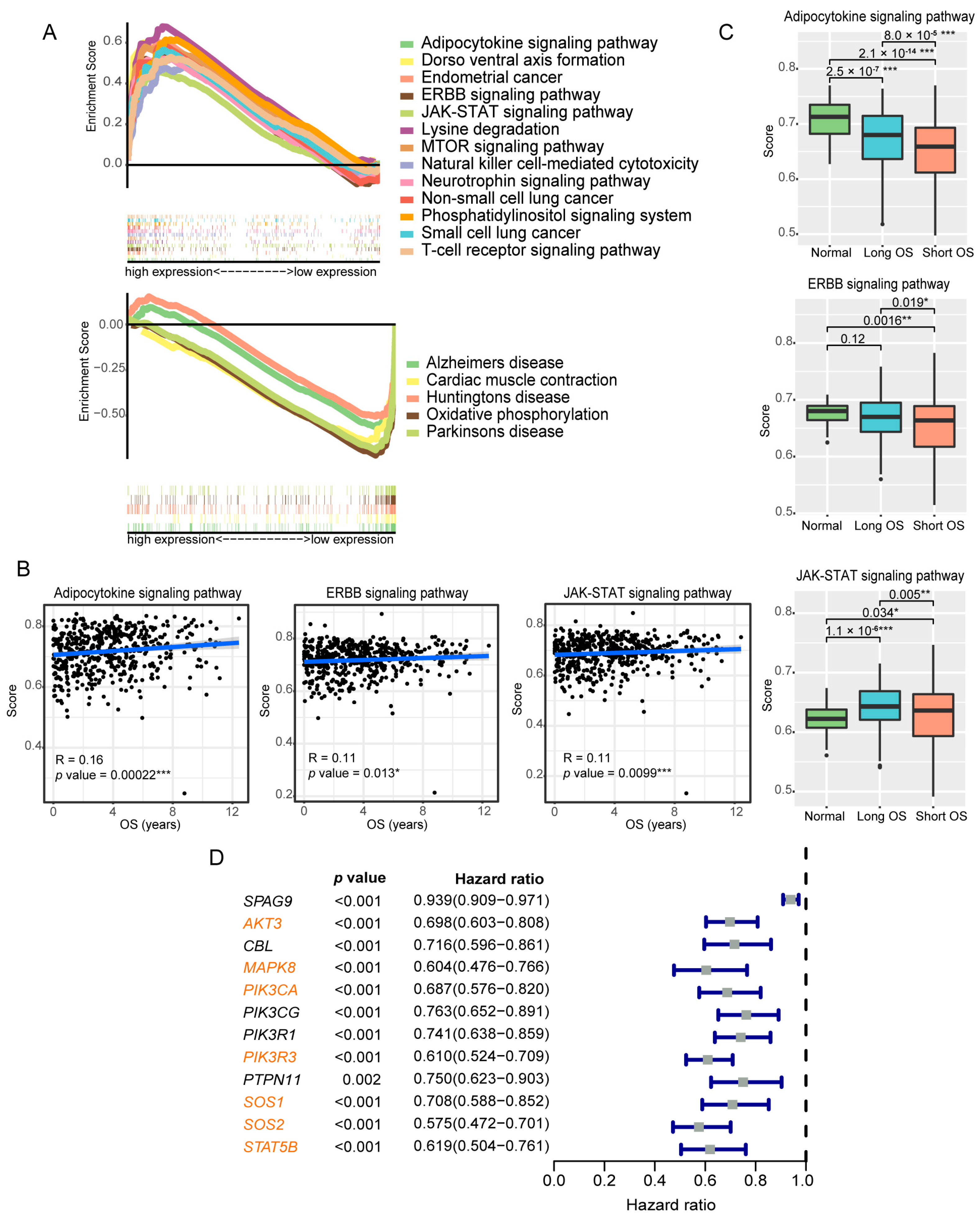
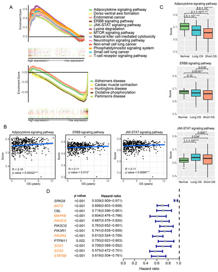
3.4. The Correlation between SPAG9 Expression and ccRCC Prognosis Depends on the Expression of Key Genes
3.5. The Key Genes May Have a Synergistic Effect with SPAG9 in Terms of Promoting Autophagy
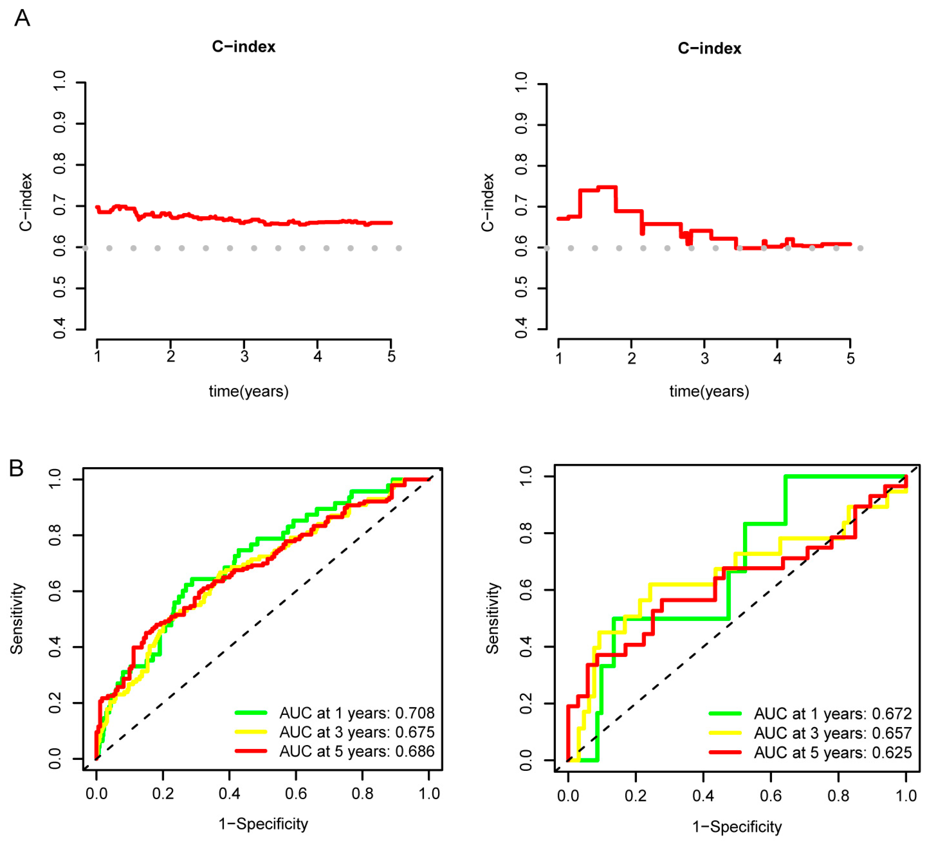
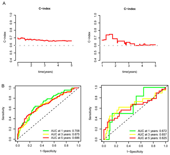
3.6. Construction and Validation of a SPAG9-Based ccRCC Prognostic Model
4. Discussion
5. Conclusions
Supplementary Materials
Author Contributions
Funding
Institutional Review Board Statement
Informed Consent Statement
Data Availability Statement
Conflicts of Interest
References
- Hsieh, J.J.; Purdue, M.P.; Signoretti, S.; Swanton, C.; Albiges, L.; Schmidinger, M.; Heng, D.Y.; Larkin, J.; Ficarra, V. Renal Cell Carcinoma. Nat. Rev. Dis. Prim. 2017, 3, 17009. [Google Scholar] [CrossRef] [PubMed]
- Siegel, R.L.; Miller, K.D.; Fuchs, H.E.; Jemal, A. Cancer Statistics, 2021. CA A Cancer J. Clin. 2021, 71, 7–33. [Google Scholar] [CrossRef]
- Khattak, M.; Larkin, J. Sequential Therapy with Targeted Agents in Metastatic Renal Cell Carcinoma: Beyond Second-Line and Overcoming Drug Resistance. World J. Urol. 2014, 32, 19–29. [Google Scholar] [CrossRef] [PubMed]
- Garg, M.; Kanojia, D.; Khosla, A.; Dudha, N.; Sati, S.; Chaurasiya, D.; Jagadish, N.; Seth, A.; Kumar, R.; Gupta, S.; et al. Sperm-Associated Antigen 9 is Associated with Tumor Growth, Migration, and Invasion in Renal Cell Carcinoma. Cancer Res. 2008, 68, 8240–8248. [Google Scholar] [CrossRef]
- Kanojia, D.; Garg, M.; Gupta, S.; Gupta, A.; Suri, A. Sperm-Associated Antigen 9 Is a Novel Biomarker for Colorectal Cancer and is Involved in Tumor Growth and Tumorigenicity. Am. J. Pathol. 2011, 178, 1009–1020. [Google Scholar] [CrossRef] [PubMed]
- Kanojia, D.; Garg, M.; Saini, S.; Agarwal, S.; Parashar, D.; Jagadish, N.; Seth, A.; Bhatnagar, A.; Gupta, A.; Kumar, R.; et al. Sperm Associated Antigen 9 Plays an Important Role in Bladder Transitional Cell Carcinoma. PLoS ONE 2013, 8, e81348. [Google Scholar] [CrossRef] [PubMed]
- Chen, F.; Lu, Z.; Deng, J.; Han, X.; Bai, J.; Liu, Q.; Xi, Y.; Zheng, J. SPAG9 Expression is Increased in Human Prostate Cancer and Promotes Cell Motility, Invasion and Angiogenesis In Vitro. Oncol. Rep. 2014, 32, 2533–2540. [Google Scholar] [CrossRef]
- Miao, Z.F.; Wang, Z.N.; Zhao, T.T.; Xu, Y.Y.; Wu, J.H.; Liu, X.Y.; Xu, H.; You, Y.; Xu, H.M. Overexpression of SPAG9 in Human Gastric Cancer is Correlated with Poor Prognosis. Virchows Arch. 2015, 467, 525–533. [Google Scholar] [CrossRef]
- Ha, J.H.; Yan, M.; Gomathinayagam, R.; Jayaraman, M.; Husain, S.; Liu, J.; Mukherjee, P.; Reddy, E.P.; Song, Y.S.; Dhanasekaran, D.N. Aberrant Expression of JNK-Associated Leucine-Zipper Protein, JLP, Promotes Accelerated Growth of Ovarian Cancer. Oncotarget 2016, 7, 72845–72859. [Google Scholar] [CrossRef]
- Jagadish, N.; Gupta, N.; Agarwal, S.; Parashar, D.; Sharma, A.; Fatima, R.; Topno, A.P.; Kumar, V.; Suri, A. Sperm-Associated Antigen 9 (Spag9) Promotes the Survival and Tumor Growth of Triple-Negative Breast Cancer Cells. Tumour Biol. 2016, 37, 13101–13110. [Google Scholar] [CrossRef]
- Xiao, C.; Fu, L.; Yan, C.; Shou, F.; Liu, Q.; Li, L.; Cui, S.; Duan, J.; Jin, G.; Chen, J.; et al. SPAG9 is Overexpressed in Osteosarcoma, and Regulates Cell Proliferation and Invasion through Regulation of JunD. Oncol. Lett. 2016, 12, 2674–2679. [Google Scholar] [CrossRef]
- Yang, X.; Zhou, W.; Liu, S. Spag9 Controls the Cell Motility, Invasion and Angiogenesis of Human Osteosarcoma Cells. Exp. Ther. Med. 2016, 11, 637–644. [Google Scholar] [CrossRef] [PubMed]
- Jagadish, N.; Fatima, R.; Sharma, A.; Devi, S.; Suri, V.; Kumar, V.; Suri, A. Sperm Associated Antigen 9 (SPAG9) a Promising Therapeutic Target of Ovarian Carcinoma. Tumour Biol. 2018, 40, 1010428318773652. [Google Scholar] [CrossRef]
- Li, X.; Jiang, F.; Wang, X.; Gu, X. Spag9 regulates HEF1 Expression and Drives EMT in Bladder Transitional Cell Carcinoma via rac1 Signaling Pathway. Am. J. Cancer Res. 2018, 8, 2467–2480. [Google Scholar]
- Ren, B.; Zou, G.; He, J.; Huang, Y.; Ma, G.; Xu, G.; Li, Y.; Yu, P. Sperm-Associated antigen 9 is Upregulated in Hepatocellular Carcinoma Tissue and Enhances QGY cell Proliferation and Invasion In Vitro. Oncol. Lett. 2018, 15, 415–422. [Google Scholar] [CrossRef] [PubMed]
- Luo, S.; Ren, B.; Zou, G.; Liu, J.; Chen, W.; Huang, Y.; Chen, X.; Fu, Y. SPAG9/MKK3/p38 axis Is a Novel Therapeutic Target for Liver Cancer. Oncol. Rep. 2019, 41, 2329–2336. [Google Scholar] [CrossRef]
- Xiao, C.; Li, M.; Huang, Q.; Si-Tu, J. SPAG9 Promotes Prostate Cancer Proliferation and Metastasis via MAPK Signaling Pathway. Am. J. Transl. Res. 2019, 11, 5249–5260. [Google Scholar]
- Boldbaatar, J.; Gunarta, I.K.; Suzuki, R.; Erdenebaatar, P.; Davaakhuu, G.; Hohjoh, H.; Yoshioka, K. Protective Role of c-Jun NH(2)-Terminal Kinase-Associated Leucine Zipper Protein (JLP) in Curcumin-Induced Cancer Cell Death. Biochem. Biophys. Res. Commun. 2020, 522, 697–703. [Google Scholar] [CrossRef] [PubMed]
- Suzuki, R.; Gunarta, I.K.; Boldbaatar, J.; Erdenebaatar, P.; Odongoo, R.; Yoshioka, K. Functional role of c-Jun NH(2)-Terminal Kinase-Associated Leucine Zipper Protein (JLP) in Lysosome Localization and Autophagy. Drug Discov. Ther. 2020, 14, 35–41. [Google Scholar] [CrossRef]
- Su, C.; Lv, Y.; Lu, W.; Yu, Z.; Ye, Y.; Guo, B.; Liu, D.; Yan, H.; Li, T.; Zhang, Q.; et al. Single-Cell RNA Sequencing in Multiple Pathologic Types of Renal Cell Carcinoma Revealed Novel Potential Tumor-Specific Markers. Front. Oncol. 2021, 11, 719564. [Google Scholar] [CrossRef] [PubMed]
- Tang, Z.; Kang, B.; Li, C.; Chen, T.; Zhang, Z. GEPIA2: An Enhanced Web Server for Large-Scale Expression Profiling and Interactive Analysis. Nucleic Acids Res. 2019, 47, W556–W560. [Google Scholar] [CrossRef]
- Terlizzi, M.; Casolaro, V.; Pinto, A.; Sorrentino, R. Inflammasome: Cancer’s Friend or Foe? Pharmacol. Ther. 2014, 143, 24–33. [Google Scholar] [CrossRef]
- Zheng, L.; Qin, S.; Si, W.; Wang, A.; Xing, B.; Gao, R.; Ren, X.; Wang, L.; Wu, X.; Zhang, J.; et al. Pan-Cancer Single-Cell Landscape of Tumor-Infiltrating T cells. Science 2021, 374, abe6474. [Google Scholar] [CrossRef] [PubMed]
- Mootha, V.K.; Lindgren, C.M.; Eriksson, K.F.; Subramanian, A.; Sihag, S.; Lehar, J.; Puigserver, P.; Carlsson, E.; Ridderstråle, M.; Laurila, E.; et al. PGC-1alpha-Responsive Genes Involved in Oxidative Phosphorylation are Coordinately Downregulated in Human Diabetes. Nat. Genet. 2003, 34, 267–273. [Google Scholar] [CrossRef]
- Subramanian, A.; Tamayo, P.; Mootha, V.K.; Mukherjee, S.; Ebert, B.L.; Gillette, M.A.; Paulovich, A.; Pomeroy, S.L.; Golub, T.R.; Lander, E.S.; et al. Gene Set Enrichment Analysis: A Knowledge-Based Approach for Interpreting Genome-Wide Expression Profiles. Proc. Natl. Acad. Sci. USA 2005, 102, 15545–15550. [Google Scholar] [CrossRef] [PubMed]
- Yoshihara, K.; Shahmoradgoli, M.; Martínez, E.; Vegesna, R.; Kim, H.; Torres-Garcia, W.; Treviño, V.; Shen, H.; Laird, P.W.; Levine, D.A.; et al. Inferring Tumour Purity and Stromal and Immune Cell Admixture from Expression Data. Nat. Commun. 2013, 4, 2612. [Google Scholar] [CrossRef]
- Lall, S.; Sinha, D.; Bandyopadhyay, S.; Sengupta, D. Structure-Aware Principal Component Analysis for Single-Cell RNA-seq Data. J. Comput. Biol. 2018, 25, 1365–1373. [Google Scholar] [CrossRef] [PubMed]
- Satija, R.; Farrell, J.A.; Gennert, D.; Schier, A.F.; Regev, A. Spatial Reconstruction of Single-Cell Gene Expression Data. Nat. Biotechnol. 2015, 33, 495–502. [Google Scholar] [CrossRef]
- Aran, D.; Looney, A.P.; Liu, L.; Wu, E.; Fong, V.; Hsu, A.; Chak, S.; Naikawadi, R.P.; Wolters, P.J.; Abate, A.R.; et al. Reference-based Analysis of Lung Single-Cell Sequencing Reveals a Transitional Profibrotic Macrophage. Nat. Immunol. 2019, 20, 163–172. [Google Scholar] [CrossRef]
- Ward-Peterson, M.; Maziak, W. For Smoking Cessation, E-Cigarette Flavors Aren’t Required. Nicotine Tob. Res. 2019, 21, 132–133. [Google Scholar] [CrossRef]
- Qiu, X.; Mao, Q.; Tang, Y.; Wang, L.; Chawla, R.; Pliner, H.A.; Trapnell, C. Reversed Graph Embedding Resolves Complex Single-Cell Trajectories. Nat. Methods 2017, 14, 979–982. [Google Scholar] [CrossRef] [PubMed]
- Nagashima, K.; Sato, Y. Information Criteria for Firth’s Penalized Partial Likelihood Approach in Cox Regression Models. Stat. Med. 2017, 36, 3422–3436. [Google Scholar] [CrossRef] [PubMed]
- Wang, Z.; Gao, L.; Guo, X.; Feng, C.; Lian, W.; Deng, K.; Xing, B. Development and Validation of a Nomogram with an Autophagy-Related Gene Signature for Predicting Survival in Patients with Glioblastoma. Aging 2019, 11, 12246–12269. [Google Scholar] [CrossRef]
- Alba, A.C.; Agoritsas, T.; Walsh, M.; Hanna, S.; Iorio, A.; Devereaux, P.J.; McGinn, T.; Guyatt, G. Discrimination and Calibration of Clinical Prediction Models: Users’ Guides to the Medical Literature. JAMA 2017, 318, 1377–1384. [Google Scholar] [CrossRef]
- Xu, G.; Jiang, Y.; Xiao, Y.; Liu, X.D.; Yue, F.; Li, W.; Li, X.; He, Y.; Jiang, X.; Huang, H.; et al. Fast Clearance of Lipid Droplets through MAP1S-Activated Autophagy Suppresses Clear Cell Renal Cell Carcinomas and Promotes Patient Survival. Oncotarget 2016, 7, 6255–6265. [Google Scholar] [CrossRef]
- Radovanovic, M.; Vidicevic, S.; Tasic, J.; Tomonjic, N.; Stanojevic, Z.; Nikic, P.; Vuksanovic, A.; Dzamic, Z.; Bumbasirevic, U.; Isakovic, A.; et al. Role of AMPK/mTOR-Independent autophagy in Clear Cell Renal Cell Carcinoma. J. Investig. Med. 2020, 68, 1386–1393. [Google Scholar] [CrossRef]
- Levine, B.; Kroemer, G. Biological Functions of Autophagy Genes: A Disease Perspective. Cell 2019, 176, 11–42. [Google Scholar] [CrossRef]
- Zhong, Z.; Sanchez-Lopez, E.; Karin, M. Autophagy, Inflammation, and Immunity: A Troika Governing Cancer and Its Treatment. Cell 2016, 166, 288–298. [Google Scholar] [CrossRef]
- Kimmelman, A.C.; White, E. Autophagy and Tumor Metabolism. Cell Metab. 2017, 25, 1037–1043. [Google Scholar] [CrossRef] [PubMed]
- Amaravadi, R.K.; Kimmelman, A.C.; Debnath, J. Targeting Autophagy in Cancer: Recent Advances and Future Directions. Cancer Discov. 2019, 9, 1167–1181. [Google Scholar] [CrossRef]
- Xiao, W.; Xiong, Z.; Xiong, W.; Yuan, C.; Xiao, H.; Ruan, H.; Song, Z.; Wang, C.; Bao, L.; Cao, Q.; et al. Melatonin/PGC1A/UCP1 Promotes Tumor Slimming and Represses Tumor Progression by Initiating Autophagy and Lipid Browning. J. Pineal Res. 2019, 67, e12607. [Google Scholar] [CrossRef] [PubMed]
- Choi, M.E. Autophagy in Kidney Disease. Annu. Rev. Physiol. 2020, 82, 297–322. [Google Scholar] [CrossRef] [PubMed]
- Yang, H.; Han, M.; Li, H. Construction and Validation of an Autophagy-Related Prognostic Risk Signature for Survival Predicting in Clear Cell Renal Cell Carcinoma Patients. Front. Oncol. 2020, 10, 707. [Google Scholar] [CrossRef] [PubMed]
- Gui, C.P.; Cao, J.Z.; Tan, L.; Huang, Y.; Tang, Y.M.; Li, P.J.; Chen, Y.H.; Lu, J.; Yao, H.H.; Chen, Z.H.; et al. A Panel of Eight Autophagy-Related Long Non-Coding RNAs Is a Good Predictive Parameter for Clear Cell Renal Cell Carcinoma. Genomics 2021, 113, 740–754. [Google Scholar] [CrossRef]
- He, M.; Li, M.; Guan, Y.; Wan, Z.; Tian, J.; Xu, F.; Zhou, H.; Gao, M.; Bi, H.; Chong, T. A New Prognostic Risk Score: Based on the Analysis of Autophagy-Related Genes and Renal Cell Carcinoma. Front. Genet. 2021, 12, 820154. [Google Scholar] [CrossRef]
- Li, X.; Yu, H.; Wei, Z.; Gou, X.; Liang, S.; Liu, F. A Novel Prognostic Model Based on Autophagy-Related Long Non-Coding RNAs for Clear Cell Renal Cell Carcinoma. Front. Oncol. 2021, 11, 711736. [Google Scholar] [CrossRef]
- Xuan, Y.; Chen, W.; Liu, K.; Gao, Y.; Zuo, S.; Wang, B.; Ma, X.; Zhang, X. A Risk Signature with Autophagy-Related Long Noncoding RNAs for Predicting the Prognosis of Clear Cell Renal Cell Carcinoma: Based on the TCGA Database and Bioinformatics. Dis. Mrk. 2021, 2021, 8849977. [Google Scholar] [CrossRef]
- Saeed, M.; Khalid, H.; Thakur, S.; Efferth, T. Protein Expression Profiling and Virtual Drug Screening as an Approach for Individualized Therapy of Small Cell Vaginal Carcinoma. Cancer Genom. Proteom. 2022, 19, 512–525. [Google Scholar] [CrossRef]
- Pan, J.; Yu, H.; Guo, Z.; Liu, Q.; Ding, M.; Xu, K.; Mao, L. Emerging role of sperm-associated antigen 9 in tumorigenesis. Biomed. Pharmacother. 2018, 103, 1212–1216. [Google Scholar] [CrossRef]









Disclaimer/Publisher’s Note: The statements, opinions and data contained in all publications are solely those of the individual author(s) and contributor(s) and not of MDPI and/or the editor(s). MDPI and/or the editor(s) disclaim responsibility for any injury to people or property resulting from any ideas, methods, instructions or products referred to in the content. |
© 2023 by the authors. Licensee MDPI, Basel, Switzerland. This article is an open access article distributed under the terms and conditions of the Creative Commons Attribution (CC BY) license (https://creativecommons.org/licenses/by/4.0/).
Share and Cite
Qiao, L.; Zhang, L.; Wang, H. SPAG9 Expression Predicts Good Prognosis in Patients with Clear-Cell Renal Cell Carcinoma: A Bioinformatics Analysis with Experimental Validation. Genes 2023, 14, 944. https://doi.org/10.3390/genes14040944
Qiao L, Zhang L, Wang H. SPAG9 Expression Predicts Good Prognosis in Patients with Clear-Cell Renal Cell Carcinoma: A Bioinformatics Analysis with Experimental Validation. Genes. 2023; 14(4):944. https://doi.org/10.3390/genes14040944
Chicago/Turabian StyleQiao, Liwen, Lu Zhang, and Huiming Wang. 2023. "SPAG9 Expression Predicts Good Prognosis in Patients with Clear-Cell Renal Cell Carcinoma: A Bioinformatics Analysis with Experimental Validation" Genes 14, no. 4: 944. https://doi.org/10.3390/genes14040944
APA StyleQiao, L., Zhang, L., & Wang, H. (2023). SPAG9 Expression Predicts Good Prognosis in Patients with Clear-Cell Renal Cell Carcinoma: A Bioinformatics Analysis with Experimental Validation. Genes, 14(4), 944. https://doi.org/10.3390/genes14040944

