Inheritance of Early and Late Ascochyta Blight Resistance in Wide Crosses of Chickpea
Abstract
1. Introduction
2. Materials and Methods
2.1. Field Experiments
2.2. Trait Analysis
2.3. Genotyping
2.4. Quantitative Trait Locus Analysis
2.5. Candidate Gene Search
3. Results
3.1. Ascochyta Resistance Expression
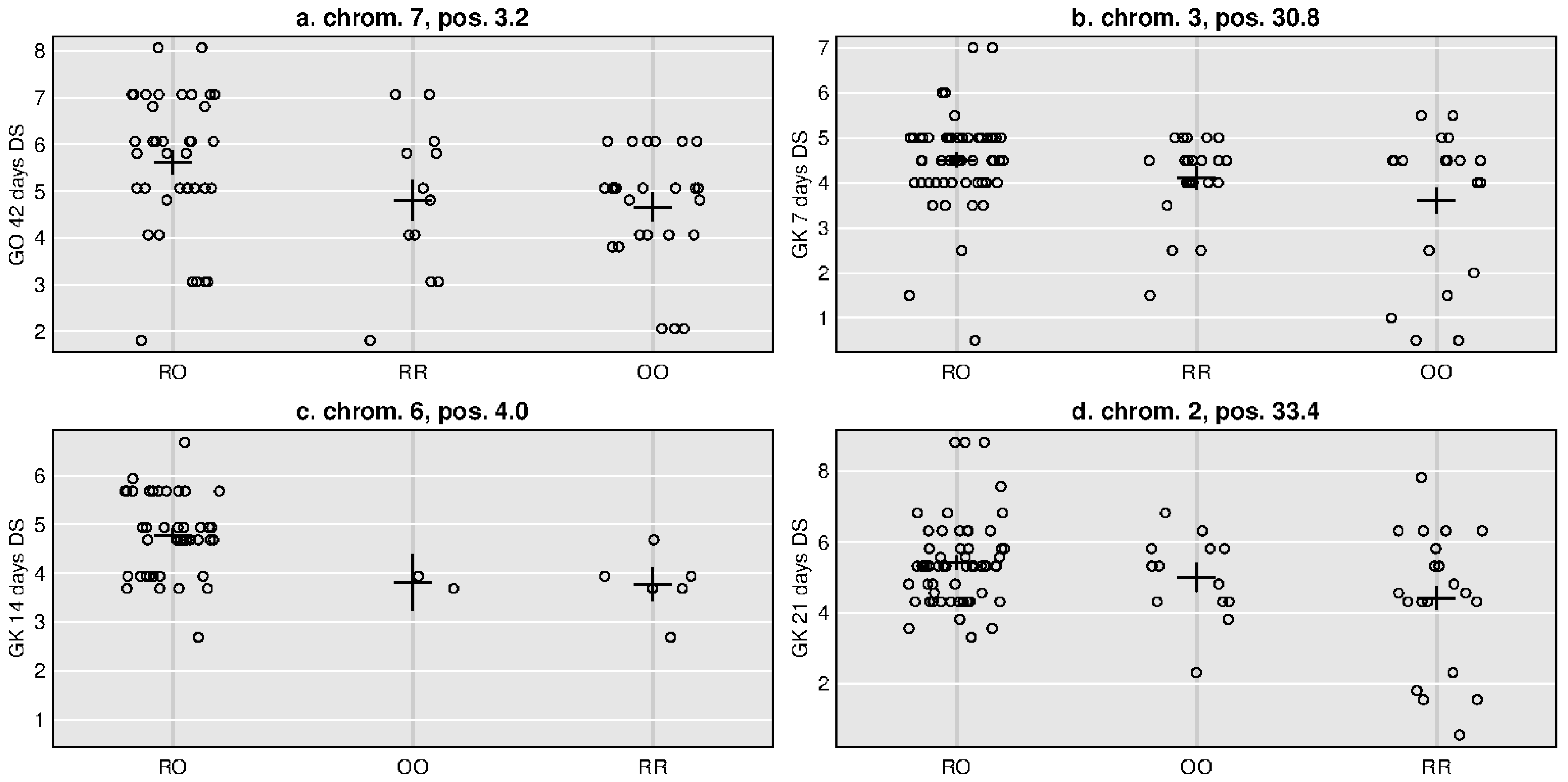
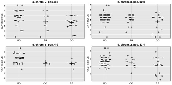
3.2. Ascochyta Resistance Quantitative Trait Loci
3.3. Ascochyta Resistance Candidate Genes
4. Discussion
4.1. Ascochyta Resistance Expression
4.2. Ascochyta Resistance Quantitative Trait Loci
4.3. Ascochyta Resistance Candidate Genes
5. Conclusions
Supplementary Materials
Author Contributions
Funding
Data Availability Statement
Acknowledgments
Conflicts of Interest
References
- Jain, M.; Misra, G.; Patel, R.K.; Priya, P.; Jhanwar, S.; Khan, A.W.; Shah, N.; Singh, V.K.; Garg, R.; Jeena, G.; et al. A draft genome sequence of the pulse crop chickpea (Cicer arietinum L.). Plant J. 2013, 74, 715–729. [Google Scholar] [CrossRef] [PubMed]
- Varshney, R.K.; Song, C.; Saxena, R.K.; Azam, S.; Yu, S.; Sharpe, A.G.; Cannon, S.; Baek, J.; Rosen, B.D.; Tar’an, B.; et al. Draft genome sequence of chickpea (Cicer arietinum) provides a resource for trait improvement. Nat. Biotechnol. 2013, 31, 240–246. [Google Scholar] [CrossRef] [PubMed]
- Malunga, L.N.; Bar-El, S.D.; Zinal, E.; Berkovich, Z.; Abbo, S.; Reifen, R. The potential use of chickpeas in development of infant follow-on formula. Nutr. J. 2014, 13, 8. [Google Scholar] [CrossRef] [PubMed]
- Singh, M.; Malhotra, N.; Singh, K. Broadening the genetic base of cultivated chickpea following introgression of wild Cicer species-progress, constraints and prospects. Genet. Resour. Crop Evol. 2021, 68, 2181–2205. [Google Scholar] [CrossRef]
- Udupa, S.M.; Weigand, F.; Saxena, M.C.; Kahl, G. Genotyping with RAPD and microsatellite markers resolves pathotype diversity in the scochyta blight pathogen of chickpea. Theor. Appl. Genet. 1998, 97, 299–307. [Google Scholar] [CrossRef]
- Santra, D.K.; Tekeoglu, M.; Ratnaparkhe, M.; Kaiser, W.J.; Muehlbauer, F.J. Identification and mapping of QTLs conferring resistance to Ascochyta blight in chickpea. Crop Sci. 2000, 40, 1606–1612. [Google Scholar] [CrossRef]
- Bretag, T.W.; MacLeod, W.J.; Kimber, R.B.E.; Moore, K.J.; Knights, E.J.C.; Davidson, J.A. Management of Ascochyta blight in chickpeas in Australia. Australas. Plant Pathol. 2008, 37, 486–497. [Google Scholar] [CrossRef]
- Tekeoglu, M.; Santra, D.K.; Kaiser, W.J.; Muehlbauer, F.J. Ascochyta blight resistance inheritance in three chickpea recombinant inbred line populations. Crop Sci. 2000, 40, 1251–1256. [Google Scholar] [CrossRef]
- von Wettberg, E.J.; Chang, P.L.; Başdemir, F.; Carrasquilla-Garcia, N.; Korbu, L.B.; Moenga, S.M.; Moenga, S.M.; Bedada, G.; Greenlon, A.; Moriuchi, K.S.; et al. Ecology and genomics of an important crop wild relative as a prelude to agricultural innovation. Nat. Commun. 2018, 9, 649. [Google Scholar] [CrossRef]
- Croser, J.S.; Ahmad, F.; Clarke, H.J.; Siddique, K.H.M. Utilisation of wild Cicer in chickpea improvement—Progress, constraints, and prospects. Aust. J. Agric. Res. 2003, 54, 429–444. [Google Scholar] [CrossRef]
- Warschefsky, E.; Penmetsa, R.V.; Cook, D.R.; von Wettberg, E.J.B. Back to the wilds: Tapping evolutionary adaptations for resilient crops through systematic hybridization with crop wild relatives. Am. J. Bot. 2014, 101, 1791–1800. [Google Scholar] [CrossRef]
- Lakmes, A.; Jhar, A.; Penmetsa, R.V.; Wei, W.; Brennan, A.C.; Kahriman, A. The quantitative genetics of flowering traits in wide crosses of chickpea. Agriculture 2022, 12, 486. [Google Scholar] [CrossRef]
- Lakmes, A.; Jhar, A.; Penmetsa, R.V.; Wei, W.; Brennan, A.C.; Kahriman, A. Inheritance of seed weight and growth habit in 10 intercross chickpea (Cicer arietinum) nested association mapping populations. Plant Breed. 2022, 142, 86–96. [Google Scholar] [CrossRef]
- Roorkiwal, M.; Rathore, A.; Das, R.R.; Singh, M.K.; Jain, A.; Srinivasan, S.; Gaur, P.M.; Chellapilla, B.; Tripathi, S.; Li, Y.; et al. Genome-enabled prediction models for yield related traits in chickpea. Front. Plant Sci. 2016, 7, 1666. [Google Scholar] [CrossRef]
- Iruela, M.; Rubio, J.; Barro, F.; Cubero, J.I.; Millán, T.; Gil, J. Detection of two quantitative trait loci for resistance to Ascochyta blight in an intra-specific cross of chickpea (Cicer arietinum L.): Development of SCAR markers associated with resistance. Theor. Appl. Genet. 2006, 112, 278–287. [Google Scholar] [CrossRef]
- Lichtenzveig, J.; Bonfil, D.J.; Zhang, H.B.; Shtienberg, D.; Abbo, S. Mapping quantitative trait loci in chickpea associated with time to flowering and resistance to Didymella rabiei the causal agent of Ascochyta blight. Theor. Appl. Genet. 2006, 113, 1357–1369. [Google Scholar] [CrossRef]
- Sabbavarapu, M.M.; Sharma, M.; Chamarthi, S.K.; Swapna, N.; Rathore, A.; Thudi, M.; Gaur, P.M.; Pande, S.; Singh, S.; Kaur, L.; et al. Molecular mapping of QTLs for resistance to Fusarium wilt (race 1) and Ascochyta blight in chickpea (Cicer arietinum L.). Euphytica 2013, 193, 121–133. [Google Scholar] [CrossRef]
- Stephens, A.; Lombardi, M.; Cogan, N.O.; Forster, J.W.; Hobson, K.; Materne, M.; Kaur, S. Genetic marker discovery, intraspecific linkage map construction and quantitative trait locus analysis of Ascochyta blight resistance in chickpea (Cicer arietinum L.). Mol. Breed. 2014, 33, 297–313. [Google Scholar] [CrossRef]
- Daba, K.; Deokar, A.; Banniza, S.; Warkentin, T.; Taran, B. QTL mapping of early flowering and resistance to scochyta blight in chickpea (Cicer arietinum L.). Genome 2016, 59, 413–425. [Google Scholar] [CrossRef]
- Garg, T.; Mallikarjuna, B.P.; Thudi, M.; Samineni, S.; Singh, S.; Sandhu, J.S.; Kaur, L.; Singh, I.; Sirari, A.; Basandrai, A.K.; et al. Identification of QTLs for resistance to Fusarium wilt and Ascochyta blight in a recombinant inbred population of chickpea (Cicer arietinum L.). Euphytica 2018, 214, 45. [Google Scholar] [CrossRef]
- Alo, F.; Rani, A.R.; Baum, M.; Singh, S.; Kehel, Z.; Rani, U.; Udupa, S.; Al-Sham’aa, K.; Alsamman, A.; Istanbuli, T.; et al. Novel genomic regions linked to Ascochyta blight resistance in two differentially resistant cultivars of chickpea. Front. Plant Sci. 2022, 13, 762002. [Google Scholar] [CrossRef] [PubMed]
- Deokar, A.; Sagi, M.; Daba, K.; Taran, B. QTL sequencing strategy to map genomic regions associated with resistance to Ascochyta blight in chickpea. Plant Biotechnol. J. 2019, 17, 275–288. [Google Scholar] [CrossRef] [PubMed]
- Li, Y.; Ruperao, P.; Batley, J.; Edwards, D.; Davidson, J.; Hobson, K.; Sutton, T. Genome analysis identified novel candidate genes for Ascochyta blight resistance in chickpea using whole genome re-sequencing data. Front. Plant Sci. 2017, 8, 359. [Google Scholar] [CrossRef] [PubMed]
- Collard, B.C.Y.; Pang, E.C.K.; Ades, P.K.; Taylor, P.W.J. Preliminary investigation of QTLs associated with seedling resistance to Ascochyta blight from Cicer echinospermum, a wild relative of chickpea. Theor. Appl. Genet. 2003, 107, 719–729. [Google Scholar] [CrossRef]
- Sudheesh, S.; Kahrood, H.V.; Braich, S.; Dron, N.; Hobson, K.; Cogan, N.O.I.; Kaur, S. Application of genomics approaches for the improvement in Ascochyta blight resistance in chickpea. Agronomy 2021, 11, 1937. [Google Scholar] [CrossRef]
- Kahraman, A.; Pandey, A.; Khan, M.K.; Lindsay, D.; Moenga, S.; Vance, L.; Bergmann, E.; Carrasquilla-Garcia, N.; Shin, M.G.; Chang, P.L.; et al. Distinct Subgroups of Cicer echinospermum are associated with hybrid sterility and breakdown in interspecific crosses with cultivated chickpea. Crop Sci. 2017, 57, 3101–3111. [Google Scholar] [CrossRef]
- Mizuno, N.; Hosogi, N.; Park, P.; Takumi, S. Hypersensitive response-like reaction is associated with hybrid necrosis in interspecific crosses between tetraploid wheat and Aegilops tauschii Coss. PloS ONE 2010, 5, e11326. [Google Scholar] [CrossRef]
- Shiragaki, K.; Yokoi, S.; Tezuka, T. A hypersensitive response-like reaction is involved in hybrid weakness in F1 plants of the cross Capsicum annuum× Capsicum chinense. Breed. Sci. 2020, 430–437. [Google Scholar] [CrossRef]
- Chongo, G.; Gossen, B.D. Effect of plant age on resistance to Ascochyta rabiei in chickpea. Can. J. Plant Pathol. 2001, 23, 358–363. [Google Scholar] [CrossRef]
- Kaur, K.; Grewal, S.K.; Singh, S.; Rani, U.; Bhardwaj, R.D. Timing and intensity of upregulated defensive enzymes is a key factor determining resistance in chickpea to Ascochyta rabiei. Physiol. Mol. Plant Pathol. 2021, 114, 101645. [Google Scholar] [CrossRef]
- Salotti, I.; Rossi, V.A. Mechanistic weather-driven model for Ascochyta rabiei infection and disease development in chickpea. Plants 2021, 10, 464. [Google Scholar] [CrossRef]
- Singh, R.; Kumar, K.; Purayannur, S.; Chen, W.; Verma, P.K. Ascochyta rabiei: A threat to global chickpea production. Mol. Plant Pathol. 2022, 23, 1241–1261. [Google Scholar] [CrossRef]
- Lee, J.R.; Lee, S.S.; Park, S.C.; Kang, J.S.; Kim, S.Y.; Lee, K.O.; Lee, S.Y. Functional characterization of pathogen-responsive protein AtDabb1 with an antifungal activity from Arabidopsis thaliana. Biochim. Biophys. Acta BBA Proteins Proteom. 2008, 1784, 1918–1923. [Google Scholar] [CrossRef]
- Guy, E.; Lautier, M.; Chabannes, M.; Roux, B.; Lauber, E.; Arlat, M.; Noël, L.D. xopAC-triggered immunity against Xanthomonas depends on Arabidopsis receptor-like cytoplasmic kinase genes PBL2 and RIPK. PLoS ONE 2013, 8, e73469. [Google Scholar] [CrossRef]
- Bischoff, V.; Selbig, J.; Scheible, W.R. Involvement of TBL/DUF231 proteins into cell wall biology. Plant Signal. Behav. 2010, 5, 1057–1059. [Google Scholar] [CrossRef]
- McHale, L.; Tan, X.; Koehl, P.; Michelmore, R.W. Plant NBS-LRR proteins: Adaptable guards. Genome Biol. 2006, 7, 212. [Google Scholar] [CrossRef]
- Padmanabhan, M.; Cournoyer, P.; Dinesh-Kumar, S.P. The leucine-rich repeat domain in plant innate immunity: A wealth of possibilities. Cell Microbiol. 2009, 11, 191–198. [Google Scholar] [CrossRef]
- Froidure, S.; Canonne, J.; Daniel, X.; Jauneau, A.; Brière, C.; Roby, D.; Rivas, S. At sPLA2−α nuclear relocalization by the Arabidopsis transcription factor AtMYB30 leads to repression of the plant defense response. Proc. Natl. Acad. Sci. USA 2010, 107, 15281–15286. [Google Scholar] [CrossRef]
- Yang, T.; Bar-Peled, L.; Gebhart, L.; Lee, S.G.; Bar-Peled, M. Identification of galacturonic acid-1-phosphate kinase, a new member of the GHMP kinase superfamily in plants, and comparison with galactose-1-phosphate kinase. J. Biol. Chem. 2009, 284, 21526–21535. [Google Scholar] [CrossRef]




| Line\Measure | DS 7 Days | DS 14 Days | DS 21 Days | DS 28 Days | DS 35 Days | DS 42 Days | AUDPC | Severity |
|---|---|---|---|---|---|---|---|---|
| Gocke × Oyali | ||||||||
| Sus. Check | 5 (0) | 5 (0.2) | 5.75 (0.68) | 6 (0.24) | 6 (0.24) | 7 (0.13) | 64.35 (2.12) | 201.25 (7.57) |
| Res. Check | 1 (0) | 1 (0.2) | 1 (0.2) | 1 (0.24) | 1.5 (0.38) | 2 (0.13) | 13.89 (1.87) | 42 (6.64) |
| Gokce | 4 (0) | 4.5 (0.46) | 5.25 (0.35) | 5.5 (0.38) | 6 (0.24) | 7 (0.13) | 59.72 (2.31) | 187.25 (8.93) |
| Oyali | 1 (0) | 1.5 (0.46) | 2 (0.61) | 2.25 (0.31) | 2.75 (0.31) | 3.25 (0.38) | 23.61 (3.45) | 74.38 (11.98) |
| Family | 2.96 (1.32) | 3.31 (1.55) | 4.11 (1.42) | 4.61 (1.44) | 4.94 (1.46) | 5.18 (1.55) | 46.49 (15.26) | 147.26 (48.26) |
| Gocke × Karab | ||||||||
| Sus. Check | 6 (0.41) | 6.25 (0.52) | 6.5 (0.24) | 7.25 (0.46) | 7.75 (0.43) | 8.75 (0.31) | 78.7 (3.39) | 245.88 (10.82) |
| Res. Check | 1 (0.41) | 1 (0.47) | 1.25 (0.31) | 1.25 (0.46) | 1.75 (0.43) | 2 (0.24) | 15.28 (3.31) | 47.25 (10.75) |
| Gokce | 4.75 (0.29) | 4.75 (0.13) | 5 (0.38) | 5.75 (0.2) | 6.5 (0.24) | 7 (0.24) | 62.5 (1.54) | 195.13 (4.71) |
| Oyali | 1.25 (0.29) | 1.75 (0.13) | 2.5 (0.24) | 2.75 (0.2) | 3.25 (0.31) | 3.5 (0.38) | 27.78 (0.8) | 88.38 (1.66) |
| Family | 4.15 (1.27) | 4.37 (1.21) | 5.15 (1.34) | 5.7 (1.39) | 6.15 (1.47) | 6.46 (1.47) | 59.23 (13.8) | 186.76 (43.76) |
| Family | Gokce × Oyali | Gokce × Karab | Gokce × Karab | Gokce × Karab |
|---|---|---|---|---|
| Trait | 42 days DS | 7 days DS | 14 days DS | 21 days DS |
| Location | 7, 3.22 (0.2–19.8) | 3, 30.81 (20.2–39.0) | 6, 4.04 (2.0–49.6) | 2, 33.36 (13.8–33.4) |
| LOD | 3.08 | 3.09 | 3.10 | 3.06 |
| PVE | 9.04 | 9.46 | 9.49 | 9.39 |
| SNP | c7.loc3 | Ca1C19697 | c6.loc4 | Ca_TOG894262 |
| Mu | 4.99 | 4.00 | 4.06 | 4.99 |
| RR | −0.37 | 0.09 | −0.55 | −0.71 |
| RO | 0.79 | 0.48 | 0.64 | 0.44 |
| OO | −0.42 | −0.57 | −0.1 | 0.27 |
| Add. effect | −0.03 | −0.33 | 0.22 | 0.49 |
| QTL | Name | Location | UniProt Homology | InterPro Annotation |
|---|---|---|---|---|
| GK 21 days DS | Ca_10189 | Ca2: 33352996 33354461 | K7M9T1_SOYBN Uncharacterized protein | IPR008700: TypeIII_avirulence_cleave |
| GK 21 days DS | Ca_10186 | Ca2: 33398850 33402874 | R13L1_ARATH Putative disease resistance RPP13-like protein 1 | IPR000767: Disease resistance protein |
| GK 14 days DS | Ca_05900 | Ca6: 3993752 3995748 | FBL77_ARATH F-box/LRR-repeat protein At4g29420 | |
| GK 14 days DS | Ca_05898 | Ca6: 3999495 4001208 | CAMT3_ARATH (Probable caffeoyl-CoA O-methyltransferase At4g26220 | IPR002935: SAM_O-MeTrfase |
| GK 14 days DS | Ca_05885 | Ca6: 4110108 4110886 | PLA2A_ARATH Phospholipase A2-α | IPR013090: PLipase_A2_AS |
| GK 14 days DS | Ca_05884 | Ca6: 4112113 4121268 | GALAK_ARATH Galacturonokinase | IPR000705: Galactokinase |
| GO 42 days DS | Ca_03156 | Ca7: 3143105 3143773 | DABB1_ARATH Stress-response A/B barrel domain-containing protein | IPR011008 Dimeric_a/b-barrel: |
| GO 42 days DS | Ca_03143 | Ca7: 3236202 3238286 | RIPK_ARATH Serine/threonine-protein kinase RIPK | IPR000719: Prot_kinase_dom |
| GO 42 days DS | Ca_03139 | Ca7: 3293784 3297878 | TBL16_ARATH Protein trichome birefringence-like 16 |
Disclaimer/Publisher’s Note: The statements, opinions and data contained in all publications are solely those of the individual author(s) and contributor(s) and not of MDPI and/or the editor(s). MDPI and/or the editor(s) disclaim responsibility for any injury to people or property resulting from any ideas, methods, instructions or products referred to in the content. |
© 2023 by the authors. Licensee MDPI, Basel, Switzerland. This article is an open access article distributed under the terms and conditions of the Creative Commons Attribution (CC BY) license (https://creativecommons.org/licenses/by/4.0/).
Share and Cite
Lakmes, A.; Jhar, A.; Brennan, A.C.; Kahriman, A. Inheritance of Early and Late Ascochyta Blight Resistance in Wide Crosses of Chickpea. Genes 2023, 14, 316. https://doi.org/10.3390/genes14020316
Lakmes A, Jhar A, Brennan AC, Kahriman A. Inheritance of Early and Late Ascochyta Blight Resistance in Wide Crosses of Chickpea. Genes. 2023; 14(2):316. https://doi.org/10.3390/genes14020316
Chicago/Turabian StyleLakmes, Abdulkarim, Abdullah Jhar, Adrian C. Brennan, and Abdullah Kahriman. 2023. "Inheritance of Early and Late Ascochyta Blight Resistance in Wide Crosses of Chickpea" Genes 14, no. 2: 316. https://doi.org/10.3390/genes14020316
APA StyleLakmes, A., Jhar, A., Brennan, A. C., & Kahriman, A. (2023). Inheritance of Early and Late Ascochyta Blight Resistance in Wide Crosses of Chickpea. Genes, 14(2), 316. https://doi.org/10.3390/genes14020316

