Growth and DNA Methylation Alteration in Rice (Oryza sativa L.) in Response to Ozone Stress
Abstract
:1. Introduction
2. Materials and Methods
2.1. Plant Materials and O3 Stress Treatment
2.2. Measurement and Statistics of Agronomic Traits of Rice
2.3. MSAP Analysis on Genome of Rice Leaf
2.4. Isolation and Identification of Specific Variant Bands
2.5. DNA Sequence Alignment and Homology Probing
3. Results
3.1. Damage to Rice Leaves Caused by O3 Stress
3.2. Analysis of Agronomic Traits of Rice under Ozone Stress Treatment
3.3. Extensive Methylation Alteration in Rice Genomic DNA Induced by Ozone Stress
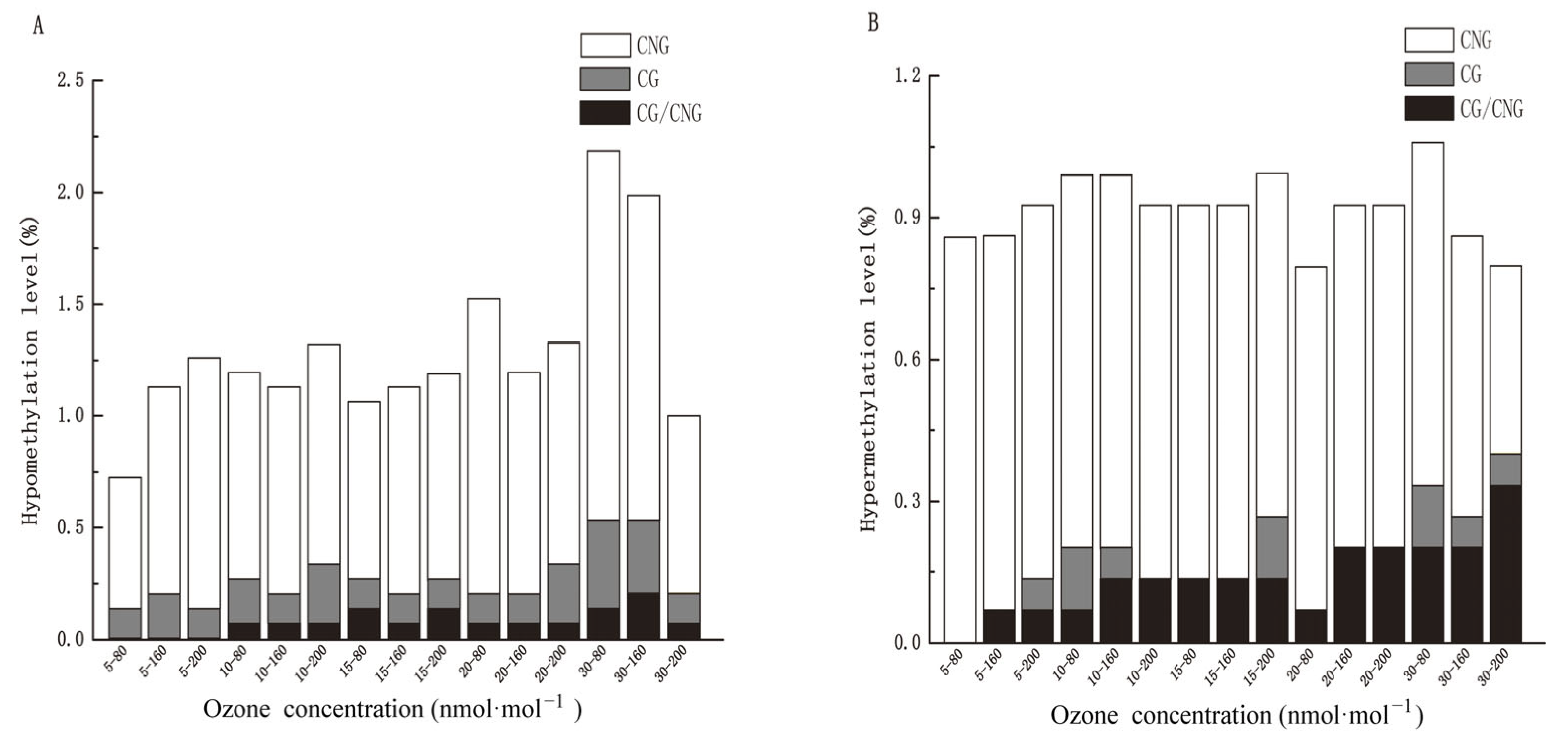
3.4. Analysis of Overall DNA Methylation and Demethylation Sites in Rice under Ozone Stress
3.5. Differential Methylation Sequence Analysis
4. Discussion
5. Conclusions
Supplementary Materials
Author Contributions
Funding
Institutional Review Board Statement
Informed Consent Statement
Data Availability Statement
Acknowledgments
Conflicts of Interest
References
- Wagg, S.; Mills, G.; Hayes, F.; Wilkinson, S.; Cooper, D.; Davies, W.J. Reduced soil water availability did not protect two competing grassland species from the negative effects of increasing background ozone. Environ. Pollut. 2012, 165, 91–99. [Google Scholar] [CrossRef]
- Matyssek, R.; Kozovits, A.R.; Schnitzler, J.-P.; Pretzsch, H.; Dieler, J.; Wieser, G. Forest trees under air pollution as a factor of climate change. In Trees in a Changing Environment: Ecophysiology, Adaptation, and Future Survival; Tausz, M., Grulke, N., Eds.; Springer: Dordrecht, The Netherlands, 2014; pp. 117–163. [Google Scholar]
- Prather, M.; Gauss, M.; Berntsen, T.; Isaksen, I.; Sundet, J.; Bey, I.; Brasseur, G.; Dentener, F.; Derwent, R.; Stevenson, D.; et al. Fresh air in the 21st century? Geophys. Res. Lett. 2003, 30, 1100. [Google Scholar] [CrossRef]
- Lemke, P.; Ren, J.; Alley, R.B.; Allison, I.; Carrasco, J.; Flato, G.; Fujii, Y.; Kaser, G.; Mote, P.; Thomas, R.H. Observations: Changes in snow, ice and frozen ground. In Climate Change 2007: The Physical Science Basis. Contribution of Working Group I to the Fourth Assessment Report of the Intergovernmental Panel on Climate Change; Solomon, S., Qin, D., Manning, M., Chen, Z., Marquis, M., Averyt, K.B., Tignor, M., Miller, H.L., Eds.; Cambridge University Press: Cambridge, UK, 2007; pp. 337–383. [Google Scholar]
- Ashmore, M.R. Assessing the future global impacts of ozone on vegetation. Plant Cell Environ. 2005, 28, 949–964. [Google Scholar] [CrossRef]
- Aunan, K.; Berntsen, T.K.; Seip, H.M. Surface ozone in China and its possible impact on agricultural crop yields. Ambio 2000, 29, 294–301. [Google Scholar] [CrossRef]
- Nouchi, I.; Ito, O.; Harazono, Y.; Kobayashi, K. Effects of chronic ozone exposure on growth, root respiration and nutrient uptake of rice plants. Environ. Pollut. 1991, 74, 149–164. [Google Scholar] [CrossRef] [PubMed]
- Ting, I.P.; Mukerji, S.K. Leaf ontogeny as a factor in susceptibility to ozone: Amino acid and carbohydrate changes during expansion. Am. J. Bot. 1971, 58, 497–504. [Google Scholar] [CrossRef]
- McLaughlin, S.B.; McConathy, R.K.; Duvick, D.; Mann, L.K. Effects of chronic air pollution stress on photosynthesis, carbon allocation, and growth of white pine trees. For. Sci. 1982, 28, 60–70. [Google Scholar]
- Feng, Z.; Xu, Y.; Kobayashi, K.; Dai, L.; Zhang, T.; Agathokleous, E.; Calatayud, V.; Paoletti, E.; Mukherjee, A.; Agrawal, M.; et al. Ozone pollution threatens the production of major staple crops in East Asia. Nat. Food 2022, 3, 47–56. [Google Scholar] [CrossRef]
- Feng, Z.; Hu, T.; Tai, A.P.K.; Calatayud, V. Yield and economic losses in maize caused by ambient ozone in the North China Plain (2014–2017). Sci. Total Environ. 2020, 722, 137958. [Google Scholar] [CrossRef]
- Madlung, A.; Comai, L. The effect of stress on genome regulation and structure. Ann. Bot. 2004, 94, 481–495. [Google Scholar] [CrossRef]
- Mirouze, M.; Paszkowski, J. Epigenetic contribution to stress adaptation in plants. Curr. Opin. Plant Biol. 2011, 14, 267–274. [Google Scholar] [CrossRef]
- Zhang, H.; Lang, Z.; Zhu, J.K. Dynamics and function of DNA methylation in plants. Nat. Rev. Mol. Cell Biol. 2018, 19, 489–506. [Google Scholar] [CrossRef] [PubMed]
- Kumar, S.; Mohapatra, T. Dynamics of DNA methylation and its functions in plant growth and development. Front. Plant Sci. 2021, 12, 596236. [Google Scholar] [CrossRef] [PubMed]
- Finnegan, E.J.; Peacock, W.J.; Dennis, E.S. DNA methylation, a key regulator of plant development and other processes. Curr. Opin. Genet. Dev. 2000, 10, 217–223. [Google Scholar] [CrossRef]
- Vanyushin, B.F.; Kirnos, M.D. DNA methylation in plants. Gene 1988, 74, 117–121. [Google Scholar] [CrossRef]
- Lanciano, S.; Mirouze, M. DNA methylation in rice and relevance for breeding. Epigenomes 2017, 1, 10. [Google Scholar] [CrossRef]
- Busslinger, M.; Hurst, J.; Flavell, R.A. DNA methylation and the regulation of globin gene expression. Cell 1983, 34, 197–206. [Google Scholar] [CrossRef] [PubMed]
- Marconi, G.; Pace, R.; Traini, A.; Raggi, L.; Lutts, S.; Chiusano, M.; Guiducci, M.; Falcinelli, M.; Benincasa, P.; Albertini, E. Use of MSAP markers to analyse the effects of salt stress on DNA methylation in rapeseed (Brassica napus var. oleifera). PLoS ONE 2013, 8, e75597. [Google Scholar] [CrossRef]
- Dowen, R.H.; Pelizzola, M.; Schmitz, R.J.; Lister, R.; Dowen, J.M.; Nery, J.R.; Dixon, J.E.; Ecker, J.R. Widespread dynamic DNA methylation in response to biotic stress. Proc. Natl. Acad. Sci. USA 2012, 109, E2183–E2191. [Google Scholar] [CrossRef] [PubMed]
- Li, Z.; Hu, Y.; Chang, M.; Kashif, M.H.; Tang, M.; Luo, D.; Cao, S.; Lu, H.; Zhang, W.; Huang, Z.; et al. 5-azacytidine pre-treatment alters DNA methylation levels and induces genes responsive to salt stress in kenaf (Hibiscus cannabinus L.). Chemosphere 2021, 271, 129562. [Google Scholar] [CrossRef] [PubMed]
- Yadav, D.S.; Rai, R.; Mishra, A.K.; Chaudhary, N.; Mukherjee, A.; Agrawal, S.B.; Agrawal, M. ROS production and its detoxification in early and late sown cultivars of wheat under future O3 concentration. Sci. Total Environ. 2019, 659, 200–210. [Google Scholar] [CrossRef]
- Huang, H.; Ullah, F.; Zhou, D.X.; Yi, M.; Zhao, Y. Mechanisms of ROS regulation of plant development and stress responses. Front. Plant Sci. 2019, 10, 800. [Google Scholar] [CrossRef] [PubMed]
- Bazopoulou, D.; Knoefler, D.; Zheng, Y.; Ulrich, K.; Oleson, B.J.; Xie, L.; Kim, M.; Kaufmann, A.; Lee, Y.T.; Dou, Y.; et al. Developmental ROS individualizes organismal stress resistance and lifespan. Nature 2019, 576, 301–305. [Google Scholar] [CrossRef] [PubMed]
- Wang, Y.; Xu, S.; Li, B.; Chen, W.; Li, Y.; He, X.; Wang, N. Responses of spring leaf phenological and functional traits of two urban tree species to air warming and/or elevated ozone. Plant Physiol. Biochem. 2022, 179, 158–167. [Google Scholar] [CrossRef] [PubMed]
- Kidwell, K.K.; Osborn, T.C. Simple plant DNA isolation procedures. In Plant Genomes: Methods for Genetic and Physical Mapping; Beckmann, J.S., Osborn, T.C., Eds.; Springer: Dordrecht, The Netherlands, 1992; pp. 1–13. [Google Scholar]
- Tan, M.P. Analysis of DNA methylation of maize in response to osmotic and salt stress based on methylation-sensitive amplified polymorphism. Plant Physiol. Biochem. 2010, 48, 21–26. [Google Scholar] [CrossRef]
- Sallam, N.; Moussa, M. DNA methylation changes stimulated by drought stress in ABA-deficient maize mutant vp10. Plant Physiol. Biochem. 2021, 160, 218–224. [Google Scholar] [CrossRef] [PubMed]
- Song, Y.; Jia, Z.; Hou, Y.; Ma, X.; Li, L.; Jin, X.; An, L. Roles of DNA methylation in cold priming in tartary Buckwheat. Front. Plant Sci. 2020, 11, 608540. [Google Scholar] [CrossRef]
- Zhang, Q.; Liang, Z.; Cui, X.; Ji, C.; Li, Y.; Zhang, P.; Liu, J.; Riaz, A.; Yao, P.; Liu, M.; et al. N 6-methyladenine DNA methylation in Japonica and Indica rice genomes and its association with gene expression, plant development, and stress responses. Mol. Plant 2018, 11, 1492–1508. [Google Scholar] [CrossRef]
- Finnegan, E.J. Epialleles—A source of random variation in times of stress. Curr. Opin. Plant Biol. 2002, 5, 101–106. [Google Scholar] [CrossRef] [PubMed]
- Widyasari, K.; Tran, P.T.; Shin, J.; Son, H.; Kim, K.H. Overexpression of purple acid phosphatase GmPAP2.1 confers resistance to Soybean mosaic virus in a susceptible soybean cultivar. J. Exp. Bot. 2022, 73, 1623–1642. [Google Scholar] [CrossRef] [PubMed]
- Ghosh, S.; Kamble, N.U.; Verma, P.; Salvi, P.; Petla, B.P.; Roy, S.; Rao, V.; Hazra, A.; Varshney, V.; Kaur, H.; et al. Arabidopsis protein l-ISOASPARTYL METHYLTRANSFERASE repairs isoaspartyl damage to antioxidant enzymes and increases heat and oxidative stress tolerance. J. Biol. Chem. 2020, 295, 783–799. [Google Scholar] [CrossRef] [PubMed]
- Liu, D.; Hu, R.; Zhang, J.; Guo, H.B.; Cheng, H.; Li, L.; Borland, A.M.; Qin, H.; Chen, J.G.; Muchero, W.; et al. Overexpression of an agave phosphoenolpyruvate carboxylase improves plant growth and stress tolerance. Cells 2021, 10, 582. [Google Scholar] [CrossRef] [PubMed]
- Rout, A.K.; Singh, H.; Patel, S.; Raghvan, V.; Gautam, S.; Minda, R.; Rao, B.J.; Chary, K.V.R. Structural characterization of a novel KH-domain containing plant chloroplast endonuclease. Sci. Rep. 2018, 8, 13750. [Google Scholar] [CrossRef] [PubMed]




| Type | O3 Stress Time-Point | ||||||||||||||||
|---|---|---|---|---|---|---|---|---|---|---|---|---|---|---|---|---|---|
| 5–CK | 5–80 | 5–160 | 5–200 | 10–80 | 10–160 | 10–200 | 15–80 | 15–160 | 15–200 | 20–80 | 20–160 | 20–200 | 30–80 | 30–160 | 30–200 | 30–CK | |
| I | 1281 | 1286 | 1285 | 1286 | 1286 | 1286 | 1286 | 1290 | 1289 | 1288 | 1287 | 1288 | 1288 | 1290 | 1292 | 1292 | 1281 |
| II | 58 | 55 | 57 | 60 | 59 | 59 | 58 | 56 | 56 | 56 | 55 | 58 | 54 | 53 | 66 | 61 | 58 |
| III | 134 | 126 | 125 | 125 | 128 | 127 | 127 | 124 | 124 | 126 | 129 | 131 | 128 | 126 | 123 | 126 | 134 |
| IV | 42 | 48 | 48 | 44 | 42 | 43 | 44 | 45 | 46 | 45 | 44 | 38 | 45 | 46 | 34 | 36 | 42 |
| Total sites | 1515 | 1515 | 1515 | 1515 | 1515 | 1515 | 1515 | 1515 | 1515 | 1515 | 1515 | 1515 | 1515 | 1515 | 1515 | 1515 | 1515 |
| Total amplified bands | 1473 | 1467 | 1467 | 1471 | 1473 | 1472 | 1471 | 1470 | 1469 | 1470 | 1471 | 1477 | 1470 | 1469 | 1481 | 1479 | 1473 |
| Total methylated bands | 234 | 229 | 230 | 229 | 229 | 229 | 229 | 225 | 226 | 227 | 228 | 227 | 227 | 225 | 223 | 223 | 234 |
| MSAP (%) a | 15.45 | 15.12 | 15.18 | 15.12 | 15.12 | 15.12 | 15.12 | 14.85 | 14.92 | 14.98 | 15.05 | 14.98 | 14.98 | 14.85 | 14.72 | 14.72 | 15.45 |
| Fully methylated bands | 176 | 174 | 173 | 169 | 170 | 170 | 171 | 169 | 170 | 171 | 173 | 169 | 173 | 172 | 157 | 162 | 176 |
| Fully methylated ratio (%) b | 11.62 | 11.49 | 11.42 | 11.16 | 11.22 | 11.22 | 11.29 | 11.16 | 11.22 | 11.29 | 11.42 | 11.16 | 11.42 | 11.35 | 10.36 | 10.69 | 11.62 |
| Hemi-methylated ratio (% ) c | 3.83 | 3.63 | 3.76 | 4.00 | 3.90 | 3.90 | 3.83 | 3.70 | 3.70 | 3.70 | 3.63 | 3.83 | 3.56 | 3.50 | 4.36 | 4.03 | 3.83 |
| Non-methylated ratio (%) d | 84.55 | 84.62 | 84.69 | 84.75 | 84.82 | 84.88 | 84.95 | 85.02 | 85.08 | 85.15 | 85.21 | 85.28 | 85.35 | 85.41 | 85.48 | 85.54 | 84.55 |
| Fragment | Chromosome | Methylation Status | Accession | Description | E-Value | Size (bp) |
|---|---|---|---|---|---|---|
| under Stress | ||||||
| MS14 | Chr.01 | Demethylated | LOC_Os01g11054 | Phosphoenolpyruvate carboxylase | 3.6 × 10−21 | 86 |
| MS93 | Chr.03 | Demethylated | LOC_Os03g48030 | Integral membrane HPP family protein | 1.7 × 10−36 | 180 |
| MS96 | Chr.04 | Demethylated | LOC_Os04g40540 | L-isoaspartate methyltransferase | 9.3 × 10−11 | 101 |
| MS99 | Chr.11 | Demethylated | XP_015616523 | Purple acid phosphatase | 2 × 10−23 | 177 |
| MS104 | Chr.11 | Methylated | AZM68782 | Hypothetical protein | 1.5 × 10−90 | 291 |
| MS107 | Chr.04 | Methylated | ABF98152 | Transposon protein, putative, Mutator sub-class | 9 × 10−20 | 164 |
| MS111 | Chr.11 | Demethylated | Os11g0679400 | Zinc finger family protein | 4 × 10−20 | 81 |
| MS114 | Chr.06 | Demethylated | LOC_Os06g43650 | KH domain-containing protein | 9.2 × 10−7 | 59 |
| MS120 | Chr.06 | Demethylated | LOC_Os06g43650 | KH domain-containing protein | 1.1 × 10−30 | 133 |
Disclaimer/Publisher’s Note: The statements, opinions and data contained in all publications are solely those of the individual author(s) and contributor(s) and not of MDPI and/or the editor(s). MDPI and/or the editor(s) disclaim responsibility for any injury to people or property resulting from any ideas, methods, instructions or products referred to in the content. |
© 2023 by the authors. Licensee MDPI, Basel, Switzerland. This article is an open access article distributed under the terms and conditions of the Creative Commons Attribution (CC BY) license (https://creativecommons.org/licenses/by/4.0/).
Share and Cite
Wang, H.; Wang, L.; Yang, M.; Zhang, N.; Li, J.; Wang, Y.; Wang, Y.; Wang, X.; Ruan, Y.; Xu, S. Growth and DNA Methylation Alteration in Rice (Oryza sativa L.) in Response to Ozone Stress. Genes 2023, 14, 1888. https://doi.org/10.3390/genes14101888
Wang H, Wang L, Yang M, Zhang N, Li J, Wang Y, Wang Y, Wang X, Ruan Y, Xu S. Growth and DNA Methylation Alteration in Rice (Oryza sativa L.) in Response to Ozone Stress. Genes. 2023; 14(10):1888. https://doi.org/10.3390/genes14101888
Chicago/Turabian StyleWang, Hongyan, Long Wang, Mengke Yang, Ning Zhang, Jiazhen Li, Yuqian Wang, Yue Wang, Xuewen Wang, Yanan Ruan, and Sheng Xu. 2023. "Growth and DNA Methylation Alteration in Rice (Oryza sativa L.) in Response to Ozone Stress" Genes 14, no. 10: 1888. https://doi.org/10.3390/genes14101888
APA StyleWang, H., Wang, L., Yang, M., Zhang, N., Li, J., Wang, Y., Wang, Y., Wang, X., Ruan, Y., & Xu, S. (2023). Growth and DNA Methylation Alteration in Rice (Oryza sativa L.) in Response to Ozone Stress. Genes, 14(10), 1888. https://doi.org/10.3390/genes14101888

