Association Analysis for Some Biochemical Traits in Wild Relatives of Wheat under Drought Stress Conditions
Abstract
1. Introduction
2. Materials and Methods
2.1. Plant Materials and Experimental Layout
2.2. Phenotyping Assay
2.3. Genotyping Assay
2.4. Data Analysis
3. Results
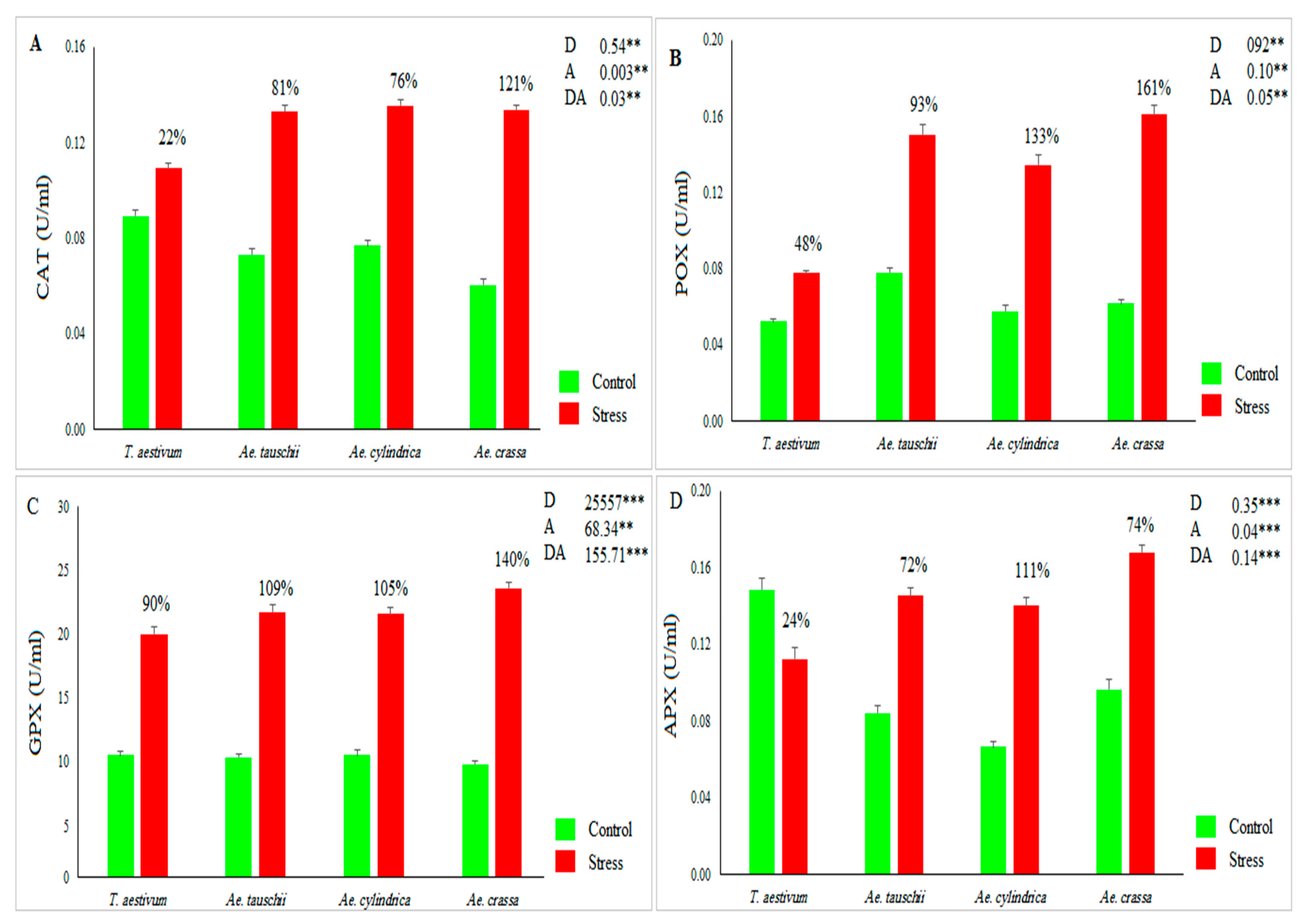
3.1. Phenotypic Variation
3.2. Molecular Variation
4. Discussion
5. Conclusions
Supplementary Materials
Author Contributions
Funding
Institutional Review Board Statement
Informed Consent Statement
Data Availability Statement
Conflicts of Interest
References
- Fatemi, F.; Kianersi, F.; Pour-Aboughadareh, A.; Poczai, P.; Jadidi, O. Overview of identified genomic regions associated with various agronomic and physiological traits in barley under abiotic stresses. Appl. Sci. 2022, 12, 5189. [Google Scholar] [CrossRef]
- Magalhães, J.A. A influência de características fenológicas na avaliação da tolerância à seca em sorgo. In Circular Técnica 165; Embrapa Milho e Sorgo: Sete Lagoas, Brazil, 2011. [Google Scholar]
- De Carvalho, M.H.C. Drought stress and reactive oxygen species. Plant Signal. Behav. 2008, 3, 156–165. [Google Scholar] [CrossRef] [PubMed]
- Smirnoff, N. The role of active oxygen in the response of plants to water deficit and desiccation. New Phytol. 1993, 125, 27–58. [Google Scholar] [CrossRef]
- Ruelland, E.; Vaultier, M.N.; Zachowski, A.; Hurry, V. Cold signaling and cold acclimation in plants. Adv. Bot. Res. 2009, 49, 35–150. [Google Scholar]
- Ashraf, M. Biotechnological approach of improving plant salt tolerance using antioxidants as markers. Biotechnol. Adv. 2009, 27, 84–93. [Google Scholar] [CrossRef]
- Abedi, T.; Pakniyat, H. Antioxidant enzyme changes in response to drought stress in ten cultivars of oilseed rape (Brassica napus L.). Czech J. Plant Breed. 2010, 46, 27–34. [Google Scholar] [CrossRef]
- Akbari, M.; Katam, R.; Husain, R.; Farajpour, M.; Mazzuca, S.; Mahna, N. Sodium Chloride Induced Stress Responses of Antioxidative Activities in Leaves and Roots of Pistachio Rootstock. Biomolecules 2020, 10, 189. [Google Scholar] [CrossRef]
- Pour-Aboughadareh, A.; Etminan, A.; Abdelrahman, M.; Siddique, K.; Tran, L.S.P. Assessment of biochemical and physiological parameters of durum wheat genotypes at the seedling stage during polyethylene glycol-induced water stress. Plant Growth Regul. 2020, 92, 81–93. [Google Scholar] [CrossRef]
- Ahmadi, J.; Pour-Aboughadareh, A.; Fabriki-Ourang, S.; Khalili, P.; Poczai, P. Unravelling salinity stress responses in ancestral and neglected wheat species at early growth stage: A baseline for utilization in future wheat improvement programs. Physiol. Mol. Biol. Plants 2020, 26, 537–549. [Google Scholar] [CrossRef]
- Suneja, Y.; Gupta, A.K.; Bains, N.S. Bread wheat progenitors: Aegilops tauschii (DD genome) and Triticum dicoccoides (AABB genome) reveal differential antioxidative response under water stress. Physiol. Mol. Biol. Plants. 2017, 23, 99–114. [Google Scholar] [CrossRef]
- Suneja, Y.; Gupta, A.K.; Bains, N.S. Stress adaptive plasticity: Aegilops tauschii and Triticum dicoccoides as potential donors of drought associated morpho-physiological traits in Wheat. Front. Plant Sci. 2019, 10, 211. [Google Scholar] [CrossRef] [PubMed]
- Pour-Aboughadareh, A.; Omidi, M.; Naghavi, M.R.; Etminan, A.; Mehrabi, A.A.; Poczai, P. Wild relatives of wheat respond well to water deficit stress: A comparative study of antioxidant enzyme activities and their encoding gene expression. Agriculture 2020, 10, 415. [Google Scholar] [CrossRef]
- Ahmadi, J.; Pour-Aboughadareh, A.; Fabriki Ourang, S.; Mehrabi, A.A.; Siddique, K.H.M. Wild relatives of wheat: Aegilops–Triticum accessions disclose differential antioxidative and physiological responses to water stress. Acta Physiol. Plant. 2018, 40, 90. [Google Scholar] [CrossRef]
- Mehrabi, A.A.; Pour-Aboughadareh, A.; Mansouri, S.; Hosseini, A. Genome-wide association analysis of root system architecture features and agronomic traits in durum wheat. Mol. Breed. 2020, 40, 55. [Google Scholar] [CrossRef]
- Mehrabi, A.A.; Steffenson, B.J.; Pour-Aboughadareh, A.; Matny, O.; Rahmatov, M. Genome-wide association study identifies two loci for stripe rust resistance in a durum wheat panel from Iran. Appl. Sci. 2022, 12, 4963. [Google Scholar] [CrossRef]
- Tam, V.; Patel, N.; Turcotte, M.; Bosse, Y.; Pare, G.; Meyre, D. Benefits and limitations of genome-wide association studies. Nat. Rev. 2019, 20, 467–484. [Google Scholar] [CrossRef]
- Mwadzingeni, L.; Shimelis, H.; Rees, D.J.G.; Tsilo, T.J. Genome-wide association analysis of agronomic traits in wheat under drought stressed and non-stressed conditions. PLoS ONE 2017, 12, e0171692. [Google Scholar] [CrossRef]
- Huang, S.; Sun, L.; Hu, X.; Wang, Y.; Zhang, Y.; Nevo, E.; Peng, J.; Sun, D. Associations of canopy leaf traits with SNP markers in durum wheat (Triticum turgidum L. durum (Desf.)). PLoS ONE 2018, 13, e0206226. [Google Scholar] [CrossRef]
- Sukumaran, S.; Reynolds, M.P.; Sansaloni, C. Genome-wide association analyses identify QTL hotspots for yield and component traits in durum wheat grown under yield potential, drought, and heat stress environments. Front. Plant Sci. 2018, 9, 81. [Google Scholar] [CrossRef]
- Ruiz, M.; Giraldo, P.; Gonzalez, J.M. Phenotypic variation in root architecture traits and their relationship with eco-geographical and agronomic features in a core collection of tetraploid wheat landraces (Triticum turgidum L.). Euphytica 2018, 214, 54. [Google Scholar] [CrossRef]
- Alahmad, S.; El Hassouni, K.; Bassi, F.M.; Dinglasan, E.; Youssef, C.; Quarry, G.; Aksoy, A.; Mazzucotelli, E.; Juhász, A.; Able, J.A.; et al. A major root architecture QTL responding to water limitation in durum wheat. Front. Plant Sci. 2019, 10, 436. [Google Scholar] [CrossRef] [PubMed]
- Pradhan, A.K.; Kumar, S.; Singh, A.K.; Budhlakoti, N.; Mishra, D.C.; Chauhan, D.; Mittal, S.; Grover, M.; Kumar, S.; Gangwar, O.P.; et al. Identification of QTLs/defense genes effective at seedling stage against prevailing races of wheat stripe rust in India. Front. Genet. 2020, 11, 572975. [Google Scholar] [CrossRef] [PubMed]
- Nevo, E.; Chen, G. Drought and salt tolerances in wild relatives for wheat and barley improvement. Plant Cell Environ. 2010, 33, 670–685. [Google Scholar] [CrossRef] [PubMed]
- Pour-Aboughadareh, A.; Kianersi, F.; Poczai, P.; Moradkhani, H. Potential of wild relatives of wheat: Ideal genetic resources for future breeding programs. Agronomy 2021, 11, 1656. [Google Scholar] [CrossRef]
- Maxted, N.; Kell, S. CWR in crop improvement: To what extent are they used? Crop Wild Relat. Newsl. 2009, 7, 7–8. [Google Scholar]
- Zaharieva, M.; Santoni, S.; David, J. Use of RFLP markers to study genetic diversity and to build a core-collection of the wild wheat relative Ae. geniculata Roth (=Ae. ovata L.). Genet. Sel. Evol. 2001, 33, 269–288. [Google Scholar] [CrossRef]
- Arabbeigi, M.; Arzani, A.; Majidi, M.M.; Kiani, R.; Tabatabaei, B.E.S.; Habibi, F. Salinity tolerance of Aegilops cylindrica genotypes collected from hypersaline shores of Uremia Salt Lake using physiological traits and SSR markers. Acta Physiol. Plant. 2014, 36, 2243–2251. [Google Scholar] [CrossRef]
- Kiani, R.; Arzani, A.; Habibi, F. Physiology of salinity tolerance in Aegilops cylindrica. Acta Physiol. Plant. 2015, 37, 135–145. [Google Scholar] [CrossRef]
- Masoomi-Aladizgeh, F.; Aalami, A.; Esfahani, M.; Aghaei, M.J.; Mozaffari, K. Identification of CBF14 and NAC2 genes in Aegilops tauschii associated with resistance to freezing stress. Appl. Biochem. Biotechnol. 2015, 176, 1059–1070. [Google Scholar] [CrossRef]
- Hairat, S.; Khurana, P. Evaluation of Aegilops tauschii and Aegilops speltoides for acquired thermotolerance: Implications in wheat breeding programmes. Plant Physiol. Biochem. 2015, 95, 65–74. [Google Scholar] [CrossRef]
- Souza, C.C.; Oliveira, F.A.; Silva, I.F.; Amorim Neto, M.S. Evaluation of methods of available water determination and irrigation management in “terra roxa” under cotton crop. Rev. Bras. Eng. Agric. Ambient. 2000, 4, 338–342. [Google Scholar] [CrossRef]
- Pagariya, M.C.; Devarumath, R.M.; Kawar, P.G. Biochemical characterization and identification of differentially expressed candidate genes in salt stressed sugarcane. Plant Sci. 2012, 184, 1–13. [Google Scholar] [CrossRef] [PubMed]
- Manoranjan, K.; Dinabandhu, M. Catalase, peroxidase, and polyphenoloxidase activities during rice leaf senescence. Plant Physiol. 1976, 57, 315–319. [Google Scholar]
- Hadwan, M. Simple spectrophotometric assay for measuring catalase activity in biological tissues. BMC Biochem. 2018, 19, 1–8. [Google Scholar] [CrossRef]
- Chance, B.; Maehly, S.K. Assay of catalase and peroxidase. Methods Enzymol. 1955, 2, 764–775. [Google Scholar]
- Nakano, Y.; Asada, N.K. Hydrogen peroxide is scavenged by ascorbate-specifc peroxidase in spinach chloroplasts. Plant Cell Physiol. 1981, 22, 867. [Google Scholar]
- Doyle, J.J.; Doyle, J.K. A rapid DNA isolation procedure for small quantities of fresh leaf tissue. Phytochem. Bull. 1987, 19, 11–15. [Google Scholar]
- Roder, M.; Korzun, V.; Wendehake, K.; Plasche, J.; Tixier, M.H.; Leroy, P.; Ganal, M.W. A microsatellite map of wheat. Genetics 1998, 149, 2007–2023. [Google Scholar]
- R Core Team. R: A Language and Environment for Statistical Computing; R Foundation for Statistical Computing: Vienna, Austria, 2020. [Google Scholar]
- Pour-Aboughadareh, A.; Yousefian, M.; Moradkhani, H.; Moghaddam Vahed, M.; Poczai, P.; Siddique, K.H.M. iPASTIC: An online toolkit to estimate plant abiotic stress indices. Appl. Plant Sci. 2019, 7, e11278. [Google Scholar] [CrossRef]
- Peakall, R.O.D.; Smouse, P.E. GENALEX 6: Genetic analysis in Excel. Population genetic software for teaching and research. Mol. Ecol. Notes 2006, 6, 288–295. [Google Scholar] [CrossRef]
- Tamura, K.; Peterson, D.; Peterson, N.; Stecher, G.; Nei, M.; Kumar, S. MEGA5: Molecular evolutionary genetics analysis using maximum likelihood, evolutionary distance, and maximum parsimony methods. Mol. Biol. Evol. 2011, 28, 2731–2739. [Google Scholar] [CrossRef] [PubMed]
- Pritchard, J.K.; Stephens, M.; Donnelly, P. Inference of population structure using multilocus genotype data. Genetics 2000, 155, 945–959. [Google Scholar] [CrossRef] [PubMed]
- Earl, D.A.; von Holdt, B.M. Structure Harvester: A website and program for visualizing STRUCTURE output and implementing the Evanno method. Conserv. Genet. Resour. 2012, 4, 359–361. [Google Scholar] [CrossRef]
- Bradbury, P.J.; Zhang, Z.; Kroon, D.E.; Casstevens, T.M.; Ramdoss, Y.; Buckler, E.S. TASSEL: Software for association mapping of complex traits in diverse samples. J. Bioinform. 2007, 23, 2633–2635. [Google Scholar] [CrossRef]
- Pour-Aboughadareh, A.; Poczai, P.; Etminan, A.; Jadidi, O.; Kianersi, F.; Shooshtari, L. An analysis of genetic variability and population structure in wheat germplasm using microsatellite and gene-based markers. Plants 2022, 11, 1205. [Google Scholar] [CrossRef]
- Ivanizs, L.; Monostori, I.; Farkas, A.; Megyeri, M.; Miko, P.; Turkosi, E.; Gaal, E.; Lenyko-Thegze, A.; Szoke-Pazsi, K.; Szakacs, E.; et al. Unlocking the genetic diversity and population structure of a wild gene source of wheat, Aegilops biuncialis Vis., and its relationship with the heading time. Font. Plant. 2019, 10, 1531. [Google Scholar]
- Hussein, H.-A.A.; Alshammari, S.O.; Kenawy, S.K.M.; Elkady, F.M.; Badawy, A.A. Grain-Priming with L-Arginine Improves the Growth Performance of Wheat (Triticum aestivum L.) Plants under Drought Stress. Plants 2022, 11, 1219. [Google Scholar] [CrossRef]
- Pour-Aboughadareh, A.; Omidi, M.; Naghavi, M.R.; Etminan, A.; Mehrabi, A.A.; Poczai, P.; Bayat, H. Effect of water deficit stress on seedling biomass and physio-chemical characteristics in different species of wheat possessing the D genome. Agronomy 2019, 9, 522. [Google Scholar] [CrossRef]
- Bodner, G.; Leitner, D.; Nakhforoosh, A.; Sobotik, M.; Moder, K.; Kaul, H.P. A statistical approach to root system classification. Front Plant Sci. 2013, 4, 2–15. [Google Scholar] [CrossRef]
- Pour-Aboughadareh, A.; Ahmadi, J.; Mehrabi, A.A.; Etminan, A.; Moghaddam, M.; Siddique, K.H.M. Physiological responses to drought stress in wild relatives of wheat: Implications for wheat improvement. Acta Physiol. Plant. 2017, 39, 106. [Google Scholar] [CrossRef]
- Pour-Aboughadareh, A.; Ahmadi, J.; Mehrabi, A.A.; Moghaddam, M.; Etminan, A. Evaluation of agro-morphological diversity in wild relatives of wheat collected in Iran. J. Agric. Sci. Technol. 2017, 19, 943–956. [Google Scholar]
- Ahmadi, J.; Pour-Aboughadareh, A.; Fabriki Ourang, S.; Mehrabi, A.A.; Siddique, K.H.M. Screening wheat germplasm for seedling root architectural traits under contrasting water regimes: Potential sources of variability for drought adaptation. Arch. Agron. Soil Sci. 2018, 64, 1351–1365. [Google Scholar] [CrossRef]
- Ahmadi, J.; Pour-Aboughadareh, A.; Fabriki-Ourang, S.; Mehrabi, A.A.; Siddique, K.H.M. Screening wild progenitors of wheat for salinity stress at early stages of plant growth: Insight into potential sources of variability for salinity adaptation in wheat. Crop Pasture Sci. 2018, 69, 649–658. [Google Scholar] [CrossRef]
- Khalili, M.; Pour-Aboughadareh, A.R.; Naghavi, M.R.; Mohammad Amini, E. Evaluation of drought tolerance in safflower genotypes based on drought tolerance indices. Not. Bot. Horti Agrobot. 2014, 42, 214–218. [Google Scholar] [CrossRef][Green Version]
- Etminan, A.; Pour-Aboughadareh, A.; Mohammadi, R.; Shoshtari, L.; Yousefiazarkhanian, M.; Moradkhani, H. Determining the best drought tolerance indices using artificial neural network (ANN): Insight into application of intelligent agriculture in agronomy and plant breeding. Cereal Res. Commun. 2019, 47, 170–181. [Google Scholar] [CrossRef]
- Naghavi, M.R.; Pour-Aboughadareh, A.; Khalili, M. Evaluation of drought tolerance indices for screening some of corn (Zea mays L.) cultivars under environmental conditions. Not. Sci. Biol. 2013, 5, 388–393. [Google Scholar] [CrossRef]
- Pour-Aboughadareh, A.; Mohammadi, R.; Etminan, A.; Shooshtari, L.; Maleki-Tabrizi, N.; Poczai, P. Effects of Drought Stress on Some Agronomic and Morpho-Physiological Traits in Durum Wheat Genotypes. Sustainability 2020, 12, 5610. [Google Scholar] [CrossRef]
- Moradkhani, H.; Mehrabi, A.A.; Etminan, A.; Pour-Aboughadareh, A. Molecular diversity and phylogeny of Triticum–Aegilops species possessing D genome revealed by SSR and ISSR markers. Plant Breed. Seed Sci. 2015, 71, 82–95. [Google Scholar] [CrossRef]
- Pour-Aboughadareh, A.; Mahmoudi, M.; Moghaddam, M.; Ahmadi, J.; Mehrabi, A.A.; Alavikia, S.S. Agro-morphological and molecular variability in Triticum boeoticum accessions from Zagros Mountains, Iran. Genet. Resour. Crop Evol. 2017, 64, 545–556. [Google Scholar] [CrossRef]
- Naghavi, M.R.; Hajikram, M.; Taleei, A.R.; Aghaei, M.J. Microsatellite analysis of genetic diversity and population genetic structure of Aegilops tauschii Coss. in northern Iran. Genet. Resour. Crop Evol. 2010, 57, 423–430. [Google Scholar] [CrossRef]
- Pour-Aboughadareh, A.; Ahmadi, J.; Mehrabi, A.A.; Etminan, A.; Moghaddam, M. Assessment of genetic diversity among Iranian Triticum germplasm using agro-morphological traits and start codon targeted (SCoT) markers. Cereal Res. Commun. 2017, 45, 574–586. [Google Scholar] [CrossRef][Green Version]
- Etminan, A.; Pour-Aboughadareh, A.; Mehrabi, A.A.; Shooshtari, L.; Ahmadi-Rad, A.; Moradkhani, H. Molecular characterization of the wild relatives of wheat using CAAT-box derived polymorphism. Plant Biosyst. 2019, 153, 398–405. [Google Scholar] [CrossRef]
- Wei, W.; Mesquita, A.C.O.; Figueiró, A.D.A.; Wu, X.; Manjunatha, S.; Wickland, D.P.; Hudson, M.E.; Juliatti, F.C.; Clough, S.J. Genome-wide association mapping of resistance to a Brazilian isolate of Sclerotinia sclerotiorum in soybean genotypes mostly from Brazil. BMC Genom. 2017, 18, 849. [Google Scholar] [CrossRef]
- Wang, Q.; Yan, N.; Chen, H.; Li, S.; Hu, H.; Lin, Y.; Shi, H.; Zhou, K.; Jiang, X.; Yu, S.; et al. Genome-Wide association study of kernel traits in Aegilops tauschii. Front. Genet. 2021, 12, 651785. [Google Scholar] [CrossRef] [PubMed]
- Zhao, J.-I.; Wang, H.-w.; Zhang, X.-c.; Du, X.-y.; Li, A.-f.; Kong, L.-r. Association analysis of grain traits with SSR markers between Aegilops tauschii and Hexaploid wheat (Triticum aestivum L.). J. Integr. Agric. 2015, 14, 1936–1948. [Google Scholar] [CrossRef]
- Zheng, W.Y.; Zhao, L.; Li, Y.M.; Li, J.; Zhu, Z.H.; Yao, D.N. Association analysis between Lipoxygenase activity and SSR markers in wheat grains. Cereal Res. Commun. 2022, 50, 297–303. [Google Scholar] [CrossRef]
- Abtahi, M.; Majidi, M.M.; Mirlohi, A.; Saeidnia, F. Association analysis for seed yield, forage yield and traits related to drought tolerance in orchardgrass (Dactylis glomerata). Crop Pasture Sci. 2018, 69, 150–164. [Google Scholar] [CrossRef]




| Primer | Chromosome Position | Sequence (5′ to 3′) | Na | He | H | PIC | |
|---|---|---|---|---|---|---|---|
| Xgwm-16 | 5D | Forward | GCTTGGACTAGCTAGAGTATCATAC | 2 | 0.93 | 0.50 | 0.37 |
| Reverse | CAATCTTCAATTCTGTCGCACGG | ||||||
| Xgwm-44 | 7D | Forward | GTTGAGCTTTTCAGTTCGGC | 2 | 0.73 | 0.46 | 0.36 |
| Reverse | ACTGGCATCCACTGAGCTG | ||||||
| Xgwm-111 | 7D | Forward | TCTGTAGGCTCTCTCCGACTG | 2 | 0.28 | 0.24 | 0.21 |
| Reverse | ACCTGATCAGATCCCACTCG | ||||||
| Xgwm-121 | 5D & 7D | Forward | TCCTCTACAAACAAACACAC | 2 | 0.88 | 0.49 | 0.37 |
| Reverse | CTCGCAACTAGAGGTGTATG | ||||||
| Xgwm-271 | 5D | Forward | CAAGATCGTGGAGCCAGC | 2 | 0.59 | 0.41 | 0.33 |
| Reverse | AGCTGCTAGCTTTTGGGACA | ||||||
| Xgwm-272 | 5D | Forward | TGCTCTTTGGCGAATATATGG | 2 | 0.18 | 0.16 | 0.15 |
| Reverse | GTTCAAAACAAATTAAAAGGCCC | ||||||
| Xgwm-292 | 5D | Forward | TCACCGTGGTCACCGAC | 2 | 0.42 | 0.33 | 0.28 |
| Reverse | CCACCGAGCCGATAATGTAC | ||||||
| Xgwm-296 | 2D | Forward | AATTCAACCTACCAATCTCTG | 2 | 0.92 | 0.50 | 0.37 |
| Reverse | GCCTAATAAACTGAAAACGAG | ||||||
| Xgwm-301 | 2D | Forward | GAGGAGTAAGACACATGCCC | 2 | 0.99 | 0.50 | 0.37 |
| Reverse | GTGGCTGGAGATTCAGGTTC | ||||||
| Xgwm-325 | 6D | Forward | TTTCTTCTGTCGTTCTCTTCCC | 2 | 1 | 0.50 | 0.38 |
| Reverse | TTTTTACGCGTCAACGACG | ||||||
| Xgwm-349 | 2D | Forward | GGCTTCCAGAAAACAACAGG | 2 | 0.97 | 0.50 | 0.37 |
| Reverse | ATCGGTGCGTACCATCCTAC | ||||||
| Xgwm-382 | 2D | Forward | GTCAGATAACGCCGTCCAAT | 2 | 0.84 | 0.49 | 0.37 |
| Reverse | CTACGTGCACCACCATTTTG | ||||||
| Xgwm-455 | 2D | Forward | ATTCGGTTCGCTAGCTACCA | 2 | 0.70 | 0.45 | 0.35 |
| Reverse | ACGGAGAGCAACCTGCC | ||||||
| Xgwm-469 | 6D | Forward | CAACTCAGTGCTCACACAACG | 2 | 1 | 0.50 | 0.38 |
| Reverse | CGATAACCACTCATCCACACC | ||||||
| Xgwm-515 | 2D | Forward | AACACAATGGCAAATGCAGA | 2 | 0.36 | 0.29 | 0.25 |
| Reverse | CCTTCCTAGTAAGTGTGCCTCA | ||||||
| Xgwm-565 | 5D | Forward | GCGTCAGATATGCCTACCTAGG | 2 | 0.71 | 0.46 | 0.35 |
| Reverse | AGTGAGTTAGCCCTGAGCCA | ||||||
| Xgwm-583 | 5D | Forward | TTCACACCCAACCAATAGCA | 2 | 0.73 | 0.46 | 0.36 |
| Reverse | TCTAGGCAGACACATGCCTG | ||||||
| Xgwm-608 | 2D & 5D | Forward | ACATTGTGTGTGCGGCC | 2 | 0.77 | 0.47 | 0.36 |
| Reverse | GATCCCTCTCCGCTAGAAGC | ||||||
| Xgwm-624 | 4D | Forward | TTGATATTAAATCTCTCTATGTG | 2 | 0.65 | 0.44 | 0.34 |
| Reverse | AATTTTATTTGAGCTATGCG | ||||||
| Xgwm-157 | 2D | Forward | GTCGTCGCGGTAAGCTTG | 2 | 1 | 0.50 | 0.38 |
| Reverse | GAGTGAACACACGAGGCTTG | ||||||
| Xgwm-212 | 5D | Forward | AAGCAACATTTGCTGCAATG | 2 | 0.57 | 0.41 | 0.33 |
| Reverse | TGCAGTTAACTTGTTGAAAGGA | ||||||
| Xgwm-232 | 1D | Forward | ATCTCAACGGCAAGCCG | 2 | 0.24 | 0.21 | 0.19 |
| Reverse | CTGATGCAAGCAATCCACC | ||||||
| Xgwm-311 | 2D | Forward | TCACGTGGAAGACGCTCC | 2 | 0.77 | 0.47 | 0.36 |
| Reverse | CTACGTGCACCACCATTTTG | ||||||
| Xgwm-484 | 2D | Forward | ACATCGCTCTTCACAAACCC | 2 | 0.95 | 0.50 | 0.37 |
| Reverse | AGTTCCGGTCATGGCTAGG | ||||||
| Mean | 1.96 | 0.69 | 0.41 | 0.32 | |||
| Species | Na | Ne | H | I | PPL | Variation between Species | Variation within Species |
|---|---|---|---|---|---|---|---|
| T. aestivum | 1.65 ± 0.09 | 1.47 ± 0.06 | 0.27 ± 0.03 | 0.40 ± 0.04 | 73.47 | 64% | 36% |
| Ae. tauschii | 1.87 ± 0.05 | 1.66 ± 0.05 | 0.37 ± 0.02 | 0.53 ± 0.03 | 89.80 | ||
| Ae. cylindrica | 1.24 ± 0.09 | 1.16 ± 0.04 | 0.10 ± 0.02 | 0.16 ± 0.03 | 38.78 | ||
| Ae. crassa | 1.41 ± 0.10 | 1.31 ± 0.05 | 0.18 ± 0.03 | 0.28 ± 0.04 | 53.06 | ||
| Mean | 1.45 ± 0.05 | 1.40 ± 0.03 | 0.23 ± 0.01 | 0.34 ± 0.02 | 63.78 |
| Control Conditions | Drought Stress Conditions | ||||||
|---|---|---|---|---|---|---|---|
| Trait | Marker | p | R2% | Trait | Marker | p | R2% |
| APX | Xgwm-212 | 0.049 | 8.15 | APX | Xgwm-271 | 0.021 | 6.18 |
| Xgwm-484 | 0.009 | 13.79 | Xgwm-608 | 0.006 | 11.51 | ||
| CAT | Xgwm-272 | 0.046 | 7.18 | GPX | Xgwm-455 | 0.019 | 8.10 |
| Xgwm-296 | 0.002 | 13.03 | Xgwm-232 | 0.014 | 7.38 | ||
| Xgwm-232 | 0.010 | 6.51 | POX | Xgwm-515 | 0.023 | 8.45 | |
| DM | Xgwm-349 | 0.044 | 6.79 | DM | Xgwm-455 | 0.005 | 13.70 |
| Xgwm-455 | 0.0001 | 13.94 | Xgwm-515 | 0.008 | 13.18 | ||
| Xgwm-515 | 0.0001 | 8.89 | STI | Xgwm-455 | 0.013 | 6.84 | |
| Xgwm-515 | 0.037 | 9.71 | |||||
Publisher’s Note: MDPI stays neutral with regard to jurisdictional claims in published maps and institutional affiliations. |
© 2022 by the authors. Licensee MDPI, Basel, Switzerland. This article is an open access article distributed under the terms and conditions of the Creative Commons Attribution (CC BY) license (https://creativecommons.org/licenses/by/4.0/).
Share and Cite
Pour-Aboughadareh, A.; Jadidi, O.; Shooshtari, L.; Poczai, P.; Mehrabi, A.A. Association Analysis for Some Biochemical Traits in Wild Relatives of Wheat under Drought Stress Conditions. Genes 2022, 13, 1491. https://doi.org/10.3390/genes13081491
Pour-Aboughadareh A, Jadidi O, Shooshtari L, Poczai P, Mehrabi AA. Association Analysis for Some Biochemical Traits in Wild Relatives of Wheat under Drought Stress Conditions. Genes. 2022; 13(8):1491. https://doi.org/10.3390/genes13081491
Chicago/Turabian StylePour-Aboughadareh, Alireza, Omid Jadidi, Lia Shooshtari, Peter Poczai, and Ali Ashraf Mehrabi. 2022. "Association Analysis for Some Biochemical Traits in Wild Relatives of Wheat under Drought Stress Conditions" Genes 13, no. 8: 1491. https://doi.org/10.3390/genes13081491
APA StylePour-Aboughadareh, A., Jadidi, O., Shooshtari, L., Poczai, P., & Mehrabi, A. A. (2022). Association Analysis for Some Biochemical Traits in Wild Relatives of Wheat under Drought Stress Conditions. Genes, 13(8), 1491. https://doi.org/10.3390/genes13081491

