Molecular Insights into the Role of Pathogenic nsSNPs in GRIN2B Gene Provoking Neurodevelopmental Disorders
Abstract
:1. Introduction
2. Materials and Methods
2.1. Data Collection
2.2. Prediction of SNP Functional Effect
2.3. Prediction of Disease Association of SNPs
2.4. Impact on Protein Stability
2.5. Sequence Conservation Analysis
2.6. Post-Translational Modifications Sites (PTMs) Prediction
2.7. Homology Modelling
2.8. Molecular Dynamics Simulations
2.9. Dynamic Cross-Correlation Map (DCCM)
2.10. PCA Analysis
3. Results
3.1. Data Acquisition and SNP’s Annotation
3.2. Prediction of Nature of SNPs
3.3. Prediction of SNPs Associated with Disease
3.4. Prediction of Effect of Stability of Protein
3.5. Sequence Conservation Analysis
3.6. Prediction of PTMs (Post Translational Modifications) Sites
3.7. Structure Prediction
3.8. Explicit Solvent Molecular Dynamics of Pathogenic Mutations
3.8.1. Stability Analysis
3.8.2. Flexibility Comparison of Native and Mutant GluN2B Structures
3.8.3. Gyration Analysis
3.8.4. Intramolecular Hydrogen Bond Comparison of Wildtype and Mutant Variants
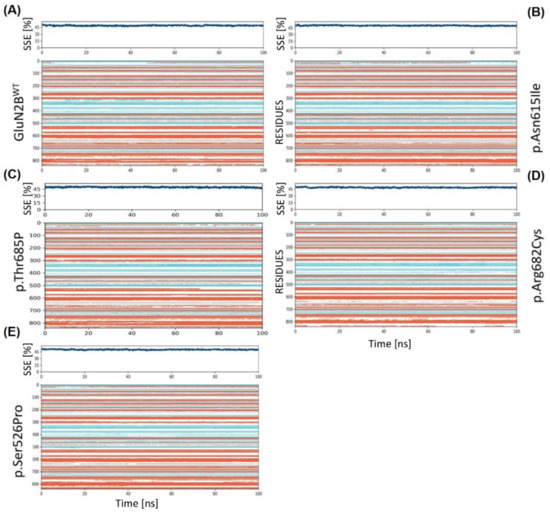
3.8.5. Secondary Structure Elements Comparison over the Trajectory
3.9. Comparison of GluN2BWT and GluN2BMT
3.10. Functional Displacement of GluN2B and Mutant Models
3.11. Dimensionality Reduction Using PCA
4. Discussion
5. Conclusions
Author Contributions
Funding
Institutional Review Board Statement
Informed Consent Statement
Data Availability Statement
Conflicts of Interest
References
- Paoletti, P.; Bellone, C.; Zhou, Q. NMDA receptor subunit diversity: Impact on receptor properties, synaptic plasticity and disease. Nat. Rev. Neurosci. 2013, 14, 383–400. [Google Scholar] [CrossRef] [PubMed]
- XiangWei, W.; Jiang, Y.; Yuan, H. De novo mutations and rare variants occurring in NMDA receptors. Curr. Opin. Physiol. 2018, 2, 27–35. [Google Scholar] [CrossRef] [PubMed]
- Lemke, J.R.; Hendrickx, R.; Geider, K.; Laube, B.; Schwake, M.; Harvey, R.J.; James, V.M.; Pepler, A.; Steiner, I.; Hörtnagel, K.; et al. GRIN2B mutations in West syndrome and intellectual disability with focal epilepsy. Ann. Neurol. 2014, 75, 147–154. [Google Scholar] [CrossRef] [Green Version]
- Allen, A.S.; Berkovic, S.F.; Cossette, P.; Delanty, N.; Dlugos, D.; Eichler, E.E.; Epstein, M.P.; Glauser, T.; Goldstein, D.B.; Han, Y. De novo mutations in epileptic encephalopathies. Nature 2013, 501, 217–221. [Google Scholar]
- Freunscht, I.; Popp, B.; Blank, R.; Endele, S.; Moog, U.; Petri, H.; Prott, E.-C.; Reis, A.; Rübo, J.; Zabel, B. Behavioral phenotype in five individuals with de novo mutations within the GRIN2B gene. Behav. Brain Funct. 2013, 9, 20. [Google Scholar] [CrossRef] [PubMed] [Green Version]
- Pan, Y.; Chen, J.; Guo, H.; Ou, J.; Peng, Y.; Liu, Q.; Shen, Y.; Shi, L.; Liu, Y.; Xiong, Z. Association of genetic variants of GRIN2B with autism. Sci. Rep. 2015, 5, 1–5. [Google Scholar] [CrossRef] [Green Version]
- Bahry, J.A.; Fedder-Semmes, K.N.; Sceniak, M.P.; Sabo, S.L. An Autism-Associated de novo Mutation in GluN2B Destabilizes Growing Dendrites by Promoting Retraction and Pruning. Front. Cell. Neurosci. 2021, 15, 692232. [Google Scholar] [CrossRef] [PubMed]
- Kyriakopoulos, P.; McNiven, V.; Carter, M.T.; Humphreys, P.; Dyment, D.; Fantaneanu, T.A. Atypical Rett Syndrome and Intractable Epilepsy with Novel GRIN2B Mutation. Child Neurol. Open 2018, 5, 2329048x18787946. [Google Scholar] [CrossRef] [Green Version]
- Platzer, K.; Yuan, H.; Schütz, H.; Winschel, A.; Chen, W.; Hu, C.; Kusumoto, H.; Heyne, H.O.; Helbig, K.L.; Tang, S.; et al. GRIN2B encephalopathy: Novel findings on phenotype, variant clustering, functional consequences and treatment aspects. J. Med. Genet. 2017, 54, 460–470. [Google Scholar] [CrossRef] [Green Version]
- Morisada, N.; Ioroi, T.; Taniguchi-Ikeda, M.; Ye, M.J.; Okamoto, N.; Yamamoto, T.; Iijima, K. A 12p13 GRIN2B deletion is associated with developmental delay and macrocephaly. Hum. Genome Var. 2016, 3, 16029. [Google Scholar] [CrossRef] [Green Version]
- Takasaki, Y.; Koide, T.; Wang, C.; Kimura, H.; Xing, J.; Kushima, I.; Ishizuka, K.; Mori, D.; Sekiguchi, M.; Ikeda, M.; et al. Mutation screening of GRIN2B in schizophrenia and autism spectrum disorder in a Japanese population. Sci. Rep. 2016, 6, 33311. [Google Scholar] [CrossRef] [PubMed]
- Arnold, P.D.; Rosenberg, D.R.; Mundo, E.; Tharmalingam, S.; Kennedy, J.L.; Richter, M.A. Association of a glutamate (NMDA) subunit receptor gene (GRIN2B) with obsessive-compulsive disorder: A preliminary study. Psychopharmacology 2004, 174, 530–538. [Google Scholar] [CrossRef] [PubMed]
- Bosch, D.G.; Boonstra, F.N.; de Leeuw, N.; Pfundt, R.; Nillesen, W.M.; de Ligt, J.; Gilissen, C.; Jhangiani, S.; Lupski, J.R.; Cremers, F.P.; et al. Novel genetic causes for cerebral visual impairment. Eur. J. Hum. Genet. 2016, 24, 660–665. [Google Scholar] [CrossRef] [PubMed] [Green Version]
- Warnet, X.L.; Krog, H.B.; Sevillano-Quispe, O.G.; Poulsen, H.; Kjaergaard, M. The C-terminal domains of the NMDA receptor: How intrinsically disordered tails affect signalling, plasticity and disease. Eur. J. Neurosci. 2021, 54, 6713–6739. [Google Scholar] [CrossRef] [PubMed]
- Krawczak, M.; Ball, E.V.; Fenton, I.; Stenson, P.D.; Abeysinghe, S.; Thomas, N.; Cooper, D.N. Human gene mutation database—A biomedical information and research resource. Hum. Mutat. 2000, 15, 45–51. [Google Scholar] [CrossRef]
- Soltani, I.; Bahia, W.; Radhouani, A.; Mahdhi, A.; Ferchichi, S.; Almawi, W.Y. Comprehensive in-silico analysis of damage associated SNPs in hOCT1 affecting Imatinib response in chronic myeloid leukemia. Genomics 2021, 113, 755–766. [Google Scholar] [CrossRef] [PubMed]
- Navapour, L.; Mogharrab, N. In silico screening and analysis of nonsynonymous SNPs in human CYP1A2 to assess possible associations with pathogenicity and cancer susceptibility. Sci. Rep. 2021, 11, 1–15. [Google Scholar] [CrossRef]
- Rozario, T.L.; Sharker, T.; Nila, T.A. In silico analysis of deleterious SNPs of human MTUS1 gene and their impacts on subsequent protein structure and function. PLoS ONE 2021, 16, e0252932. [Google Scholar] [CrossRef] [PubMed]
- Falahi, S.; Karaji, A.G.; Koohyanizadeh, F.; Rezaiemanesh, A.; Salari, F. A comprehensive in Silico analysis of the functional and structural impact of single nucleotide polymorphisms (SNPs) in the human IL-33 gene. Comput. Biol. Chem. 2021, 94, 107560. [Google Scholar] [CrossRef]
- Ng, C.P.; Henikoff, S. Accounting for human polymorphisms predicted to affect protein function. Genome Res. 2002, 12, 436–446. [Google Scholar] [CrossRef] [Green Version]
- Mahdieh, N.; Rabbani, B. An overview of mutation detection methods in genetic disorders. Iran. J. Pediatr. 2013, 23, 375–388. [Google Scholar]
- Risch, N.; Merikangas, K. The future of genetic studies of complex human diseases. Science 1996, 273, 1516–1517. [Google Scholar] [CrossRef] [PubMed] [Green Version]
- Ng, C.P.; Henikoff, S. SIFT: Predicting amino acid changes that affect protein function. Nucleic Acids Res. 2003, 31, 3812–3814. [Google Scholar] [CrossRef] [PubMed] [Green Version]
- Ahmad, S.U.; Ali, Y.; Jan, Z.; Rasheed, S.; Nazir, N.u.A.; Khan, A.; Abbas, S.R.; Wadood, A.; Rehman, A.U. Computational screening and analysis of deleterious nsSNPs in human p 14ARF (CDKN2A gene) protein using molecular dynamic simulation approach. J. Biomol. Struct. Dyn. 2022, 1–12. [Google Scholar]
- Ijaz, A.; Shah, K.; Aziz, A.; Rehman, F.U.; Ali, Y.; Tareen, A.M.; Khan, K.; Ayub, M.; Wali, A. Novel frameshift mutations in XPC gene underlie xeroderma pigmentosum in Pakistani families. Indian J. Dermatol. 2021, 66, 220. [Google Scholar]
- Reva, B.; Antipin, Y.; Sander, C. Predicting the functional impact of protein mutations: Application to cancer genomics. Nucleic Acids Res. 2011, 39, e118. [Google Scholar] [CrossRef] [Green Version]
- Capriotti, E.; Calabrese, R.; Fariselli, P.; Martelli, P.L.; Altman, R.B.; Casadio, R. WS-SNPs&GO: A web server for predicting the deleterious effect of human protein variants using functional annotation. BMC Genom. 2013, 14 (Suppl. S3), S6. [Google Scholar]
- Capriotti, E.; Fariselli, P. PhD-SNPg: A webserver and lightweight tool for scoring single nucleotide variants. Nucleic Acids Res. 2017, 45, W247–W252. [Google Scholar] [CrossRef] [Green Version]
- Capriotti, E.; Fariselli, P.; Casadio, R. I-Mutant2.0: Predicting stability changes upon mutation from the protein sequence or structure. Nucleic Acids Res. 2005, 33, W306–W310. [Google Scholar] [CrossRef] [Green Version]
- Cheng, J.; Randall, A.Z.; Sweredoski, M.J.; Baldi, P. SCRATCH: A protein structure and structural feature prediction server. Nucleic Acids Res. 2005, 33 (Suppl. 2), W72–W76. [Google Scholar] [CrossRef] [PubMed] [Green Version]
- Ashkenazy, H.; Abadi, S.; Martz, E.; Chay, O.; Mayrose, I.; Pupko, T.; Ben-Tal, N. ConSurf 2016: An improved methodology to estimate and visualize evolutionary conservation in macromolecules. Nucleic Acids Res. 2016, 44, W344–W350. [Google Scholar] [CrossRef] [PubMed] [Green Version]
- Wang, D.; Zeng, S.; Xu, C.; Qiu, W.; Liang, Y.; Joshi, T.; Xu, D. MusiteDeep: A deep-learning framework for general and kinase-specific phosphorylation site prediction. Bioinformatics 2017, 33, 3909–3916. [Google Scholar] [CrossRef] [PubMed] [Green Version]
- Jumper, J.; Evans, R.; Pritzel, A.; Green, T.; Figurnov, M.; Ronneberger, O.; Tunyasuvunakool, K.; Bates, R.; Žídek, A.; Potapenko, A. Highly accurate protein structure prediction with AlphaFold. Nature 2021, 596, 583–589. [Google Scholar] [CrossRef] [PubMed]
- Xu, D.; Zhang, Y. Improving the physical realism and structural accuracy of protein models by a two-step atomic-level energy minimization. Biophys. J. 2011, 101, 2525–2534. [Google Scholar] [CrossRef] [Green Version]
- Wu, Q.; Peng, Z.; Zhang, Y. and Yang, J. COACH-D: Improved protein–ligand binding sites prediction with refined ligand-binding poses through molecular docking. Nucleic Acids Res. 2018, 46, W438–W442. [Google Scholar] [CrossRef] [Green Version]
- DeLano, W.L. Pymol: An open-source molecular graphics tool. CCP4 Newsl. Protein Crystallogr. 2002, 40, 82–92. [Google Scholar]
- Brown, G.R.; Hem, V.; Katz, K.S.; Ovetsky, M.; Wallin, C.; Ermolaeva, O.; Tolstoy, I.; Tatusova, T.; Pruitt, K.D.; Maglott, D.R. Gene: A gene-centered information resource at NCBI. Nucleic Acids Res. 2015, 43, D36–D42. [Google Scholar] [CrossRef]
- Consortium, U. UniProt: A hub for protein information. Nucleic Acids Res. 2015, 43, D204–D212. [Google Scholar] [CrossRef]
- Sherry, S.T.; Ward, M.; Sirotkin, K. dbSNP—Database for single nucleotide polymorphisms and other classes of minor genetic variation. Genome Res. 1999, 9, 677–679. [Google Scholar] [CrossRef]
- Fernández, X.M.; Birney, E. Ensembl Genome Browser. In Vogel and Motulsky’s Human Genetics; Springer: Berlin/Heidelberg, Germany, 2010; pp. 923–939. [Google Scholar]
- Hamosh, A.; Scott, A.F.; Amberger, J.; Valle, D.; McKusick, V.A. Online Mendelian Inheritance in Man (OMIM). Hum. Mutat. 2000, 15, 57–61. [Google Scholar] [CrossRef]
- Adzhubei, I.A.; Schmidt, S.; Peshkin, L.; Ramensky, V.E.; Gerasimova, A.; Bork, P.; Kondrashov, A.S.; Sunyaev, S.R. A method and server for predicting damaging missense mutations. Nat. Methods 2010, 7, 248–249. [Google Scholar] [CrossRef] [Green Version]
- Hecht, M.; Bromberg, Y.; Rost, B. Better prediction of functional effects for sequence variants. BMC Genom. 2015, 16, S1. [Google Scholar] [CrossRef] [Green Version]
- Rentzsch, P.; Schubach, M.; Shendure, J.; Kircher, M. CADD-Splice-improving genome-wide variant effect prediction using deep learning-derived splice scores. Genome Med. 2021, 13, 31. [Google Scholar] [CrossRef] [PubMed]
- Ioannidis, N.M.; Rothstein, J.H.; Pejaver, V.; Middha, S.; McDonnell, S.K.; Baheti, S.; Musolf, A.; Li, Q.; Holzinger, E.; Karyadi, D. REVEL: An ensemble method for predicting the pathogenicity of rare missense variants. Am. J. Hum. Genet. 2016, 99, 877–885. [Google Scholar] [CrossRef] [Green Version]
- Guex, N.; Peitsch, M.C. SWISS-MODEL and the Swiss-Pdb Viewer: An environment for comparative protein modeling. Electrophoresis 1997, 18, 2714–2723. [Google Scholar] [CrossRef]
- Land, H.; Humble, M.S. YASARA: A tool to obtain structural guidance in biocatalytic investigations. In Protein Engineering; Springer: Berlin/Heidelberg, Germany, 2018; pp. 43–67. [Google Scholar]
- Pettersen, E.F.; Goddard, T.D.; Huang, C.C.; Couch, G.S.; Greenblatt, D.M.; Meng, E.C.; Ferrin, T.E. UCSF Chimera—A visualization system for exploratory research and analysis. J. Comput. Chem. 2004, 25, 1605–1612. [Google Scholar] [CrossRef] [Green Version]
- Bhachoo, J.; Beuming, T. Investigating protein–peptide interactions using the Schrödinger computational suite. In Modeling Peptide-Protein Interactions; Springer: Berlin/Heidelberg, Germany, 2017; pp. 235–254. [Google Scholar]
- Doherty, B.; Zhong, X.; Gathiaka, S.; Li, B.; Acevedo, O. Revisiting OPLS force field parameters for ionic liquid simulations. J. Chem. Theory Comput. 2017, 13, 6131–6145. [Google Scholar] [CrossRef]
- Kräutler, V.; van Gunsteren, W.F.; Hünenberger, P.H. A fast SHAKE algorithm to solve distance constraint equations for small molecules in molecular dynamics simulations. J. Comput. Chem. 2001, 22, 501–508. [Google Scholar] [CrossRef]
- Tuckerman, M.; Berne, B.J.; Martyna, G.J. Reversible multiple time scale molecular dynamics. J. Chem. Phys. 1992, 97, 1990–2001. [Google Scholar] [CrossRef] [Green Version]
- Evans, D.J.; Holian, B.L. The nose–hoover thermostat. J. Chem. Phys. 1985, 83, 4069–4074. [Google Scholar] [CrossRef]
- Martyna, G.J.; Tobias, D.J.; Klein, M.L. Constant pressure molecular dynamics algorithms. J. Chem. Phys. 1994, 101, 4177–4189. [Google Scholar] [CrossRef]
- Zhang, S.; Krieger, J.M.; Zhang, Y.; Kaya, C.; Kaynak, B.; Mikulska-Ruminska, K.; Doruker, P.; Li, H.; Bahar, I. ProDy 2.0: Increased scale and scope after 10 years of protein dynamics modelling with Python. Bioinformatics 2021, 37, 3657–3659. [Google Scholar] [CrossRef] [PubMed]
- Hunter, J.D. Matplotlib: A 2D graphics environment. Comput. Sci. Eng. 2007, 9, 90–95. [Google Scholar] [CrossRef]
- Jan, Z.; Ahmad, S.U.; Qadus, A.; Ali, Y.; Sajjad, W.; Rais, F.; Tanveer, S.; Khan, M.S.; Haq, I. Insilico structural and functional assessment of hypothetical protein L345_13461 from Ophiophagus hannah. Pure Appl. Biol. 2021, 10, 1109–1118. [Google Scholar] [CrossRef]
- Khattak, S.; Rauf, M.A.; Zaman, Q.; Ali, Y.; Fatima, S.; Muhammad, P.; Li, T.; Khan, H.A.; Khan, A.A.; Ngowi, E.E. Genome-wide analysis of codon usage patterns of sars-cov-2 virus reveals global heterogeneity of COVID-19. Biomolecules 2021, 11, 912. [Google Scholar] [CrossRef] [PubMed]
- Ahmad, S.U.; Kiani, B.H.; Abrar, M.; Jan, Z.; Zafar, I.; Ali, Y.; Alanazi, A.M.; Malik, A.; Rather, M.A.; Ahmad, A.; et al. A comprehensive genomic study, mutation screening, phylogenetic and statistical analysis of SARS-CoV-2 and its variant omicron among different countries. J. Infect. Public Health 2022, 15, 878–891. [Google Scholar]
- Endele, S.; Rosenberger, G.; Geider, K.; Popp, B.; Tamer, C.; Stefanova, I.; Milh, M.; Kortüm, F.; Fritsch, A.; Pientka, F.K. Mutations in GRIN2A and GRIN2B encoding regulatory subunits of NMDA receptors cause variable neurodevelopmental phenotypes. Nat. Genet. 2010, 42, 1021–1026. [Google Scholar] [CrossRef]
- Bell, S.; Maussion, G.; Jefri, M.; Peng, H.; Theroux, J.-F.; Silveira, H.; Soubannier, V.; Wu, H.; Hu, P.; Galat, E. Disruption of GRIN2B impairs differentiation in human neurons. Stem Cell Rep. 2018, 11, 183–196. [Google Scholar] [CrossRef]
- Smigiel, R.; Kostrzewa, G.; Kosinska, J.; Pollak, A.; Stawinski, P.; Szmida, E.; Bloch, M.; Szymanska, K.; Karpinski, P.; Sasiadek, M.M. Further evidence for GRIN2B mutation as the cause of severe epileptic encephalopathy. Am. J. Med. Genet. Part A 2016, 170, 3265–3270. [Google Scholar] [CrossRef]
- Hu, C.; Chen, W.; Myers, S.J.; Yuan, H.; Traynelis, S.F. Human GRIN2B variants in neurodevelopmental disorders. J. Pharmacol. Sci. 2016, 132, 115–121. [Google Scholar] [CrossRef] [Green Version]
- Mooney, S.D.; Krishnan, V.G.; Evani, U.S. Bioinformatic tools for identifying disease gene and SNP candidates. Methods Mol. Biol. 2010, 628, 307–319. [Google Scholar] [PubMed] [Green Version]
- Miller, M.; Kumar, S. Understanding human disease mutations through the use of interspecific genetic variation. Hum. Mol. Genet. 2001, 10, 2319–2328. [Google Scholar] [CrossRef] [PubMed]
- Wang, Z.; Moult, J. SNPs, protein structure, and disease. Hum. Mutat. 2001, 17, 263–270. [Google Scholar] [CrossRef]
- Rose, G.D.; Wolfenden, R. Hydrogen bonding, hydrophobicity, packing, and protein folding. Annu. Rev. Biophys. Biomol. Struct. 1993, 22, 381–415. [Google Scholar] [CrossRef]
- Shirley, B.A.; Stanssens, P.; Hahn, U.; Pace, C.N. Contribution of hydrogen bonding to the conformational stability of ribonuclease T1. Biochemistry 1992, 31, 725–732. [Google Scholar] [CrossRef]
- Durrant, J.D.; McCammon, J.A. Molecular dynamics simulations and drug discovery. BMC Biol. 2011, 9, 71. [Google Scholar] [CrossRef] [Green Version]
- Khan, M.T.; Khan, A.; Rehman, A.U.; Wang, Y.; Akhtar, K.; Malik, S.I.; Wei, D.-Q. Structural and free energy landscape of novel mutations in ribosomal protein S1 (rpsA) associated with pyrazinamide resistance. Sci. Rep. 2019, 9, 1–12. [Google Scholar] [CrossRef]
- Hameed, S.; Seraj, F.; Rafique, R.; Chigurupati, S.; Wadood, A.; Rehman, A.U.; Venugopal, V.; Salar, U.; Taha, M.; Khan, K.M. Synthesis of benzotriazoles derivatives and their dual potential as α-amylase and α-glucosidase inhibitors in vitro: Structure-activity relationship, molecular docking, and kinetic studies. Eur. J. Med. Chem. 2019, 183, 111677. [Google Scholar] [CrossRef] [PubMed]
- Benz, R.W.; Castro-Román, F.; Tobias, D.J.; White, S.H. Experimental validation of molecular dynamics simulations of lipid bilayers: A new approach. Biophys. J. 2005, 88, 805–817. [Google Scholar] [CrossRef] [Green Version]
- Shoichet, B.K.; Baase, W.A.; Kuroki, R.; Matthews, B.W. A relationship between protein stability and protein function. Proc. Natl. Acad. Sci. USA 1995, 92, 452–456. [Google Scholar] [CrossRef] [Green Version]
- Hossain, M.; Roy, A.S.; Islam, M. In silico analysis predicting effects of deleterious SNPs of human RASSF5 gene on its structure and functions. Sci. Rep. 2020, 10, 1–14. [Google Scholar]
- Rajasekaran, R.; Sudandiradoss, C.; Doss, C.G.P. Identification and in silico analysis of functional SNPs of the BRCA1 gene. Genomics 2007, 90, 447–452. [Google Scholar] [CrossRef] [PubMed] [Green Version]
- Yue, P.; Moult, J. Identification and analysis of deleterious human SNPs. J. Mol. Biol. 2006, 356, 1263–1274. [Google Scholar] [CrossRef]
- Rehman, A.U.; Khan, M.T.; Liu, H.; Wadood, A.; Malik, S.I.; Chen, H.-F. Exploring the pyrazinamide drug resistance mechanism of clinical mutants T370P and W403G in ribosomal protein S1 of Mycobacterium tuberculosis. J. Chem. Inf. Model. 2019, 59, 1584–1597. [Google Scholar] [CrossRef] [PubMed]
- Rehman, A.U.; Rafiq, H.; Rahman, M.U.; Li, J.; Liu, H.; Luo, S.; Arshad, T.; Wadood, A.; Chen, H.-F. Gain-of-function SHP2 E76Q mutant rescuing autoinhibition mechanism associated with juvenile myelomonocytic leukemia. J. Chem. Inf. Model. 2019, 59, 3229–3239. [Google Scholar] [CrossRef]
- Prosdocimi, F.; Ortega, J.M. The Codon Usage of Leucine, Serine and Arginine reveals evolutionary stability of proteomes and protein-coding genes. In Proceedings of the Brazilian Symposium on Bioinformatics, Rio de Janeiro, Brazil, 29–31 August 2007. [Google Scholar]
- Wagner, G.; DeMarco, A.; Wüthrich, K. Dynamics of the aromatic amino acid residues in the globular conformation of the basic pancreatic trypsin inhibitor (BPTI). Biophys. Struct. Mech. 1976, 2, 139–158. [Google Scholar] [CrossRef] [PubMed]
- Chan, D.C.; Fass, D.; Berger, J.M.; Kim, P.S. Core structure of gp41 from the HIV envelope glycoprotein. Cell 1997, 89, 263–273. [Google Scholar] [CrossRef] [Green Version]
- Teilum, K.; Olsen, J.G.; Kragelund, B.B. Protein stability, flexibility and function. Biochim. Biophys. Acta (BBA)-Proteins Proteom. 2011, 1814, 969–976. [Google Scholar] [CrossRef]
- Lobanov, M.Y.; Bogatyreva, N.; Galzitskaya, O. Radius of gyration as an indicator of protein structure compactness. Mol. Biol. 2008, 42, 623–628. [Google Scholar] [CrossRef]
- Lee, H.; Deignan, J.L.; Dorrani, N.; Strom, S.P.; Kantarci, S. Clinical exome sequencing for genetic identification of rare Mendelian disorders. JAMA 2014, 312, 1880–1887. [Google Scholar] [CrossRef]











| Variant ID | Mutation | SIFT | Polyphen2 | SNAP2 | CADD | REVEL | MetaLR | Mut. Ass. |
|---|---|---|---|---|---|---|---|---|
| rs876661167 | p.Arg1111His * | deleterious | benign | neutral | likely benign | likely benign | tolerated | medium |
| rs1064794979 | p.Gly826Glu * | tolerated | possibly damaging | effect | likely benign | likely benign | tolerated | medium |
| rs797044849 | p.Gly820Val | deleterious | probably damaging | effect | likely benign | likely disease-causing | tolerated | medium |
| rs797044849 | p.Gly820Ala | deleterious | probably damaging | effect | likely benign | likely disease-causing | tolerated | high |
| rs797044849 | p.Gly820Glu | deleterious | probably damaging | effect | likely benign | likely disease-causing | tolerated | high |
| rs1555103150 | p.Gly820Arg | deleterious | probably damaging | effect | likely benign | likely disease-causing | tolerated | high |
| rs864309560 | p.Ser810Arg * | deleterious | probably damaging | effect | likely benign | likely benign | tolerated | medium |
| rs876661055 | p.Ile751Thr | deleterious | probably damaging | effect | likely benign | likely disease-causing | tolerated | medium |
| rs1555103971 | p.Arg696His | deleterious | probably damaging | effect | likely benign | likely disease-causing | tolerated | medium |
| rs876661219 | p.Ile695Ser | deleterious | probably damaging | effect | likely deleterious | likely disease-causing | tolerated | medium |
| rs876661219 | p.Ile695Thr | deleterious | probably damaging | effect | likely benign | likely disease-causing | tolerated | medium |
| rs869312868 | p.Gly689Ser * | deleterious | probably damaging | effect | likely benign | likely benign | tolerated | low |
| rs869312669 | p.Thr685Pro | deleterious | probably damaging | effect | likely benign | likely disease-causing | tolerated | high |
| rs387906636 | p.Arg682Cys | deleterious | probably damaging | effect | likely deleterious | likely disease-causing | tolerated | medium |
| rs876661151 | p.Asp668Tyr | deleterious | probably damaging | effect | likely benign | likely disease-causing | damaging | high |
| rs876661151 | p.Asp668Asn | deleterious | probably damaging | effect | likely benign | likely disease-causing | damaging | high |
| rs1555110812 | p.Ala652Pro | deleterious | probably damaging | effect | likely benign | likely disease-causing | damaging | high |
| rs797044930 | p.Ala639Val | deleterious | probably damaging | effect | likely benign | likely disease-causing | tolerated | medium |
| rs672601376 | p.Val618Gly | deleterious | probably damaging | effect | likely benign | likely disease-causing | tolerated | medium |
| rs672601377 | p.Asn615Ile | deleterious | probably damaging | effect | likely benign | likely disease-causing | tolerated | medium |
| rs1057518700 | p.Trp607Cys | deleterious | probably damaging | effect | likely benign | likely disease-causing | damaging | high |
| rs1057519004 | p.Val558Ile * | deleterious | possibly damaging | effect | likely benign | likely benign | tolerated | low |
| rs1131691702 | p.Ser526Pro | deleterious | possibly damaging | effect | likely benign | likely disease-causing | tolerated | medium |
| rs886041295 | p.Asn516Ser * | deleterious | benign | effect | likely benign | likely benign | tolerated | low |
| rs527236034 | p.Glu413Gly | deleterious | probably damaging | effect | likely deleterious | likely disease-causing | tolerated | medium |
| Variant ID | Mutation | PhD-SNP | SNPs & GO | I-Mutant | MUpro |
|---|---|---|---|---|---|
| rs797044849 | p.Gly820Val | Disease | Disease | −0.34 (Dec. Stab.) | −0.86017491 (Dec. Stab.) |
| rs797044849 | p.Gly820Ala | Disease | Disease | −0.55 (Inc. Stab.) | −1.2722781 (Dec. Stab.) |
| rs797044849 | p.Gly820Glu | Disease | Disease | −0.55 (Dec. Stab.) | −0.96468908 (Dec. Stab.) |
| rs1555103150 | p.Gly820Arg | Disease | Disease | −0.41 (Dec. Stab.) | −1.0760922 (Dec. Stab.) |
| rs876661055 | p.Ile751Thr | Neutral | Disease | −2.27 (Dec. Stab.) | −2.8133707 (Dec. Stab.) |
| rs1555103971 | p.Arg696His | Disease | Disease | −1.27 (Dec. Stab.) | −1.8584507 (Dec. Stab.) |
| rs876661219 | p.Ile695Ser | Disease | Disease | −2.16 (Dec. Stab.) | −1.876043 (Dec. Stab.) |
| rs876661219 | p.Ile695Thr | Neutral | Disease | −2.11 (Dec. Stab.) | −2.047267 (Dec. Stab.) |
| rs869312669 | p.Thr685Pro | Disease | Disease | −0.92 (Dec. Stab.) | −1.1060293 (Dec. Stab.) |
| rs387906636 | p.Arg682Cys | Disease | Disease | −1.11 (Dec. Stab.) | −0.790331 (Dec. Stab.) |
| rs876661151 | p.Asp668Tyr | Disease | Disease | −0.58 (Dec. Stab.) | −0.84414843 (Dec. Stab.) |
| rs876661151 | p.Asp668Asn | Neutral | Disease | −1.42 (Dec. Stab.) | −1.3280612 (Dec. Stab.) |
| rs1555110812 | p.Ala652Pro | Disease | Disease | −0.30 (Dec. Stab.) | −1.8518457 (Dec. Stab.) |
| rs797044930 | p.Ala639Val | Disease | Disease | −0.16 (Dec. Stab.) | −0.89362766 (Dec. Stab.) |
| rs672601376 | p.Val618Gly | Disease | Disease | −2.62 (Dec. Stab.) | −2.1850285 (Dec. Stab.) |
| rs672601377 | p.Asn615Ile | Disease | Disease | 0.78 (Inc. Stab.) | −0.5777985 (Dec. Stab.) |
| rs1057518700 | p.Trp607Cys | Disease | Disease | −1.73 (Dec. Stab.) | −1.1378457 (Dec. Stab.) |
| rs1131691702 | p.Ser526Pro | Disease | Disease | −0.32 (Inc. Stab.) | −1.5731478 (Dec. Stab.) |
| rs527236034 | p.Glu413Gly | Neutral | Disease | −1.25 (Dec. Stab.) | −1.1247393 (Dec. Stab.) |
| Variant ID | Mutation | ConSurf | Musite | Findmod Peptides | Potential Modification |
|---|---|---|---|---|---|
| rs797044849 | p.Gly820Val | 9, bur, str | --- | --- | --- |
| rs797044849 | p.Gly820Ala | 9, bur, str | --- | --- | --- |
| rs797044849 | p.Gly820Glu | 9, bur, str | --- | --- | --- |
| rs1555103150 | p.Gly820Arg | 9, bur, str | --- | --- | --- |
| rs876661055 | p.Ile751Thr | 7, exp | --- | --- | --- |
| rs1555103971 | p.Arg696His | 7, exp | --- | --- | --- |
| rs876661219 | p.Ile695Ser | 9, bur, str | --- | --- | --- |
| rs876661219 | p.Ile695Thr | 9, bur, str | --- | --- | --- |
| rs869312669 | p.Thr685Pro | 8, exp, fun | Phosphorylation | --- | --- |
| rs387906636 | p.Arg682Cys | 5, exp | Methylation | FQRPNDFSPPFR | DHAS |
| rs876661151 | p.Asp668Tyr | 9, exp, fun | --- | --- | --- |
| rs876661151 | p.Asp668Asn | 9, exp, fun | --- | --- | --- |
| rs1555110812 | p.Ala652Pro | 9, bur, str | --- | --- | --- |
| rs797044930 | p.Ala639Val | 9, bur, str | --- | --- | --- |
| rs672601376 | p.Val618Gly | 8, bur | --- | --- | --- |
| rs672601377 | p.Asn615Ile | 8, exp, fun | Glycosylation | --- | --- |
| rs1057518700 | p.Trp607Cys | 8, bur | --- | --- | --- |
| rs1131691702 | p.Ser526Pro | 9, bur, str | --- | SEVVDFSVPFIETGISVMVSR | BROM |
| rs527236034 | p.Alu413Gly | 8, exp, fun | --- | --- | --- |
| Variant ID | Mutation | Functional Impact | Conservation | PTMs (Residual) | PTM Driver Peptides | Pep. Potential PTMs |
|---|---|---|---|---|---|---|
| rs869312669 | p.Thr685Pro | Disease | 8, exp, fun | Phosphorylation | --- | --- |
| rs387906636 | p.Arg682Cys | Disease | 5, exp | Methylation | FQRPNDFSPPFR | 2,3-didehydroalanine (Ser) |
| rs672601377 | p.Asn615Ile | Disease | 8, exp, fun | Glycosylation | --- | --- |
| rs1131691702 | p.Ser526Pro | Disease | 9, bur, str | --- | SEVVD FSVPFIETGISVMVSR | Bromination |
Publisher’s Note: MDPI stays neutral with regard to jurisdictional claims in published maps and institutional affiliations. |
© 2022 by the authors. Licensee MDPI, Basel, Switzerland. This article is an open access article distributed under the terms and conditions of the Creative Commons Attribution (CC BY) license (https://creativecommons.org/licenses/by/4.0/).
Share and Cite
Shah, A.A.; Amjad, M.; Hassan, J.-U.; Ullah, A.; Mahmood, A.; Deng, H.; Ali, Y.; Gul, F.; Xia, K. Molecular Insights into the Role of Pathogenic nsSNPs in GRIN2B Gene Provoking Neurodevelopmental Disorders. Genes 2022, 13, 1332. https://doi.org/10.3390/genes13081332
Shah AA, Amjad M, Hassan J-U, Ullah A, Mahmood A, Deng H, Ali Y, Gul F, Xia K. Molecular Insights into the Role of Pathogenic nsSNPs in GRIN2B Gene Provoking Neurodevelopmental Disorders. Genes. 2022; 13(8):1332. https://doi.org/10.3390/genes13081332
Chicago/Turabian StyleShah, Abid Ali, Marryam Amjad, Jawad-Ul Hassan, Asmat Ullah, Arif Mahmood, Huiyin Deng, Yasir Ali, Fouzia Gul, and Kun Xia. 2022. "Molecular Insights into the Role of Pathogenic nsSNPs in GRIN2B Gene Provoking Neurodevelopmental Disorders" Genes 13, no. 8: 1332. https://doi.org/10.3390/genes13081332
APA StyleShah, A. A., Amjad, M., Hassan, J.-U., Ullah, A., Mahmood, A., Deng, H., Ali, Y., Gul, F., & Xia, K. (2022). Molecular Insights into the Role of Pathogenic nsSNPs in GRIN2B Gene Provoking Neurodevelopmental Disorders. Genes, 13(8), 1332. https://doi.org/10.3390/genes13081332

