Heritability Analyses Uncover Shared Genetic Effects of Lung Function and Change over Time
Abstract
1. Introduction
2. Results
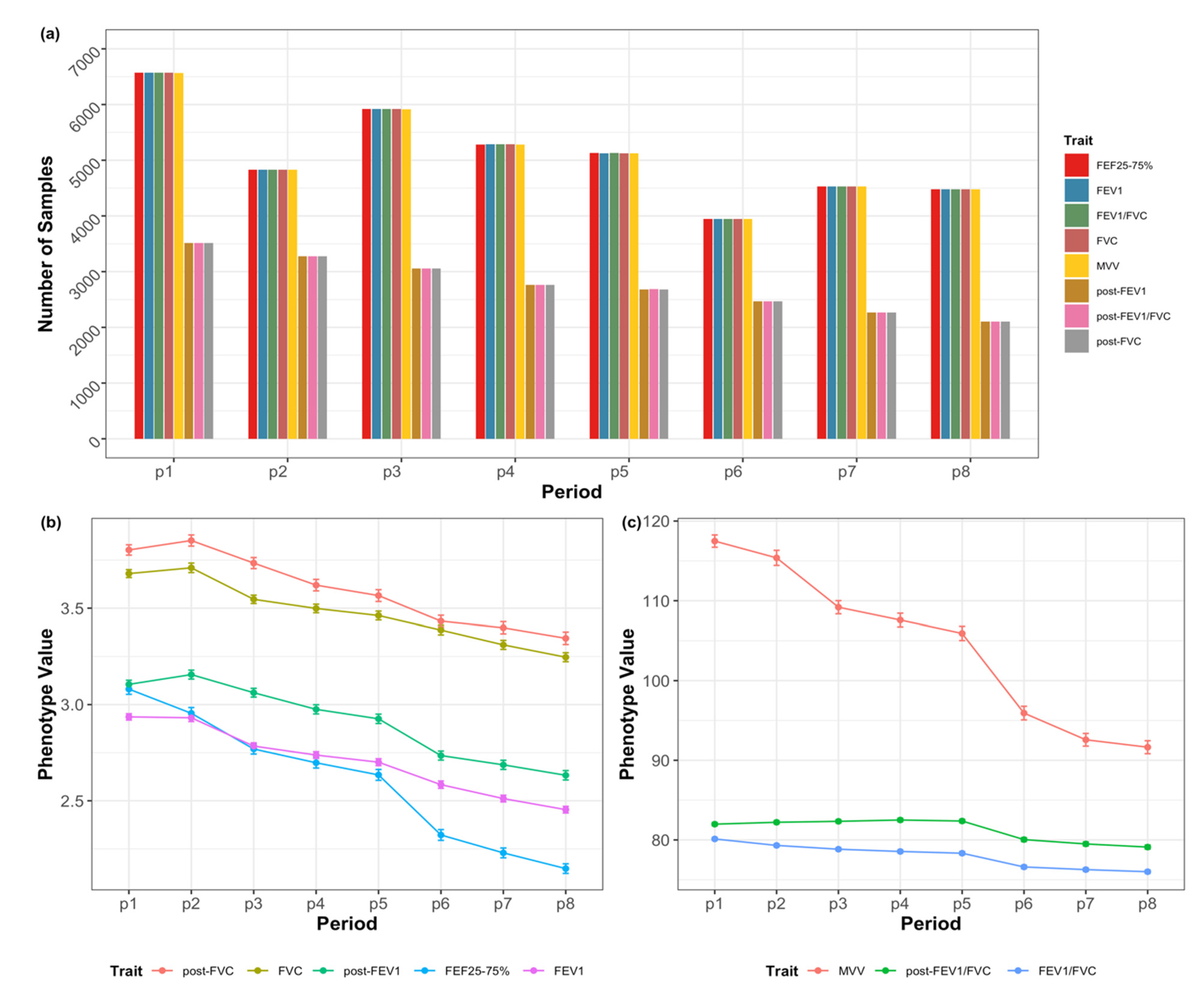
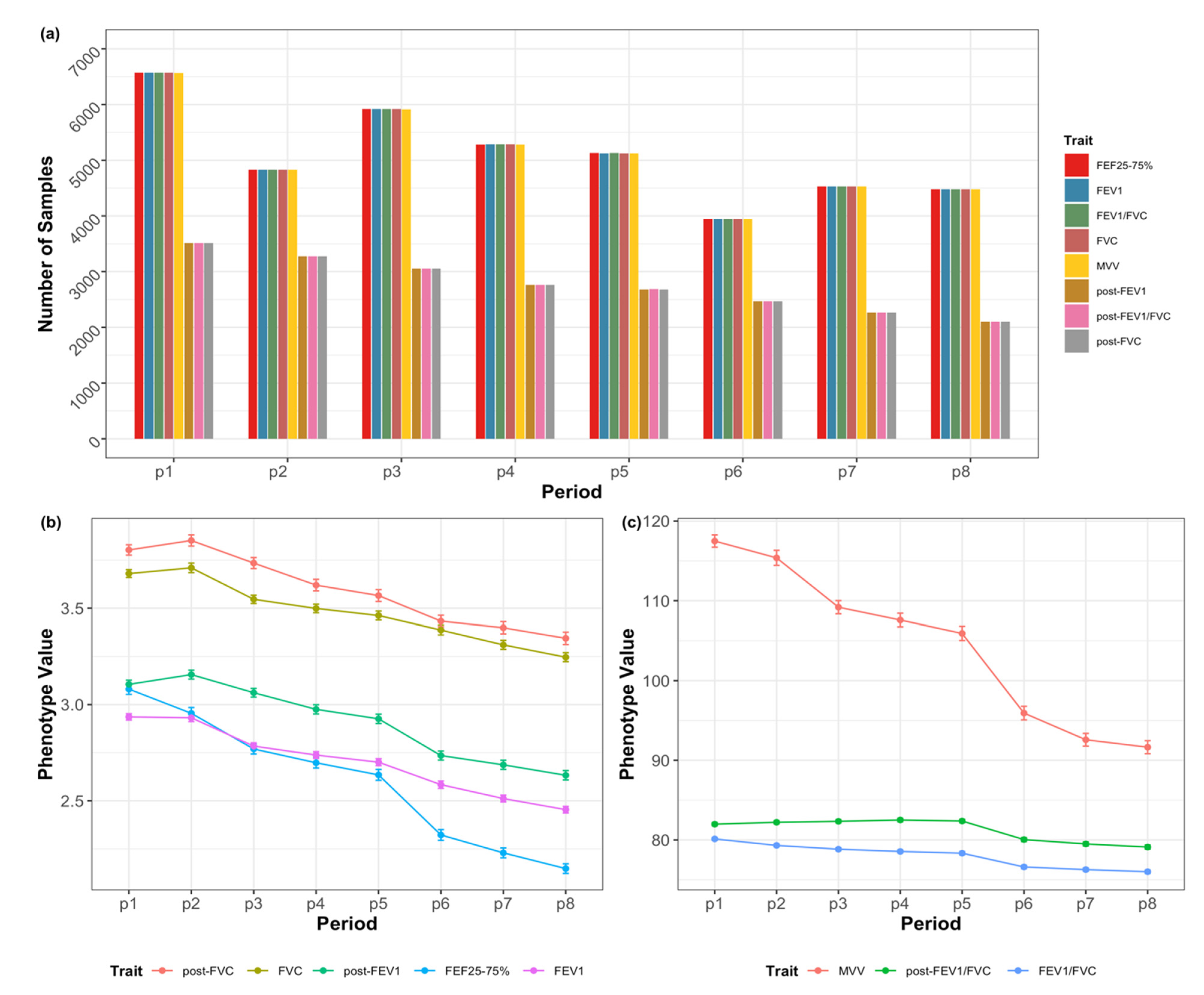
2.1. Characteristics of Study Subjects
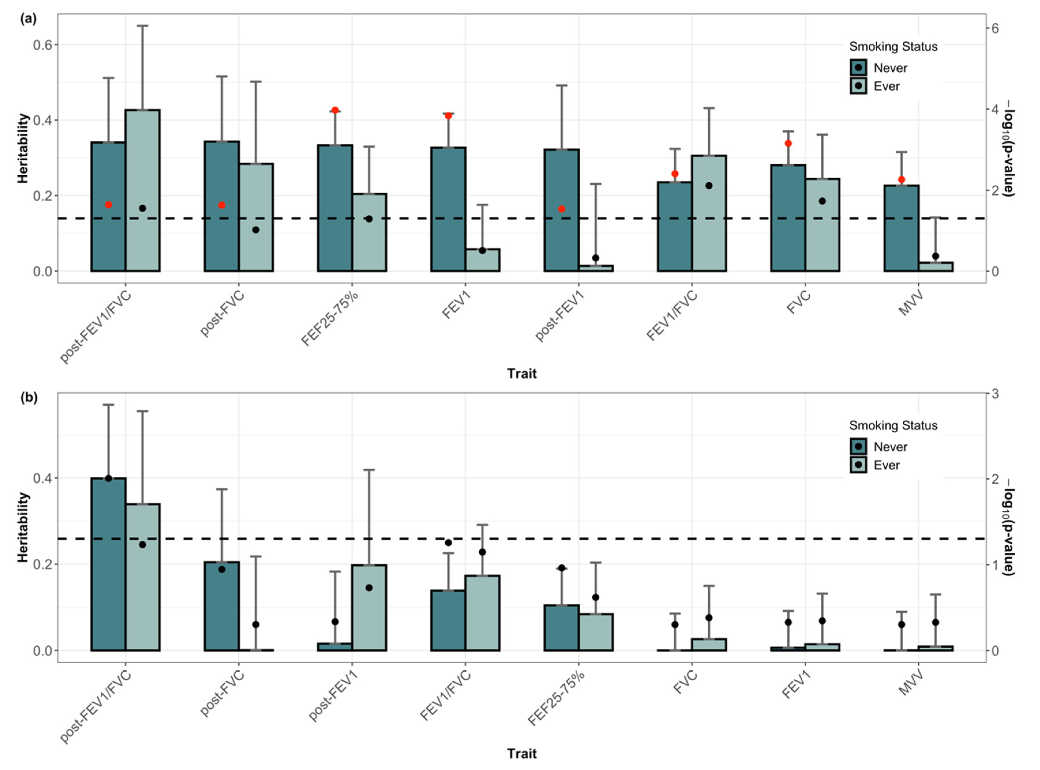
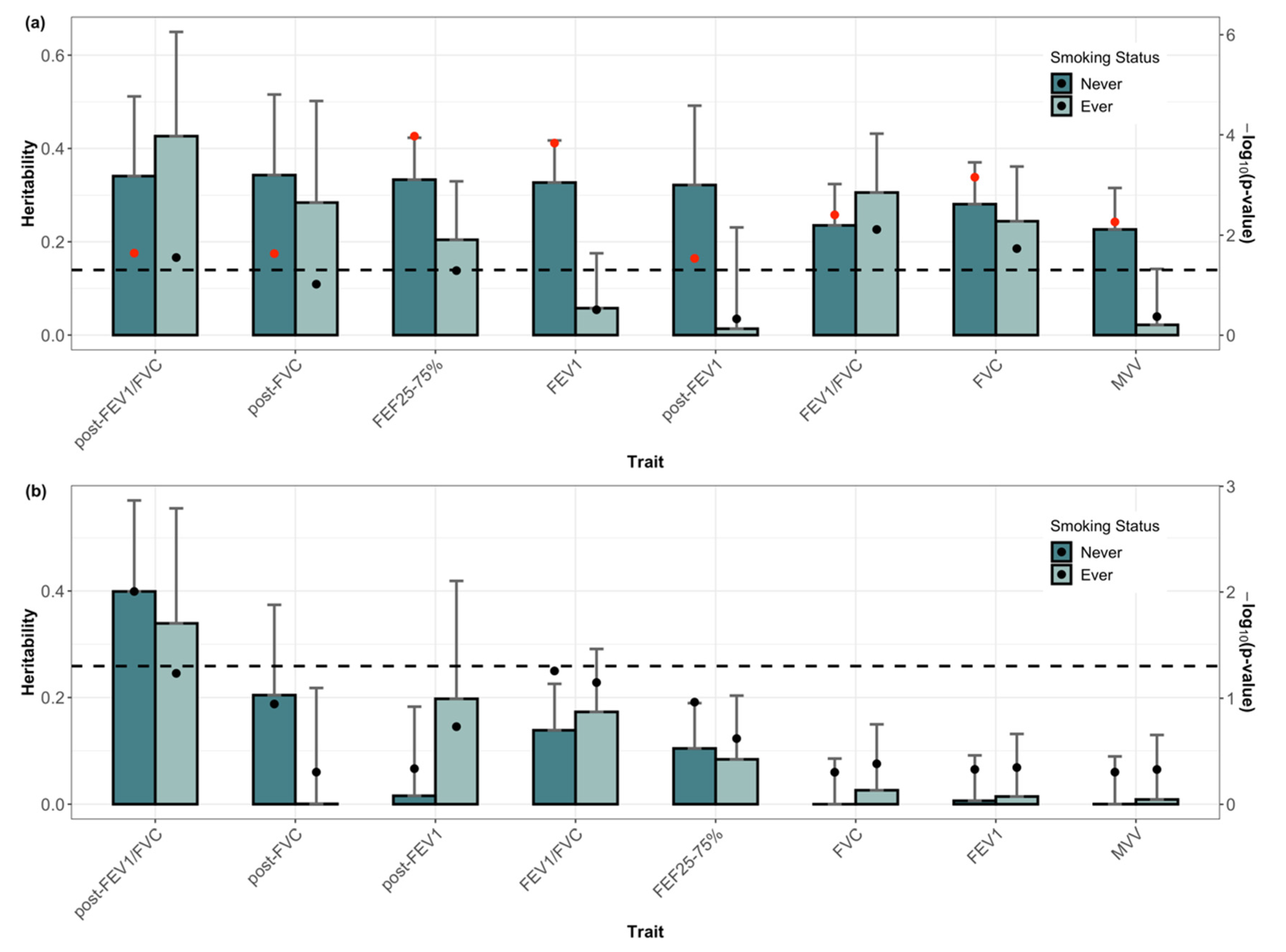
2.2. Heritability Estimates of Subject-Specific Means and Annual Change Rates
2.3. Effect of Smoking on Heritability Estimates of the Eight Lung Function Traits
2.4. Genome-Wide Association Studies of Subject-Specific Means and Annual Change Rates
3. Discussion
4. Methods
4.1. Study Subjects
4.2. Lung Function
4.3. Epidemiological Concept of and
4.4. Estimation of and
4.5. Subgroup Analysis by Smoking Status
4.6. Estimating Heritability Attributed to SNP–Smoking Interaction
4.7. Genome-Wide Association Studies
Supplementary Materials
Author Contributions
Funding
Institutional Review Board Statement
Informed Consent Statement
Data Availability Statement
Acknowledgments
Conflicts of Interest
Abbreviations
| COPD | (Chronic obstructive pulmonary disease) |
| GWAS | (genome-wide association study) |
| FEV1 | (forced expiratory volume in 1 s) |
| FVC | (forced vital capacity) |
| FEF | 25–75% (average forced expiratory flow during the mid (25–75%) portion of the FVC) |
| MVV | (SNP (single nucleotide polymorphism) |
| KoGES | (Korean Genome and Epidemiology Study) |
| GCTA | (genome-wide complex trait analysis) |
| GxE | (genotype-environment interaction) |
| PC | (principle components) |
| FDR | (false-discovery rate) |
| DSL | (disease susceptibility loci) |
References
- Miller, M.R.; Hankinson, J.; Brusasco, V.; Burgos, F.; Casaburi, R.; Coates, A.; Crapo, R.; Enright, P.; Van Der Grinten, C.P.M.; Gustafsson, P.; et al. Standardisation of spirometry. Eur. Respir. J. 2005, 26, 319–338. [Google Scholar] [CrossRef] [PubMed]
- Calverley, P.M.; Walker, P. Chronic obstructive pulmonary disease. Lancet 2003, 362, 1053–1061. [Google Scholar] [CrossRef]
- Halbert, R.J.; Natoli, J.L.; Gano, A.; Badamgarav, E.; Buist, A.S.; Mannino, D.M. Global burden of COPD: Systematic review and meta-analysis. Eur. Respir. J. 2006, 28, 523–532. [Google Scholar] [CrossRef] [PubMed]
- Ferrer, M.; Alonso, J.; Morera, J.; Marrades, R.M.; Khalaf, A.; Aguar, M.C.; Plaza, V.; Prieto, L.; Antó, J.M. Chronic obstructive pulmonary disease stage and health-related quality of life. The Quality of Life of Chronic Obstructive Pulmonary Disease Study Group. Ann. Intern. Med. 1997, 127, 1072. [Google Scholar] [CrossRef] [PubMed]
- Astemborski, J.A.; Beaty, T.H.; Cohen, B.H.; Opitz, J.M.; Reynolds, J.F. Variance components analysis of forced expiration in families. Am. J. Med. Genet. 1985, 21, 741–753. [Google Scholar] [CrossRef] [PubMed]
- Wilk, J.B.; Djousse, L.; Arnett, D.K.; Rich, S.S.; Province, M.A.; Hunt, S.C.; Crapo, R.O.; Higgins, M.; Myers, R.H. Evidence for major genes influencing pulmonary function in the NHLBI Family Heart Study. Genet. Epidemiol. 2000, 19, 81–94. [Google Scholar] [CrossRef]
- Palmer, L.; Knuiman, M.; Divitini, M.; Burton, P.; James, A.; Bartholomew, H.; Ryan, G.; Musk, A. Familial aggregation and heritability of adult lung function: Results from the Busselton Health Study. Eur. Respir. J. 2001, 17, 696–702. [Google Scholar] [CrossRef]
- Lewitter, F.I.; Tager, I.B.; McGue, M.; Tishler, P.V.; Speizer, F.E.; Lewiiter, F.I. Genetic and environmental determinants of level of pulmonary function. Am. J. Epidemiol. 1984, 120, 518–530. [Google Scholar] [CrossRef]
- Zhou, J.J.; Cho, M.H.; Castaldi, P.J.; Hersh, C.P.; Silverman, E.K.; Laird, N.M. Heritability of Chronic Obstructive Pulmonary Disease and Related Phenotypes in Smokers. Am. J. Respir. Crit. Care Med. 2013, 188, 941–947. [Google Scholar] [CrossRef]
- Wyss, A.B.; Sofer, T.; Lee, M.K.; Terzikhan, N.; Nguyen, J.N.; LaHousse, L.; Latourelle, J.C.; Smith, A.V.; Bartz, T.M.; Feitosa, M.F.; et al. Multiethnic meta-analysis identifies ancestry-specific and cross-ancestry loci for pulmonary function. Nat. Commun. 2018, 9, 2976. [Google Scholar] [CrossRef]
- Soler Artigas, M.; Loth, D.W.; Wain, L.V.; Gharib, S.A.; Obeidat, M.; Tang, W.; Zhai, G.; Zhao, J.H.; Smith, A.V.; Huffman, J.E.; et al. Genome-wide association and large-scale follow up identifies 16 new loci influencing lung function. Nat. Genet. 2011, 43, 1082–1090. [Google Scholar] [CrossRef]
- Hancock, D.; Eijgelsheim, M.; Wilk, J.B.; Gharib, S.A.; Loehr, L.; Marciante, K.D.; Franceschini, N.; A Van Durme, Y.M.T.; Chen, T.-H.; Barr, R.G.; et al. Meta-analyses of genome-wide association studies identify multiple loci associated with pulmonary function. Nat. Genet. 2010, 42, 45–52. [Google Scholar] [CrossRef]
- Repapi, E.; Sayers, I.; Wain, L.V.; Burton, P.R.; Johnson, T.; Obeidat, M.; Zhao, J.H.; Ramasamy, A.; Zhai, G.; Vitart, V.; et al. Genome-wide association study identifies five loci associated with lung function. Nat. Genet. 2010, 42, 36–44. [Google Scholar] [CrossRef]
- Wain, L.V.; Shrine, N.; Miller, S.; E Jackson, V.; Ntalla, I.; Artigas, M.S.; Billington, C.K.; Kheirallah, A.K.; Allen, R.; Cook, J.P.; et al. Novel insights into the genetics of smoking behaviour, lung function, and chronic obstructive pulmonary disease (UK BiLEVE): A genetic association study in UK Biobank. Lancet Respir. Med. 2015, 3, 769–781. [Google Scholar] [CrossRef]
- van der Plaat, D.A.; de Jong, K.; Lahousse, L.; Faiz, A.; Vonk, J.M.; van Diemen, C.C.; Nedeljkovic, I.; Amin, N.; Brusselle, G.G.; Hofman, A.; et al. Genome-wide association study on the FEV1/FVC ratio in never-smokers identifies HHIP and FAM13A. J. Allergy Clin. Immunol. 2017, 139, 533–540. [Google Scholar] [CrossRef]
- Park, B.; Koo, S.-M.; An, J.; Lee, M.; Kang, H.Y.; Qiao, D.; Cho, M.H.; Sung, J.; Silverman, E.K.; Yang, H.-J.; et al. Genome-wide assessment of gene-by-smoking interactions in COPD. Sci. Rep. 2018, 8, 9319. [Google Scholar] [CrossRef]
- Gottlieb, D.J.; Wilk, J.B.; Harmon, M.; Evans, J.C.; Joost, O.; Levy, D.; O’Connor, G.T.; Myers, R.H. Heritability of Longitudinal Change in Lung Function. The Framingham study. Am. J. Respir. Crit. Care Med. 2001, 164, 1655–1659. [Google Scholar] [CrossRef]
- John, C.; Artigas, M.S.; Hui, J.; Nielsen, S.F.; Rafaels, N.; Paré, P.D.; Hansel, N.N.; Shrine, N.; Kilty, I.; Malarstig, A.; et al. Genetic variants affecting cross-sectional lung function in adults show little or no effect on longitudinal lung function decline. Thorax 2017, 72, 400–408. [Google Scholar] [CrossRef]
- Li, D.; Kang, H.; Lee, S.; Won, S. Progressive effects of single-nucleotide polymorphisms on 16 phenotypic traits based on longitudinal data. Genes Genom. 2020, 42, 393–403. [Google Scholar] [CrossRef]
- Terzikhan, N.; Sun, F.; Verhamme, F.M.; Adams, H.H.; Loth, D.; Bracke, K.; Stricker, B.H.; Lahousse, L.; Dupuis, J.; Brusselle, G.; et al. Heritability and genome-wide association study of diffusing capacity of the lung. Eur. Respir. J. 2018, 52, 1800647. [Google Scholar] [CrossRef]
- Robinson, M.R.; English, G.; Moser, G.; Lloyd-Jones, L.R.; Triplett, M.A.; Zhu, Z.; Nolte, I.M.; van Vliet-Ostaptchouk, J.; Snieder, H.; LifeLines Cohort Study; et al. Genotype-covariate interaction effects and the heritability of adult body mass index. Nat. Genet. 2017, 49, 1174–1181. [Google Scholar] [CrossRef]
- Yang, J.; Bakshi, A.; Zhu, Z.; Hemani, G.; Vinkhuyzen, A.; Lee, S.H.; Robinson, M.; Perry, J.R.B.; Nolte, I.M.; The LifeLines Cohort Study; et al. Genetic variance estimation with imputed variants finds negligible missing heritability for human height and body mass index. Nat. Genet. 2015, 47, 1114–1120. [Google Scholar] [CrossRef]
- Cho, Y.S.; Go, M.J.; Kim, Y.J.; Heo, J.Y.; Oh, J.H.; Ban, H.-J.; Yoon, D.; Lee, M.H.; Kim, D.-J.; Park, M.; et al. A large-scale genome-wide association study of Asian populations uncovers genetic factors influencing eight quantitative traits. Nat. Genet. 2009, 41, 527–534. [Google Scholar] [CrossRef]
- Yang, J.; Lee, S.H.; Goddard, M.E.; Visscher, P.M. GCTA: A Tool for Genome-wide Complex Trait Analysis. Am. J. Hum. Genet. 2011, 88, 76–82. [Google Scholar] [CrossRef]
- Vestbo, J.; Hurd, S.S.; Agustí, A.G.; Jones, P.W.; Vogelmeier, C.; Anzueto, A.; Barnes, P.J.; Fabbri, L.M.; Martinez, F.J.; Nishimura, M.; et al. Global strategy for the diagnosis, management, and prevention of chronic obstructive pulmonary disease: GOLD executive summary. Am. J. Respir. Crit. Care Med. 2013, 187, 347–365. [Google Scholar] [CrossRef]
- Hancock, D.B.; Artigas, M.S.; Gharib, S.A.; Henry, A.; Manichaikul, A.; Ramasamy, A.; Loth, D.; Imboden, M.; Koch, B.; McArdle, W.L.; et al. Genome-Wide Joint Meta-Analysis of SNP and SNP-by-Smoking Interaction Identifies Novel Loci for Pulmonary Function. PLoS Genet. 2012, 8, e1003098. [Google Scholar] [CrossRef]
- Sakornsakolpat, P.; Prokopenko, D.; Lamontagne, M.; Reeve, N.F.; Guyatt, A.L.; Jackson, V.E.; Shrine, N.; Qiao, D.; Bartz, T.M.; Kim, D.K.; et al. Genetic landscape of chronic obstructive pulmonary disease identifies heterogeneous cell-type and phenotype associations. Nat. Genet. 2019, 51, 494–505. [Google Scholar] [CrossRef]
- Hardin, M.; Cho, M.H.; McDonald, M.-L.; Wan, E.; Lomas, D.A.; Coxson, H.O.; MacNee, W.; Vestbo, J.; Yates, J.C.; Agusti, A.; et al. A genome-wide analysis of the response to inhaled β2-agonists in chronic obstructive pulmonary disease. Pharm. J. 2016, 16, 326–335. [Google Scholar] [CrossRef]
- Lutz, S.M.; Cho, M.H.; Young, K.; Hersh, C.P.; Castaldi, P.J.; McDonald, M.-L.; A Regan, E.; Mattheisen, M.; DeMeo, D.L.; Parker, M.; et al. A genome-wide association study identifies risk loci for spirometric measures among smokers of European and African ancestry. BMC Genet. 2015, 16, 138. [Google Scholar] [CrossRef]
- Kichaev, G.; Bhatia, G.; Loh, P.-R.; Gazal, S.; Burch, K.; Freund, M.K.; Schoech, A.; Pasaniuc, B.; Price, A.L. Leveraging Polygenic Functional Enrichment to Improve GWAS Power. Am. J. Hum. Genet. 2019, 104, 65–75. [Google Scholar] [CrossRef]
- McKay, J.D.; SpiroMeta Consortium; Hung, R.J.; Han, Y.; Zong, X.; Carreras-Torres, R.; Christiani, D.C.; Caporaso, N.E.; Johansson, M.; Xiao, X.; et al. Large-scale association analysis identifies new lung cancer susceptibility loci and heterogeneity in genetic susceptibility across histological subtypes. Nat. Genet. 2017, 49, 1126–1132. [Google Scholar] [CrossRef] [PubMed]
- DeMeo, D.L.; Carey, V.J.; Chapman, H.A.; Reilly, J.J.; Ginns, L.C.; Speizer, F.E.; Weiss, S.T.; Silverman, E.K. Familial aggregation of FEF(25-75) and FEF(25-75)/FVC in families with severe, early onset COPD. Thorax 2004, 59, 396–400. [Google Scholar] [CrossRef] [PubMed][Green Version]
- Agustí, A.; Hogg, J.C. Update on the Pathogenesis of Chronic Obstructive Pulmonary Disease. N. Engl. J. Med. 2019, 381, 1248–1256. [Google Scholar] [CrossRef] [PubMed]
- Ross, J.C.; Castaldi, P.J.; Cho, M.H.; Hersh, C.P.; Rahaghi, F.N.; Sanchez-Ferrero, G.V.; Parker, M.M.; Litonjua, A.A.; Sparrow, D.; Dy, J.G.; et al. Longitudinal Modeling of Lung Function Trajectories in Smokers with and without Chronic Obstructive Pulmonary Disease. Am. J. Respir. Crit. Care Med. 2018, 198, 1033–1042. [Google Scholar] [CrossRef]
- Lange, P.; Celli, B.R.; Agustí, A.; Jensen, G.B.; Divo, M.; Faner, R.; Guerra, S.; Marott, J.L.; Martinez, F.D.; Martinez-Camblor, P.; et al. Lung-Function Trajectories Leading to Chronic Obstructive Pulmonary Disease. N. Engl. J. Med. 2015, 373, 111–122. [Google Scholar] [CrossRef]
- McGeachie, M.J.; Yates, K.P.; Zhou, X.; Guo, F.; Sternberg, A.L.; Van Natta, M.L.; Wise, R.A.; Szefler, S.J.; Sharma, S.; Kho, A.T.; et al. Patterns of Growth and Decline in Lung Function in Persistent Childhood Asthma. N. Engl. J. Med. 2016, 374, 1842–1852. [Google Scholar] [CrossRef]
- Hogg, J.C.; Chu, F.; Utokaparch, S.; Woods, R.; Elliott, W.M.; Buzatu, L.; Cherniack, R.M.; Rogers, R.M.; Sciurba, F.C.; Coxson, H.O.; et al. The Nature of Small-Airway Obstruction in Chronic Obstructive Pulmonary Disease. N. Engl. J. Med. 2004, 350, 2645–2653. [Google Scholar] [CrossRef]
- Salvi, S.S.; Barnes, P.J. Chronic obstructive pulmonary disease in non-smokers. Lancet 2009, 374, 733–743. [Google Scholar] [CrossRef]
- Olloquequi, J.; Jaime, S.; Parra, V.; Cornejo-Córdova, E.; Valdivia, G.; Agusti, A.; Silva, R.O. Correction to: Comparative analysis of COPD associated with tobacco smoking, biomass smoke exposure or both. Respir. Res. 2018, 19, 77. [Google Scholar] [CrossRef]
- Agustí, A.; Noell, G.; Brugada, J.; Faner, R. Lung function in early adulthood and health in later life: A transgenerational cohort analysis. Lancet Respir. Med. 2017, 5, 935–945. [Google Scholar] [CrossRef]
- Kim, W.J.; Lee, M.K.; Shin, C.; Cho, N.H.; Lee, S.D.; Oh, Y.-M.; Sung, J. Genome-wide association studies identify locus on 6p21 influencing lung function in the Korean population. Respirology 2014, 19, 360–368. [Google Scholar] [CrossRef]
- Jiang, S.S.; Fang, W.-T.; Hou, Y.-H.; Huang, S.-F.; Yen, B.L.; Chang, J.-L.; Li, S.-M.; Liu, H.-P.; Liu, Y.-L.; Huang, C.-T.; et al. Upregulation of SOX9 in Lung Adenocarcinoma and Its Involvement in the Regulation of Cell Growth and Tumorigenicity. Clin. Cancer Res. 2010, 16, 4363–4373. [Google Scholar] [CrossRef]
- Cho, M.H.; Boutaoui, N.; Klanderman, B.J.; Sylvia, J.S.; Ziniti, J.P.; Hersh, C.P.; DeMeo, D.L.; Hunninghake, G.M.; Litonjua, A.; Sparrow, D.; et al. Variants in FAM13A are associated with chronic obstructive pulmonary disease. Nat. Genet. 2010, 42, 200–202. [Google Scholar] [CrossRef]
- Fingerlin, T.E.; Murphy, E.; Zhang, W.; Peljto, A.L.; Brown, K.K.; Steele, M.P.; Loyd, J.E.; Cosgrove, G.P.; Lynch, D.; Groshong, S.; et al. Genome-wide association study identifies multiple susceptibility loci for pulmonary fibrosis. Nat Genet. 2013, 45, 613–620. [Google Scholar] [CrossRef]
- Kim, W.J.; Lim, M.N.; Hong, Y.; Silverman, E.K.; Lee, J.-H.; Jung, B.H.; Ra, S.W.; Choi, H.S.; Jung, Y.J.; Park, Y.B.; et al. Association of Lung Function Genes with Chronic Obstructive Pulmonary Disease. Lung 2014, 192, 473–480. [Google Scholar] [CrossRef]
- Xu, H.; Xu, G.; Wang, D.; Zheng, C.; Wan, L. Molecular cloning and tissue distribution of the phosphotyrosine interaction domain containing 1 (PID1) gene in Tianfu goat. Gene 2013, 515, 71–77. [Google Scholar] [CrossRef]
- Zhao, Y.; Zhang, C.; Chen, X.; Gao, C.; Ji, C.; Chen, F.; Zhu, C.; Zhu, J.; Wang, J.; Qian, L.; et al. Overexpression of NYGGF4 (PID1) induces mitochondrial impairment in 3T3-L1 adipocytes. Mol. Cell. Biochem. 2010, 340, 41–48. [Google Scholar] [CrossRef]
- Kirkham, P.A.; Barnes, P.J. Oxidative Stress in COPD. Chest 2013, 144, 266–273. [Google Scholar] [CrossRef]
- Artigas, M.S.; Wain, L.V.; Shrine, N.; McKeever, T.M.; Sayers, I.; Hall, I.; Tobin, M.D.; Bileve, U. Targeted Sequencing of Lung Function Loci in Chronic Obstructive Pulmonary Disease Cases and Controls. PLoS ONE 2017, 12, e0170222. [Google Scholar] [CrossRef]
- Lee, K.-S.; Kim, K.H.; Oh, Y.-M.; Han, B.; Kim, W.J. A genome wide association study for lung function in the Korean population using an exome array. Korean J. Intern. Med. 2021, 36 (Suppl. S1), S142–S150. [Google Scholar] [CrossRef]
- Siller, S.S.; Sharma, H.; Li, S.; Yang, J.; Zhang, Y.; Holtzman, M.J.; Winuthayanon, W.; Colognato, H.; Holdener, B.C.; Li, F.-Q.; et al. Conditional knockout mice for the distal appendage protein CEP164 reveal its essential roles in airway multiciliated cell differentiation. PLoS Genet. 2017, 13, e1007128. [Google Scholar] [CrossRef]
- Yaghi, A.; Dolovich, M.B. Airway Epithelial Cell Cilia and Obstructive Lung Disease. Cells 2016, 5, 40. [Google Scholar] [CrossRef]
- Tilley, A.E.; Walters, M.S.; Shaykhiev, R.; Crystal, R.G. Cilia dysfunction in lung disease. Annu. Rev. Physiol. 2015, 77, 379–406. [Google Scholar] [CrossRef]
- Kim, Y.; Han, B.G.; KoGES Group. Cohort Profile: The Korean Genome and Epidemiology Study (KoGES) Consortium. Int. J. Epidemiol. 2017, 46, 1350. [Google Scholar] [CrossRef] [PubMed]
- Graham, B.L.; Steenbruggen, I.; Miller, M.R.; Barjaktarevic, I.Z.; Cooper, B.G.; Hall, G.L.; Thompson, B.R. Standardization of Spirometry, 1994 Update. American Thoracic Society. Am. J. Respir. Crit. Care Med. 1995, 152, 1107–1136. [Google Scholar]
- Kim, S.; Kim, H.; Cho, N.; Lee, S.K.; Han, B.-G.; Sull, J.W.; Jee, S.H.; Shin, C. Identification of FAM13A gene associated with the ratio of FEV1 to FVC in Korean population by genome-wide association studies including gene—Environment interactions. J. Hum. Genet. 2015, 60, 139–145. [Google Scholar] [CrossRef] [PubMed]
- Shin, C.; Kim, J.; Kim, J.; Lee, S.; Shim, J.; In, K.; Kang, K.; Yoo, S.; Cho, N.; Kimm, K.; et al. Association of Habitual Snoring with Glucose and Insulin Metabolism in Nonobese Korean Adult Men. Am. J. Respir. Crit. Care Med. 2005, 171, 287–291. [Google Scholar] [CrossRef] [PubMed]
- Yang, J.; A Manolio, T.; Pasquale, L.R.; Boerwinkle, E.; Caporaso, N.; Cunningham, J.M.; de Andrade, M.; Feenstra, B.; Feingold, E.; Hayes, M.G.; et al. Genome partitioning of genetic variation for complex traits using common SNPs. Nat. Genet. 2011, 43, 519–525. [Google Scholar] [CrossRef]
- Song, Y.E.; Lee, S.; Park, K.; Elston, R.C.; Yang, H.-J.; Won, S. ONETOOL for the analysis of family-based big data. Bioinformatics 2018, 34, 2851–2853. [Google Scholar] [CrossRef]
- Purcell, S.; Neale, B.; Todd-Brown, K.; Thomas, L.; Ferreira, M.A.R.; Bender, D.; Maller, J.; Sklar, P.; de Bakker, P.I.W.; Daly, M.J.; et al. PLINK: A Tool Set for Whole-Genome Association and Population-Based Linkage Analyses. Am. J. Hum. Genet. 2007, 81, 559–575. [Google Scholar] [CrossRef]
- Delaneau, O.; Marchini, J.; Zagury, J.F. A linear complexity phasing method for thousands of genomes. Nat. Methods 2011, 9, 179–181. [Google Scholar] [CrossRef] [PubMed]
- Howie, B.N.; Donnelly, P.; Marchini, J. A flexible and accurate genotype imputation method for the next generation of genome-wide association studies. PLoS Genet. 2009, 5, e1000529. [Google Scholar] [CrossRef] [PubMed]
- Howie, B.; Marchini, J.; Stephens, M. Genotype imputation with thousands of genomes. G3 (Bethesda) 2011, 1, 457–470. [Google Scholar] [CrossRef] [PubMed]
- Lee, S.H.; Yang, J.; Goddard, M.E.; Visscher, P.M.; Wray, N.R. Estimation of pleiotropy between complex diseases using single-nucleotide polymorphism-derived genomic relationships and restricted maximum likelihood. Bioinformatics 2012, 28, 2540–2542. [Google Scholar] [CrossRef]
- Yang, J.; Benyamin, B.; McEvoy, B.P.; Gordon, S.; Henders, A.K.; Nyholt, D.R.; Madden, P.A.; Heath, A.C.; Martin, N.G.; Montgomery, G.W.; et al. Common SNPs explain a large proportion of the heritability for human height. Nat. Genet. 2010, 42, 565–569. [Google Scholar] [CrossRef]



| Characteristic | ALL | Never Smoker | Ever Smoker | p-Value |
|---|---|---|---|---|
| Sample Size, n | 6622 | 3009 | 2095 | - |
| Female, n (%) | 3181 (48.04%) | 2588 (86%) | 104 (5%) | <2.2 × 10−16 |
| Age, year (means ± SD) | 51.51 ± 8.52 | 51.19 ± 8.3 | 50.54 ± 7.94 | 0.005 |
| Height, cm (means ± SD) | 160.3 ± 8.57 | 155.9 ± 7.02 | 166.6 ± 6.26 | <2.2 × 10−16 |
| Trait | ||||||||
|---|---|---|---|---|---|---|---|---|
| FEV1/FVC (%) | 0.1807 | 0.1538 | 0.1047 | 0.6279 | 0.1466 | 0.0000459 | 0.117 | 0.0121 |
| post-FEV1/FVC (%) | 0.2593 | 0.1742 | 0.099 | 0.466 | 0.2156 | 0.0219 | 0.155 | 0.0165 |
| Traits | Subject-Specific Means | Annual Change Rates | ||||
|---|---|---|---|---|---|---|
| s.e. | p-Value | s.e. | p-Value | |||
| post-FEV1/FVC (%) | 0.206 | 0.191 | 1.37 × 10−1 | 0.402 | 0.199 | 2.12 × 10−2 |
Publisher’s Note: MDPI stays neutral with regard to jurisdictional claims in published maps and institutional affiliations. |
© 2022 by the authors. Licensee MDPI, Basel, Switzerland. This article is an open access article distributed under the terms and conditions of the Creative Commons Attribution (CC BY) license (https://creativecommons.org/licenses/by/4.0/).
Share and Cite
Li, D.; Kim, W.; An, J.; Kim, S.; Lee, S.; Do, A.; Kim, W.; Lee, S.; Yoon, D.; Lee, K.; et al. Heritability Analyses Uncover Shared Genetic Effects of Lung Function and Change over Time. Genes 2022, 13, 1261. https://doi.org/10.3390/genes13071261
Li D, Kim W, An J, Kim S, Lee S, Do A, Kim W, Lee S, Yoon D, Lee K, et al. Heritability Analyses Uncover Shared Genetic Effects of Lung Function and Change over Time. Genes. 2022; 13(7):1261. https://doi.org/10.3390/genes13071261
Chicago/Turabian StyleLi, Donghe, Woojin Kim, Jahoon An, Soriul Kim, Seungku Lee, Ahra Do, Wonji Kim, Sanghun Lee, Dankyu Yoon, Kwangbae Lee, and et al. 2022. "Heritability Analyses Uncover Shared Genetic Effects of Lung Function and Change over Time" Genes 13, no. 7: 1261. https://doi.org/10.3390/genes13071261
APA StyleLi, D., Kim, W., An, J., Kim, S., Lee, S., Do, A., Kim, W., Lee, S., Yoon, D., Lee, K., Ha, S., Silverman, E. K., Cho, M., Shin, C., & Won, S. (2022). Heritability Analyses Uncover Shared Genetic Effects of Lung Function and Change over Time. Genes, 13(7), 1261. https://doi.org/10.3390/genes13071261

