Abstract
Real-time quantitative PCR (RT-qPCR) is an important technique for studying gene expression analysis, but accurate and reliable results depend on the use of a stable reference gene. This study proposes to test the expression stability of candidate reference genes in the callus of Saussurea laniceps, a unique Tibetan medicinal plant. Based on the S. laniceps callus transcriptome, eleven candidate reference genes, including TUA2, TUB3, TUB8, TIF3B1, TIF3H1, ELF5A, PP2AA2, UEV1D, UBL5, UBC36, and SKIP1), were validated for RT-qPCR normalization in the callus under abiotic stress (salt, cold, and UV) and hormone treatments (abscisic acid, MeJA, and salicylic acid). The stability of the candidate genes was evaluated in all the samples of S. laniceps. Comprehensive analysis of all samples showed that the best reference genes were UBC36 and UBL5. ELF5A and TIF3B1 were ranked as the most stable genes in the sample sets under abiotic stress. For hormone stimulation, UBC36 and TIF3H1 genes had the best stability. This study provides useful guidelines and a starting point for reference gene selection for expression analysis using RT-qPCR techniques in S. laniceps.
1. Introduction
Saussurea laniceps is endemic to the Himalayas, where the alpine environment is very harsh, including dramatic daily temperature changes, limited rainfall, and high-intensity solar radiation; hence, the wild S. laniceps population is limited. Moreover, as an important Tibetan folk traditional medicinal species [,], market demand also leads to pressure on the wild populations of S. laniceps. Damage to or the collection of individual plants and habitat disturbance or loss threaten the long-term survival of S. laniceps. Accordingly, the development of protocols for the ongoing protection of this species is essential. Previously, we established efficient in vitro micropropagation methods for S. laniceps, both in the callus and plantlets [,]. Furthermore, proteomic analysis provides a unique insight into the freezing resistance mechanism of S. laniceps callus after cold acclimation []. Recently, we found that the color of the callus changes obviously after cold acclimation (4 °C), from ivory (0 d) to pink (6 d), and finally, to red. Chemical evaluation indicated that cold treatments significantly increased the accumulation of flavonoids in S. laniceps callus.
Some structural genes related to flavonoid synthesis and transport have been obtained based on the analysis of the S. laniceps transcriptome and offer a valuable opportunity to unravel the molecular mechanism underlying flavonoid accumulation in S. laniceps (unpublished data). Consequently, the above results imply that propagation of the callus under control situations, such as abiotic stress or hormone treatments, could be an effective approach for producing medicine ingredients instead of wild S. laniceps. However, the absence of genetic and genomic tools for this species limits its current utility. Therefore, it is necessary to investigate the molecular mechanism of S. laniceps in response to different environmental stimuli.
Detecting gene expression dynamics is a crucial tool for studying plant molecular mechanisms, and real-time quantitative PCR (RT-qPCR) is one approach for doing so [,]. It is very effective to introduce internal reference genes to normalize gene expression data []. It follows that the expression level of the ideal reference gene should remain constant in the investigated samples [,]. Housekeeping genes are mainly essential components of the organelle skeleton (e.g., ACT, TUB) or involved in the basic biochemical metabolic processes of the organism (e.g., GAPDH, UBQ), and they are stably and consistently expressed in the vast majority of cells and tissues [,], so housekeeping genes are often used as internal reference genes. Unfortunately, an increasing amount of experimental evidence has shown that several of these genes fluctuate depending on the experimental settings [,]. Among the many internal reference genes, the selection of a suitable reference gene based on its expression stability in the experimental system is the key to standardization.
The purpose of this work is to uncover stable and reliable candidate reference genes from S. laniceps. Eleven genes (TUA2, TUB3, TUB8, TIF3B1, TIF3H1, ELF5A, PP2AA2, UEV1D, UBL5, UBC36, and SKIP1) were selected from the S. laniceps callus transcriptome, and the expression levels of these genes were determined using RT-qPCR under abiotic stresses (salt, cold, and UV) and hormonal stimulation (abscisic acid (ABA), MeJA, and salicylic acid (SA)). Finally, the most and least stable genes were used to assess the expression pattern of three target genes (SlPAL, SlUGT84A1, and SlOPR) to check the correctness of the proposed reference genes. These results lay the basis for further research on the gene regulation mechanism in S. laniceps.
2. Materials and Methods
2.1. Plant Material
The induction and culturing of S. laniceps calluses were performed as described previously []. The calluses, grown on MS medium for 15 days and in good growth condition, were treated according to the following process. During hormone treatment, the calluses were transferred to MS agar medium supplemented with 50 uM MeJA, 24 uM SA, and 75.7 uM ABA for 0, 4, 10, 20, and 25 h, respectively. For cold treatments, the calluses were kept at 4 °C in a refrigerator for 0, 3, 6, and 9 d. For UV irradiation, the calluses were exposed to UV-B (313 nm) light for 0, 10, 24, 32, or 55 h. For salt treatment, the calluses were cultured on MS agar medium containing 100 mM NaCl for 0, 2, 3, 4, 5, or 7 d. Samples were collected after different treatments. All samples were collected in three biological replicates. Before RNA extraction, all samples were promptly frozen in liquid nitrogen and kept at −80 °C.
2.2. Total RNA Extraction and Complementary DNA Synthesis
Following the manufacturer’s instructions, total RNA was extracted from samples using the Plant RNA Extraction Kit (Takara, Japan) and treated using Transcript One-Step gDNA Removal. RNA integrity was verified on 1% agarose gel. To quantify the amount and purity of total RNA, a spectrophotometer (Thermo Fisher Scientific, Waltham, MA, USA) was used to detect absorbances at 260/280 and 260/230 nm; the following analyses were limited to RNA samples with absorbance at an A260/A280 ratio between 1.8 and 2.0 and an A260/A230 ratio >2.0; only RNAs that met the criteria were used for subsequent cDNA synthesis. cDNA Synthesis SuperMix cDNA (TransGen Biotech, Beijing, China) with oligo (dT) primers was used to reverse-transcribe total RNA (1μg) into cDNA. Then, the cDNA samples were stored at −20 °C until used as RT-qPCR templates.
2.3. Designing Primer and Testing Performance
In our previous study, RNA-seq of the S. laniceps callus acclimated at 4 °C for 0, 6, and 9 d was performed. Eleven stably expressed genes were screened from the database of RNA-seq of S. laniceps callus on the condition of FPKM > 50 and log2 fold-change less than 0.01. According to the principle of RT-qPCR primer design, through NCBI Primer-BLAST and Oligo7.0 software, RT-qPCR primers of 11 internal reference genes were designed, including TUB8 (β-tubulin 8), TUB3 (β-tubulin 3), TUA2 (α-tubulin 2), TIF3B1 (translation initiation factor 3B), TIF3H1 (translation initiation factor 3H1), ELF5A (Elongation factor 5A), PP2AA2 (protein phosphatase 2A), SKIP1 (SKP1 interacting protein 1), UBC36 (ubiquitin conjugation enzyme 36), UBL5 (ubiquitin-like protein 5), and UEV1D (ubiquitin E2 variant 1D). The length of the primers was 19–22 bp, and the length of the amplification products was between 101 and 217 bp. The primer was synthesized by the TSINGKE company (Beijing, China). The gene features and primer information are listed in Table 1.

Table 1.
Primer sequences of eleven potential reference genes; RT-qPCR effectiveness (E) in Saussurea laniceps.
cDNA was diluted in a tenfold gradient (1, 1/10, 1/100, and 1/1000) and used to make a standard curve and, thus, obtain the correlation coefficient (R2) and amplification efficiency (E) for all primer pairs, and amplification and melting curve analyses were utilized to determine the specificity of each primer pair.
All RT-qPCR procedures were done in 96-well plates with Quant-StudioTM Real-Time PCR Software (Applied Biosystems, Waltham, MA, USA) and SuperReal PreMix Plus Mix (Tiangen, China). Each 10 μL reaction included: 5.0 μL of 2 × SuperReal PreMix Plus Mix, 0.3 μL of each primer (10 μM), 1.0 μL cDNA, and 3.4 μL of RNase-free H2O. The protocol for RT-qPCR was as follows: 95 °C for 15 min, then 40 cycles of 10 s at 95 °C, 60 °C for 30 s, then 72 °C for 20 s. After 40 cycles of testing the specificity of each primer pair across a temperature range of 60–95 °C within 15 min, the melting curve was created. This established that the fluorescence was due to a single PCR product and not primer dimers or a non-specific product generated during PCR. For each sample, three technical replicates were employed.
2.4. Data Analysis and Evaluation
The CT values indicate each candidate reference gene’s expression level. The effectiveness of amplification was estimated using the formula Efficiency (%) = (10−1/slope − 1) × 100% []. Gene expression stability was calculated by five algorithms: the ΔCT method [], geNorm [], NormFinder [], BestKeeper [], and RefFinder []. The average standard deviation (SD) of all pair-wise pairings of potential reference genes was calculated using the ΔCT method to rank the genes; therefore, the most stable reference gene is the one with the lowest SD []. Genes with the lowest M-values, which geNorm calculates for each gene, have the most steady expression. geNorm provides advice that the numbers of reference genes should be applied to standardize the target genes. Vn/n+1 < 0.15 is a threshold value that shows that even adding more reference genes does not significantly contribute to normalization. V2/3 < 0.15, for example, indicates that gene expression data may be normalized with just two reference genes []. The BestKeeper program calculates gene stability by comparing the standard deviation (SD) and the coefficient of variation (CV) of Ct values; the smaller the standard deviation and coefficient of variation, the better the stability; on the contrary, the larger the standard deviation and coefficient of variation, the worse the stability. The advantage of this program, unlike GeNorm and NormFinder, is that it does not only analyze the stability of expression of internal reference genes but also compares the expression levels of target genes []. NormFinder computes each gene’s stability value (SV) that accounts for both intergroup and intragroup interactions; greater stability is indicated by a lower SV []. RefFinder is a novel analysis that combines the four computational methods mentioned above; it performs a comprehensive ranking by calculating the geometric mean of the weights of all genes; a lower geometric mean means more stable gene expression [].
2.5. Validation of Selected Candidate Reference Genes
Target gene expression levels (SlPAL, SlUGT84A1, and SlOPR) were analyzed using RT-qPCR under UV and SA treatments to verify the chosen reference genes. Primer creation and detection for these three genes were carried out using the procedures described above. The 2−ΔΔCT approach was used to calculate relative expression levels.
2.6. Statistical Analysis
Experimental data were presented as means ± standard deviation (SD) of three independent replicates. Based on IBM SPSS Statistics 21 software, the Duncan method of single-factor ANOVA was used to compare the significant level of difference (p < 0.05). GraphPad Prism 9 software was used for data visualization.
3. Results
3.1. Evaluation of Primer Specificity and Effectiveness
From the transcriptome of S. laniceps, eleven putative reference genes (TUA2, TUB3, TUB8, TIF3B1, TIF3H1, ELF5A, PP2AA2, UEV1D, UBL5, UBC36, and SKIP1) were identified. The designed primer sequences and RT-qPCR effectiveness (E) are shown in Table 1. By electrophoresis on 1% (m/v) agarose gel, the PCR results amplifying S. laniceps cDNA showed a single band of the predicted size for each primer pair (Figure S1), and the melting curves indicated single peaks for each gene, which proves the uniqueness of the primers (Figure S2). The RT-qPCR effectiveness (E) was between 90.4% (ELF5A) and 109% (TUB3). Correlation coefficients (R2) ranged between 0.991 and 0.999 (Table 1), indicating that each primer pair had a high level of specificity and efficiency.
3.2. Expression Distribution of Candidate Reference Genes
The expression status of the eleven candidate reference genes (TUB8, TUB3, TUA2, TIF3B1, TIF3H1, ELF5A, PP2AA2, SKIP1, UBC36, UBL5, and UEV1D) was evaluated in 31 samples under abiotic stresses and hormonal treatments using CT values. Boxplots were utilized to show the raw CT values (Figure 1), and Table S2 shows the detailed values. The boxplot of CT values across all samples shows a large range, from 17.53 (UBL5) to 38.39 (UEV1D). As gene expression and CT value are inversely associated, among the eleven genes, UBL5 had the lowest mean CT value (18.71), which means its expression levels were the highest, while UEV1D was expressed in the lowest abundance gene with the highest mean CT value (34.41). These findings revealed that candidate reference genes did not steady express under all conditions, highlighting the importance of identifying acceptable reference genes in S. laniceps under particular experimental circumstances.

Figure 1.
Candidate reference gene expression levels across all samples. The boxes depict the interquartile range. Hyphens above and under the boxes denote the maximum and minimum values, respectively. The median is represented by the line that runs across the box. The mean values are shown by the plus sign in the box. Three technical and biological replicates were carried out in RT-qPCR.
3.3. Candidate Reference Gene Expression Stability
At first, each reference gene was examined independently in six experimental groups in our investigation. For a more in-depth analysis, the sets were separated into three groups, i.e., (1) Abiotic stress (salt, UV, and cold), (2) Hormone stimuli (ABA, MeJA, and SA), and (3) All (all experimental sets). Then, five analytical methods (ΔCT method, geNorm, NormFinder, BestKeeper, and RefFinder) were used to evaluate the expression stability of the selected internal reference genes.
For RT-qPCR normalization, geNorm supplies a suitable number of reference genes, in which the standard value of Vn/n+1 is 0.15. V2/3 values for the ABA, MeJA, SA, UV, and cold groups were less than 0.15 (Figure 2), demonstrating that two reference genes were sufficient to normalize the expression of the target gene. During salt treatment, hormone stimulation, and all experiments, four reference genes were proposed for normalization based on V4/5 values less than 0.15, as determined by geNorm analysis. Meanwhile, in abiotic stress conditions, reliable normalization of gene expression requires five reference genes.

Figure 2.
The suitable number of reference genes for normalization in Saussurea laniceps. The upper histogram has a corresponding relationship with the data in the lower table; each color bar represents a Vn/n+1 value.
As shown in Figure 3, under ABA and UV treatment, TUA2 was shown to be the most unstable candidate reference gene when evaluated using the four approaches (ΔCT, Normfinder, geNorm, and BestKeeper), while UBC36 was considered to be the most stable gene. Under salt, SA, and MeJA treatments, TIF3H1 had the highest expression stability, while UEV1D was the least stable. TIF3B1 was the most optimal internal reference gene in a cold environment, while TUB8 was the lowest-performing gene.

Figure 3.
Gene expression stability stacking diagram ranked by five types of analysis methodology under individual experimental conditions. The top three figures are the expression stability ranking of each candidate internal reference gene under hormone treatment, and the bottom is abiotic stress.
The ranking order varies in different abiotic stress (Table S1). ELF5A and TIF3B1 had the lowest M-values (0.333) in the abiotic stress category, followed by UBL5 (0.532), implying that these were the three best-performing genes in terms of stability in the geNorm analysis. In the NormFinder and ΔCT analyses, they were likewise the two top-ranking genes. However, UBC36 was the best choice for normalization in the BestKeeper analysis. According to RefFinder’s thorough analyses, the reference gene ELF5A was found to be the most stable. TIF3H1 was likewise the top-ranked gene for the salt treatment, followed by ELF5A, TIF3B1, and UBL5, all of which were associated with abiotic stress. Under the cold treatment, TIF3B1 and TUB3 were designated as the two most stable reference genes; however, UBL5 and ELF5A did not make the list of the three most stable genes. When it came to the UV treatment, UBC36 had the best stability, followed by UBL5 and PP2AA2 (Figure 3).
For hormone stimuli, UBC36 and TIF3H1 were the best reference genes, followed by TUB8 and PP2AA2, in the geNorm analysis. Surprisingly, similar results were obtained in the remaining three test methods, including ΔCT, NormFinder, and BestKeeper. Therefore, in the RefFinder analysis, UBC36 and TIF3H1 were the two ideal reference genes when all hormonal stimuli were taken into account (Table S1). TIF3H1 and PP2AA2 had the highest consistency when it came to the SA treatment; under the MeJA treatment, TIF3H1 and UBL5 were determined to be the most trustworthy reference genes. UBC36 and SKIP1 were the most stable reference genes under ABA stimuli, whereas PP2AA2 and TUA2 were the most unstable, which differed from other hormone treatments (Figure 3).
In geNorm, BestKeeper, and NormFinder tests, UBC36 and UBL5 ranked first and second, respectively, when all of the samples were evaluated. In the ΔCT analysis, however, UBC36 remained the best internal reference gene, but UBL5 was replaced by PP2AA2. By using RefFinder, the eleven reference genes were graded from best to lowest stability as: UBC36 > UBL5 > PP2AA2 > TIF3B1 > TIF3H1 > ELF5A > TUA2 > SKIP1 > TUB8 > TUB3 > UEV1D. Finally, among all S. laniceps samples, UBC36 and UBL5 were the two most ideal internal reference genes (Table S1).
3.4. Validation of Candidate Reference Genes
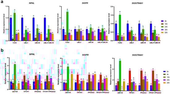
To guarantee the correctness and reliability of our findings, the relative expression tendency of SlPAL, SlUGT84A1, and SlOPR was evaluated under hormone stimulus (SA) and abiotic stress (UV). The top two ranked internal reference genes under the SA and UV treatments, respectively (UBC36 and UBL5 for SA; TIF3H1 and PP2AA2 for UV), were chosen, as well as one unstable gene (UEV1D for SA and TUA2 for UV). As shown in Figure 4, when TIF3H1 and PP2AA2 were employed for normalization, the expression levels of SlPAL, SlUGT84A1, and SlOPR exhibited similar changing patterns. Contrary to that, when UEV1D was utilized as a normalizer under the SA treatment, the expression trends of SlPAL, SlUGT84A1, and SlOPR were altered, and the expression profile of target genes at the 10 and 20 h stages were abnormally calculated. Simultaneously, under the UV treatment, when using stable reference genes for normalization, the expression tendency of SlPAL, SlUGT84A1, and SlOPR were essentially the same, while when TUA2 was used, the relative expression levels at 20 h were overestimated.

Figure 4.
Relative expression patterns of target genes. (a) UV treatment, (b) SA treatment. The most stable reference genes (UBL5 and UBC36 for UV; TIF3H1 and PP2AA2 for SA), and unstable genes (TUA2 for UV and UEV1D for SA) were selected for normalizing RT-qPCR data. Data are provided as mean ± SD; all RT-qPCR procedures were performed in triplicate for technical and biological replicates. Note: Different lowercase letters indicate significant differences at 0.05 levels.
4. Discussion
As a powerful analytical technique, RT-qPCR has emerged as the standard method for gene expression studies []. However, reliable and accurate gene transcript quantification depends on the use of stable reference genes []. Under ideal conditions, the expression levels of the internal reference genes are considered to be more stable across tissues or various environments in the organism []. However, an increasing number of studies demonstrate that reference genes vary significantly because they are involved in a variety of cellular functions in addition to sustaining fundamental cellular processes [].
In the present work, eleven alternative internal reference genes were selected from the transcriptome of S. laniceps, and their expression stability under different stress environments was validated. Because the four computational approaches used to rate the stability of the candidate genes are based on diverse ideas and approaches, the findings produced were not entirely consistent. During our investigation, we discovered that the rankings produced by ΔCT, geNorm, and NormFinder were comparable but distinct from those produced by BestKeeper [], which were consistent with Mallona’s and Wang’s findings [,]. For example, under salt treatment, the results of rankings calculated by ΔCT, geNorm, and NormFinder were almost identical, with only slight differences, which were different from the results estimated by BestKeeper. As a consequence, by merging the findings of the four computational approaches, RefFinder was utilized to provide a thorough ranking list for the candidate reference genes [,].
Our results showed some differences in the stability of the endogenous genes under different treatments, and none of the reference genes were stable under all treatment conditions, so it is required to test the stability of the internal reference genes before performing RT-qPCR. TIF3H1 and UBC36 expression stability were optimal under multiple treatment conditions, especially under hormone treatments. For example, under the MeJA and SA treatments, the stability of TIF3H1 was ranked first. Meanwhile, the stability ranking of TIF3H1 was in the top four except under cold treatment. Nevertheless, TIF3B1 showed great variability under a variety of treatment conditions. In a reference screen, Zhao et al. concluded that TIF1α is stable at multiple growth stages in a variety of tissues of Anemone flaccida Fr. Schmidt [], and Saha et al. confirmed that TIF is stable in Pisum sativum under cold stress []. The reason for such different results may be due to the different expressions of different TIF genes in different species. UBC was demonstrated to have low stability in rice cultivated under various environmental circumstances, while it was the best in Platycladus orientalis throughout all phases of growth and in all stressful situations []. Our result showed that although UBC36 did not perform well under cold stress and salt stress, its expression was relatively stable in overall performance.
In the present study, some genes that are not much used as internal reference genes showed better stability under certain conditions. Løvdal et al. found that tomato PP2AA2 had better stability under the cold treatment []. However, in our study, PP2AA2 showed lower stability under the ABA treatment but good stability under the SA treatment. In Stipa grandis, SKIP5 had the lowest M-value under cold treatment, and the most unstable gene was SKIP11 under multiple treatments []. Yang et al. revealed that in some experimental settings, SKIP5-1 and SKIP5-2 showed good stability in Caragana korshinskii [], while we found that SKIP1 showed good stability under ABA and low-temperature treatments but not under the other four treatments. UBL5 is an atypical ubiquitin-like protein, and its stability is moderate under various treatment conditions []. Similarly, our experimental results showed that UBL5 had relatively good stability under some conditions, such as the MeJA treatment and UV stress.
On the other hand, some genes that are considered to be traditional internal reference genes did not perform as stably as expected in the current study. Actin is a highly conserved multifunctional protein that exists in almost all eukaryotic cells, so it is commonly used as a reference gene to normalize target genes [,]. However, in our previous pre-experiments, we found that the expression of the actin gene was low under some conditions, and it did not show a trend of stable expression, which is similar to the study in Haloxylon ammodendron []. Hence, actin was not included in this study. TUA2, TUB3, and TUB8, belonging to the tubulin family, have been extensively used as internal reference genes in RT-qPCR analysis because they are highly stable in many plants, including Hedysarum coronarium []. However, our study showed that TUA2 and TUB8 were not as stable as expected. For example, under ABA and UV treatments, TUA2 was the most unstable expression gene, and TUB8 showed the most unstable expression trend under the low-temperature treatment. Similarly, the stability of TUA6 in cold shock treatment was poor in Panicum virgatum [], and TUA and TUB had significant expression variation under different temperature conditions and ABA treatment in Caragana korshinskii []. In the present study, ELF5A showed different stability values under different stimulation conditions; for example, its expression stability was better under the salt treatment and the SA treatment and was poorer under ABA and MeJA treatments. Similarly, Li et al. [] found that the expression stability of ELF1-α was poor in Glehnia littoralis under ABA and MeJA treatments, whereas, in virus-infected Arabidopsis thaliana, ELF1-α had good stability []. Finally, our study showed that UEV1D, which belongs to the ubiquitin family and is mainly involved in the process of DNA damage repair [], showed the trend of unstable expression under most stimulation conditions.
In conclusion, to the best of our knowledge, this is the first study aimed at validating a set of candidate reference genes for gene expression normalization using RT-qPCR in S. laniceps. In the present research, 11 candidate reference genes were identified in the transcriptome database of S. laniceps, and their expression stability was evaluated across a set of all samples using the computer programs ΔCT, geNorm, NormFinder, and BestKeeper. The internal reference gene’s stability varied depending on the treatment. ELF5A and TIF3B1 showed good stability under abiotic stress, and their reliability and effectiveness have been verified by SlPAL, SlUGT84A1, and SlOPR. Moreover, for hormone stimulation, UBC36 and TIF3H1 genes had the best stability. UBC36 and UBL5 were the most ideal reference genes when all samples were taken into account. These results may constitute a starting point for selecting reference genes in the future for more accurate normalization in different tissues and under other experimental conditions in S. laniceps.
Supplementary Materials
The following supporting information can be downloaded at: https://www.mdpi.com/article/10.3390/genes13050904/s1, Figure S1: Electrophoresis detection of RT-qPCR amplification products of 11 internal reference genes of Saussurea Laniceps: (1) SKIP1; (2) UBL5; (3) TUB3; (4) PP2AA2; (5) ELF5A; (6) TIF3H1; (7) UEV1D; (8) UBC36; (9) TUA2; (10) TUB8; (11) TIF3B1; Figure S2: Melting curves for eleven reference genes in Saussurea Laniceps; Table S1: Gene expression stability under multiple conditions ranked by ΔCT, BestKeeper, NormFinder, geNorm, and RefFinder; Table S2: Raw Ct values of 11 candidate reference genes under different treatments with 3 replicates.
Author Contributions
H.L., data curation; H.L., Y.L. and X.W. (Xiaowei Wang), methodology, writing—original draft; Y.L., formal analysis; X.W. (Xiaojing Wang), validation; R.L., investigation; C.L. and X.L., supervision; Y.C., resources; X.L. and Y.C., funding acquisition, writing—review and editing. All authors have read and agreed to the published version of the manuscript.
Funding
This work was financially supported by The Special Support Plan for the Talent of the Fifth WANREN Plan in China (Nos. 2020-366), the National Natural Science Foundation of China (Grant Nos. U20A20401, 31270737), Tibet Autonomous Region Major Special Science and Technology (Grant No. XZ201901-GA-04), and the grant for Outstanding Team of Graduate Student Tutors from Beijing Forestry University.
Institutional Review Board Statement
Not applicable.
Informed Consent Statement
Not applicable.
Data Availability Statement
Not applicable.
Acknowledgments
We thank Huan Yang from the College of Life Sciences, Peking University, for providing technical support.
Conflicts of Interest
The authors have no conflict of interest to declare.
References
- Chik, W.I.; Zhu, L.; Fan, L.L.; Yi, T.; Zhu, G.Y.; Gou, X.J.; Tang, Y.N.; Xu, J.; Yeung, W.P.; Zhao, Z.Z.; et al. Saussurea involucrata: A review of the botany, phytochemistry and ethnopharmacology of a rare traditional herbal medicine. J. Ethnopharmacol. 2015, 172, 44–60. [Google Scholar] [CrossRef] [PubMed]
- Byambaragchaa, M.; de la Cruz, J.; Yang, S.H.; Hwang, S.G. Anti-metastatic potential of ethanol extract of Saussurea involucrata against hepatic cancer in vitro. Asian Pac. J. Cancer Prev. 2013, 14, 5397–5402. [Google Scholar] [CrossRef] [PubMed][Green Version]
- Huang, Y.; Jin, D.; Lu, C.; Lan, X.; Qiao, P.; Li, H.; Chen, Y. Proteomic responses associated with freezing tolerance in the callus of the Tibetan alpine plant Saussurea laniceps during cold acclimation. Plant Cell Tissue Organ Cult. 2016, 124, 81–95. [Google Scholar] [CrossRef]
- Yu, M.; Chen, Y.; Lan, X.; Jin, D.; Zhang, J.; Lu, C. Effects of cold acclimation on proteome expression patterns related to freezing tolerance in a Tibetan alpine plant Saussurea laniceps. Plant Omics 2014, 7, 221–228. [Google Scholar]
- Heid, C.A.; Stevens, J.; Livak, K.J.; Williams, P.M. Real time quantitative PCR. Genome Res. 1996, 6, 986–994. [Google Scholar] [CrossRef]
- Tong, J.; Hu, M.; Han, B.; Ji, Y.; Wang, B.; Liang, H.; Liu, M.; Wu, Z.; Liu, N. Determination of reliable reference genes for gene expression studies in Chinese chive (Allium tuberosum) based on the transcriptome profiling. Sci. Rep. 2021, 11, 16558. [Google Scholar] [CrossRef]
- Derveaux, S.; Vandesompele, J.; Hellemans, J. How to do successful gene expression analysis using real-time PCR. Methods 2010, 50, 227–230. [Google Scholar] [CrossRef]
- Wood, S.H.; Clements, D.N.; McEwan, N.A.; Nuttall, T.; Carter, S.D. Reference genes for canine skin when using quantitative real-time PCR. Vet. Immunol. Immunopathol. 2008, 126, 392–395. [Google Scholar] [CrossRef]
- Gutierrez, L.; Mauriat, M.; Guenin, S.; Pelloux, J.; Lefebvre, J.F.; Louvet, R.; Rusterucci, C.; Moritz, T.; Guerineau, F.; Bellini, C.; et al. The lack of a systematic validation of reference genes: A serious pitfall undervalued in reverse transcription-polymerase chain reaction (RT-PCR) analysis in plants. Plant Biotechnol. J. 2008, 6, 609–618. [Google Scholar] [CrossRef]
- Kozera, B.; Rapacz, M. Reference genes in real-time PCR. J. Appl. Genet. 2013, 54, 391–406. [Google Scholar] [CrossRef]
- Artico, S.; Nardeli, S.M.; Brilhante, O.; Grossi-de-Sa, M.F.; Alves-Ferreira, M. Identification and evaluation of new reference genes in Gossypium hirsutumfor accurate normalization of real-time quantitative RT-PCR data. BMC Plant Biol. 2010, 10, 49. [Google Scholar] [CrossRef] [PubMed]
- Nguyen, D.Q.; Eamens, A.L.; Grof, C.P.L. Reference gene identification for reliable normalisation of quantitative RT-PCR data in Setaria viridis. Plant Methods 2018, 14, 24. [Google Scholar] [CrossRef] [PubMed]
- Martins, P.K.; Mafra, V.; de Souza, W.R.; Ribeiro, A.P.; Vinecky, F.; Basso, M.F.; da Cunha, B.A.; Kobayashi, A.K.; Molinari, H.B. Selection of reliable reference genes for RT-qPCR analysis during developmental stages and abiotic stress in Setaria viridis. Sci. Rep. 2016, 6, 28348. [Google Scholar] [CrossRef] [PubMed]
- Ruijter, J.M.; Ramakers, C.; Hoogaars, W.M.; Karlen, Y.; Bakker, O.; van den Hoff, M.J.; Moorman, A.F. Amplification efficiency: Linking baseline and bias in the analysis of quantitative PCR data. Nucleic Acids Res. 2009, 37, e45. [Google Scholar] [CrossRef]
- Silver, N.; Best, S.; Jiang, J.; Thein, S.L. Selection of housekeeping genes for gene expression studies in human reticulocytes using real-time PCR. BMC Mol. Biol. 2006, 7, 33. [Google Scholar] [CrossRef]
- Vandesompele, J.; De Preter, K.; Pattyn, F.; Poppe, B.; Van Roy, N.; De Paepe, A.; Speleman, F. Accurate normalization of real-time quantitative RT-PCR data by geometric averaging of multiple internal control genes. Genome Biol. 2002, 3, research0034.1. [Google Scholar] [CrossRef]
- Andersen, C.L.; Jensen, J.L.; Ørntoft, T.F. Normalization of real-time quantitative reverse transcription-PCR data: A model-based variance estimation approach to identify genes suited for normalization, applied to bladder and colon cancer data sets. Cancer Res. 2004, 64, 5245–5250. [Google Scholar] [CrossRef]
- Pfaffl, M.W.; Tichopad, A.; Prgomet, C.; Neuvians, T.P. Determination of stable housekeeping genes, differentially regulated target genes and sample integrity: BestKeeper–Excel-based tool using pair-wise correlations. Biotechnol. Lett. 2004, 26, 509–515. [Google Scholar] [CrossRef]
- Xie, F.; Xiao, P.; Chen, D.; Xu, L.; Zhang, B. miRDeepFinder: A miRNA analysis tool for deep sequencing of plant small RNAs. Plant Mol. Biol. 2012, 80, 75–84. [Google Scholar] [CrossRef]
- Bustin, S.A. Absolute quantification of mRNA using real-time reverse transcription polymerase chain reaction assays. J. Mol. Endocrinol. 2000, 25, 169–193. [Google Scholar] [CrossRef]
- Bustin, S. Invited review Quantification of mRNA using real-time reverse transcription PCR (RT-PCR): Trends and problems. J. Mol. Endocrinol. 2002, 29, 23–39. [Google Scholar] [CrossRef] [PubMed]
- Gimeno, J.; Eattock, N.; Van Deynze, A.; Blumwald, E. Selection and validation of reference genes for gene expression analysis in switchgrass (Panicum virgatum) using quantitative real-time RT-PCR. PLoS ONE 2014, 9, e91474. [Google Scholar] [CrossRef] [PubMed]
- Niu, J.; Zhu, B.; Cai, J.; Li, P.; Wang, L.; Dai, H.; Qiu, L.; Yu, H.; Ha, D.; Zhao, H.; et al. Selection of reference genes for gene expression studies in Siberian Apricot (Prunus sibirica L.) Germplasm using quantitative real-time PCR. PLoS ONE 2014, 9, e103900. [Google Scholar] [CrossRef]
- Wang, M.; Lu, S. Validation of suitable reference genes for quantitative gene expression analysis in Panax ginseng. Front. Plant Sci. 2016, 6, 1259. [Google Scholar] [CrossRef] [PubMed]
- Mallona, I.; Lischewski, S.; Weiss, J.; Hause, B.; Egea-Cortines, M. Validation of reference genes for quantitative real-time PCR during leaf and flower development in Petunia hybrida. BMC Plant Biol. 2010, 10, 4. [Google Scholar] [CrossRef]
- Wang, Q.; Ishikawa, T.; Michiue, T.; Zhu, B.L.; Guan, D.W.; Maeda, H. Stability of endogenous reference genes in postmortem human brains for normalization of quantitative real-time PCR data: Comprehensive evaluation using geNorm, NormFinder, and BestKeeper. Int. J. Leg. Med. 2012, 126, 943–952. [Google Scholar] [CrossRef]
- Molomjamts, M.; Ingolfsland, E. Identification of reference genes for the normalization of retinal gene expression in oxygen induced retinopathy, anemia and erythropoietin administration. Investig. Ophthalmol. Vis. Sci. 2021, 62, 2930. [Google Scholar]
- Zhao, Z.; Zhou, H.; Nie, Z.; Wang, X.; Luo, B.; Yi, Z.; Li, X.; Hu, X.; Yang, T. Appropriate reference genes for RT-qPCR normalization in various organs of Anemone flaccida Fr. Schmidt at different growing stages. Genes 2021, 12, 459. [Google Scholar] [CrossRef]
- Saha, G.C.; Vandemark, G.J. Evaluation of Expression Stability of Candidate References Genes among Green and Yellow Pea Cultivars (Pisum sativum L.) Subjected to Abiotic and Biotic Stress. Am. J. Plant Sci. 2012, 3, 235–242. [Google Scholar] [CrossRef][Green Version]
- Chang, E.; Shi, S.; Liu, J.; Cheng, T.; Xue, L.; Yang, X.; Yang, W.; Lan, Q.; Jiang, Z. Selection of reference genes for quantitative gene expression studies in Platycladus orientalis (Cupressaceae) Using real-time PCR. PLoS ONE 2012, 7, e33278. [Google Scholar] [CrossRef]
- Lovdal, T.; Lillo, C. Reference gene selection for quantitative real-time PCR normalization in tomato subjected to nitrogen, cold, and light stress. Anal. Biochem. 2009, 387, 238–242. [Google Scholar] [CrossRef] [PubMed]
- Wan, D.; Wan, Y.; Yang, Q.; Zou, B.; Ren, W.; Ding, Y.; Wang, Z.; Wang, R.; Wang, K.; Hou, X. Selection of reference genes for qRT-PCR analysis of gene expression in stipa grandis during environmental stresses. PLoS ONE 2017, 12, e0169465. [Google Scholar] [CrossRef] [PubMed]
- Yang, Q.; Yin, J.; Li, G.; Qi, L.; Yang, F.; Wang, R.; Li, G. Reference gene selection for qRT-PCR in Caragana korshinskii Kom. under different stress conditions. Mol. Biol. Rep. 2014, 41, 2325–2334. [Google Scholar] [CrossRef] [PubMed]
- Oka, Y.; Bekker-Jensen, S.; Mailand, N. Ubiquitin-like protein UBL5 promotes the functional integrity of the Fanconi anemia pathway. EMBO J. 2015, 34, 1385–1398. [Google Scholar] [CrossRef] [PubMed]
- Lee, J.M.; Roche, J.R.; Donaghy, D.J.; Thrush, A.; Sathish, P. Validation of reference genes for quantitative RT-PCR studies of gene expression in perennial ryegrass (Lolium perenne L.). BMC Mol. Biol. 2010, 11, 8. [Google Scholar] [CrossRef]
- Zhang, Z.; Li, C.; Zhang, J.; Chen, F.; Gong, Y.; Li, Y.; Su, Y.; Wei, Y.; Zhao, Y. Selection of the reference gene for expression normalization in Papaver somniferum L. under abiotic stress and hormone treatment. Genes 2020, 11, 124. [Google Scholar] [CrossRef]
- Wang, B.; Du, H.; Yao, Z.; Ren, C.; Ma, L.; Wang, J.; Zhang, H.; Ma, H. Validation of reference genes for accurate normalization of gene expression with quantitative real-time PCR in Haloxylon ammodendron under different abiotic stresses. Physiol. Mol. Biol. Plants 2018, 24, 455–463. [Google Scholar] [CrossRef]
- Cordoba, E.M.; Die, J.V.; Gonzalez-Verdejo, C.I.; Nadal, S.; Roman, B. Selection of reference genes in Hedysarum coronarium under various stresses and stages of development. Anal. Biochem. 2011, 409, 236–243. [Google Scholar] [CrossRef]
- Li, L.; Li, N.; Fang, H.; Qi, X.; Zhou, Y. Selection and validation of reference genes for normalisation of gene expression in Glehnia littoralis. Sci. Rep. 2020, 10, 7374. [Google Scholar] [CrossRef]
- Lilly, S.; Drummond, R.; Pearson, M.; MacDiarmid, R. Identification and validation of reference genes for normalization of transcripts from virus-infected Arabidopsis thaliana. Mol. Plant-Microbe Interact. 2011, 24, 294–304. [Google Scholar] [CrossRef]
- Wen, R.; Torres-Acosta, J.A.; Pastushok, L.; Lai, X.; Pelzer, L.; Wang, H.; Xiao, W. Arabidopsis UEV1D promotes Lysine-63-linked polyubiquitination and is involved in DNA damage response. Plant Cell 2008, 20, 213–227. [Google Scholar] [CrossRef] [PubMed]
Publisher’s Note: MDPI stays neutral with regard to jurisdictional claims in published maps and institutional affiliations. |
© 2022 by the authors. Licensee MDPI, Basel, Switzerland. This article is an open access article distributed under the terms and conditions of the Creative Commons Attribution (CC BY) license (https://creativecommons.org/licenses/by/4.0/).