Conserved MicroRNAs in Human Nasopharynx Tissue Samples from Swabs Are Differentially Expressed in Response to SARS-CoV-2
Abstract
:1. Introduction
2. Materials and Methods
2.1. RNA Samples, RNA Extraction, and Real-Time RT-PCR Detection of SARS-CoV-2
2.2. Small RNA Library Preparation and High-Throughput Sequencing
2.3. Bioinformatics and Data Evaluation
2.4. Validation of miRNA Expression Profiles by Real-Time RT-PCR
3. Results
3.1. The Abundance of miRNAs Detected in Nasopharynx Tissues
3.2. Conserved miRNAs Identified in Nasopharynx Tissues
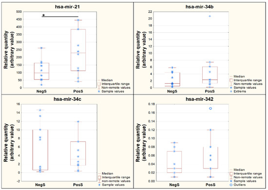
3.3. miRNA Expression Measured by Real-Time RT-PCR
4. Discussion
Supplementary Materials
Author Contributions
Funding
Institutional Review Board Statement
Informed Consent Statement
Data Availability Statement
Conflicts of Interest
References
- Lee, N.; Hui, D.; Wu, A.; Chan, P.; Cameron, P.; Joynt, G.M.; Ahuja, A.; Yung, M.Y.; Leung, C.B.; To, K.F.; et al. A major outbreak of severe acute respiratory syndrome in Hong Kong. N. Engl. J. Med. 2003, 348, 1986–1994. [Google Scholar] [CrossRef] [PubMed]
- Andersen, K.G.; Rambaut, A.; Lipkin, W.I.; Holmes, E.C.; Garry, R.F. The proximal origin of SARS-CoV-2. Nat. Med. 2020, 26, 450–452. [Google Scholar] [CrossRef] [PubMed] [Green Version]
- Lim, Y.X.; Ng, Y.L.; Tam, J.P.; Liu, D.X. Human Coronaviruses: A Review of Virus-Host Interactions. Diseases 2016, 4, 26. [Google Scholar] [CrossRef] [PubMed]
- Mousavizadeh, L.; Ghasemi, S. Review Article Genotype and phenotype of COVID-19: Their roles in pathogenesis. J. Microbiol. Immunol. Infect. 2020, 54, 159–163. [Google Scholar] [CrossRef]
- Khailany, R.A.; Safdar, M.; Ozaslan, M. Genomic characterization of a novel SARS-CoV-2. Gene Rep. 2020, 19, 100682. [Google Scholar] [CrossRef]
- Narayanan, K.; Ramirez, S.I.; Lokugamage, K.G.; Makino, S. Coronavirus nonstructural protein 1: Common and distinct functions in the regulation of host and viral gene expression. Virus Res. 2015, 202, 89–100. [Google Scholar] [CrossRef]
- O’Brien, J.; Hayder, H.; Zayed, Y.; Peng, C. Overview of MicroRNA Biogenesis, Mechanisms of Actions, and Circulation. Front. Endocrinol. 2018, 9, 402. [Google Scholar] [CrossRef] [Green Version]
- Trobaugh, D.W.; Klimstra, W.B. MicroRNA Regulation of RNA Virus Replication and Pathogenesis. Trends Mol. Med. 2017, 23, 80–93. [Google Scholar] [CrossRef]
- Abu-Izneid, T.; AlHajri, N.; Ibrahim, A.M.; Javed, M.N.; Salem, K.M.; Pottoo, F.H.; Kamal, M.A. Micro-RNAs in the regulation of immune response against SARS-CoV-2 and other viral infections. J. Adv. Res. 2021, 30, 133–145. [Google Scholar] [CrossRef]
- Chauhan, N.; Jaggi, M.; Chauhan, S.C.; Yallapu, M.M. COVID-19: Fighting the invisible enemy with microRNAs. Expert Rev. Anti-Infect. Ther. 2021, 19, 137–145. [Google Scholar] [CrossRef]
- Hum, C.; Loiselle, J.; Ahmed, N.; Shaw, T.A.; Toudic, C.; Pezacki, J.P. MicroRNA Mimics or Inhibitors as Antiviral Therapeutic Approaches Against COVID-19. Drugs 2021, 81, 517–531. [Google Scholar] [CrossRef] [PubMed]
- Su, W.; Aloi, M.S.; Garden, G.A. MicroRNAs mediating CNS inflammation: Small regulators with powerful potential. Brain Behav. Immun. 2016, 52, 1–8. [Google Scholar] [CrossRef] [PubMed] [Green Version]
- Morris, K.V.; Mattick, J.S. The rise of regulatory RNA. Nat. Rev. Genet. 2014, 15, 423–437. [Google Scholar] [CrossRef] [PubMed] [Green Version]
- Bunis, D.G.; Bronevetsky, Y.; Krow-Lucal, E.; Bhakta, N.R.; Kim, C.C.; Nerella, S.; Jones, N.; Mendoza, V.F.; Bryson, Y.J.; Gern, J.E.; et al. Single-Cell Mapping of Progressive Fetal-to-Adult Transition in Human Naive T Cells. Cell Rep. 2021, 34, 108573. [Google Scholar] [CrossRef] [PubMed]
- Spira, A.; Yurgelun, M.B.; Alexandrov, L.; Rao, A.; Bejar, R.; Polyak, K.; Giannakis, M.; Shilatifard, A.; Finn, O.J.; Dhodapkar, M.; et al. Precancer Atlas to Drive Precision Prevention Trials. Cancer Res. 2017, 77, 1510–1541. [Google Scholar] [CrossRef] [PubMed] [Green Version]
- Alles, J.; Fehlmann, T.; Fischer, U.; Backes, C.; Galata, V.; Minet, M.; Hart, M.; Abu-Halima, M.; Grasser, F.A.; Lenhof, H.P.; et al. An estimate of the total number of true human miRNAs. Nucleic Acids Res. 2019, 47, 3353–3364. [Google Scholar] [CrossRef] [Green Version]
- He, H.; Li, R.Q.; Chen, Y.; Pan, P.; Tong, W.J.; Dong, X.Y.; Chen, Y.M.; Yu, D.J. Integrated DNA and RNA extraction using magnetic beads from viral pathogens causing acute respiratory infections. Sci. Rep. 2017, 7, 45199. [Google Scholar] [CrossRef] [PubMed] [Green Version]
- Corman, V.M.; Landt, O.; Kaiser, M.; Molenkamp, R.; Meijer, A.; Chu, D.K.; Bleicker, T.; Brunink, S.; Schneider, J.; Schmidt, M.L.; et al. Detection of 2019 novel coronavirus (2019-nCoV) by real-time RT-PCR. Eurosurveillance 2020, 25, 2000045. [Google Scholar] [CrossRef] [Green Version]
- Livak, K.J.; Schmittgen, T.D. Analysis of relative gene expression data using real-time quantitative PCR and the 2−∆∆CT Method. Methods 2001, 25, 402–408. [Google Scholar] [CrossRef]
- Andrews, S. FastQC: A Quality Control Tool for High Throughput SEQUENCE Data. 2010. Available online: https://www.bioinformatics.babraham.ac.uk/projects/fastqc (accessed on 2 February 2021).
- Hammer, Ø.; Harper, D.A.; Ryan, P.D. PAST: Paleontological statistics software package for education and data analysis. Palaeontol. Electron. 2001, 4, 9. [Google Scholar]
- Pfaffl, M.W. A new mathematical model for relative quantification in real-time RT-PCR. Nucleic Acids Res. 2001, 29, e45. [Google Scholar] [CrossRef] [PubMed]
- Arisan, E.D.; Dart, A.; Grant, G.H.; Arisan, S.; Cuhadaroglu, S.; Lange, S.; Uysal-Onganer, P. The Prediction of miRNAs in SARS-CoV-2 Genomes: Hsa-miR Databases Identify 7 Key miRs Linked to Host Responses and Virus Pathogenicity-Related KEGG Pathways Significant for Comorbidities. Viruses 2020, 12, 614. [Google Scholar] [CrossRef] [PubMed]
- Chen, W.; Feng, P.M.; Liu, K.W.; Wu, M.; Lin, H. Computational Identification of Small Interfering RNA Targets in SARS-CoV-2. Virol. Sin. 2020, 35, 359–361. [Google Scholar] [CrossRef] [PubMed] [Green Version]
- Chow, J.T.S.; Salmena, L. Prediction and Analysis of SARS-CoV-2-Targeting MicroRNA in Human Lung Epithelium. Genes 2020, 11, 1002. [Google Scholar] [CrossRef] [PubMed]
- Demongeot, J.; Seligmann, H. SARS-CoV-2 and miRNA-like inhibition power. Med. Hypotheses 2020, 144, 110245. [Google Scholar] [CrossRef]
- Rad, S.M.A.H.; McLellan, A.D. Implications of SARS-CoV-2 Mutations for Genomic RNA Structure and Host microRNA Targeting. Int. J. Mol. Sci. 2020, 21, 4807. [Google Scholar]
- Sardar, R.; Satish, D.; Gupta, D. Identification of Novel SARS-CoV-2 Drug Targets by Host MicroRNAs and Transcription Factors Coregulatory Interaction Network Analysis. Front. Genet. 2020, 11, 571274. [Google Scholar] [CrossRef]
- Li, C.X.; Hu, X.; Li, L.L.; Li, J.H. Differential microRNA expression in the peripheral blood from human patients with COVID-19. J. Clin. Lab. Anal. 2020, 34, e23590. [Google Scholar] [CrossRef]
- Lu, D.C.; Chatterjee, S.; Xiao, K.; Riedel, I.; Wang, Y.B.; Foo, R.; Bar, C.; Thum, T. MicroRNAs targeting the SARS-CoV-2 entry receptor ACE2 in cardiomyocytes. J. Mol. Cell. Cardiol. 2020, 148, 46–49. [Google Scholar] [CrossRef]
- Fang, Z.D.; Du, R.F.; Edwards, A.; Flemington, E.K.; Zhang, K. The Sequence Structures of Human MicroRNA Molecules and Their Implications. PLoS ONE 2013, 8, e54215. [Google Scholar] [CrossRef]
- Elbashir, S.M.; Martinez, J.; Patkaniowska, A.; Lendeckel, W.; Tuschl, T. Functional anatomy of siRNAs for mediating efficient RNAi in Drosophila melanogaster embryo lysate. EMBO J. 2001, 20, 6877–6888. [Google Scholar] [CrossRef] [PubMed] [Green Version]
- Katome, T.; Obata, T.; Matsushima, R.; Masuyama, N.; Cantley, L.C.; Gotoh, Y.; Kishi, K.; Shiota, H.; Ebina, Y. Use of RNA interference-mediated gene silencing and adenoviral overexpression to elucidate the roles of AKT/protein kinase B isoforms in insulin actions. J. Biol. Chem. 2003, 278, 28312–28323. [Google Scholar] [CrossRef] [PubMed] [Green Version]
- Porstner, M.; Winkelmann, R.; Daum, P.; Schmid, J.; Pracht, K.; Corte-Real, J.; Schreiber, S.; Haftmann, C.; Brandl, A.; Mashreghi, M.F.; et al. miR-148a promotes plasma cell differentiation and targets the germinal center transcription factors Mitf and Bach2. Eur. J. Immunol. 2015, 45, 1206–1215. [Google Scholar] [CrossRef] [PubMed] [Green Version]
- Palmieri, A.; Pezzetti, F.; Brunelli, G.; Martinelli, M.; Lo Muzio, L.; Scarano, A.; Degidi, M.; Piattelli, A.; Carinci, F. Peptide-15 changes miRNA expression in osteoblast-like cells. Implant. Dent. 2008, 17, 100–108. [Google Scholar] [CrossRef]
- van Wijnen, A.J.; van de Peppel, J.; van Leeuwen, J.P.; Lian, J.B.; Stein, G.S.; Westendorf, J.J.; Oursler, M.J.; Im, H.J.; Taipaleenmaki, H.; Hesse, E.; et al. MicroRNA Functions in Osteogenesis and Dysfunctions in Osteoporosis. Curr. Osteoporos. Rep. 2013, 11, 72–82. [Google Scholar] [CrossRef] [Green Version]
- Gailhouste, L.; Gomez-Santos, L.; Hagiwara, K.; Hatada, I.; Kitagawa, N.; Kawaharada, K.; Thirion, M.; Kosaka, N.; Takahashi, R.U.; Shibata, T.; et al. miR-148a plays a pivotal role in the liver by promoting the hepatospecific phenotype and suppressing the invasiveness of transformed cells. Hepatology 2013, 58, 1153–1165. [Google Scholar] [CrossRef]
- Ross, S.E.; Hemati, N.; Longo, K.A.; Bennett, C.N.; Lucas, P.C.; Erickson, R.L.; MacDougald, O.A. Inhibition of adipogenesis by Wnt signaling. Science 2000, 289, 950–953. [Google Scholar] [CrossRef]
- Hu, C.W.; Tseng, C.W.; Chien, C.W.; Huang, H.C.; Ku, W.C.; Lee, S.J.; Chen, Y.J.; Juan, H.F. Quantitative Proteomics Reveals Diverse Roles of miR-148a from Gastric Cancer Progression to Neurological Development. J. Proteome Res. 2013, 12, 3993–4004. [Google Scholar] [CrossRef]
- Merkerova, M.; Vasikova, A.; Belickova, M.; Bruchova, H. MicroRNA Expression Profiles in Umbilical Cord Blood Cell Lineages. Stem Cells Dev. 2010, 19, 17–25. [Google Scholar] [CrossRef]
- Giraud-Triboult, K.; Rochon-Beaucourt, C.; Nissan, X.; Champon, B.; Aubert, S.; Pietu, G. Combined mRNA and microRNA profiling reveals that miR-148a and miR-20b control human mesenchymal stem cell phenotype via EPAS1. Physiol. Genom. 2011, 43, 77–86. [Google Scholar] [CrossRef]
- Li, Y.; Deng, X.; Zeng, X.; Peng, X. The Role of Mir-148a in Cancer. J. Cancer 2016, 7, 1233–1241. [Google Scholar] [CrossRef] [PubMed] [Green Version]
- Farr, R.J.; Rootes, C.L.; Rowntree, L.C.; Nguyen, T.H.O.; Hensen, L.; Kedzierski, L.; Cheng, A.C.; Kedzierska, K.; Au, G.G.; Marsh, G.A.; et al. Altered microRNA expression in COVID-19 patients enables identification of SARS-CoV-2 infection. PLoS Pathog. 2021, 17, e1009759. [Google Scholar] [CrossRef] [PubMed]
- Lu, T.X.; Munitz, A.; Rothenberg, M.E. MicroRNA-21 Is Up-Regulated in Allergic Airway Inflammation and Regulates IL-12p35 Expression. J. Immunol. 2009, 182, 4994–5002. [Google Scholar] [CrossRef] [PubMed] [Green Version]
- Liu, G.; Friggeri, A.; Yang, Y.; Milosevic, J.; Ding, Q.; Thannickal, V.J.; Kaminski, N.; Abraham, E. miR-21 mediates fibrogenic activation of pulmonary fibroblasts and lung fibrosis. J. Exp. Med. 2010, 207, 1589–1597. [Google Scholar] [CrossRef]
- Xia, B.H.; Lu, J.S.; Wang, R.; Yang, Z.X.; Zhou, X.W.; Huang, P.T. miR-21-3p Regulates Influenza A Virus Replication by Targeting Histone Deacetylase-8. Front. Cell. Infect. Microbiol. 2018, 8, 175. [Google Scholar] [CrossRef] [Green Version]
- Chen, Y.N.; Chen, J.B.; Wang, H.; Shi, J.J.; Wu, K.L.; Liu, S.; Liu, Y.L.; Wu, J.G. HCV-Induced miR-21 Contributes to Evasion of Host Immune System by Targeting MyD88 and IRAK1. PLoS Pathog. 2013, 9, e1003248. [Google Scholar] [CrossRef]
- Houzet, L.; Yeung, M.L.; de Lame, V.; Desai, D.; Smith, S.M.; Jeang, K.T. MicroRNA profile changes in human immunodeficiency virus type 1 (HIV-1) seropositive individuals. Retrovirology 2008, 5, 118. [Google Scholar] [CrossRef] [Green Version]
- Jafarinejad-Farsangi, S.; Jazi, M.M.; Rostamzadeh, F.; Hadizadeh, M. High affinity of host human microRNAs to SARS-CoV-2 genome: An in silico analysis. Non-Coding RNA Res. 2020, 5, 222–231. [Google Scholar] [CrossRef]
- Liu, M.L.; Guo, S.C.; Hibbert, J.M.; Jain, V.; Singh, N.; Wilson, N.O.; Stiles, J.K. CXCL10/IP-10 in infectious diseases pathogenesis and potential therapeutic implications. Cytokine Growth Factor Rev. 2011, 22, 121–130. [Google Scholar] [CrossRef]
- Garg, A.; Seeliger, B.; Derda, A.A.; Xiao, K.; Gietz, A.; Scherf, K.; Sonnenschein, K.; Pink, I.; Hoeper, M.M.; Welte, T.; et al. Circulating cardiovascular microRNAs in critically ill COVID-19 patients. Eur. J. Heart Fail. 2021, 23, 468–475. [Google Scholar] [CrossRef]
- Leon-Icaza, S.A.; Zeng, M.; Rosas-Taraco, A.G. MicroRNAs in viral acute respiratory infections: Immune regulation, biomarkers, therapy, and vaccines. ExRNA 2019, 1, 1. [Google Scholar] [CrossRef] [PubMed] [Green Version]
- Git, A.; Dvinge, H.; Salmon-Divon, M.; Osborne, M.; Kutter, C.; Hadfield, J.; Bertone, P.; Caldas, C. Systematic comparison of microarray profiling, real-time PCR, and next-generation sequencing technologies for measuring differential microRNA expression. RNA 2010, 16, 991–1006. [Google Scholar] [CrossRef] [PubMed] [Green Version]
- Li, R.; Zhang, H.X.; Zheng, X.L. MiR-34c induces apoptosis and inhibits the viability of M4e cells by targeting BCL2. Oncol. Lett. 2018, 15, 3357–3361. [Google Scholar] [CrossRef] [PubMed] [Green Version]
- Francis, S.M.S.; Davidson, M.R.; Tan, M.E.; Wright, C.M.; Clarke, B.E.; Duhig, E.E.; Bowman, R.V.; Hayward, N.K.; Fong, K.M.; Yang, I.A. MicroRNA-34c is associated with emphysema severity and modulates SERPINE1 expression. BMC Genom. 2014, 15, 88. [Google Scholar]
- Harslund, J.; Frees, D.; Leifsson, P.S.; Offenberg, H.; Romer, M.U.; Brunner, N.; Olsen, J.E. The role of Serpine-1 and Tissue inhibitor of metalloproteinase type-1 in early host responses to Staphylococcus aureus intracutaneous infection of mice. Pathog. Dis. 2013, 68, 96–104. [Google Scholar] [CrossRef]
- Demiray, A.; Sari, T.; Caliskan, A.; Nar, R.; Aksoy, L.; Akbubak, I.H. Serum microRNA signature is capable of predictive and prognostic factor for SARS-CoV-2 virulence. Turk. J. Biochem. 2021, 46, 245–253. [Google Scholar] [CrossRef]
- Hasan, M.M.; Akter, R.; Ullah, M.S.; Abedin, M.J.; Ullah, G.M.; Hossain, M.Z. A Computational Approach for Predicting Role of Human MicroRNAs in MERS-CoV Genome. Adv. Bioinform. 2014, 2014, 967946. [Google Scholar] [CrossRef] [Green Version]
- Wang, L.L.; Qin, Y.; Tong, L.; Wu, S.; Wang, Q.; Jiao, Q.G.; Guo, Z.W.; Lin, L.X.; Wang, R.X.; Zhao, W.R.; et al. MiR-342-5p suppresses coxsackievirus B3 biosynthesis by targeting the 2C-coding region. Antivir. Res. 2012, 93, 270–279. [Google Scholar] [CrossRef]








| Negs Group | Ct (Threshold Cycle) | Poss Group | Ct (Threshold Cycle) | Relative Quantity (Arbitrary Values) |
|---|---|---|---|---|
| 1A | >40 | D3 | 31.90 | 87.2 |
| 2A | >40 | H3 | 27.68 | 5245.9 |
| 3A | >40 | H5 | 32.51 | 92.9 |
| 5A | >40 | F5 | 33.75 | 2.2 |
| 6A | >40 | A7 | 25.83 | 185,29.1 |
| 9A | >40 | B1 | 29.52 | 18.3 |
| 10A | >40 | G9 | 24.82 | 121,61.2 |
| 11A | >40 | F11 | 33.04 | 4.6 |
| 13A | >40 | D11 | 26.50 | 122,20.1 |
| 15A | >40 | F7 | 32.00 | 29.5 |
| Group | Sample | 19 | 20 | 21 | 22 | 23 | 24 | 25 | Total |
|---|---|---|---|---|---|---|---|---|---|
| Group NegS | 1A | 4215 | 6687 | 13,399 | 18,965 | 8843 | 1624 | 125 | 53,858 |
| 2A | 574 | 1062 | 2058 | 3768 | 1502 | 907 | 224 | 10,095 | |
| 3A | 657 | 1172 | 2068 | 4796 | 1784 | 755 | 104 | 11,336 | |
| 5A | 1271 | 2164 | 3701 | 4485 | 1707 | 476 | 49 | 13,853 | |
| 6A | 2909 | 5335 | 9794 | 10,830 | 4356 | 835 | 57 | 34,116 | |
| 9A | 4552 | 10,212 | 19,191 | 17,643 | 8898 | 2746 | 298 | 63,540 | |
| 10A | 3370 | 6228 | 22,709 | 50,524 | 11,225 | 3031 | 286 | 97,373 | |
| 11A | 891 | 1601 | 3247 | 2211 | 817 | 146 | 16 | 8929 | |
| 13A | 2589 | 3674 | 8894 | 8365 | 3924 | 774 | 101 | 28,321 | |
| 15A | 2679 | 5458 | 8792 | 11,024 | 5776 | 947 | 71 | 34,747 | |
| Median | 2634 | 4505 | 8843 | 9598 | 4140 | 871 | 103 | 31,219 | |
| Average | 2371 | 4359 | 9385 | 13,261 | 4883 | 1224 | 133 | 35,617 | |
| Group PosS | D3 | 1936 | 4308 | 6113 | 6331 | 3895 | 1174 | 173 | 23,930 |
| H3 | 2459 | 5712 | 7016 | 5567 | 2308 | 852 | 96 | 24,010 | |
| H5 | 2073 | 3081 | 5488 | 5702 | 2676 | 778 | 146 | 19,944 | |
| F5 | 3832 | 6566 | 10,998 | 12,974 | 8704 | 1704 | 141 | 44,919 | |
| A7 | 6065 | 12,807 | 48,308 | 26,818 | 5361 | 1182 | 100 | 100,641 | |
| B1 | 6225 | 13,122 | 48,366 | 30,578 | 5131 | 903 | 120 | 104,445 | |
| G9 | 2696 | 4525 | 5930 | 6959 | 3343 | 1041 | 74 | 24,568 | |
| F11 | 7574 | 12,936 | 23,790 | 23,718 | 12,065 | 2358 | 165 | 82,606 | |
| D11 | 2569 | 3715 | 5992 | 4420 | 1286 | 274 | 25 | 18,281 | |
| F7 | 1097 | 2472 | 3949 | 3922 | 1832 | 476 | 57 | 13,805 | |
| Median | 2569 | 4525 | 6113 | 6331 | 3343 | 903 | 100 | 24,289 | |
| Average | 3322 | 6297 | 15,088 | 11,546 | 4239 | 979 | 102 | 45,715 |
| miRNA | p-Value | NegS (Median) | PosS (Median) |
|---|---|---|---|
| mir-100 | 0.0113 * | 86 | 282 |
| mir-34b | 0.01258 * | 49 | 124 |
| mir-200a | 0.01556 * | 2406 | 5631 |
| mir-34c | 0.02334 * | 1444 | 3550 |
| mir-342 | 0.0411 * | 18 | 55 |
| let-7i | 0.04125 * | 903 | 1856 |
| mir-29a | 0.04125 * | 130 | 246 |
| mir-141 | 0.06954 | 100 | 153 |
| mir-222 | 0.06954 | 99 | 148 |
| mir-200c | 0.06964 | 672 | 1152 |
| mir-146a | 0.0821 | 231 | 416 |
| let-7f | 0.1124 | 252 | 592 |
| mir-21 | 0.1306 | 3531 | 5772 |
| let-7a | 0.1509 | 193 | 410 |
| mir-203b | 0.1736 | 122 | 300 |
| mir-99a | 0.1857 | 1327 | 2536 |
| mir-25 | 0.1986 | 141 | 195 |
| mir-183 | 0.1986 | 207 | 102 |
| mir-200b | 0.1988 | 1656 | 2222 |
| let-7c | 0.2265 | 251 | 532 |
| mir-1301 | 0.239 | 7 | 9 |
| mir-146b | 0.2568 | 150 | 316 |
| mir-22 | 0.2896 | 269 | 290 |
| mir-148a | 0.2899 | 22341 | 7233 |
| let-7b | 0.2899 | 1296 | 2747 |
| mir-320a | 0.2899 | 145 | 213 |
| mir-26b | 0.2899 | 115 | 164 |
| mir-429 | 0.4497 | 263 | 263 |
| mir-423 | 0.4629 | 368 | 467 |
| mir-26a | 0.4963 | 292 | 532 |
| mir-20b | 0.5182 | 0 | 0 |
| mir-30a | 0.5453 | 240 | 248 |
| mir-92b | 0.5453 | 244 | 251 |
| mir-3960 | 0.623 | 167 | 76 |
| mir-99b | 0.677 | 82 | 110 |
| let-7g | 0.6964 | 469 | 771 |
| mir-3074 | 0.7054 | 472 | 522 |
| mir-27a | 0.7055 | 1326 | 1027 |
| mir-30d | 0.7055 | 860 | 672 |
| mir-27b | 0.7624 | 1264 | 1072 |
| mir-205 | 0.7624 | 252 | 157 |
| mir-375 | 0.8205 | 797 | 687 |
| mir-151a | 0.8206 | 1627 | 1523 |
| mir-10400 | 0.9097 | 171 | 82 |
| miRNA | p-Value | Negs (Mean) | Poss (Mean) | Pearson’s Correlation Coefficient |
|---|---|---|---|---|
| mir-21 | 0.03156 * | 111.56 | 235.61 | 0.73 |
| mir-34c | 0.49070 | 5.76 | 4.26 | 0.15 |
| mir-34b | 0.22542 | 2.25 | 4.79 | 0.48 |
| mir-342 | 0.24653 | 0.042 | 0.065 | 0.87 |
Publisher’s Note: MDPI stays neutral with regard to jurisdictional claims in published maps and institutional affiliations. |
© 2022 by the authors. Licensee MDPI, Basel, Switzerland. This article is an open access article distributed under the terms and conditions of the Creative Commons Attribution (CC BY) license (https://creativecommons.org/licenses/by/4.0/).
Share and Cite
Eichmeier, A.; Kiss, T.; Kocanova, M.; Hakalova, E.; Spetik, M.; Cechova, J.; Tichy, B. Conserved MicroRNAs in Human Nasopharynx Tissue Samples from Swabs Are Differentially Expressed in Response to SARS-CoV-2. Genes 2022, 13, 348. https://doi.org/10.3390/genes13020348
Eichmeier A, Kiss T, Kocanova M, Hakalova E, Spetik M, Cechova J, Tichy B. Conserved MicroRNAs in Human Nasopharynx Tissue Samples from Swabs Are Differentially Expressed in Response to SARS-CoV-2. Genes. 2022; 13(2):348. https://doi.org/10.3390/genes13020348
Chicago/Turabian StyleEichmeier, Ales, Tomas Kiss, Maria Kocanova, Eliska Hakalova, Milan Spetik, Jana Cechova, and Boris Tichy. 2022. "Conserved MicroRNAs in Human Nasopharynx Tissue Samples from Swabs Are Differentially Expressed in Response to SARS-CoV-2" Genes 13, no. 2: 348. https://doi.org/10.3390/genes13020348
APA StyleEichmeier, A., Kiss, T., Kocanova, M., Hakalova, E., Spetik, M., Cechova, J., & Tichy, B. (2022). Conserved MicroRNAs in Human Nasopharynx Tissue Samples from Swabs Are Differentially Expressed in Response to SARS-CoV-2. Genes, 13(2), 348. https://doi.org/10.3390/genes13020348

