Association of Fc Gamma Receptor 3B Gene Copy Number Variation with Rheumatoid Arthritis Susceptibility
Abstract
1. Introduction
2. Materials and Methods
2.1. Study Subjects
2.2. Genomic DNA Extraction
2.3. Measurement of FCGR3B CNV
2.4. Statistical Analysis
2.5. Meta-Analysis
3. Results
4. Discussion
5. Conclusions
Supplementary Materials
Author Contributions
Funding
Institutional Review Board Statement
Informed Consent Statement
Data Availability Statement
Acknowledgments
Conflicts of Interest
References
- Karami, J.; Aslani, S.; Jamshidi, A.; Garshasbi, M.; Mahmoudi, M. Genetic implications in the pathogenesis of rheumatoid arthritis; an updated review. Gene 2019, 702, 8–16. [Google Scholar] [CrossRef] [PubMed]
- McInnes, I.B.; Schett, G. The Pathogenesis of Rheumatoid Arthritis. N. Engl. J. Med. 2011, 365, 2205–2219. [Google Scholar] [CrossRef] [PubMed]
- Alam, J.; Jantan, I.; Bukhari, S.N.A. Rheumatoid arthritis: Recent advances on its etiology, role of cytokines and pharmacotherapy. Biomed. Pharmacother. 2017, 92, 615–633. [Google Scholar] [CrossRef] [PubMed]
- Ullah, Z.; Ullah, M.I.; Hussain, S.; Kaul, H.; Lone, K.P. Determination of Serum Trace Elements (Zn, Cu, and Fe) in Pakistani Patients with Rheumatoid Arthritis. Biol. Trace Elem. Res. 2017, 175, 10–16. [Google Scholar] [CrossRef] [PubMed]
- Aslam, M.M.; John, P.; Fan, K.-H.; Bhatti, A.; Aziz, W.; Ahmed, B.; Feingold, E.; Demirci, F.Y.; Kamboh, M.I. Investigating the GWAS-Implicated Loci for Rheumatoid Arthritis in the Pakistani Population. Dis. Markers 2020, 2020, 1910215. [Google Scholar] [CrossRef]
- Okada, Y.; Wu, D.; Trynka, G.; Raj, T.; Terao, C.; Ikari, K.; Kochi, Y.; Ohmura, K.; Suzuki, A.; Yoshida, S.; et al. Genetics of rheumatoid arthritis contributes to biology and drug discovery. Nature 2014, 506, 376–381. [Google Scholar] [CrossRef]
- Kim, K.; Bang, S.-Y.; Lee, H.-S.; Bae, S.-C. Update on the genetic architecture of rheumatoid arthritis. Nat. Rev. Rheumatol. 2017, 13, 13–24. [Google Scholar] [CrossRef]
- Feuk, L.; Carson, A.R.; Scherer, S.W. Structural variation in the human genome. Nat. Rev. Genet. 2006, 7, 85–97. [Google Scholar] [CrossRef]
- Redon, R.; Ishikawa, S.; Fitch, K.R.; Feuk, L.; Perry, G.H.; Andrews, T.D.; Fiegler, H.; Shapero, M.H.; Carson, A.R.; Chen, W.; et al. Global variation in copy number in the human genome. Nature 2006, 444, 444–454. [Google Scholar] [CrossRef]
- Marques, R.B.; Thabet, M.M.; White, S.J.; Houwing-Duistermaat, J.J.; Bakker, A.M.; Hendriks, G.-J.; Zhernakova, A.; Huizinga, T.W.; Van Der Helm-Van Mil, A.H.; Toes, R.E. Genetic Variation of the Fc Gamma Receptor 3B Gene and Association with Rheumatoid Arthritis. PLoS ONE 2010, 5, e13173. [Google Scholar] [CrossRef]
- McKinney, C.; Fanciulli, M.; Merriman, M.E.; Phipps-Green, A.; Alizadeh, B.Z.; Koeleman, B.P.C.; Dalbeth, N.; Gow, P.J.; Harrison, A.A.; Highton, J.; et al. Association of variation in Fc receptor 3B gene copy number with rheumatoid arthritis in Caucasian samples. Ann. Rheum. Dis. 2010, 69, 1711–1716. [Google Scholar] [CrossRef]
- Aslam, M.M.; John, P.; Fan, K.H.; Bhatti, A.; Feingold, E.; Demirci, F.Y.; Kamboh, M.I. Association of VPREB1 Gene Copy Number Variation and Rheumatoid Arthritis Susceptibility. Dis. Markers 2020, 2020, 7189626. [Google Scholar] [CrossRef]
- Daëron, M. Fc Receptor Biology. Annu Rev. Immunol. 1997, 15, 203–234. [Google Scholar] [CrossRef]
- Willcocks, L.C.; Lyons, P.A.; Clatworthy, M.R.; Robinson, J.I.; Yang, W.; Newland, S.A.; Plagnol, V.; McGovern, N.N.; Condliffe, A.M.; Chilvers, E.R.; et al. Copy number of FCGR3B, which is associated with systemic lupus erythematosus, correlates with protein expression and immune complex uptake. J. Exp. Med. 2008, 205, 1573–1582. [Google Scholar] [CrossRef]
- Nimmerjahn, F.; Ravetch, J.V. Fcγ Receptors: Old Friends and New Family Members. Immunity 2006, 24, 19–28. [Google Scholar] [CrossRef]
- Ravetch, J.V. Alternative membrane forms of Fc gamma RIII(CD16) on human natural killer cells and neutrophils. Cell type-specific expression of two genes that differ in single nucleotide substitutions. J. Exp. Med. 1989, 170, 481–497. [Google Scholar] [CrossRef]
- Fetz, A.E.; Radic, M.Z.; Bowlin, G.L. Human neutrophil FcγRIIIb regulates neutrophil extracellular trap release in response to electrospun polydioxanone biomaterials. Acta Biomater. 2021, 130, 281–290. [Google Scholar] [CrossRef]
- Salmon, J.E.; Pricop, L. Human receptors for immunoglobulin G: Key elements in the pathogenesis of rheumatic disease. Arthritis Rheum. 2001, 44, 739–750. [Google Scholar] [CrossRef]
- Fanciulli, M.; Norsworthy, P.J.; Petretto, E.; Dong, R.; Harper, L.; Kamesh, L.; Heward, J.M.; Gough, S.C.L.; De Smith, A.; Blakemore, A.I.F.; et al. FCGR3B copy number variation is associated with susceptibility to systemic, but not organ-specific, autoimmunity. Nat. Genet. 2007, 39, 721–723. [Google Scholar] [CrossRef]
- Mamtani, M.; Anaya, J.M.; He, W.; Ahuja, S.K. Association of copy number variation in the FCGR3B gene with risk of autoimmune diseases. Genes Immun. 2010, 11, 155–160. [Google Scholar] [CrossRef]
- Rahbari, R.; Zuccherato, L.W.; Tischler, G.; Chihota, B.; Ozturk, H.; Saleem, S.; Tarazona-Santos, E.; Machado, L.R.; Hollox, E.J. Understanding the Genomic Structure of Copy-Number Variation of the Low-Affinity Fcγ Receptor Region Allows Confirmation of the Association of FCGR3B Deletion with Rheumatoid Arthritis. Hum. Mutat. 2017, 38, 390–399. [Google Scholar] [CrossRef]
- Lee, Y.H.; Bae, S.C.; Seo, Y.H.; Kim, J.H.; Choi, S.J.; Ji, J.D.; Song, G.G. Association between FCGR3B copy number variations and susceptibility to autoimmune diseases: A meta-analysis. Inflamm. Res. 2015, 64, 983–991. [Google Scholar] [CrossRef]
- Graf, S.W.; Lester, S.; Nossent, J.C.; Hill, C.L.; Proudman, S.M.; Lee, A.; Rischmueller, M. Low copy number of the FCGR3B gene and rheumatoid arthritis: A case-control study and meta-analysis. Arthritis Res. Ther. 2012, 14, R28. [Google Scholar] [CrossRef]
- Franke, L.; el Bannoudi, H.; Jansen, D.T.S.L.; Kok, K.; Trynka, G.; Diogo, D.; Swertz, M.; Fransen, K.; Knevel, R.; Gutierrez-Achury, J.; et al. Association analysis of copy numbers of FC-γ receptor genes for rheumatoid arthritis and other immune-mediated phenotypes. Eur. J. Hum. Genet. 2016, 24, 263–270. [Google Scholar] [CrossRef]
- Chen, J.-Y.; Wang, C.-M.; Chang, S.-W.; Cheng, C.-H.; Wu, Y.-J.J.; Lin, J.-C.; Yang, B.; Ho, H.-H.; Wu, J. Association of FCGR3A and FCGR3B copy number variations with systemic lupus erythematosus and rheumatoid arthritis in Taiwanese patients. Arthritis Rheumatol. 2014, 66, 3113–3121. [Google Scholar] [CrossRef]
- Arnett, F.C.; Edworthy, S.M.; Bloch, D.A.; McShane, D.J.; Fries, J.F.; Cooper, N.S.; Healey, L.A.; Kaplan, S.R.; Liang, M.H.; Luthra, H.S.; et al. The american rheumatism association 1987 revised criteria for the classification of rheumatoid arthritis. Arthritis Rheum. 1988, 31, 315–324. [Google Scholar] [CrossRef] [PubMed]
- Robinson, J.I.; Carr, I.M.; Cooper, D.L.; Rashid, L.H.; Martin, S.G.; Emery, P.; Isaacs, J.D.; Barton, A.; Wilson, A.G.; Barrett, J.H.; et al. Confirmation of association of FCGR3B but not FCGR3A copy number with susceptibility to autoantibody positive rheumatoid arthritis. Hum. Mutat. 2012, 33, 741–749. [Google Scholar] [CrossRef]
- Viechtbauer, W. Conducting Meta-Analyses in R with the metafor Package. J. Stat. Softw. 2010, 36, 1–48. [Google Scholar] [CrossRef]
- McCarroll, S.A.; Altshuler, D.M. Copy-number variation and association studies of human disease. Nat Genet. 2007, 39 (Suppl. 7), S37–S42. [Google Scholar] [CrossRef]
- Rigby, W.F.C.; Wu, Y.L.; Zan, M.; Zhou, B.; Rosengren, S.; Carlson, C.; Hilton, W.; Yu, C.Y. Increased frequency of complement C4B deficiency in rheumatoid arthritis. Arthritis Rheum. 2012, 64, 1338–1344. [Google Scholar] [CrossRef]
- Ben Kilani, M.S.; Achour, Y.; Perea, J.; Cornelis, F.; Bardin, T.; Chaudru, V.; Maalej, A.; Petit-Teixeira, E. Characterization of copy number variants for CCL3L1 gene in rheumatoid arthritis for French trio families and Tunisian cases and controls. Clin. Rheumatol. 2016, 35, 1917–1922. [Google Scholar] [CrossRef] [PubMed]
- Bergboer, J.G.M.; Umićević-Mirkov, M.; Fransen, J.; den Heijer, M.; Franke, B.; van Riel, P.L.C.M.; Schalkwijk, J.; Coenen, M.J.H.; on behalf of the Nijmegen Biomedical Study principal. A Replication Study of the Association between Rheumatoid Arthritis and Deletion of the Late Cornified Envelope Genes LCE3B and LCE3C. PLoS ONE 2012, 7, e32045. [Google Scholar] [CrossRef] [PubMed][Green Version]


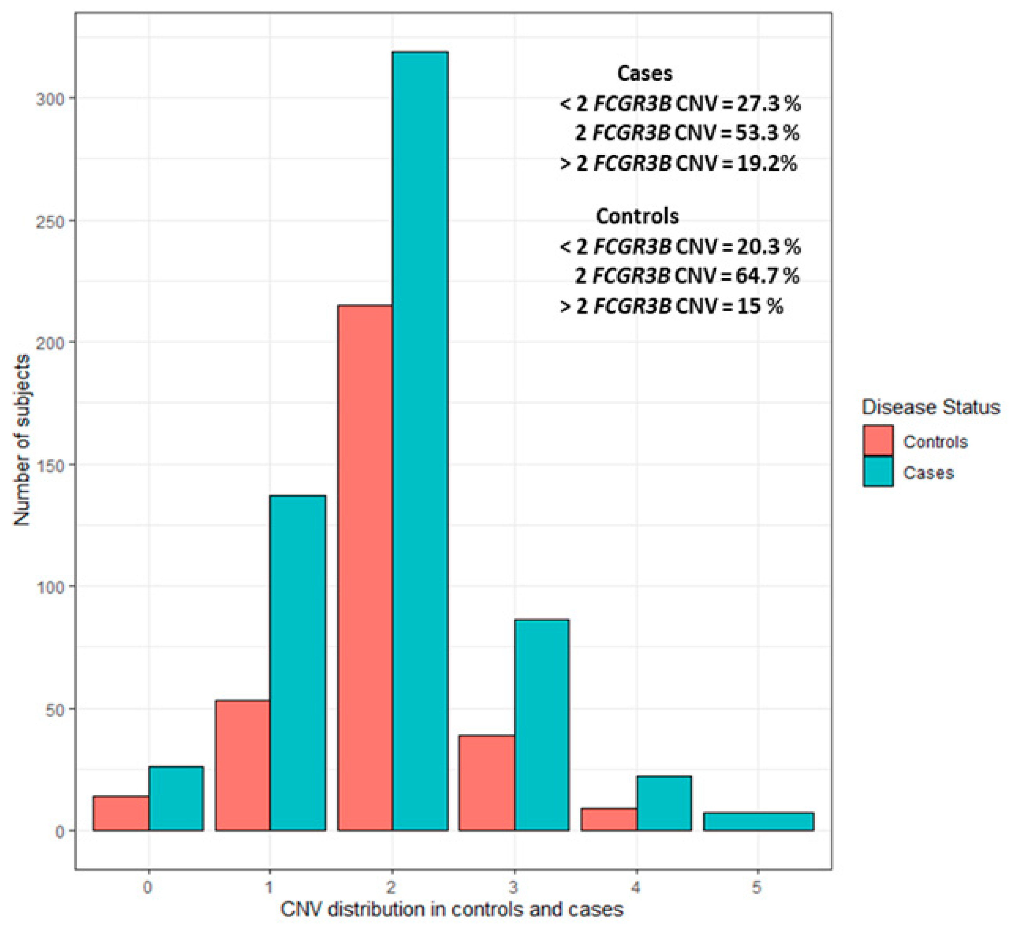
| FCGR3B CNV | RA Cases (n = 597) | Controls (n = 330) | OR (95% CI) | p-Value | Pr (>|z|) |
|---|---|---|---|---|---|
| <2 | 27.30% | 20.30% | 1.53 (1.05 to 2.22) | 0.02589 | 2.59 × 10−02 |
| 2 | 53.43% | 65.15% | 1 | ||
| >2 | 19.26% | 14.55% | 1.33 (0.87 to 2.03) | 0.1851 | 1.85 × 10−01 |
| Intercept | 0.06 (0.03 to 0.11) | 3.26 × 10−18 | |||
| Age | 1.06 (1.04 to 1.07) | 2.09 × 10−15 | |||
| Gender (F) | 5.96 (4.33 to 8.22) | 1.03 × 10−27 |
| FCGR3B CNV | Anti-CCP | RF | ||||
|---|---|---|---|---|---|---|
| OR (95% CI) | p-Value | Pr (>|z|) | OR (95% CI) | p-Value | Pr (>|z|) | |
| <2 | 2.56 (1.34 to 4.89) | 0.0045 | 1.74 (0.93 to 3.26) | 0.0816 | ||
| 2 | 1 | 1 | ||||
| >2 | 1.8 (0.86 to 3.77) | 0.117 | 1.19 (0.6 to 2.34) | 0.6216 | ||
| Intercept | 1.38 (0.43 to 4.44) | 5.89 × 10−01 | 7.11 (2.11 to 23.94) | 1.53 × 10−03 | ||
| Age | 1.02 (1 to 1.05) | 3.46 × 10−02 | 1 (0.97 to 1.02) | 6.99 × 10−01 | ||
| Gender (F) | 1.04 (0.54 to 2) | 9.17 × 10−01 | 0.8 (0.4 to 1.58) | 5.20 × 10−01 | ||
Publisher’s Note: MDPI stays neutral with regard to jurisdictional claims in published maps and institutional affiliations. |
© 2022 by the authors. Licensee MDPI, Basel, Switzerland. This article is an open access article distributed under the terms and conditions of the Creative Commons Attribution (CC BY) license (https://creativecommons.org/licenses/by/4.0/).
Share and Cite
Aslam, M.M.; John, P.; Fan, K.-H.; Malik, J.M.; Feingold, E.; Demirci, F.Y.; Kamboh, M.I. Association of Fc Gamma Receptor 3B Gene Copy Number Variation with Rheumatoid Arthritis Susceptibility. Genes 2022, 13, 2238. https://doi.org/10.3390/genes13122238
Aslam MM, John P, Fan K-H, Malik JM, Feingold E, Demirci FY, Kamboh MI. Association of Fc Gamma Receptor 3B Gene Copy Number Variation with Rheumatoid Arthritis Susceptibility. Genes. 2022; 13(12):2238. https://doi.org/10.3390/genes13122238
Chicago/Turabian StyleAslam, M. Muaaz, Peter John, Kang-Hsien Fan, Javaid Mehmood Malik, Eleanor Feingold, F. Yesim Demirci, and M. Ilyas Kamboh. 2022. "Association of Fc Gamma Receptor 3B Gene Copy Number Variation with Rheumatoid Arthritis Susceptibility" Genes 13, no. 12: 2238. https://doi.org/10.3390/genes13122238
APA StyleAslam, M. M., John, P., Fan, K.-H., Malik, J. M., Feingold, E., Demirci, F. Y., & Kamboh, M. I. (2022). Association of Fc Gamma Receptor 3B Gene Copy Number Variation with Rheumatoid Arthritis Susceptibility. Genes, 13(12), 2238. https://doi.org/10.3390/genes13122238
