Identification and Registration for High-Yielding Strain through ST and MLT of Curcuma caesia Roxb. (Jor Lab KH-2): A High-Value Medicinal Plant
Abstract
1. Introduction
2. Materials and Methods
2.1. Germplasm Collection
2.2. Setup of Experimental Trial
2.3. Evaluation of Selection and Multilocation Trial
2.4. Isolation and GC-MS Analysis of the Essential Oil
2.5. Statistical Analysis
3. Results
3.1. Agronomical Data for MLT of the Five Identified Lines along with the Check
3.2. ANOVA of the Agronomical Traits for Six High-Yielding Accessions
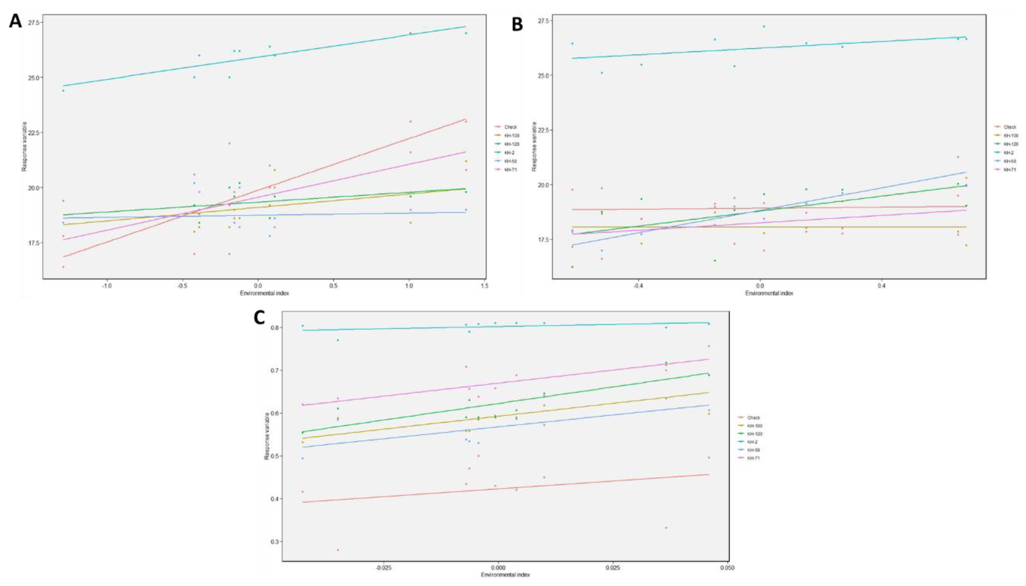
3.3. Stability Analysis through Joint Regression Method
3.4. AMMI ANOVA for the Agronomical Traits for Six High-Yielding Accessions
3.5. Stability Analysis through AMMI Model and GGE Biplot
4. Discussion
5. Conclusions
Author Contributions
Funding
Institutional Review Board Statement
Informed Consent Statement
Acknowledgments
Conflicts of Interest
References
- Borah, A.; Kumar, D.; Paw, M.; Begum, T.; Lal, M. A review on ethnobotany and promising pharmacological aspects of an endangered medicinal plant, Curcuma caesia Roxb. Turk. J. Bot. 2020, 44, 205–213. [Google Scholar] [CrossRef]
- Kress, W.J.; Prince, L.M.; Williams, K.J. The phylogeny and a new classification of the gingers (Zingiberaceae): Evidence from molecular data. Am. J. Bot. 2002, 89, 1682–1696. [Google Scholar] [CrossRef] [PubMed]
- Sahu, R.; Saxena, J. A brief review on medicinal value of Curcuma caesia. Int. J. Pharm. Life Sci. 2013, 4, 2664–2666. [Google Scholar]
- Sahu, B.; Kenwat, R.; Chandrakar, S. Medicinal value of Curcuma cassia Roxb: An overview. UK. J. Pharm. Biosci. 2016, 4, 69–74. [Google Scholar] [CrossRef]
- Mahanta, B.P.; Sut, D.; Lal, M.; Haldar, S. Hydrodistillation alters the compositional originality in black turmeric (Curcuma caesia Roxb.) essential oil. J. Essent. Oil Res. 2021, 33, 240–246. [Google Scholar] [CrossRef]
- Paliwal, P.; Pancholi, S.S.; Patel, R.K. Pharmacognostic parameters for evaluation of the rhizomes of Curcuma caesia. J. Adv. Pharm. Technol. Res. 2011, 2, 56–61. [Google Scholar] [CrossRef] [PubMed]
- Paw, M.; Munda, S.; Borah, A.; Pandey, S.K.; Lal, M. Estimation of variability, genetic divergence, correlation studies of Curcuma caesia Roxb. J. Appl. Res. Med. Aromat. Plants 2020, 17, 100251. [Google Scholar] [CrossRef]
- Available online: https://justagriculture.in/files/magazine/2021/october/002%20Black%20Turmeric.pdf (accessed on 15 September 2022).
- Donipati, P.; Sreeramulu, S.H. Preliminary phytochemical screening of Curcuma caesia. Int. J. Curr. Microbiol. App. Sci. 2015, 4, 30–34. [Google Scholar]
- Tag, H.; Das, A.K.; Loyi, H. Anti-inflammatory plant used by Khamti tribes of Lohit District in Arunachal Pradesh. Nat. Prod. Rad. 2007, 4, 340–343. [Google Scholar]
- Israr, F.; Hassan, F.; Naqvi, B.S.; Azhar, I.; Jabeen, S.; Hssan, S.M.F. Studies on antibacterial activity of some traditional medicinal plants used in folk medicine Pak. J. Pharm. Sci. 2012, 25, 669–674. [Google Scholar]
- Sasikumar, B. Genetic resource of Curcuma: Diversity, characterization and utilization. Plant Genet. Res. 2005, 3, 230–251. [Google Scholar] [CrossRef]
- Rastogi, R.P.; Mehrotra, B.N. Compendium of Indian Medicinal Plants; CSIR: New Delhi, India, 1990; Volume 1, pp. 118–122. [Google Scholar]
- Trivedi, P.C. Ethnomedicinal Plant of India; Aviskar Publisher: Jaipur, India, 2003; Volume 30, p. 46. [Google Scholar]
- Mia, M.K.; Kadir, M.F.; Hossan, S.; Rahmatullah, M. Medicinal plants of the Garo tribe inhabiting the Madhupur forest region of Bangladesh. Am. Eurasian J. Sustain. Agric. 2009, 3, 165–171. [Google Scholar]
- Idrisi, M.S.; Bordola, H.K.; Singh, R. Indigenous knowledge and medicinal use of plants by local communities in Rangit Valley, South Sikkim, India. NeBIO 2010, 1, 34–45. [Google Scholar]
- Syamkumar, S.; Sasikumar, B. Molecular marker based genetic diversity analysis of Curcuma species from India. Sci. Hortic. 2007, 112, 235–241. [Google Scholar] [CrossRef]
- Ravindran, P.N.; Nirmal Babu, K.; Sivaraman, K. Turmeric: The Genus Curcuma, 1st ed.; CRC Press: Boca Raton, FL, USA, 2007; p. 504. [Google Scholar]
- Paw, M.; Gogoi, R.; Sarma, N.; Pandey, S.K.; Borah, A.; Begum, T.; Lal, M. Study of anti-oxidant, anti-inflammatory, genotoxicity, and antimicrobial activities and analysis of different constituents found in rhizome essential oil of Curcuma caesia Roxb., collected from North East India. Curr. Pharm. Biotechnol. 2020, 21, 403–413. [Google Scholar] [CrossRef]
- Banerjee, A.; Nigam, S.S. Antifungal activity of the essential oil of Curcuma caesia Roxb. Indian J. Med. Res. 1976, 64, 1318–1321. [Google Scholar]
- Arulmozhi, D.K.; Sridhar, N.; Veeranjaneyulu, A.; Arora, S.K. Preliminary mechanistic studies on the smooth muscle relaxant effect of hydroalcoholic extract of Curcuma caesia. J. Herb. Pharmacother. 2006, 6, 117–124. [Google Scholar] [CrossRef] [PubMed]
- Mangla, M.; Shuaib, M.; Jain, J.; Kashyap, M. In-vitro evaluation of antioxidant activity of Curcuma caesia Roxb. Int. J. Pharm. Sci. Res. 2010, 1, 98–102. [Google Scholar]
- Karmakar, I.; Saha, P.; Sarkar, N.; Bhattacharya, S.; Haldar, P.K. Neuropharmacological assessment of Curcuma caesia Roxb. rhizome in experimental animal models. Orient. Pharm. Exp. Med. 2011, 11, 251–255. [Google Scholar] [CrossRef]
- Rajamma, A.G.; Bai, V.; Nambisan, B. Antioxidant and antibacterial activities of oleoresins isolated from nine Curcuma species. Phytopharma 2012, 2, 312–317. [Google Scholar]
- Das, S.; Bordoloi, P.K.; Phukan, D.; Singh, S. Study of the anti-ulcerogenic activity of the ethanolic extracts of rhizome of Curcuma caesia against gastric ulcers in experimental animals. Asian J. Pharm. Clin. Res. 2012, 5, 200–203. [Google Scholar]
- Sarangthem, K.; Haokip, M.J. Bioactive components in Curcuma caesia Roxb. growing in Manipur. Bioscan 2010, 5, 113–115. [Google Scholar]
- Pandey, A.K.; Chowdhary, A.R. Volatile constituent of rhizome oil of Curcuma caesia Roxb. from central India. Flavour Frag. J. 2003, 18, 463. [Google Scholar] [CrossRef]
- Song, E.K.; Cho, H.; Kim, J.S.; Kim, N.Y.; An, N.H.; Kim, J.A. Diarylheptanoids with free radical scavenging and hepatoprotective activity in vitro from Curcuma longa. Planta Med. 2001, 67, 876–877. [Google Scholar] [CrossRef] [PubMed]
- Jayaprakasha, G.K.; Rao, L.J.; Sakariah, K.K. Antioxidant activities of curcumin, demethoxycurcumin and bisdemethoxy. Food Chem. 2006, 98, 720–724. [Google Scholar] [CrossRef]
- Borah, A.; Paw, M.; Gogoi, R.; Loying, R.; Sarma, N.; Munda, S.; Pandey, S.K.; Lal, M. Chemical composition, antioxidant, anti-inflammatory, antimicrobial and in-vitro cytotoxic efficacy of essential of Curcuma caesia Roxb. leaves: An endangered medicinal plant of North East India. Ind. Crop. Prod. 2019, 129, 448–454. [Google Scholar] [CrossRef]
- Bian, L.; Zhang, H.; Ge, Y.; Cepl, J.; Stejskal, J.; El-Kassaby, Y.A. Closing the gap between phenotyping and genotyping: Review of advanced, image-based phenotyping technologies in forestry. Ann. For. Sci. 2022, 79, 22. [Google Scholar] [CrossRef]
- Anshori, M.F.; Purwoko, B.S.; Dewi, I.S.; Ardie, S.W.; Suwarno, W.B. Cluster heatmap for detection of good tolerance trait on doubled-haploid rice lines under hydroponic salinity screening. In Proceedings of the IOP Conference Series: Earth and Environmental Science, Makassar, Indonesia, 23–25 September 2019. [Google Scholar]
- Fadli, M.; Farid, M.; Yassi, A.; Nasaruddin, N.; Anshori, M.F.; Nur, A.; Suratman, S. Evaluation of the advanced yield trial on tropical wheat (Triticum aestivum) mutant lines using selection index and multivariate analysis. Biodiversitas 2022, 23, 540–547. [Google Scholar] [CrossRef]
- Singh, C.M.; Mishra, S.B.; Pandey, A.; Arya, M. Eberhart-Russell’ and AMMI approaches of genotype by environment interaction (GEI) for yield and yield component traits in Vigna radiata L. Wilczek. Int. J. Environ. Agric. Biotechnol. 2014, 7, 277–292. [Google Scholar] [CrossRef]
- Munda, S.; Sarma, N.; Lal, M. G × E interaction of 72 accessions with three year evaluation of Cymbopogon winterianus Jowitt. using regression coefficient and Additive Main effects and Multiplicative Interaction model (AMMI). Ind. Crops Prod. 2020, 146, 112169. [Google Scholar] [CrossRef]
- Yan, W.; Kang, M.S.; Ma, B.; Woods, S.; Cornelius, P.L. GGE biplot vs. AMMI analysis of genotype-by-environment data. Crop. Sci. 2007, 47, 643–653. [Google Scholar] [CrossRef]
- Lal, M.; Munda, S.; Dutta, S.; Pandey, S.K. Identification of a novel germplasm (Jor Lab L-9) of lemon grass (Cymbopogon khasianus) rich in methyl eugenol. Crop. Breed. App. Biotechnol. 2020, 20, e320720315. [Google Scholar] [CrossRef]
- Clevenger, J.F. Apparatus for the determination of volatile oil. J. Pharm. Sci. 1928, 17, 345–349. [Google Scholar] [CrossRef]
- Olivoto, T.; Lucio, A.D.C.; da Silva, J.A.G.; Marchioro, V.S.; de Souza, V.Q.; Jost, E. Mean performance and stability in multi-environment trials I: Combining features of AMMI and BLUP techniques. Agron. J. 2019, 111, 1–12. [Google Scholar] [CrossRef]
- Ayaz, A.; Huang, H.; Zheng, M.; Zaman, W.; Li, D.; Saqib, S.; Zhao, H.; Lü, S. Molecular Cloning and Functional Analysis of GmLACS2-3 Reveals Its Involvement in Cutin and Suberin Biosynthesis along with Abiotic Stress Tolerance. Int. J. Mol. Sci. 2021, 22, 9175. [Google Scholar] [CrossRef] [PubMed]
- Naeem, M.; Muqarab, R.; Waseem, M. The Solanum melongena COP1 delays fruit ripening and influences ethylene signaling in tomato. J. Plant Physiol. 2019, 240, 152997. [Google Scholar] [CrossRef]
- Ullah, F.; Gao, Y.; Sari, İ.; Jiao, R.-F.; Saqib, S.; Gao, X.-F. Macro-Morphological and Ecological Variation in Rosa sericea Complex. Agronomy 2022, 12, 1078. [Google Scholar] [CrossRef]
- Aarthi, S.; Suresh, J.; Leela, N.K.; Prasath, D. Multi environment testing reveals genotype-environment interaction for curcuminoids in turmeric (Curcuma longa L.). Ind. Crops Prod. 2020, 145, 112090. [Google Scholar] [CrossRef]
- Anandaraj, M.; Prasath, D.; Kandiannan, K.; Zachariah, T.J.; Srinivasan, V.; Jha, A.K.; Singh, B.K.; Singh, A.K.; Pandey, V.P.; Singh, S.P.; et al. Genotype by environment interaction effects on yield and curcumin in turmeric (Curcuma longa L.). Ind. Crops Prod. 2014, 53, 358–364. [Google Scholar] [CrossRef]
- Aulia, R.; Maulana, H.; Filio, Y.L.; Shafira, N.A.; Anindita, P.A.; Suganda, T.; Concibido, V.; Karuniawan, A. Assessment of rhizome yield of local Indonesian turmeric (Curcuma longa L.) during two growing seasons. Biodiversitas 2022, 23, 2534–2543. [Google Scholar] [CrossRef]
- Chapagain, T.R.; Timilsina, A.P.; Sharma, S.; Daha, K.M.; Ahamad, S. Evaluation of Turmeric (Curcuma longa L) genotypes for growth and yield attributes in plains of Eastern Nepal. Asian J. Agric. Res. 2021, 8, 57–64. [Google Scholar] [CrossRef]
- Tiwari, V.; Shankar, D.; Singh, D.P. Comparison of tikhur genotype by using GGE Biplot. J. Pharmacogn. Phytochem. 2019, 8, 1470–1473. [Google Scholar]
- Abua, M.N.; Iwo, G.A.; Ittah, M.A.; Obok, E.E.; Edugbo, R.E. GGE biplot analysis of multi-location yield trial of ginger (Zingiber officinale Rosc.) genotypes in South-Eastern, Nigeria. Asian J. Agric. Rural Dev. 2020, 10, 485–503. [Google Scholar]
- Das, T.T.; Pradeepkumar, T.; Mayadevi, P.; Aiepe, K.C.; Kumaran, K. Stability analysis of ginger (Zingiber officinale Rosc). J. Spices Aromat. Crops 2000, 9, 165–167. [Google Scholar]
- Singh, A.P.; Ojha, M.D.; Pandey, V.P.; Kumar, V. Genotypic x Environment interaction and stability analysis in Turmeric (Curcuma longa L.). Int. J. Curr. Microbiol. App. Sci. 2020, 9, 2656–2663. [Google Scholar] [CrossRef]
- Suryani, S.; Al Anshory, A.C.; Marlin, M.; Artika, I.M.; Ambarsari, L.; Nurcholis, W. Variability total phenolic content and antioxidant activity of Curcuma zanthorrhiza and C. aeruginosa cultivated in three different locations in West Java, Indonesia. Biodiversitas 2022, 23, 1998–2003. [Google Scholar] [CrossRef]
- Mehta, K.G.; Patel, R.H. Stability parameters for rhizome yield in Curcuma longa. Ind. Cocoa, Arecanut Spices J. 1983, 6, 77–80. [Google Scholar]
- Singh, J.P.; Singh, M.K.; Singh, P.K.; Singh, R.D. Phenotypic stability in turmeric (Curcuma longa L.). Ind. J. Arecanut Spices Med. Plants 1995, 19, 40–42. [Google Scholar]
- Mishra, R.; Gupta, A.K.; Lal, R.K. Genotype x environment interaction, stability analysis for yield and quality traits in turmeric (Curcuma longa L.). Trends Phytochem. Res. 2020, 4, 219–234. [Google Scholar]







| Traits | Mean | SE | SD | CV | MinENV | MaxENV | MinGEN | MaxGEN |
|---|---|---|---|---|---|---|---|---|
| PH | 130.28 | 0.37 | 6.41 | 4.93 | E6 (128.17) | E9 (133.53) | KH-2 (125.68) | Check (133.48) |
| TPP | 5.36 | 0.07 | 1.17 | 21.76 | E9 (5.13) | E3 (5.73) | KH-120 (4.84) | KH-71 (5.78) |
| LL | 46.41 | 0.23 | 3.9 | 8.41 | E5 (45.52) | E6 (48.78) | Check (43.67) | KH-2 (48.58) |
| DRR | 20.42 | 0.19 | 3.32 | 16.29 | E6 (19.13) | E4 (21.8) | KH-58 (18.74) | KH-2 (25.92) |
| FRY | 19.85 | 0.19 | 3.36 | 16.98 | E3 (19.23) | E9 (20.52) | KH-100 (18.06) | KH-2 (26.23) |
| EO | 0.61 | 0.01 | 0.13 | 21.05 | E7 (0.57) | E9 (0.66) | Check (0.42) | KH-2 (0.8) |
| Source | DF | PH | TPP | LL | DRR | FRY | EO |
|---|---|---|---|---|---|---|---|
| Total | 59 | 68.87 | 2.12 | 35.28 | 39.30 | 46.89 | 0.08 |
| GEN | 5 | 342.63 *** | 5.31 *** | 157.91 *** | 370.12 *** | 495.60 *** | 0.78 *** |
| ENV + (GEN × ENV) | 54 | 43.52 | 1.82 | 23.93 | 8.66 | 5.34 | 0.01 |
| ENV (linear) | 1 | 776.14 | 9.16 | 242.96 | 150.14 | 54.60 | 0.20 |
| GEN × ENV (linear) | 5 | 45.50 | 4.87 ** | 37.88 | 16.68 ** | 8.74 * | 0.01 * |
| Pooled deviation | 48 | 28.05 | 1.35 | 17.91 | 4.88 | 3.97 | 0.01 |
| Check | 8 | 6.80 | 1.97 | 24.34 * | 8.42 | 5.42 * | 0.02 *** |
| KH-100 | 8 | 36.73 | 1.26 | 19.23 | 5.70 | 2.95 | 0.01 *** |
| KH-120 | 8 | 18.86 | 1.44 | 20.80 | 1.83 | 6.70 * | 0.00 |
| KH-2 | 8 | 22.61 | 1.65 | 9.46 | 1.04 | 1.92 | 0.00 |
| KH-58 | 8 | 15.19 | 1.04 | 22.52 * | 5.02 | 1.30 | 0.00 * |
| KH-71 | 8 | 68.11 | 0.75 | 11.12 | 7.27 | 5.51 * | 0.00 |
| Pooled error | 200 | 35.51 | 1.14 | 10.72 | 4.29 | 2.63 | 0.00 |
| Total | 59 | 68.87 | 2.12 | 35.28 | 39.30 | 46.89 | 0.08 |
| GEN | DRR | FRY | EO | ||||||
|---|---|---|---|---|---|---|---|---|---|
| b0 | bi | s2di | b0 | bi | s2di | b0 | bi | s2di | |
| KH-2 | 25.92 | 1.01 | −0.65 | 26.33 | 0.76 | −0.14 | 0.80 | 1.11 | 0.00 |
| KH-58 | 18.74 | 0.10 * | 0.15 | 18.83 | 2.56 *** | −0.27 | 0.57 | 0.20 *** | 0.00 * |
| KH-71 | 19.56 | 1.49 | 0.60 | 18.25 | 0.85 | 0.57 * | 0.67 | 1.22 | 0.00 |
| KH-100 | 19.10 | 0.61 | 0.28 | 18.06 | 0.01 | 0.06 | 0.59 | 1.20 | 0.00 *** |
| KH-120 | 19.34 | 0.45 | −0.49 | 18.79 | 1.71 | 0.81 * | 0.62 | 1.54 * | 0.00 |
| Check | 19.88 | 2.35 *** | 0.83 | 18.92 | 0.12 | 0.56 * | 0.42 | 0.72 | 0.00 *** |
| Source | DF | PH | TPP | LL | DRR | FRY | EO |
|---|---|---|---|---|---|---|---|
| ENV | 9 | 86.24 ** | 1.02 | 27.00 *** | 16.68 *** | 6.07 * | 0.02 *** |
| REP(ENV) | 40 | 28.90 | 1.38 | 8.28 | 3.33 | 2.52 | 0.00 |
| GEN | 5 | 342.63 *** | 5.31 *** | 157.91 *** | 370.12 *** | 495.60 *** | 0.78 *** |
| GEN:ENV | 45 | 34.98 | 1.98 ** | 23.31 *** | 7.06 ** | 5.20 *** | 0.01 *** |
| PC1 | 13 | 80.09 ** | 3.34 *** | 33.48 *** | 13.10 *** | 7.05 *** | 0.02 *** |
| PC2 | 11 | 21.57 | 2.47 * | 29.51 *** | 8.79 * | 5.47 * | 0.00 * |
| PC3 | 9 | 17.33 | 1.04 | 19.86 | 3.40 | 5.12 * | 0.00 * |
| PC4 | 7 | 16.96 | 0.98 | 11.01 | 1.68 | 3.42 | 0.00 |
| PC5 | 5 | 4.18 | 0.50 | 6.70 | 1.67 | 2.46 | 0.00 |
| Residuals | 200 | 35.51 | 1.14 | 10.72 | 4.29 | 2.63 | 0.00 |
| Total | 344 | 40.40 | 1.44 | 16.30 | 10.54 | 10.55 | 0.02 |
Publisher’s Note: MDPI stays neutral with regard to jurisdictional claims in published maps and institutional affiliations. |
© 2022 by the authors. Licensee MDPI, Basel, Switzerland. This article is an open access article distributed under the terms and conditions of the Creative Commons Attribution (CC BY) license (https://creativecommons.org/licenses/by/4.0/).
Share and Cite
Lal, M.; Munda, S.; Begum, T.; Gupta, T.; Paw, M.; Chanda, S.K.; Lekhak, H. Identification and Registration for High-Yielding Strain through ST and MLT of Curcuma caesia Roxb. (Jor Lab KH-2): A High-Value Medicinal Plant. Genes 2022, 13, 1807. https://doi.org/10.3390/genes13101807
Lal M, Munda S, Begum T, Gupta T, Paw M, Chanda SK, Lekhak H. Identification and Registration for High-Yielding Strain through ST and MLT of Curcuma caesia Roxb. (Jor Lab KH-2): A High-Value Medicinal Plant. Genes. 2022; 13(10):1807. https://doi.org/10.3390/genes13101807
Chicago/Turabian StyleLal, Mohan, Sunita Munda, Twahira Begum, Tanmita Gupta, Manabi Paw, Sanjoy Kumar Chanda, and Himangshu Lekhak. 2022. "Identification and Registration for High-Yielding Strain through ST and MLT of Curcuma caesia Roxb. (Jor Lab KH-2): A High-Value Medicinal Plant" Genes 13, no. 10: 1807. https://doi.org/10.3390/genes13101807
APA StyleLal, M., Munda, S., Begum, T., Gupta, T., Paw, M., Chanda, S. K., & Lekhak, H. (2022). Identification and Registration for High-Yielding Strain through ST and MLT of Curcuma caesia Roxb. (Jor Lab KH-2): A High-Value Medicinal Plant. Genes, 13(10), 1807. https://doi.org/10.3390/genes13101807

