Utility of EFEMP1 in the Prediction of Oncologic Outcomes of Urothelial Carcinoma
Abstract
1. Introduction
2. Materials and Methods
2.1. Data Mining
2.2. Collection of Patient Data and Tissues
2.3. Quantitative RT-PCR
2.4. Immunohistochemistry
2.5. Ingenuity Pathway Analysis (IPA)
2.6. Statistical Analysis
3. Results
3.1. Identification of the Top 10 Upregulated Genes Associated with Muscle Invasion and Distant Metastasis in the UBUC Transcriptome
3.2. Demographic Characteristics of our Cohort
3.3. Correlations between EFEMP1Protein Levels and Important Clinicopathological Parameters
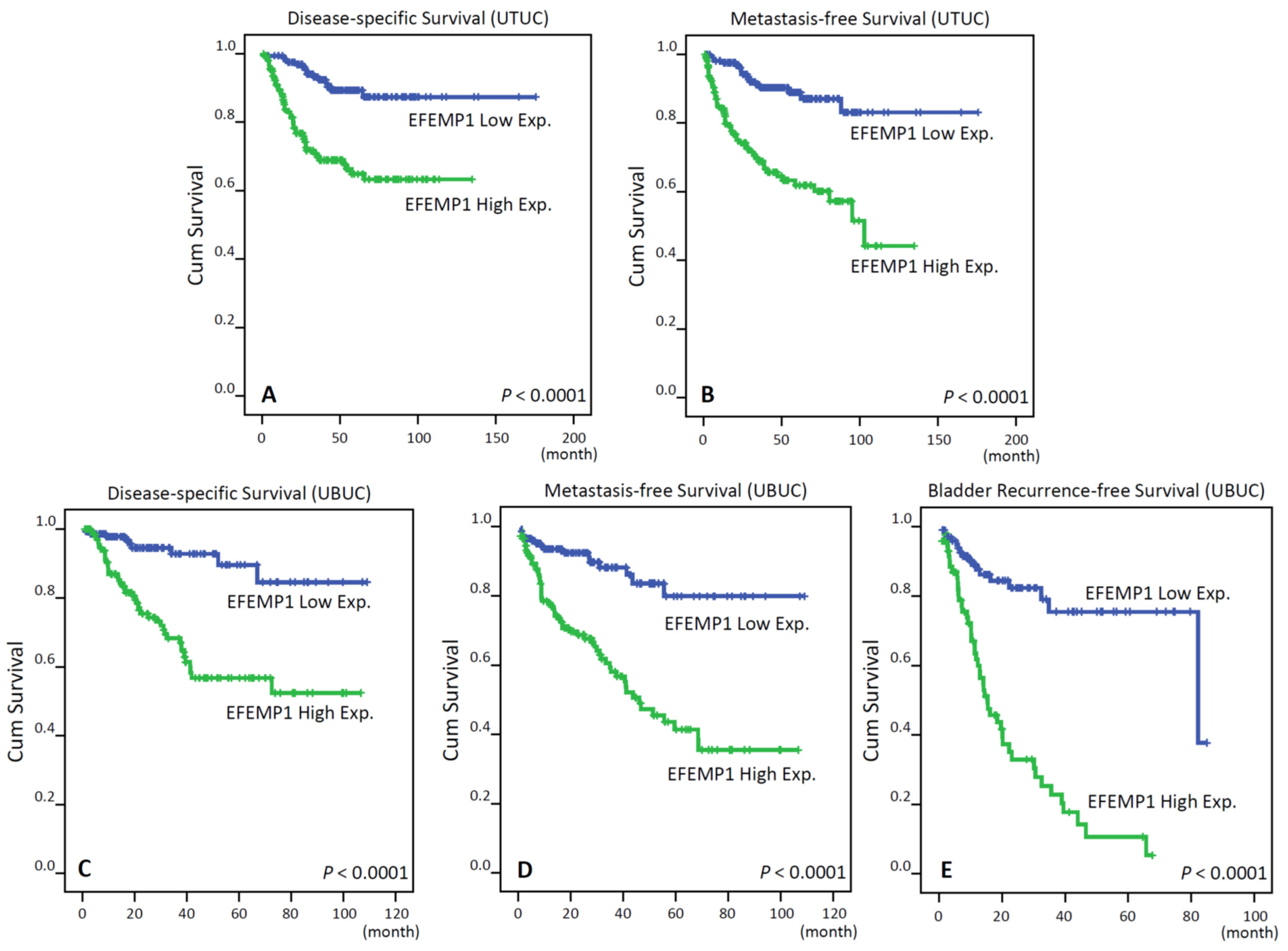
3.4. Prognostic and Survival Impacts of EFEMP1 Expression
3.5. Functional Enrichment Analysis of Dysregulated EFEMP1
4. Discussion
5. Conclusions
Supplementary Materials
Author Contributions
Funding
Institutional Review Board Statement
Informed Consent Statement
Data Availability Statement
Conflicts of Interest
References
- Roupret, M.; Babjuk, M.; Burger, M.; Capoun, O.; Cohen, D.; Comperat, E.M.; Cowan, N.C.; Dominguez-Escrig, J.L.; Gontero, P.; Hugh Mostafid, A.; et al. European Association of Urology Guidelines on Upper Urinary Tract Urothelial Carcinoma: 2020 Update. Eur. Urol. 2021, 79, 62–79. [Google Scholar] [CrossRef]
- Taylor, J.; Becher, E.; Steinberg, G.D. Update on the guideline of guidelines: Non-muscle-invasive bladder cancer. BJU Int. 2020, 125, 197–205. [Google Scholar] [CrossRef]
- Witjes, J.A.; Bruins, H.M.; Cathomas, R.; Comperat, E.M.; Cowan, N.C.; Gakis, G.; Hernandez, V.; Linares Espinos, E.; Lorch, A.; Neuzillet, Y.; et al. European Association of Urology Guidelines on Muscle-invasive and Metastatic Bladder Cancer: Summary of the 2020 Guidelines. Eur. Urol. 2021, 79, 82–104. [Google Scholar] [CrossRef] [PubMed]
- Kluth, L.A.; Black, P.C.; Bochner, B.H.; Catto, J.; Lerner, S.P.; Stenzl, A.; Sylvester, R.; Vickers, A.J.; Xylinas, E.; Shariat, S.F. Prognostic and Prediction Tools in Bladder Cancer: A Comprehensive Review of the Literature. Eur. Urol. 2015, 68, 238–253. [Google Scholar] [CrossRef]
- Lughezzani, G.; Burger, M.; Margulis, V.; Matin, S.F.; Novara, G.; Roupret, M.; Shariat, S.F.; Wood, C.G.; Zigeuner, R. Prognostic factors in upper urinary tract urothelial carcinomas: A comprehensive review of the current literature. Eur. Urol. 2012, 62, 100–114. [Google Scholar] [CrossRef] [PubMed]
- Zhang, Y.; Marmorstein, L.Y. Focus on molecules: Fibulin-3 (EFEMP1). Exp. Eye Res. 2010, 90, 374–375. [Google Scholar] [CrossRef] [PubMed]
- De Vega, S.; Iwamoto, T.; Yamada, Y. Fibulins: Multiple roles in matrix structures and tissue functions. Cell Mol. Life Sci. 2009, 66, 1890–1902. [Google Scholar] [CrossRef] [PubMed]
- Hu, B.; Nandhu, M.S.; Sim, H.; Agudelo-Garcia, P.A.; Saldivar, J.C.; Dolan, C.E.; Mora, M.E.; Nuovo, G.J.; Cole, S.E.; Viapiano, M.S. Fibulin-3 promotes glioma growth and resistance through a novel paracrine regulation of Notch signaling. Cancer Res. 2012, 72, 3873–3885. [Google Scholar] [CrossRef]
- Wang, Z.; Cao, C.J.; Huang, L.L.; Ke, Z.F.; Luo, C.J.; Lin, Z.W.; Wang, F.; Zhang, Y.Q.; Wang, L.T. EFEMP1 promotes the migration and invasion of osteosarcoma via MMP-2 with induction by AEG-1 via NF-kappaB signaling pathway. Oncotarget 2015, 6, 14191–14208. [Google Scholar] [CrossRef]
- Camaj, P.; Seeliger, H.; Ischenko, I.; Krebs, S.; Blum, H.; De Toni, E.N.; Faktorova, D.; Jauch, K.W.; Bruns, C.J. EFEMP1 binds the EGF receptor and activates MAPK and Akt pathways in pancreatic carcinoma cells. Biol. Chem. 2009, 390, 1293–1302. [Google Scholar] [CrossRef] [PubMed]
- Jiang, Z.; Shen, W.; Ying, S.; Gao, Z.; He, X.; Chen, R.; Xia, H.; Guo, X.; Fang, Y.; Zhang, Y.; et al. Overexpression of fibulin-3 in tumor tissue predicts poor survival of malignant mesothelioma patients from hand-spinning asbestos exposed area in eastern China. Sci. Rep. 2020, 10, 20373. [Google Scholar] [CrossRef]
- Jann, J.C.; Streuer, A.; Hecht, A.; Nolte, F.; Nowak, V.; Danner, J.; Obländer, J.; Palme, I.; Lengfelder, E.; Platzbecker, U.; et al. RNA-sequencing of acute promyelocytic leukemia primary blasts reveals novel molecular biomarkers of early death events. Leuk. Lymphoma 2020, 61, 3066–3077. [Google Scholar] [CrossRef]
- Wang, Z.; Kang, J.; Lian, J.; Huang, L.; Xie, W.; Zhao, D.; Ma, H.; Lin, Z. EFEMP1 as a Potential Biomarker for Diagnosis and Prognosis of Osteosarcoma. BioMed Res. Int. 2020, 2020, 5264265. [Google Scholar] [CrossRef]
- Sadr-Nabavi, A.; Ramser, J.; Volkmann, J.; Naehrig, J.; Wiesmann, F.; Betz, B.; Hellebrand, H.; Engert, S.; Seitz, S.; Kreutzfeld, R.; et al. Decreased expression of angiogenesis antagonist EFEMP1 in sporadic breast cancer is caused by aberrant promoter methylation and points to an impact of EFEMP1 as molecular biomarker. Int. J. Cancer 2009, 124, 1727–1735. [Google Scholar] [CrossRef]
- Almeida, M.; Costa, V.L.; Costa, N.R.; Ramalho-Carvalho, J.; Baptista, T.; Ribeiro, F.R.; Paulo, P.; Teixeira, M.R.; Oliveira, J.; Lothe, R.A.; et al. Epigenetic regulation of EFEMP1 in prostate cancer: Biological relevance and clinical potential. J. Cell. Mol. Med. 2014, 18, 2287–2297. [Google Scholar] [CrossRef] [PubMed]
- Yue, W.; Dacic, S.; Sun, Q.; Landreneau, R.; Guo, M.; Zhou, W.; Siegfried, J.M.; Yu, J.; Zhang, L. Frequent inactivation of RAMP2, EFEMP1 and Dutt1 in lung cancer by promoter hypermethylation. Clin. Cancer Res. 2007, 13, 4336–4344. [Google Scholar] [CrossRef]
- Mao, H.Y.; Liu, S.P.; Kong, G.M.; Xu, Y.; Xu, Y.C.; Sun, G.Z.; Wang, Z.; Han, F.; Tong, J.D.; Bo, P. FBLN3 inhibited the invasion and metastasis of colorectal cancer through the AKT/mTOR pathway. Neoplasma 2019, 66, 336–342. [Google Scholar] [CrossRef] [PubMed]
- Hu, J.; Duan, B.; Jiang, W.; Fu, S.; Gao, H.; Lu, L. Epidermal growth factor-containing fibulin-like extracellular matrix protein 1 (EFEMP1) suppressed the growth of hepatocellular carcinoma cells by promoting Semaphorin 3B(SEMA3B). Cancer Med. 2019, 8, 3152–3166. [Google Scholar] [CrossRef] [PubMed]
- Riester, M.; Taylor, J.M.; Feifer, A.; Koppie, T.; Rosenberg, J.E.; Downey, R.J.; Bochner, B.H.; Michor, F. Combination of a novel gene expression signature with a clinical nomogram improves the prediction of survival in high-risk bladder cancer. Clin. Cancer Res. 2012, 18, 1323–1333. [Google Scholar] [CrossRef]
- Li, C.F.; Wu, W.R.; Chan, T.C.; Wang, Y.H.; Chen, L.R.; Wu, W.J.; Yeh, B.W.; Liang, S.S.; Shiue, Y.L. Transmembrane and Coiled-Coil Domain 1 Impairs the AKT Signaling Pathway in Urinary Bladder Urothelial Carcinoma: A Characterization of a Tumor Suppressor. Clin. Cancer Res. 2017, 23, 7650–7663. [Google Scholar] [CrossRef]
- Chan, T.C.; Wu, W.J.; Li, W.M.; Shiao, M.S.; Shiue, Y.L.; Li, C.F. SLC14A1 prevents oncometabolite accumulation and recruits HDAC1 to transrepress oncometabolite genes in urothelial carcinoma. Theranostics 2020, 10, 11775–11793. [Google Scholar] [CrossRef]
- Li, W.M.; Huang, C.N.; Ke, H.L.; Li, C.C.; Wei, Y.C.; Yeh, H.C.; Chang, L.L.; Huang, C.H.; Liang, P.I.; Yeh, B.W.; et al. MCM10 overexpression implicates adverse prognosis in urothelial carcinoma. Oncotarget 2016, 7, 77777–77792. [Google Scholar] [CrossRef]
- Giltay, R.; Timpl, R.; Kostka, G. Sequence, recombinant expression and tissue localization of two novel extracellular matrix proteins, fibulin-3 and fibulin-4. Matrix Biol. 1999, 18, 469–480. [Google Scholar] [CrossRef]
- Lecka-Czernik, B.; Moerman, E.J.; Jones, R.A.; Goldstein, S. Identification of gene sequences overexpressed in senescent and Werner syndrome human fibroblasts. Exp. Gerontol. 1996, 31, 159–174. [Google Scholar] [CrossRef]
- Stone, E.M.; Lotery, A.J.; Munier, F.L.; Heon, E.; Piguet, B.; Guymer, R.H.; Vandenburgh, K.; Cousin, P.; Nishimura, D.; Swiderski, R.E.; et al. A single EFEMP1 mutation associated with both Malattia Leventinese and Doyne honeycomb retinal dystrophy. Nat. Genet. 1999, 22, 199–202. [Google Scholar] [CrossRef]
- Wood, A.R.; Esko, T.; Yang, J.; Vedantam, S.; Pers, T.H.; Gustafsson, S.; Chu, A.Y.; Estrada, K.; Luan, J.; Kutalik, Z.; et al. Defining the role of common variation in the genomic and biological architecture of adult human height. Nat. Genet. 2014, 46, 1173–1186. [Google Scholar] [CrossRef] [PubMed]
- Wiberg, A.; Ng, M.; Schmid, A.B.; Smillie, R.W.; Baskozos, G.; Holmes, M.V.; Kunnapuu, K.; Magi, R.; Bennett, D.L.; Furniss, D. A genome-wide association analysis identifies 16 novel susceptibility loci for carpal tunnel syndrome. Nat. Commun. 2019, 10, 1030. [Google Scholar] [CrossRef]
- Jorgenson, E.; Makki, N.; Shen, L.; Chen, D.C.; Tian, C.; Eckalbar, W.L.; Hinds, D.; Ahituv, N.; Avins, A. A genome-wide association study identifies four novel susceptibility loci underlying inguinal hernia. Nat. Commun. 2015, 6, 10130. [Google Scholar] [CrossRef] [PubMed]
- van den Bosch, S.; Alfred Witjes, J. Long-term cancer-specific survival in patients with high-risk, non-muscle-invasive bladder cancer and tumour progression: A systematic review. Eur. Urol. 2011, 60, 493–500. [Google Scholar] [CrossRef] [PubMed]
- Dominguez-Escrig, J.L.; Peyronnet, B.; Seisen, T.; Bruins, H.M.; Yuan, C.Y.; Babjuk, M.; Bohle, A.; Burger, M.; Comperat, E.M.; Gontero, P.; et al. Potential Benefit of Lymph Node Dissection During Radical Nephroureterectomy for Upper Tract Urothelial Carcinoma: A Systematic Review by the European Association of Urology Guidelines Panel on Non-muscle-invasive Bladder Cancer. Eur. Urol. Focus 2019, 5, 224–241. [Google Scholar] [CrossRef]
- Wang, S.; Zhang, D.; Han, S.; Gao, P.; Liu, C.; Li, J.; Pan, X. Fibulin-3 promotes osteosarcoma invasion and metastasis by inducing epithelial to mesenchymal transition and activating the Wnt/beta-catenin signaling pathway. Sci. Rep. 2017, 7, 6215. [Google Scholar] [CrossRef] [PubMed]
- Nandhu, M.S.; Hu, B.; Cole, S.E.; Erdreich-Epstein, A.; Rodriguez-Gil, D.J.; Viapiano, M.S. Novel paracrine modulation of Notch-DLL4 signaling by fibulin-3 promotes angiogenesis in high-grade gliomas. Cancer Res. 2014, 74, 5435–5448. [Google Scholar] [CrossRef] [PubMed]
- Lei, D.; Zhang, F.; Yao, D.; Xiong, N.; Jiang, X.; Zhao, H. MiR-338-5p suppresses proliferation, migration, invasion, and promote apoptosis of glioblastoma cells by directly targeting EFEMP1. Biomed. Pharmacother. 2017, 89, 957–965. [Google Scholar] [CrossRef]
- Nandhu, M.S.; Kwiatkowska, A.; Bhaskaran, V.; Hayes, J.; Hu, B.; Viapiano, M.S. Tumor-derived fibulin-3 activates pro-invasive NF-kappaB signaling in glioblastoma cells and their microenvironment. Oncogene 2017, 36, 4875–4886. [Google Scholar] [CrossRef] [PubMed]
- Nandhu, M.S.; Behera, P.; Bhaskaran, V.; Longo, S.L.; Barrera-Arenas, L.M.; Sengupta, S.; Rodriguez-Gil, D.J.; Chiocca, E.A.; Viapiano, M.S. Development of a Function-Blocking Antibody Against Fibulin-3 as a Targeted Reagent for Glioblastoma. Clin. Cancer Res. 2018, 24, 821–833. [Google Scholar] [CrossRef] [PubMed]



| Probe | Comparing MIBC vs. NMIBC | Comparing Meta. vs. Non-Meta | Gene Symbol | Gene Title | Biological Process | ||
|---|---|---|---|---|---|---|---|
| Log Ratio | p-Value | Log Ratio | p-Value | ||||
| 201842_s_at | 2.6528 | <0.0001 | 1.6061 | <0.0001 | EFEMP1 | EGF-containing fibulin-like extracellular matrix protein 1 | visual perception |
| 211959_at | 2.6399 | <0.0001 | 1.4678 | <0.0001 | IGFBP5 | insulin-like growth factor binding protein 5 | regulation of cell growth, signal transduction |
| 212681_at | 1.0972 | 0.0001 | 1.2658 | <0.0001 | EPB41L3 | erythrocyte membrane protein band 4.1-like 3 | cortical actin cytoskeleton organization and biogenesis |
| 212671_s_at | 1.2227 | 0.0078 | 1.2396 | 0.0004 | HLA-DQA1 | major histocompatibility complex; class II; DQ α 1, major histocompatibility complex; class II; DQ α 2, similar to HLA class II histocompatibility antigen; DQ(1) α chain precursor (DC-4 α chain) | antigen processing and presentation, antigen processing and presentation of peptide or polysaccharide antigen via MHC class II, immune response |
| 201843_s_at | 1.8283 | <0.0001 | 1.2326 | <0.0001 | EFEMP1 | EGF-containing fibulin-like extracellular matrix protein 1 | visual perception |
| 205713_s_at | 1.8386 | <0.0001 | 1.1823 | 0.0001 | COMP | cartilage oligomeric matrix protein | cell adhesion, organ morphogenesis, skeletal development |
| 202437_s_at | 1.9076 | <0.0001 | 1.1659 | 0.0007 | CYP1B1 | cytochrome P450; family 1; subfamily B; polypeptide 1 | electron transport, visual perception |
| 1555778_a_at | 3.5717 | <0.0001 | 1.1149 | 0.003 | POSTN | periostin; osteoblast specific factor | cell adhesion, skeletal development |
| 210809_s_at | 3.8134 | <0.0001 | 1.084 | 0.0079 | POSTN | periostin; osteoblast specific factor | cell adhesion, skeletal development |
| 203424_s_at | 1.1435 | 0.0001 | 1.0825 | <0.0001 | IGFBP5 | insulin-like growth factor binding protein 5 | regulation of cell growth, signal transduction |
| 204457_s_at | 3.315 | <0.0001 | 1.0793 | 0.005 | GAS1 | growth arrest-specific 1 | cell cycle, cell cycle arrest, negative regulation of S phase of mitotic cell cycle, negative regulation of cell proliferation, programmed cell death |
| 223121_s_at | 2.1375 | <0.0001 | 1.0374 | 0.0019 | SFRP2 | secreted frizzled-related protein 2 | Wnt receptor signaling pathway, anterior/posterior pattern formation, cell differentiation, multicellular organismal development, somitogenesis |
| 209550_at | 0.7821 | 0.0044 | 1.0228 | <0.0001 | NDN | necdin homolog (mouse) | axon extension involved in development, axonal fasciculation, axonogenesis, central nervous system development, glial cell migration, negative regulation of cell proliferation, nerve growth factor receptor signaling pathway, nervous system development, neuron development, neuron migration, regulation of cell growth, regulation of progression through cell cycle, regulation of transcription; DNA-dependent, respiratory gaseous exchange, sensory perception of pain, transcription |
| Parameter | Category | Upper Urinary Tract Urothelial Carcinoma | Urinary Bladder Urothelial Carcinoma | ||||||
|---|---|---|---|---|---|---|---|---|---|
| Case No. | EFEMP1 Expression | p-Value | Case No. | EFEMP1 Expression | p-Value | ||||
| Low | High | Low | High | ||||||
| Gender | Male | 158 | 75 | 83 | 0.284 | 216 | 106 | 110 | 0.667 |
| Female | 182 | 95 | 87 | 79 | 41 | 38 | |||
| Age (years) | <65 | 138 | 76 | 62 | 0.122 | 121 | 60 | 61 | 0.944 |
| ≥65 | 202 | 94 | 108 | 174 | 87 | 97 | |||
| Tumor location | Renal pelvis | 141 | 61 | 80 | 0.018 * | - | - | - | - |
| Ureter | 150 | 88 | 62 | - | - | - | - | ||
| Renal pelvis & ureter | 49 | 21 | 28 | - | - | - | - | ||
| Multifocality | Single | 278 | 143 | 135 | 0.261 | - | - | - | - |
| Multifocal | 62 | 27 | 35 | - | - | - | - | ||
| Primary tumor (T) | Ta | 89 | 70 | 19 | <0.001 * | 84 | 59 | 25 | <0.001 * |
| T1 | 92 | 54 | 38 | 88 | 41 | 47 | |||
| T2-T4 | 159 | 46 | 113 | 123 | 47 | 76 | |||
| Nodal metastasis | Negative (N0) | 312 | 166 | 146 | <0.001 * | 266 | 141 | 125 | 0.001* |
| Positive (N1-N2) | 28 | 4 | 24 | 29 | 6 | 23 | |||
| Histological grade | Low grade | 56 | 39 | 17 | 0.001 * | 56 | 41 | 15 | <0.001 * |
| High grade | 284 | 131 | 153 | 239 | 106 | 133 | |||
| Vascular invasion | Absent | 234 | 138 | 96 | <0.001 * | 246 | 134 | 112 | <0.001 * |
| Present | 106 | 32 | 74 | 49 | 13 | 36 | |||
| Perineural invasion | Absent | 321 | 164 | 157 | 0.098 | 275 | 142 | 133 | 0.021 * |
| Present | 19 | 6 | 13 | 20 | 5 | 15 | |||
| Mitotic rate (per 10 high power fields) | <10 | 173 | 96 | 77 | 0.039 * | 139 | 92 | 47 | <0.001 * |
| ≥10 | 167 | 74 | 93 | 156 | 55 | 101 | |||
| Parameter | Category | Case No. | Disease-Specific Survival | Metastasis-Free Survival | ||||||||
|---|---|---|---|---|---|---|---|---|---|---|---|---|
| Univariate Analysis | Multivariate Analysis | Univariate Analysis | Multivariate Analysis | |||||||||
| No. of Event | p-Value | R.R. | 95% C.I. | p-Value | No. of Event | p-Value | R.R. | 95% C.I. | p-Value | |||
| Gender | Male | 158 | 28 | 0.8286 | - | - | - | 32 | 0.7904 | - | - | - |
| Female | 182 | 33 | - | - | - | 38 | - | - | - | |||
| Age (years) | <65 | 138 | 26 | 0.9943 | - | - | - | 30 | 0.8470 | - | - | - |
| ≥65 | 202 | 35 | - | - | - | 40 | - | - | - | |||
| Tumor side | Right | 177 | 34 | 0.7366 | - | - | - | 38 | 0.3074 | - | - | - |
| Left | 154 | 26 | - | - | - | 32 | - | - | - | |||
| Bilateral | 9 | 1 | - | - | - | 0 | - | - | - | |||
| Tumor location | Renal pelvis | 141 | 24 | 0.0079 * | 1 | - | 0.817 | 31 | 0.0659 | - | - | - |
| Ureter | 150 | 22 | 0.948 | 0.511–1.760 | 25 | - | - | - | ||||
| Renal pelvis& ureter | 49 | 15 | 1.461 | 0.406–5.258 | 14 | - | - | - | ||||
| Multifocality | Single | 273 | 48 | 0.0026 * | 1 | - | 0.217 | 52 | 0.0127 * | 1 | - | <0.001 * |
| Multifocal | 62 | 18 | 2.152 | 0.638–7.260 | 18 | 2.135 | 1.400–3.257 | |||||
| Primary tumor (T) | Ta | 89 | 2 | <0.0001 * | 1 | - | 0.234 | 4 | <0.0001 * | 1 | - | 0.487 |
| T1 | 92 | 9 | 3.293 | 0.702–15.446 | 15 | 1.286 | 0.714–2.317 | |||||
| T2-T4 | 159 | 50 | 3.784 | 0.816–17.543 | 51 | 0.946 | 0.487–1.836 | |||||
| Nodal metastasis | Negative (N0) | 312 | 42 | <0.0001 * | 1 | - | <0.001 * | 55 | <0.0001 * | 1 | - | <0.001 * |
| Positive (N1–N2) | 28 | 19 | 5.223 | 2.818–9.678 | 15 | 3.064 | 1.827–5.139 | |||||
| Histological grade | Low grade | 56 | 4 | 0.0215 * | 1 | - | 0.015 * | 3 | 0.0027 * | 1 | - | 0.057 |
| High grade | 284 | 57 | 3.376 | 1.268–8.988 | 67 | 1.641 | 0.986–2.733 | |||||
| Vascular invasion | Absent | 234 | 24 | <0.0001 * | 1 | - | 0.200 | 26 | <0.0001 * | 1 | - | 0.066 |
| Present | 106 | 37 | 1.491 | 0.809–2.747 | 44 | 1.559 | 0.971–2.502 | |||||
| Perineural invasion | Absent | 321 | 50 | <0.0001 * | 1 | - | <0.001 * | 61 | <0.0001 * | 1 | - | <0.001 * |
| Present | 19 | 11 | 4.682 | 2.225–9.951 | 9 | 3.344 | 1.824–6.133 | |||||
| Mitotic rate (per 10 high power fields) | <10 | 173 | 27 | 0.167 | - | - | 30 | 0.0823 | - | - | ||
| ≥10 | 167 | 34 | - | - | 40 | - | - | |||||
| EFEMP1 expression | Low | 170 | 15 | <0.0001 * | 1 | - | 0.014 * | 17 | <0.0001 * | 1 | - | 0.005 * |
| High | 170 | 46 | 2.233 | 1.179–4.230 | 53 | 1.821 | 1.204–2.756 | |||||
| Parameter | Category | Case No. | Disease-Specific Survival | Metastasis-Free Survival | ||||||||
|---|---|---|---|---|---|---|---|---|---|---|---|---|
| Univariate Analysis | Multivariate Analysis | Univariate Analysis | Multivariate Analysis | |||||||||
| No. of Event | p-Value | R.R. | 95% C.I. | p-Value | No. of Event | p-Value | R.R. | 95% C.I. | p-Value | |||
| Gender | Male | 216 | 41 | 0.4446 | - | - | - | 60 | 0.2720 | - | - | - |
| Female | 79 | 11 | - | - | - | 16 | - | - | - | |||
| Age (years) | <65 | 121 | 17 | 0.1136 | - | - | - | 31 | 0.6875 | - | - | - |
| ≥65 | 174 | 35 | - | - | - | 45 | - | - | - | |||
| Primary tumor (T) | Ta | 84 | 1 | <0.0001 * | 1 | - | <0.001 * | 4 | <0.0001 * | 1 | - | <0.001 * |
| T1 | 88 | 9 | 5.708 | 0.595–54.724 | 23 | 4.737 | 1.345–16.687 | |||||
| T2-T4 | 123 | 42 | 31.404 | 3.479–283.451 | 49 | 8.993 | 2.573–31.433 | |||||
| Nodal metastasis | Negative (N0) | 266 | 41 | 0.0002 * | 1 | - | 0.912 | 61 | <0.0001 * | 1 | - | 0.167 |
| Positive (N1–N2) | 29 | 11 | 1.041 | 0.509–2.129 | 15 | 1.557 | 0.831–2.915 | |||||
| Histological grade | Low grade | 56 | 2 | 0.0013 * | 1 | - | 0.869 | 5 | 0.0007 * | 1 | - | 0.694 |
| High grade | 239 | 50 | 0.871 | 0.170–4.459 | 71 | 0.789 | 0.260–2.452 | |||||
| Vascular invasion | Absent | 246 | 37 | 0.0024 * | 1 | - | 0.072 | 54 | 0.0001 * | 1 | - | 0.846 |
| Present | 49 | 15 | 0.530 | 0.266–1.059 | 22 | 0.941 | 0.510–1.738 | |||||
| Perineural invasion | Absent | 275 | 44 | 0.0001 * | 1 | - | 0.082 | 66 | 0.0007 * | 1 | - | 0.276 |
| Present | 20 | 8 | 2.080 | 0.912–4.747 | 10 | 1.500 | 0.723–3.111 | |||||
| Mitotic rate (per 10 high power fields) | <10 | 139 | 12 | <0.0001 * | 1 | - | 0.100 | 23 | <0.0001 * | 1 | - | 0.200 |
| ≥10 | 156 | 40 | 1.796 | 0.894–3.636 | 53 | 1.420 | 0.831–2.426 | |||||
| EFEMP1 expression | Low | 147 | 9 | <0.0001 * | 1 | - | <0.001 * | 16 | <0.0001 * | 1 | - | <0.001 * |
| High | 148 | 43 | 4.181 | 1.956–8.935 | 60 | 3.163 | 1.766–5.664 | |||||
| Parameter | Category | Case No. | Local Recurrence-Free Survival | ||||
|---|---|---|---|---|---|---|---|
| Univariate Analysis | Multivariate Analysis | ||||||
| No. of Event | p-Value | R.R. | 95% C.I. | p-Value | |||
| Gender | Male | 125 | 46 | 0.3370 | - | - | - |
| Female | 47 | 19 | - | - | - | ||
| Age (years) | <65 | 70 | 30 | 0.3857 | - | - | - |
| ≥65 | 102 | 35 | - | - | - | ||
| Primary tumor (T) | Ta | 84 | 27 | 0.0193 * | 1 | - | 0.482 |
| T1 | 88 | 38 | 0.797 | 0.424–1.500 | |||
| Histological grade | Low grade | 54 | 15 | 0.0101 * | 1 | - | 0.139 |
| High grade | 118 | 50 | 1.738 | 0.836–3.611 | |||
| Vascular invasion | Absent | 171 | 65 | 0.6639 | - | - | - |
| Present | 1 | 0 | - | - | - | ||
| Perineural invasion | Absent | 169 | 64 | 0.4725 | - | - | - |
| Present | 3 | 1 | - | - | - | ||
| Mitotic rate (per 10 high power fields) | <10 | 94 | 35 | 0.1853 | - | - | - |
| ≥10 | 78 | 30 | - | - | - | ||
| EFEMP1 expression | Low | 100 | 17 | <0.0001 * | 1 | - | <0.001 * |
| High | 72 | 48 | 5.502 | 3.037–9.968 | |||
Publisher’s Note: MDPI stays neutral with regard to jurisdictional claims in published maps and institutional affiliations. |
© 2021 by the authors. Licensee MDPI, Basel, Switzerland. This article is an open access article distributed under the terms and conditions of the Creative Commons Attribution (CC BY) license (https://creativecommons.org/licenses/by/4.0/).
Share and Cite
Chen, T.-J.; Chan, T.-C.; Li, W.-S.; Li, C.-F.; Ke, H.-L.; Wei, Y.-C.; Wu, W.-J.; Li, W.-M. Utility of EFEMP1 in the Prediction of Oncologic Outcomes of Urothelial Carcinoma. Genes 2021, 12, 872. https://doi.org/10.3390/genes12060872
Chen T-J, Chan T-C, Li W-S, Li C-F, Ke H-L, Wei Y-C, Wu W-J, Li W-M. Utility of EFEMP1 in the Prediction of Oncologic Outcomes of Urothelial Carcinoma. Genes. 2021; 12(6):872. https://doi.org/10.3390/genes12060872
Chicago/Turabian StyleChen, Tzu-Ju, Ti-Chun Chan, Wan-Shan Li, Chien-Feng Li, Hung-Lung Ke, Yu-Ching Wei, Wen-Jeng Wu, and Wei-Ming Li. 2021. "Utility of EFEMP1 in the Prediction of Oncologic Outcomes of Urothelial Carcinoma" Genes 12, no. 6: 872. https://doi.org/10.3390/genes12060872
APA StyleChen, T.-J., Chan, T.-C., Li, W.-S., Li, C.-F., Ke, H.-L., Wei, Y.-C., Wu, W.-J., & Li, W.-M. (2021). Utility of EFEMP1 in the Prediction of Oncologic Outcomes of Urothelial Carcinoma. Genes, 12(6), 872. https://doi.org/10.3390/genes12060872

