Identification of an Oxidosqualene Cyclase Gene Involved in Steroidal Triterpenoid Biosynthesis in Cordyceps farinosa
Abstract
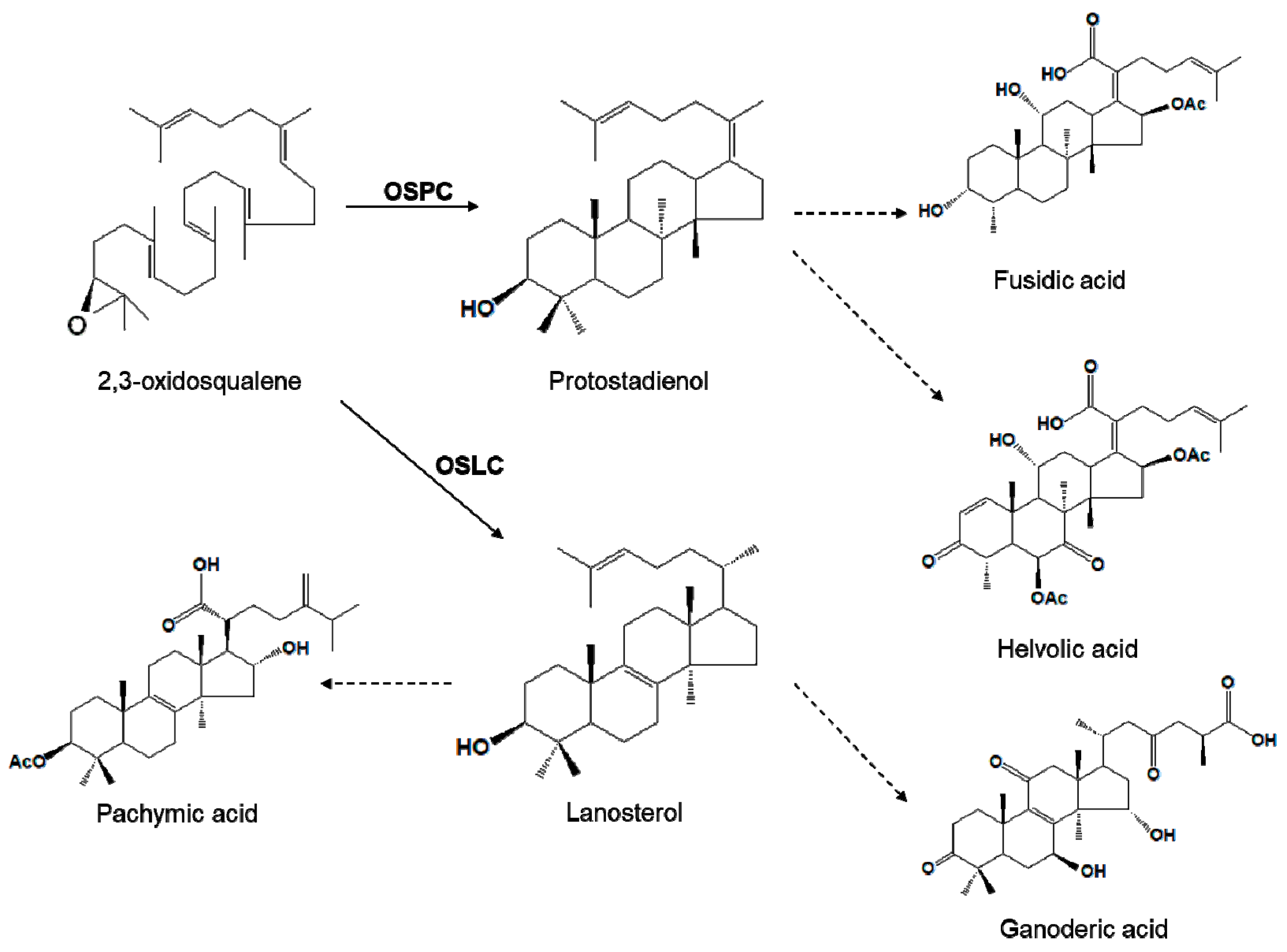
1. Introduction
2. Materials and Methods
2.1. Strain of C. farinosa
2.2. Genome Sequencing and Assembly
2.3. Phylogenetic Analysis
2.4. Generation of Plasmid Vectors
2.5. Functional Expression of CfaOSC2 in Yeast
2.6. GC-MS Analysis
2.7. Synteny Analysis
3. Results and Discussion
3.1. Identification of C. farinosa
3.2. Sequence Features of Two OSC Genes
3.3. Functional Characterization of CfaOSC2 in Yeast
3.4. Synteny Comparison of a Gene Cluster for Helvolic Acid Biosynthesis
4. Conclusions
Supplementary Materials
Author Contributions
Funding
Informed Consent Statement
Data Availability Statement
Conflicts of Interest
References
- Radwan, F.F.Y.; Hossain, A.; God, J.M.; Leaphart, N.; Elvington, M.; Nagarkatti, M.; Tomlinson, S.; Haque, A. Reduction of myeloid-derived suppressor cells and lymphoma growth by a natural triterpenoid. J. Cell. Biochem. 2015, 116, 102–114. [Google Scholar] [CrossRef] [PubMed]
- Sun, K.X.; Xia, H.W. Pachymic acid inhibits growth and induces cell cycle arrest and apoptosis in gastric cancer SGC-7901 cells. Oncol. Lett. 2018, 16, 2517–2524. [Google Scholar] [CrossRef]
- Zhao, S.; Gao, Q.; Rong, C.; Wang, S.; Zhao, Z.; Liu, Y.; Xu, J. Immunomodulatory effects of edible and medicinal mushrooms and their bioactive immunoregulatory products. J. Fungi 2020, 6, 269. [Google Scholar] [CrossRef] [PubMed]
- Lv, J.M.; Hu, D.; Gao, H.; Kushiro, T.; Awakawa, T.; Chen, G.D.; Wang, C.X.; Abe, I.; Yao, X.S. Biosynthesis of helvolic acid and identification of an unusual C-4-demethylation process distinct from sterol biosynthesis. Nat. Commun. 2017, 8, 1644. [Google Scholar] [CrossRef]
- Cao, Z.; Li, S.; Lv, J.; Gao, H.; Chen, G.; Awakawa, T.; Abe, I.; Yao, X.; Hu, D. Biosynthesis of clinically used antibiotic fusidic acid and identification of two short-chain dehydrogenase/reductases with converse stereoselectivity. Acta Pharm. Sin. B 2019, 9, 433–442. [Google Scholar] [CrossRef] [PubMed]
- Lodro, S.; Xiong, Q.; Wilson, W.K.; Ivanova, Y.; Smith, M.L.; May, G.S.; Matsuda, S.P. Protostadienol biosynthesis and metabolism in the pathogenic fungus Aspergillus fumigatus. Org. Lett. 2009, 11, 1241–1244. [Google Scholar] [CrossRef] [PubMed]
- Mitsuguchi, H.; Seshime, Y.; Fujii, I.; Shibuya, M.; Ebizuka, Y.; Kushiro, T. Biosynthesis of steroidal antibiotic fusidanes: Functional analysis of oxidosqualene cyclase and subsequent tailoring enzymes from Aspergillus fumigatus. J. Am. Chem. Soc. 2009, 131, 6402–6411. [Google Scholar] [CrossRef]
- Fei, Y.; Zhang, D.H.; Xu, J.W. Increased production of ganoderic acids by overexpression of homologous farnesyl diphosphate synthase and kinetic modeling of ganoderic acid production in Ganoderma lucidum. Microb. Cell Factories 2019, 18, 115. [Google Scholar] [CrossRef]
- Abe, I.; Prestwich, G.D. Molecular cloning, characterization, and functional expression of rat oxidosqualene cyclase cDNA. Proc. Natl. Acad. Sci. USA 1995, 92, 9274–9278. [Google Scholar] [CrossRef]
- Joffrion, T.M.; Collins, M.S.; Sesterhenn, T.; Cushion, M.T. Functional characterization and localization of Pneumocystis carinii lanosterol synthase. Eukaryot. Cell 2010, 9, 107–115. [Google Scholar] [CrossRef] [PubMed]
- Shang, C.H.; Shi, L.; Ren, A.; Qin, L.; Zhao, M.W. Molecular cloning, characterization, and differential expression of a lanosterol synthase gene from Ganoderma lucidum. Biosci. Biotechnol. Biochem. 2010, 74, 974–978. [Google Scholar] [CrossRef] [PubMed]
- Shi, Z.; Buntel, C.J.; Griffin, J.H. Isolation and characterization of the gene encoding 2,3-oxidosqualene-lanosterol cyclase from Saccharomyces cerevisiae. Proc. Natl. Acad. Sci. USA 1994, 91, 7370–7374. [Google Scholar] [CrossRef]
- Suzuki, M.; Xiang, T.; Ohyama, K.; Seki, H.; Saito, K.; Muranaka, T.; Hayashi, H.; Katsube, Y.; Kushiro, T.; Shibuya, M.; et al. Lanosterol synthase in dicotyledonous plants. Plant Cell Physiol. 2006, 47, 565–571. [Google Scholar] [CrossRef] [PubMed]
- Du, C.; Wu, J.; Cuthbertson, A.G.; Bashir, M.H.; Sun, T.; Ali, S. Morphological, molecular and virulence characterisation of six Cordyceps spp. isolates infecting the diamondback moth, Pluttela xylostella. Biocontrol Sci. Technol. 2021, 31, 373–386. [Google Scholar] [CrossRef]
- Zhao, M.; Godecke, T.; Gunn, J.; Duan, J.A.; Che, C.T. Protostane and fusidane triterpenes: A Mini-Review. Molecules 2013, 18, 4054–4080. [Google Scholar] [CrossRef]
- Hikino, H.; Asada, Y.; Arihara, S. Fusidic acid, a steroidal antibiotic from Isaria kogane. Chem. Pharm. Bull. 1972, 20, 1067–1069. [Google Scholar] [CrossRef][Green Version]
- Zerbino, D.R.; Birney, E. Velvet: Algorithms for de novo short read assembly using de Bruijn graphs. Genome Res. 2008, 18, 821–829. [Google Scholar] [CrossRef]
- Altschul, S.F.; Gish, W.; Miller, W.; Myers, E.W.; Lipman, D.J. Basic local alignment search tool. J. Mol. Biol. 1990, 215, 403–410. [Google Scholar] [CrossRef]
- Sievers, F.; Wilm, A.; Dineen, D.G.; Gibson, T.J.; Karplus, K.; Li, W.; Lopez, R.; McWilliam, H.; Remmert, M.; Söding, J.; et al. Fast, scalable generation of high-quality protein multiple sequence alignments using Clustal Omega. Mol. Syst. Biol. 2011, 7, 539. [Google Scholar] [CrossRef]
- Tamura, K.; Stecher, G.; Peterson, D.; Filipski, A.; Kumar, S. MEGA6: Molecular evolutionary genetics analysis version 6.0. Mol. Biol. Evol. 2013, 30, 2725–2729. [Google Scholar] [CrossRef] [PubMed]
- Kushiro, T.; Shibuya, M.; Ebizuka, Y. β-amyrin synthase-Cloning of oxidosqualene cyclase that catalyzes the formation of the most popular triterpene among higher plants. Eur. J. Biochem. 1998, 256, 238–244. [Google Scholar] [CrossRef] [PubMed]
- Wang, Z.; Yeats, T.; Han, H.; Jetter, R. Cloning and characterization of oxidosqualene cyclases from Kalanchoe daigremontiana: Enzymes catalyzing up to 10 rearrangement steps yielding friedelin and other triterpenoids. J. Biol. Chem. 2010, 285, 29703–29712. [Google Scholar] [CrossRef] [PubMed]
- Moreno-Hagelsieb, G.; Latimer, K. Choosing BLAST options for better detection of orthologs as reciprocal best hits. Bioinformatics 2008, 24, 319–324. [Google Scholar] [CrossRef]
- Kepler, R.M.; Luangsa-Ard, J.J.; Hywel-Jones, N.L.; Quandt, C.A.; Sung, G.H.; Rehner, S.A.; Aime, M.C.; Henkel, T.W.; Sanjuan, T.; Zare, R.; et al. A phylogenetically-based nomenclature for Cordycipitaceae (Hypocreales). IMA Fungus 2017, 8, 335–353. [Google Scholar] [CrossRef]
- Poralla, K.; Hewelt, A.; Prestwich, G.D.; Abe, I.; Reipen, I.; Sprenger, G. A specific amino acid repeat in squalene and oxidosqualene cyclases. Trend Biochem. Sci. 1994, 19, 157–158. [Google Scholar] [CrossRef]
- Kimura, M.; Kushiro, T.; Shibuya, M.; Ebizuka, Y.; Abe, I. Protostadienol synthase from Aspergillus fumigatus: Functional conversion into lanosterol synthase. Biochem. Biophys. Res. Commun. 2010, 391, 899–902. [Google Scholar] [CrossRef]








Publisher’s Note: MDPI stays neutral with regard to jurisdictional claims in published maps and institutional affiliations. |
© 2021 by the authors. Licensee MDPI, Basel, Switzerland. This article is an open access article distributed under the terms and conditions of the Creative Commons Attribution (CC BY) license (https://creativecommons.org/licenses/by/4.0/).
Share and Cite
An, G.-H.; Han, J.-G.; Park, H.-S.; Sung, G.-H.; Kim, O.-T. Identification of an Oxidosqualene Cyclase Gene Involved in Steroidal Triterpenoid Biosynthesis in Cordyceps farinosa. Genes 2021, 12, 848. https://doi.org/10.3390/genes12060848
An G-H, Han J-G, Park H-S, Sung G-H, Kim O-T. Identification of an Oxidosqualene Cyclase Gene Involved in Steroidal Triterpenoid Biosynthesis in Cordyceps farinosa. Genes. 2021; 12(6):848. https://doi.org/10.3390/genes12060848
Chicago/Turabian StyleAn, Gi-Hong, Jae-Gu Han, Hye-Sung Park, Gi-Ho Sung, and Ok-Tae Kim. 2021. "Identification of an Oxidosqualene Cyclase Gene Involved in Steroidal Triterpenoid Biosynthesis in Cordyceps farinosa" Genes 12, no. 6: 848. https://doi.org/10.3390/genes12060848
APA StyleAn, G.-H., Han, J.-G., Park, H.-S., Sung, G.-H., & Kim, O.-T. (2021). Identification of an Oxidosqualene Cyclase Gene Involved in Steroidal Triterpenoid Biosynthesis in Cordyceps farinosa. Genes, 12(6), 848. https://doi.org/10.3390/genes12060848

