The Effect of Genetic Polymorphism in Response to Body Weight Reduction in Japanese Patients with Nonalcoholic Fatty Liver Disease
Abstract
1. Introduction
2. Materials and Methods
2.1. Patients
2.2. Physical Examination, Laboratory, and Clinical Parameters
2.3. DNA Preparation and SNP Genotyping
2.4. Liver Histology
2.5. Statistical Analysis
3. Results
3.1. Patient Characteristics
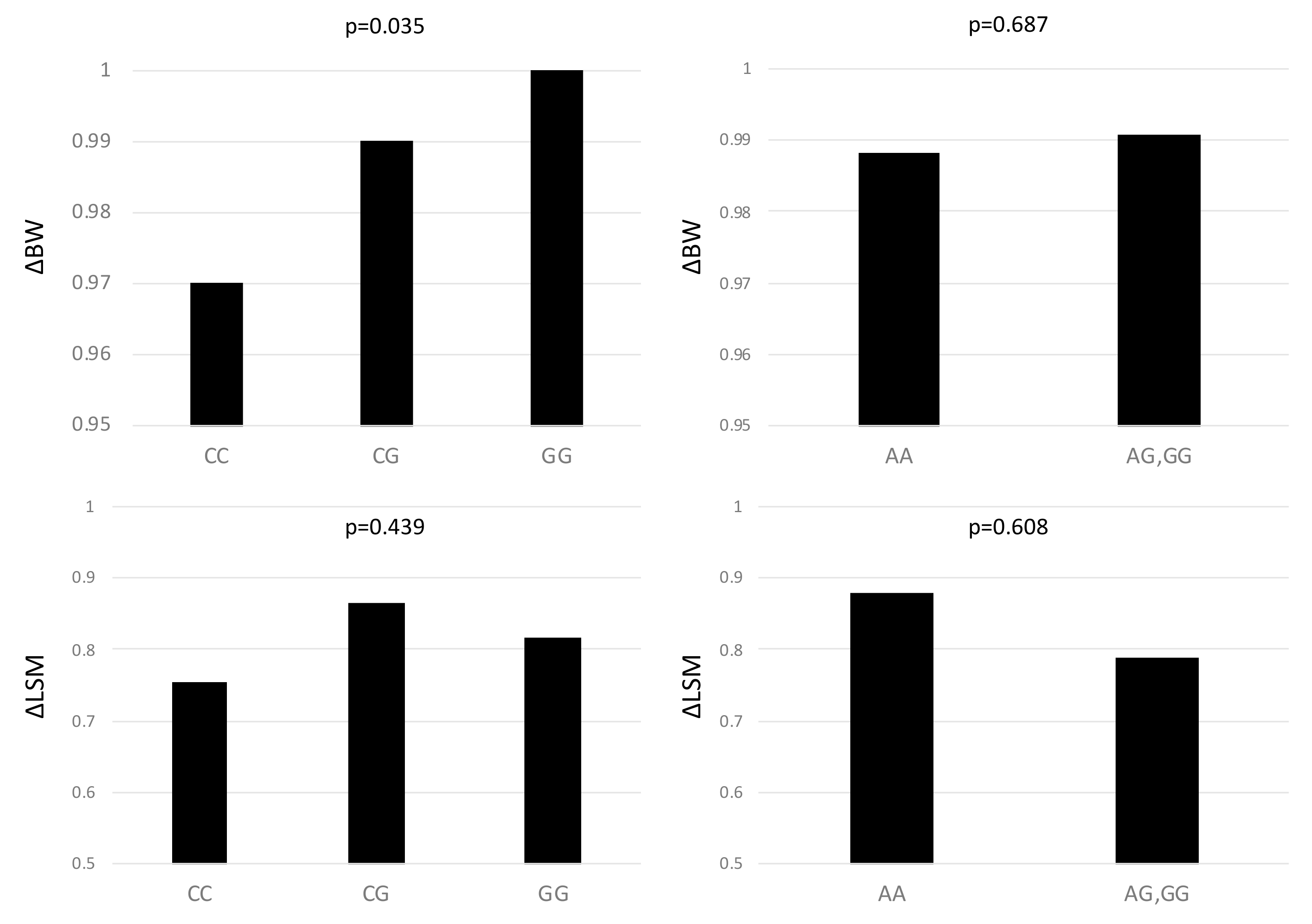
3.2. Changes in Parameters from Baseline to after 1 Year Diet Therapy and Associations with the PNPLA3 and HSD17B13 Genotypes
3.3. Factors Associated with Change in LSM According to HSD17B13 Polymorphism
4. Discussion
5. Conclusions
Author Contributions
Funding
Institutional Review Board Statement
Informed Consent Statement
Data Availability Statement
Conflicts of Interest
References
- Chalasani, N.; Younossi, Z.; Lavine, J.E.; Diehl, A.M.; Brunt, E.M.; Cusi, K.; Charlton, M.; Sanyal, A.J. The diagnosis and management of non-alcoholic fatty liver disease: Practice Guideline by the American Association for the Study of Liver Diseases, American College of Gastroenterology, and the American Gastroenterological Association. Hepatology 2012, 55, 2005–2023. [Google Scholar] [CrossRef] [PubMed]
- Watanabe, S.; Hashimoto, E.; Ikejima, K.; Uto, H.; Ono, M.; Sumida, Y.; Seike, M.; Takei, Y.; Takehara, T.; Tokushige, K.; et al. Evidence-based clinical practice guidelines for nonalcoholic fatty liver disease/nonalcoholic steatohepatitis. J. Gastroenterol. 2015, 50, 364–377. [Google Scholar] [CrossRef] [PubMed]
- Angulo, P.; Kleiner, D.E.; Dam-Larsen, S.; Adams, L.A.; Bjornsson, E.S.; Charatcharoenwitthaya, P.; Mills, P.R.; Keach, J.C.; Lafferty, H.D.; Stahler, A.; et al. Liver fibrosis, but no other histologic features, is associated with long-term outcomes of patients with nonalcoholic fatty liver disease. Gastroenterology 2015, 149, 389–397. [Google Scholar] [CrossRef] [PubMed]
- Promrat, K.; Kleiner, D.E.; Niemeier, H.M.; Jackvony, E.; Kearns, M.; Wands, J.R.; Fava, J.L.; Wing, R.R. Randomized controlled trial testing the effects of weight loss on nonalcoholic steatohepatitis. Hepatology 2010, 51, 121–129. [Google Scholar] [CrossRef] [PubMed]
- Haufe, S.; Engeli, S.; Kast, P.; Böhnke, J.; Utz, W.; Haas, V.; Hermsdorf, M.; Mähler, A.; Wiesner, S.; Birkenfeld, A.L.; et al. Randomized comparison of reduced fat and reduced carbohydrate hypocaloric diets on intrahepatic fat in overweight and obese human subjects. Hepatology 2011, 53, 1504–1514. [Google Scholar] [CrossRef] [PubMed]
- Wong, V.W.; Chan, R.S.; Wong, G.L.; Cheung, B.H.; Chu, W.C.; Yeung, D.K.; Chim, A.M.; Lai, J.W.; Li, L.S.; Sea, M.M.; et al. Community-based lifestyle modification programme for non-alcoholic fatty liver disease: A randomized controlled trial. J. Hepatol. 2013, 59, 536–542. [Google Scholar] [CrossRef]
- Romero-Gómez, M.; Zelber-Sagi, S.; Trenell, M. Treatment of NAFLD with diet, physical activity and exercise. J. Hepatol. 2017, 67, 829–846. [Google Scholar] [CrossRef]
- Chalasani, N.; Guo, X.; Loomba, R.; Goodarzi, M.O.; Haritunians, T.; Kwon, S.; Cui, J.; Taylor, K.D.; Wilson, L.; Cummings, O.W.; et al. Genome-wide association study identifies variants associated with histologic features of nonalcoholic fatty liver disease. Gastroenterology 2010, 139, 1567–1576. [Google Scholar] [CrossRef]
- Kawaguchi, T.; Sumida, Y.; Umemura, A.; Matsuo, K.; Takahashi, M.; Takamura, T.; Yasui, K.; Saibara, T.; Hashimoto, E.; Kawanaka, M.; et al. Genetic polymorphisms of the human PNPLA3 gene are strongly associated with severity of non-alcoholic fatty liver disease in Japanese. PLoS ONE 2012, 7, e38322. [Google Scholar] [CrossRef]
- Yuan, X.; Waterworth, D.; Perry, J.R.; Lim, N.; Song, K.; Chambers, J.C.; Zhang, W.; Vollenweider, P.; Stirnadel, H.; Johnson, T.; et al. Population-based genome-wide association studies reveal six loci influencing plasma levels of liver enzymes. Am. J. Hum. Genet. 2008, 83, 520–528. [Google Scholar] [CrossRef] [PubMed]
- Seko, Y.; Sumida, Y.; Tanaka, S.; Mori, K.; Taketani, H.; Ishiba, H.; Hara, T.; Okajima, A.; Umemura, A.; Nishikawa, T.; et al. Development of hepatocellular carcinoma in Japanese patients with biopsy-proven non-alcoholic fatty liver disease: Association between PNPLA3 genotype and hepatocarcinogenesis/fibrosis progression. Hepatol. Res. 2017, 47, 1083–1092. [Google Scholar] [CrossRef]
- Singal, A.G.; Manjunath, H.; Yopp, A.C.; Beg, M.S.; Marrero, J.A.; Gopal, P.; Waljee, A.K. The effect of PNPLA3 on fibrosis progression and development of hepatocellular carcinoma: A meta-analysis. Am. J. Gastroenterol. 2014, 109, 325–334. [Google Scholar] [CrossRef]
- Abul-Husn, N.S.; Cheng, X.; Li, A.H.; Xin, Y.; Schurmann, C.; Stevis, P.; Liu, Y.; Kozlitina, J.; Stender, S.; Wood, G.C.; et al. A protein-truncating HSD17B13 variant and protection from chronic liver disease. N. Engl. J. Med. 2018, 378, 1096–1106. [Google Scholar] [CrossRef]
- Yang, J.; Trépo, E.; Nahon, P.; Cao, Q.; Moreno, C.; Letouzé, E.; Imbeaud, S.; Bayard, Q.; Gustot, T.; Deviere, J.; et al. A HSD17B13 variant protects from hepatocellular carcinoma development in alcoholic liver disease. Hepatology 2019, 70, 231–240. [Google Scholar]
- Ma, Y.; Belyaeva, O.V.; Brown, P.M.; Fujita, K.; Valles, K.; Karki, S.; de Boer, Y.S.; Koh, C.; Chen, Y.; Du, X.; et al. 17-Beta hydroxysteroid dehydrogenase 13 is a hepatic retinol dehydrogenase associated with histological features of nonalcoholic fatty liver disease. Hepatology 2019, 69, 1504–1519. [Google Scholar] [CrossRef]
- Seko, Y.; Yamaguchi, K.; Tochiki, N.; Yano, K.; Takahashi, A.; Okishio, S.; Kataoka, S.; Okuda, K.; Umemura, A.; Moriguchi, M.; et al. Attenuated effect of PNPLA3 on hepatic fibrosis by HSD17B13 in Japanese patients with non-alcoholic fatty liver disease. Liver Int. 2020, 40, 1686–1692. [Google Scholar] [CrossRef]
- Sevastianova, K.; Kotronen, A.; Gastaldelli, A.; Perttilä, J.; Hakkarainen, A.; Lundbom, J.; Suojanen, L.; Orho-Melander, M.; Lundbom, N.; Ferrannini, E.; et al. Genetic variation in PNPLA3 (adiponutrin) confers sensitivity to weight loss-induced decrease in liver fat in humans. Am. J. Clin. Nutr. 2011, 94, 104–111. [Google Scholar] [CrossRef]
- Shen, J.; Wong, G.L.; Chan, H.L.; Chan, R.S.; Chan, H.Y.; Chu, W.C.; Cheung, B.H.; Yeung, D.K.; Li, L.S.; Sea, M.M.; et al. PNPLA3 gene polymorphism and response to lifestyle modification in patients with nonalcoholic fatty liver disease. J. Gastroenterol. Hepatol. 2015, 30, 139–146. [Google Scholar] [CrossRef]
- Giuffré, M.; Colecchia, A.; Crocé, L.S. Elastography: Where are we now? Minerva Gastroenterol. Dietol. 2020. [Google Scholar] [CrossRef]
- Giuffrè, M.; Giuricin, M.; Bonazza, D.; Rosso, N.; Giraudi, P.J.; Masutti, F.; Palmucci, S.; Basile, A.; Zanconati, F.; de Manzini, N.; et al. Optimization of Point-Shear Wave Elastography by Skin-to-Liver Distance to Assess Liver Fibrosis in Patients Undergoing Bariatric Surgery. Diagnostics 2020, 7, 795. [Google Scholar] [CrossRef]
- Foschi, F.G.; Domenicali, M.; Giacomoni, P.; Dall’Aglio, A.C.; Conti, F.; Borghi, A.; Bevilacqua, V.; Napoli, L.; Mirici, F.; Cucchetti, A.; et al. Is there an association between commonly employed biomarkers of liver fibrosis and liver stiffness in the general population? Ann. Hepatol. 2020, 19, 380–387. [Google Scholar] [CrossRef]
- Matteoni, C.A.; Younossi, Z.M.; Gramlich, T.; Boparai, N.; Liu, Y.C.; McCullough, A.J. Nonalcoholic fatty liver diseases: A spectrum of clinical and pathological severity. Gastroenterology 1999, 116, 1413–1419. [Google Scholar] [CrossRef]
- Kleiner, D.E.; Brunt, E.M.; Van Natta, M.; Behling, C.; Contos, M.J.; Cummings, O.W.; Ferrell, L.D.; Liu, Y.C.; Torbenson, M.S.; Unalp-Arida, A.; et al. Design and validation of a histological scoring system for nonalcoholic fatty liver disease. Hepatology 2005, 41, 1313–1321. [Google Scholar] [CrossRef]
- Brunt, E.M.; Janney, C.G.; Di Bisceglie, A.M.; Neuschwander-Tetri, B.A.; Bacon, B.R. Nonalcoholic steatohepatitis: A proposal for grading and staging the histological lesions. Am. J. Gastroenterol. 1999, 94, 2467–2474. [Google Scholar] [CrossRef] [PubMed]
- Chalasani, N.; Younossi, Z.; Lavine, J.E.; Charlton, M.; Cusi, K.; Rinella, M.; Harrison, S.A.; Brunt, E.M.; Sanyal, A.J. The diagnosis and management of nonalcoholic fatty liver disease: Practice guidance from the American Association for the Study of Liver Diseases. Hepatology 2018, 67, 328–357. [Google Scholar] [CrossRef]
- Musso, G.; Cassader, M.; Rosina, F.; Gambino, R. Impact of current treatments on liver disease, glucose metabolism and cardiovascular risk in non-alcoholic fatty liver disease (NAFLD): A systematic review and meta-analysis of randomised trials. Diabetologia 2012, 55, 885–904. [Google Scholar] [CrossRef] [PubMed]
- Vilar-Gomez, E.; Martinez-Perez, Y.; Calzadilla-Bertot, L.; Torres-Gonzalez, A.; Gra-Oramas, B.; Gonzalez-Fabian, L.; Friedman, S.L.; Diago, M.; Romero-Gomez, M. Weight loss through lifestyle modification significantly reduces features of nonalcoholic steatohepatitis. Gastroenterology 2015, 149, 367–378. [Google Scholar] [CrossRef] [PubMed]
- Kan, H.; Hyogo, H.; Ochi, H.; Hotta, K.; Fukuhara, T.; Kobayashi, T.; Naeshiro, N.; Honda, Y.; Kawaoka, T.; Tsuge, M.; et al. Influence of the rs738409 polymorphism in patatin-like phospholipase 3 on the treatment efficacy of non-alcoholic fatty liver disease with type 2 diabetes mellitus. Hepatol. Res. 2016, 46, E146–E153. [Google Scholar] [CrossRef]
- Krawczyk, M.; Jiménez-Agüero, R.; Alustiza, J.M.; Emparanza, J.I.; Perugorria, M.J.; Bujanda, L.; Lammert, F.; Banales, J.M. PNPLA3 p.I148M variant is associated with greater reduction of liver fat content after bariatric surgery. Surg. Obes. Relat. Dis. 2016, 12, 1838–1846. [Google Scholar] [CrossRef]
- Palmer, C.N.; Maglio, C.; Pirazzi, C.; Burza, M.A.; Adiels, M.; Burch, L.; Donnelly, L.A.; Colhoun, H.; Doney, A.S.; Dillon, J.F.; et al. Paradoxical lower serum triglyceride levels and higher type 2 diabetes mellitus susceptibility in obese individuals with the PNPLA3 148M variant. PLoS ONE 2012, 7, e39362. [Google Scholar] [CrossRef]
- Chambers, J.C.; Zhang, W.; Sehmi, J.; Li, X.; Wass, M.N.; Van der Harst, P.; Holm, H.; Sanna, S.; Kavousi, M.; Baumeister, S.E.; et al. Genome-wide association study identifies loci influencing concentrations of liver enzymes in plasma. Nat. Genet. 2011, 43, 1131–1138. [Google Scholar] [CrossRef]
- Kotronen, A.; Peltonen, M.; Hakkarainen, A.; Sevastianova, K.; Bergholm, R.; Johansson, L.M.; Lundbom, N.; Rissanen, A.; Ridderstråle, M.; Groop, L.; et al. Prediction of non-alcoholic fatty liver disease and liver fat using metabolic and genetic factors. Gastroenterology 2009, 137, 865–872. [Google Scholar] [CrossRef]
- Korenblat, K.M.; Fabbrini, E.; Mohammed, B.S.; Klein, S. Liver, muscle, and adipose tissue insulin action is directly related to intrahepatic triglyceride content in obese subjects. Gastroenterology 2008, 134, 1369–1375. [Google Scholar] [CrossRef]
- Kotronen, A.; Juurinen, L.; Tiikkainen, M.; Vehkavaara, S.; Yki-Järvinen, H. Increased liver fat, impaired insulin clearance, and hepatic and adipose tissue insulin resistance in type 2 diabetes. Gastroenterology 2008, 135, 122–130. [Google Scholar] [CrossRef]
- Giuffrè, M.; Fouraki, S.; Comar, M.; Masutti, F.; Crocè, L.S. The Importance of Transaminases Flare in Liver Elastography: Characterization of the Probability of Liver Fibrosis Overestimation by Hepatitis C Virus-Induced Cytolysis. Microorganisms 2020, 29, 348. [Google Scholar] [CrossRef] [PubMed]
- Giuffrè, M.; Fouraki, S.; Campigotto, M.; Colombo, A.; Visintin, A.; Buonocore, M.R.; Aversano, A.; Budel, M.; Tinè, F.; Abazia, C.; et al. Alanine aminotransferase and spleno-portal dynamics affect spleen stiffness measured by point shear-wave elastography in patients with chronic hepatitis C in the absence of significant liver fibrosis. J. Ultrasound 2021, 24, 67–73. [Google Scholar] [CrossRef] [PubMed]
- Giuffrè, M.; Bedogni, G.; Abazia, C.; Masutti, F.; Tiribelli, C.; Crocè, L.S. Spleen stiffness can be employed to assess the efficacy of spontaneous portosystemic shunts in relieving portal hypertension. Ann. Hepatol. 2020, 19, 691–693. [Google Scholar] [CrossRef] [PubMed]




| Variable | PNPLA3 | |||
|---|---|---|---|---|
| CC n = 30 | CG n = 58 | GG n = 52 | p-Value | |
| HSD17B13, AA/AG, GG | 15/15 | 30/28 | 27/25 | 0.984 |
| Sex, female | 12 (40.0%) | 31 (53.4%) | 26 (50.0%) | 0.485 |
| Age, years | 54 (23–81) | 55 (19–75) | 60 (17–76) | 0.291 |
| BMI, kg/m2 | 28.3 (23.3–45.2) | 27.2 (20.8–44.0) | 26.4 (17.6–41.0) | 0.083 |
| Hypertension | 14 (46.7%) | 25 (43.1%) | 20 (38.5%) | 0.429 |
| Diabetes | 15 (50.0%) | 25 (43.1%) | 23 (44.2%) | 0.819 |
| Hyperlipidemia | 19 (63.3%) | 36 (62.1%) | 25 (48.1%) | 0.248 |
| Albumin, g/dL | 4.5 (3.8–5.0) | 4.5 (3.5–5.2) | 4.4 (3.7–5.0) | 0.825 |
| AST, IU/L | 32.5 (12–93) | 42.5 (18–162) | 47.5 (22–155) | 0.186 |
| ALT, IU/L | 46 (18–146) | 53.5 (19–233) | 56 (14–166) | 0.507 |
| GGT, IU/L | 71.5 (18–279) | 59 (14–533) | 59.5 (14–202) | 0.833 |
| Platelet count, ×103/μL | 239.5 (90–420) | 226.5 (81–377) | 213 (75–444) | 0.210 |
| Total cholesterol, mg/dL | 195.5 (148–347) | 205 (137–281) | 201 (94–311) | 0.548 |
| TG, mg/dL | 190 (55–721) | 142.5 (49–739) | 129 (53–644) | 0.039 |
| LDL–C, mg/dL | 116 (33–252) | 127 (59–219) | 115 (36–177) | 0.478 |
| HDL–C, mg/dL | 47 (21–67) | 55 (30–93) | 50 (29–96) | 0.015 |
| FPG, mg/dL | 112 (77–232) | 106.5 (76–172) | 112 (71–236) | 0.484 |
| HbA1c, % | 6.1 (5.2–11.2) | 6.0 (5.0–8.2) | 6.0 (5.2–8.7) | 0.396 |
| FIB-4 index | 1.10 (0.28–7.83) | 1.38 (0.33–6.43) | 1.40 (0.39–7.73) | 0.100 |
| CAP, dB/m | 323.5 (230–400) | 308.5 (232–400) | 299 (159–394) | 0.052 |
| LSM, kPa | 8.9 (3.3–27.0) | 8.6 (2.9–39.7) | 9.6 (3.5–46.4) | 0.778 |
| Fibrosis stage (0/1/2/3/4) | 15/9/4/2/0 | 19/23/6/5/5 | 18/13/7/10/4 | 0.276 |
| Variable | HSD17B13 | ||
|---|---|---|---|
| AA n = 72 | AG/GG n = 68 | p-Value | |
| PNPLA3, CC/CG/GG | 15/30/27 | 15/28/25 | 0.984 |
| Sex, female | 38 (52.8%) | 31 (45.6%) | 0.404 |
| Age, years | 55 (17–81) | 54 (23–70) | 0.925 |
| BMI, kg/m2 | 27.0 (17.6–45.2) | 28.2 (17.9–34.0) | 0.809 |
| Hypertension | 31 (43.1%) | 24 (35.3%) | 0.865 |
| Diabetes | 33 (45.8%) | 23 (33.8%) | 0.866 |
| Hyperlipidemia | 45 (62.5%) | 29 (42.6%) | 0.232 |
| Albumin, g/dL | 4.4 (3.5–5.2) | 4.5 (3.8–4.8) | 0.306 |
| AST, IU/L | 50 (19–162) | 38.5 (12–64) | 0.002 |
| ALT, IU/L | 62 (21–233) | 47.5 (14–165) | 0.021 |
| GGT, IU/L | 66 (18–533) | 56.5 (14–279) | 0.316 |
| Platelet count, ×103/μL | 213 (81–420) | 237.5 (75–444) | 0.060 |
| Total cholesterol, mg/dL | 195 (95–347) | 204.5 (94–311) | 0.108 |
| TG, mg/dL | 154 (49–721) | 141 (53–739) | 0.400 |
| LDL–C, mg/dL | 113.5 (36–252) | 124 (33–219) | 0.276 |
| HDL–C, mg/dL | 49 (21–82) | 51 (30–96) | 0.191 |
| FPG, mg/dL | 112 (71–222) | 107 (77–236) | 0.854 |
| HbA1c, % | 6.0 (5.2–8.5) | 6.1 (5.0–11.2) | 0.851 |
| FIB-4 index | 1.51 (0.33–7.83) | 1.15 (0.28–7.73) | 0.033 |
| CAP, dB/m | 313 (174–400) | 304.5 (159–400) | 0.370 |
| LSM, kPa | 9.4 (3.7–29.6) | 8.1 (2.9–46.4) | 0.158 |
| Fibrosis stage (0/1/2/3/4) | 20/26/11/10/5 | 32/19/6/7/4 | 0.210 |
| Variable | Baseline | After 1 Year | p-Value |
|---|---|---|---|
| PNPLA3, CC/CG/GG | 30/58/52 | ||
| HSD17B13, AA/AG/GG | 72/57/11 | ||
| BMI, kg/m2 | 27.6 (17.6–45.2) | 26.7 (17.6–46.2) | <0.001 |
| Albumin, g/dL | 4.5 (3.5–5.2) | 4.4 (3.6–5.3) | 0.358 |
| AST, IU/L | 42 (12–162) | 33 (14–121) | <0.001 |
| ALT, IU/L | 54 (14–233) | 40 (8–216) | <0.001 |
| GGT, IU/L | 59.5 (14–533) | 50.5 (9–456) | <0.001 |
| Platelet count, ×103/μL | 222.5 (76–444) | 227 (56–472) | 0.124 |
| Total cholesterol, mg/dL | 201.5 (94–347) | 193 (88–312) | 0.493 |
| TG, mg/dL | 145 (49–739) | 136 (49–714) | 0.117 |
| LDL–C, mg/dL | 119 (33–252) | 120 (33–231) | 0.131 |
| HDL–C, mg/dL | 50 (21–96) | 50.5 (22–116) | 0.330 |
| FPG, mg/dL | 109 (71–236) | 106.5 (61–387) | 0.830 |
| HbA1c, % | 6.0 (5.0–11.2) | 6.0 (4.9–11.8) | 0.534 |
| FIB-4 index | 1.29 (0.28–7.83) | 1.31 (0.27–11.58) | 0.001 |
| CAP, dB/m | 309.5 (159–400) | 298 (129–400) | 0.020 |
| LSM, kPa | 8.8 (2.9–46.4) | 6.5 (2.4–32.4) | <0.001 |
| Factors | β | 95% CI | p-Value | |
|---|---|---|---|---|
| HSD17B13 AA | PNPLA3 genotype | −0.058 | −0.136 to −0.021 | 0.145 |
| Change in BW | 0.454 | −0.770 to −1.678 | 0.460 | |
| Change in ALT | −0.111 | −0.416 to −0.193 | 0.468 | |
| Change in AST | 0.194 | −0.044 to −0.432 | 0.109 | |
| Change in GGT | 0.070 | −0.012 to −0.152 | 0.094 | |
| Change in TC | −0.087 | −0.419 to −0.246 | 0.604 | |
| Change in TG | 0.083 | −0.044 to −0.211 | 0.197 | |
| HSD17B13 AG/GG | PNPLA3 genotype | 0.032 | −0.107 to −0.172 | 0.645 |
| Change in BW | 3.043 | 0.276 to −5.811 | 0.032 | |
| Change in ALT | 0.001 | −0.509 to −0.510 | 0.998 | |
| Change in AST | −0.050 | −0.672 to −0.572 | 0.873 | |
| Change in GGT | 0.272 | −0.181 to −0.725 | 0.233 | |
| Change in TC | 0.179 | −0.434 to −0.793 | 0.560 | |
| Change in TG | −0.121 | −0.363 to −0.121 | 0.320 |
Publisher’s Note: MDPI stays neutral with regard to jurisdictional claims in published maps and institutional affiliations. |
© 2021 by the authors. Licensee MDPI, Basel, Switzerland. This article is an open access article distributed under the terms and conditions of the Creative Commons Attribution (CC BY) license (https://creativecommons.org/licenses/by/4.0/).
Share and Cite
Seko, Y.; Yamaguchi, K.; Tochiki, N.; Yano, K.; Takahashi, A.; Okishio, S.; Kataoka, S.; Okuda, K.; Umemura, A.; Moriguchi, M.; et al. The Effect of Genetic Polymorphism in Response to Body Weight Reduction in Japanese Patients with Nonalcoholic Fatty Liver Disease. Genes 2021, 12, 628. https://doi.org/10.3390/genes12050628
Seko Y, Yamaguchi K, Tochiki N, Yano K, Takahashi A, Okishio S, Kataoka S, Okuda K, Umemura A, Moriguchi M, et al. The Effect of Genetic Polymorphism in Response to Body Weight Reduction in Japanese Patients with Nonalcoholic Fatty Liver Disease. Genes. 2021; 12(5):628. https://doi.org/10.3390/genes12050628
Chicago/Turabian StyleSeko, Yuya, Kanji Yamaguchi, Nozomi Tochiki, Kota Yano, Aya Takahashi, Shinya Okishio, Seita Kataoka, Keiichiroh Okuda, Atsushi Umemura, Michihisa Moriguchi, and et al. 2021. "The Effect of Genetic Polymorphism in Response to Body Weight Reduction in Japanese Patients with Nonalcoholic Fatty Liver Disease" Genes 12, no. 5: 628. https://doi.org/10.3390/genes12050628
APA StyleSeko, Y., Yamaguchi, K., Tochiki, N., Yano, K., Takahashi, A., Okishio, S., Kataoka, S., Okuda, K., Umemura, A., Moriguchi, M., & Itoh, Y. (2021). The Effect of Genetic Polymorphism in Response to Body Weight Reduction in Japanese Patients with Nonalcoholic Fatty Liver Disease. Genes, 12(5), 628. https://doi.org/10.3390/genes12050628

