APC Splicing Mutations Leading to In-Frame Exon 12 or Exon 13 Skipping Are Rare Events in FAP Pathogenesis and Define the Clinical Outcome
Abstract
1. Introduction
2. Materials and Methods
2.1. Patient Recruitment
2.2. Mutation Analysis
2.3. RT-PCR and mRNA Analysis
2.4. Cell Line
2.5. Plasmid Construct and Expression
2.6. In Vitro Splicing Assay
2.7. Meta-Analysis
3. Results
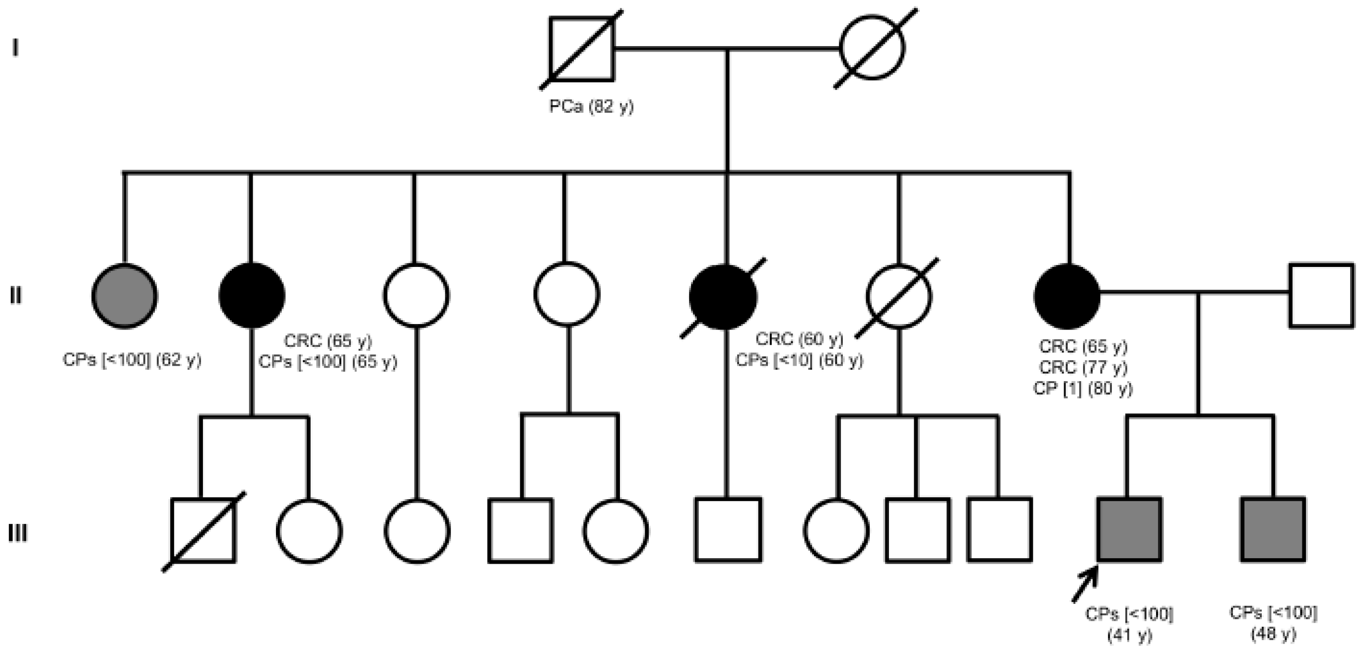
3.1. Clinical History and Genetic Findings
3.2. Analysis of Patient’s Processed Transcripts
3.3. Meta-Analysis
4. Discussion
5. Conclusions
Supplementary Materials
Author Contributions
Funding
Institutional Review Board Statement
Informed Consent Statement
Acknowledgments
Conflicts of Interest
References
- Markowitz, S.D.; Bertagnolli, M.M. Molecular Origins of Cancer: Molecular Basis of Colorectal Cancer. N. Engl. J. Med. 2009, 361, 2449–2460. [Google Scholar] [CrossRef]
- Kanth, P.; Grimmett, J.; Champine, M.; Burt, R.; Samadder, N.J. Hereditary Colorectal Polyposis and Cancer Syndromes: A Primer on Diagnosis and Management. Am. J. Gastroenterol. 2017, 112, 1509–1525. [Google Scholar] [CrossRef]
- Church, J. Molecular Genetics of Colorectal Cancer. Semin. Colon Rectal Surg. 2016, 27, 172–175. [Google Scholar] [CrossRef]
- Nieuwenhuis, M.H.; Vasen, H.F.A. Correlations between Mutation Site in APC and Phenotype of Familial Adenomatous Polyposis (FAP): A Review of the Literature. Crit. Rev. Oncol. Hematol. 2007, 61, 153–161. [Google Scholar] [CrossRef] [PubMed]
- Caspari, R.; Olschwang, S.; Friedl, W.; Mandl, M.; Boisson, C.; Böker, T.; Augustin, A.; Kadmon, M.; Möslein, G.; Thomas, G. Familial Adenomatous Polyposis: Desmoid Tumours and Lack of Ophthalmic Lesions (CHRPE) Associated with APC Mutations beyond Codon 1444. Hum. Mol. Genet. 1995, 4, 337–340. [Google Scholar] [CrossRef] [PubMed]
- Friedl, W.; Caspari, R.; Sengteller, M.; Uhlhaas, S.; Lamberti, C.; Jungck, M.; Kadmon, M.; Wolf, M.; Fahnenstich, J.; Gebert, J.; et al. Can APC Mutation Analysis Contribute to Therapeutic Decisions in Familial Adenomatous Polyposis? Experience from 680 FAP Families. Gut 2001, 48, 515–521. [Google Scholar] [CrossRef]
- Enomoto, M.; Konishi, M.; Iwama, T.; Utsunomiya, J.; Sugihara, K.I.; Miyaki, M. The Relationship between Frequencies of Extracolonic Manifestations and the Position of APC Germline Mutation in Patients with Familial Adenomatous Polyposis. JPN J. Clin. Oncol. 2000, 30, 82–88. [Google Scholar] [CrossRef]
- Bertario, L.; Russo, A.; Sala, P.; Varesco, L.; Giarola, M.; Mondini, P.; Pierotti, M.; Spinelli, P.; Radice, P.; Hereditary Colorectal Tumor Registry. Multiple Approach to the Exploration of Genotype-Phenotype Correlations in Familial Adenomatous Polyposis. J. Clin. Oncol. 2003, 21, 1698–1707. [Google Scholar] [CrossRef] [PubMed]
- Disciglio, V.; Fasano, C.; Cariola, F.; Forte, G.; Grossi, V.; Sanese, P.; Lepore Signorile, M.; Resta, N.; Lotesoriere, C.; Stella, A.; et al. Gastric Polyposis and Desmoid Tumours as a New Familial Adenomatous Polyposis Clinical Variant Associated with APC Mutation at the Extreme 3’-End. J. Med. Genet. 2020, 57, 356–360. [Google Scholar] [CrossRef]
- Horii, A.; Nakatsuru, S.; Ichii, S.; Nagase, H.; Nakamura, Y. Multiple Forms of the APC Gene Transcripts and Their Tissue-Specific Expression. Hum. Mol. Genet. 1993, 2, 283–287. [Google Scholar] [CrossRef] [PubMed]
- Thliveris, A.; Samowitz, W.; Matsunami, N.; Groden, J.; White, R. Demonstration of Promoter Activity and Alternative Splicing in the Region 5’ to Exon 1 of the APC Gene. Cancer Res. 1994, 54, 2991–2995. [Google Scholar]
- Groden, J.; Thliveris, A.; Samowitz, W.; Carlson, M.; Gelbert, L.; Albertsen, H.; Joslyn, G.; Stevens, J.; Spirio, L.; Robertson, M. Identification and Characterization of the Familial Adenomatous Polyposis Coli Gene. Cell 1991, 66, 589–600. [Google Scholar] [CrossRef]
- Oshima, M.; Sugiyama, H.; Kitagawa, K.; Taketo, M. APC Gene Messenger RNA: Novel Isoforms That Lack Exon 7. Cancer Res. 1993, 53, 5589–5591. [Google Scholar]
- Samowitz, W.S.; Thliveris, A.; Spirio, L.N.; White, R. Alternatively Spliced Adenomatous Polyposis Coli (APC) Gene Transcripts That Delete Exons Mutated in Attenuated APC. Cancer Res. 1995, 55, 3732–3734. [Google Scholar] [PubMed]
- Suleková, Z.; Ballhausen, W.G. A Novel Coding Exon of the Human Adenomatous Polyposis Coli Gene. Hum. Genet. 1995, 96, 469–471. [Google Scholar] [CrossRef] [PubMed]
- Sulekova, Z.; Reina-Sanchez, J.; Ballhausen, W.G. Multiple APC Messenger RNA Isoforms Encoding Exon 15 Short Open Reading Frames Are Expressed in the Context of a Novel Exon 10A-Derived Sequence. Int. J. Cancer 1995, 63, 435–441. [Google Scholar] [CrossRef]
- Xia, L.; St Denis, K.A.; Bapat, B. Evidence for a Novel Exon in the Coding Region of the Adenomatous Polyposis Coli (APC) Gene. Genomics 1995, 28, 589–591. [Google Scholar] [CrossRef] [PubMed]
- Sieber, O.M.; Tomlinson, I.P.; Lamlum, H. The Adenomatous Polyposis Coli (APC) Tumour Suppressor—Genetics, Function and Disease. Mol. Med. Today 2000, 6, 462–469. [Google Scholar] [CrossRef]
- Leoz, M.L.; Carballal, S.; Moreira, L.; Ocaña, T.; Balaguer, F. The Genetic Basis of Familial Adenomatous Polyposis and Its Implications for Clinical Practice and Risk Management. Appl. Clin. Genet. 2015, 8, 95–107. [Google Scholar] [PubMed]
- Cama, A.; Esposito, D.L.; Palmirotta, R.; Curia, M.C.; Ranieri, A.; Ficari, F.; Valanzano, R.; Modesti, A.; Battista, P.; Tonelli, F. A Novel Mutation at the Splice Junction of Exon 9 of the APC Gene in Familial Adenomatous Polyposis. Hum. Mutat. 1994, 3, 305–308. [Google Scholar] [CrossRef]
- Varesco, L.; Gismondi, V.; Presciuttini, S.; Groden, J.; Spirio, L.; Sala, P.; Rossetti, C.; De Benedetti, L.; Bafico, A.; Heouaine, A. Mutation in a Splice-Donor Site of the APC Gene in a Family with Polyposis and Late Age of Colonic Cancer Death. Hum. Genet. 1994, 93, 281–286. [Google Scholar] [CrossRef] [PubMed]
- Bala, S.; Sulekova, Z.; Ballhausen, W.G. Constitutive APC Exon 14 Skipping in Early-Onset Familial Adenomatous Polyposis Reveals a Dramatic Quantitative Distortion of APC Gene-Specific Isoforms. Hum. Mutat. 1997, 10, 201–206. [Google Scholar] [CrossRef]
- Hamzehloei, T.; West, S.P.; Chapman, P.; Burn, J.; Curtis, A. Mutation Detection in Exons 1-14 of the Adenomatous Polyposis Coli Gene: Identification of an Alternatively Spliced Transcript. Mol. Cell Probes 1996, 10, 379–385. [Google Scholar] [CrossRef]
- Resta, N.; Stella, A.; Susca, F.; Montera, M.; Gentile, M.; Cariola, F.; Prete, F.; Tenconi, R.; Tibiletti, M.G.; Logrieco, G.; et al. Nine Novel APC Mutations in Italian FAP Patients. Hum. Mutat. 2001, 17, 434–435. [Google Scholar] [CrossRef]
- Genome Browsers 1000 Genomes. Available online: http://www.internationalgenome.org/1000-genomes-browsers/ (accessed on 18 December 2020).
- 1000 Genomes Project Consortium; Auton, A.; Brooks, L.D.; Durbin, R.M.; Garrison, E.P.; Kang, H.M.; Korbel, J.O.; Marchini, J.L.; McCarthy, S.; McVean, G.A.; et al. A Global Reference for Human Genetic Variation. Nature 2015, 526, 68–74. [Google Scholar]
- dbSNP Home Page. Available online: https://www.ncbi.nlm.nih.gov/snp/ (accessed on 18 December 2020).
- Smigielski, E.M.; Sirotkin, K.; Ward, M.; Sherry, S.T. dbSNP: A database of single nucleotide polymorphisms. Nucleic Acids Res. 2000, 28, 352–355. [Google Scholar] [CrossRef]
- gnomAD Browser Home Page. Available online: https://gnomad.broadinstitute.org/ (accessed on 18 December 2020).
- Karczewski, K.J.; Francioli, L.C.; Tiao, G.; Cummings, B.B.; Alföldi, J.; Wang, Q.; Collins, R.L.; Laricchia, K.M.; Ganna, A.; Birnbaum, D.P.; et al. The Mutational Constraint Spectrum Quantified from Variation in 141,456 Humans. Nature 2020, 581, 434–443. [Google Scholar] [CrossRef] [PubMed]
- NHLBI Exome Sequencing Project (ESP) Home Page. Available online: https://evs.gs.washington.edu/EVS/ (accessed on 18 December 2020).
- Auer, P.L.; Reiner, A.P.; Wang, G.; Kang, H.M.; Abecasis, G.R.; Altshuler, D.; Bamshad, M.J.; Nickerson, D.A.; Tracy, R.P.; Rich, S.S.; et al. Guidelines for Large-Scale Sequence-Based Complex Trait Association Studies: Lessons Learned from the NHLBI Exome Sequencing Project. Am. J. Hum. Genet. 2016, 99, 791–801. [Google Scholar] [CrossRef] [PubMed]
- Stenson, P.D.; Mort, M.; Ball, E.V.; Evans, K.; Hayden, M.; Heywood, S.; Hussain, M.; Phillips, A.D.; Cooper, D.N. The Human Gene Mutation Database: Towards a Comprehensive Repository of Inherited Mutation Data for Medical Research, Genetic Diagnosis and next-Generation Sequencing Studies. Hum. Genet. 2017, 136, 665–677. [Google Scholar] [CrossRef] [PubMed]
- Insight Home Page. Available online: https://www.insight-group.org/ (accessed on 18 December 2020).
- Tricarico, R.; Kasela, M.; Mareni, C.; Thompson, B.A.; Drouet, A.; Staderini, L.; Gorelli, G.; Crucianelli, F.; Ingrosso, V.; Kantelinen, J.; et al. InSiGHT Variant Interpretation Committee. Assessment of the InSiGHT Interpretation Criteria for the Clinical Classification of 24 MLH1 and MSH2 Gene Variants. Hum. Mutat. 2017, 38, 64–77. [Google Scholar] [CrossRef] [PubMed]
- Clinvar Home Page. Available online: https://www.ncbi.nlm.nih.gov/clinvar/ (accessed on 18 December 2020).
- Landrum, M.J.; Lee, J.M.; Riley, G.R.; Jang, W.; Rubinstein, W.S.; Church, D.M.; Maglott, D.R. ClinVar: Public Archive of Relationships among Sequence Variation and Human Phenotype. Nucleic Acids Res. 2014, 42, D980–D985. [Google Scholar] [CrossRef]
- Richards, S.; Aziz, N.; Bale, S.; Bick, D.; Das, S.; Gastier-Foster, J.; Grody, W.W.; Hegde, M.; Lyon, E.; Spector, E.; et al. Standards and Guidelines for the Interpretation of Sequence Variants: A Joint Consensus Recommendation of the American College of Medical Genetics and Genomics and the Association for Molecular Pathology. Genet. Med. 2015, 17, 405–424. [Google Scholar] [CrossRef] [PubMed]
- Kerr, S.E.; Thomas, C.B.; Thibodeau, S.N.; Ferber, M.J.; Halling, K.C. APC Germline Mutations in Individuals Being Evaluated for Familial Adenomatous Polyposis: A Review of the Mayo Clinic Experience with 1591 Consecutive Tests. J. Mol. Diagn. 2013, 15, 31–43. [Google Scholar] [CrossRef] [PubMed]
- Soussi, T.; Leroy, B.; Devir, M.; Rosenberg, S. High Prevalence of Cancer-Associated TP53 Variants in the GnomAD Database: A Word of Caution Concerning the Use of Variant Filtering. Hum. Mutat. 2019, 40, 516–524. [Google Scholar] [CrossRef] [PubMed]
- Woods, M.O.; Younghusband, H.B.; Parfrey, P.S.; Gallinger, S.; McLaughlin, J.; Dicks, E.; Stuckless, S.; Pollett, A.; Bapat, B.; Mrkonjic, M.; et al. The Genetic Basis of Colorectal Cancer in a Population-Based Incident Cohort with a High Rate of Familial Disease. Gut 2010, 59, 1369–1377. [Google Scholar] [CrossRef] [PubMed]
- Plawski, A.; Slomski, R. APC Gene Mutations Causing Familial Adenomatous Polyposis in Polish Patients. J. Appl. Genet. 2008, 49, 407–414. [Google Scholar] [CrossRef]
- Olschwang, S.; Laurent-Puig, P.; Groden, J.; White, R.; Thomas, G. Germ-Line Mutations in the First 14 Exons of the Adenomatous Polyposis Coli (APC) Gene. Am. J. Hum. Genet. 1993, 52, 273–279. [Google Scholar]
- Jarry, J.; Brunet, J.-S.; Laframboise, R.; Drouin, R.; Latreille, J.; Richard, C.; Gekas, J.; Maranda, B.; Monczak, Y.; Wong, N.; et al. A Survey of APC Mutations in Quebec. Fam. Cancer 2011, 10, 659–665. [Google Scholar] [CrossRef]
- Grandval, P.; Blayau, M.; Buisine, M.-P.; Coulet, F.; Maugard, C.; Pinson, S.; Remenieras, A.; Tinat, J.; Uhrhammer, N.; Béroud, C.; et al. The UMD-APC Database, a Model of Nation-Wide Knowledge Base: Update with Data from 3,581 Variations. Hum. Mutat. 2014, 35, 532–536. [Google Scholar] [CrossRef]
- Tsukanov, A.S.; Pospekhova, N.I.; Shubin, V.P.; Kuzminov, A.M.; Kashnikov, V.N.; Frolov, S.A.; Shelygin, Y.A. Mutations in the APC Gene in Russian Patients with Classic Form of Familial Adenomatous Polyposis. Russ. J. Genet. 2017, 53, 369–375. [Google Scholar] [CrossRef]
- Aretz, S.; Uhlhaas, S.; Sun, Y.; Pagenstecher, C.; Mangold, E.; Caspari, R.; Möslein, G.; Schulmann, K.; Propping, P.; Friedl, W. Familial Adenomatous Polyposis: Aberrant Splicing Due to Missense or Silent Mutations in the APC Gene. Hum. Mutat. 2004, 24, 370–380. [Google Scholar] [CrossRef] [PubMed]
- Friedl, W.; Aretz, S. Familial Adenomatous Polyposis: Experience from a Study of 1164 Unrelated German Polyposis Patients. Hered. Cancer Clin. Pract. 2005, 3, 95–114. [Google Scholar] [CrossRef] [PubMed]
- González, S.; Blanco, I.; Campos, O.; Julià, M.; Reyes, J.; Llompart, A.; Cabeza, E.; Germà, J.R.; Obrador, A.; Capellá, G. Founder Mutation in Familial Adenomatous Polyposis (FAP) in the Balearic Islands. Cancer Genet. Cytogenet. 2005, 158, 70–74. [Google Scholar] [CrossRef]
- Rivera, B.; González, S.; Sánchez-Tomé, E.; Blanco, I.; Mercadillo, F.; Letón, R.; Benítez, J.; Robledo, M.; Capellá, G.; Urioste, M. Clinical and Genetic Characterization of Classical Forms of Familial Adenomatous Polyposis: A Spanish Population Study. Ann. Oncol. 2011, 22, 903–909. [Google Scholar] [CrossRef] [PubMed]
- Spirio, L.; Green, J.; Robertson, J.; Robertson, M.; Otterud, B.; Sheldon, J.; Howse, E.; Green, R.; Groden, J.; White, R.; et al. The Identical 5’ Splice-Site Acceptor Mutation in Five Attenuated APC Families from Newfoundland Demonstrates a Founder Effect. Hum. Genet. 1999, 105, 388–398. [Google Scholar] [CrossRef]
- Moisio, A.-L.; Järvinen, H.; Peltomäki, P. Genetic and Clinical Characterisation of Familial Adenomatous Polyposis: A Population Based Study. Gut 2002, 50, 845–850. [Google Scholar] [CrossRef]
- Stekrova, J.; Sulova, M.; Kebrdlova, V.; Zidkova, K.; Kotlas, J.; Ilencikova, D.; Vesela, K.; Kohoutova, M. Novel APC Mutations in Czech and Slovak FAP Families: Clinical and Genetic Aspects. BMC Med. Genet. 2007, 8, 16. [Google Scholar] [CrossRef]
- Schwarzová, L.; Štekrová, J.; Florianová, M.; Novotný, A.; Schneiderová, M.; Lněnička, P.; Kebrdlová, V.; Kotlas, J.; Veselá, K.; Kohoutová, M. Novel Mutations of the APC Gene and Genetic Consequences of Splicing Mutations in the Czech FAP Families. Fam. Cancer 2013, 12, 35–42. [Google Scholar] [CrossRef]
- Wang, D.; Zhang, Z.; Li, Y.; Xu, C.; Yu, Y.; Li, M.; Chen, C.; Zhang, X. Adenomatous Polyposis Coli Gene Mutations in 22 Chinese Pedigrees with Familial Adenomatous Polyposis. Med. Sci. Monit. 2019, 25, 3796–3803. [Google Scholar] [CrossRef] [PubMed]
- Armstrong, J.G.; Davies, D.R.; Guy, S.P.; Frayling, I.M.; Evans, D.G. APC Mutations in Familial Adenomatous Polyposis Families in the Northwest of England. Hum. Mutat. 1997, 10, 376–380. [Google Scholar] [CrossRef]
- Yurgelun, M.B.; Kulke, M.H.; Fuchs, C.S.; Allen, B.A.; Uno, H.; Hornick, J.L.; Ukaegbu, C.I.; Brais, L.K.; McNamara, P.G.; Mayer, R.J.; et al. Cancer Susceptibility Gene Mutations in Individuals With Colorectal Cancer. J. Clin. Oncol. 2017, 35, 1086–1095. [Google Scholar] [CrossRef]
- Susswein, L.R.; Marshall, M.L.; Nusbaum, R.; Vogel Postula, K.J.; Weissman, S.M.; Yackowski, L.; Vaccari, E.M.; Bissonnette, J.; Booker, J.K.; Cremona, M.L.; et al. Pathogenic and Likely Pathogenic Variant Prevalence among the First 10,000 Patients Referred for next-Generation Cancer Panel Testing. Genet. Med. 2016, 18, 823–832. [Google Scholar] [CrossRef]
- Kaufmann, A.; Vogt, S.; Uhlhaas, S.; Stienen, D.; Kurth, I.; Hameister, H.; Mangold, E.; Kötting, J.; Kaminsky, E.; Propping, P.; et al. Analysis of Rare APC Variants at the MRNA Level: Six Pathogenic Mutations and Literature Review. J. Mol. Diagn. 2009, 11, 131–139. [Google Scholar] [CrossRef]
- Spier, I.; Horpaopan, S.; Vogt, S.; Uhlhaas, S.; Morak, M.; Stienen, D.; Draaken, M.; Ludwig, M.; Holinski-Feder, E.; Nöthen, M.M.; et al. Deep Intronic APC Mutations Explain a Substantial Proportion of Patients with Familial or Early-Onset Adenomatous Polyposis. Hum. Mutat. 2012, 33, 1045–1050. [Google Scholar] [CrossRef] [PubMed]
- van der Klift, H.M.; Jansen, A.M.L.; van der Steenstraten, N.; Bik, E.C.; Tops, C.M.J.; Devilee, P.; Wijnen, J.T. Splicing Analysis for Exonic and Intronic Mismatch Repair Gene Variants Associated with Lynch Syndrome Confirms High Concordance between Minigene Assays and Patient RNA Analyses. Mol. Genet. Genom. Med. 2015, 3, 327–345. [Google Scholar] [CrossRef] [PubMed]
- Won, Y.J.; Park, K.J.; Kwon, H.J.; Lee, J.H.; Kim, J.H.; Kim, Y.J.; Chun, S.H.; Han, H.J.; Park, J.G. Germline Mutations of the APC Gene in Korean Familial Adenomatous Polyposis Patients. J. Hum. Genet. 1999, 44, 103–108. [Google Scholar] [CrossRef][Green Version]
- Sheng, J.-Q.; Cui, W.-J.; Fu, L.; Jin, P.; Han, Y.; Li, S.-J.; Fan, R.-Y.; Li, A.-Q.; Zhang, M.-Z.; Li, S.-R. APC Gene Mutations in Chinese Familial Adenomatous Polyposis Patients. World J. Gastroenterol. 2010, 16, 1522–1526. [Google Scholar] [CrossRef]
- Wallis, Y.L.; Morton, D.G.; McKeown, C.M.; Macdonald, F. Molecular Analysis of the APC Gene in 205 Families: Extended Genotype-Phenotype Correlations in FAP and Evidence for the Role of APC Amino Acid Changes in Colorectal Cancer Predisposition. J. Med. Genet. 1999, 36, 14–20. [Google Scholar] [PubMed]
- van der Luijt, R.B.; Khan, P.M.; Vasen, H.F.; Tops, C.M.; van Leeuwen-Cornelisse, I.S.; Wijnen, J.T.; van der Klift, H.M.; Plug, R.J.; Griffioen, G.; Fodde, R. Molecular Analysis of the APC Gene in 105 Dutch Kindreds with Familial Adenomatous Polyposis: 67 Germline Mutations Identified by DGGE, PTT, and Southern Analysis. Hum. Mutat. 1997, 9, 7–16. [Google Scholar] [CrossRef]
- Kim, D.-W.; Kim, I.-J.; Kang, H.C.; Park, H.-W.; Shin, Y.; Park, J.-H.; Jang, S.-G.; Yoo, B.C.; Lee, M.R.; Hong, C.W.; et al. Mutation Spectrum of the APC Gene in 83 Korean FAP Families. Hum. Mutat. 2005, 26, 281. [Google Scholar] [CrossRef]
- Lagarde, A.; Rouleau, E.; Ferrari, A.; Noguchi, T.; Qiu, J.; Briaux, A.; Bourdon, V.; Rémy, V.; Gaildrat, P.; Adélaïde, J.; et al. Germline APC Mutation Spectrum Derived from 863 Genomic Variations Identified through a 15-Year Medical Genetics Service to French Patients with FAP. J. Med. Genet. 2010, 47, 721–722. [Google Scholar] [CrossRef]
- Kanter-Smoler, G.; Fritzell, K.; Rohlin, A.; Engwall, Y.; Hallberg, B.; Bergman, A.; Meuller, J.; Grönberg, H.; Karlsson, P.; Björk, J.; et al. Clinical Characterization and the Mutation Spectrum in Swedish Adenomatous Polyposis Families. BMC Med. 2008, 6, 10. [Google Scholar] [CrossRef]
- Iwaizumi, M.; Tao, H.; Yamaguchi, K.; Yamada, H.; Shinmura, K.; Kahyo, T.; Yamanaka, Y.; Kurachi, K.; Sugimoto, K.; Furukawa, Y.; et al. A Novel APC Mosaicism in a Patient with Familial Adenomatous Polyposis. Hum. Genome Var. 2015, 2, 15057. [Google Scholar] [CrossRef] [PubMed]
- Pedemonte, S.; Sciallero, S.; Gismondi, V.; Stagnaro, P.; Biticchi, R.; Haeouaine, A.; Bonelli, L.; Nicolŏ, G.; Groden, J.; Bruzzi, P.; et al. Novel Germline APC Variants in Patients with Multiple Adenomas. Genes Chromosomes Cancer 1998, 22, 257–267. [Google Scholar] [CrossRef]
- Castellsagué, E.; González, S.; Guinó, E.; Stevens, K.N.; Borràs, E.; Raymond, V.M.; Lázaro, C.; Blanco, I.; Gruber, S.B.; Capellá, G. Allele-Specific Expression of APC in Adenomatous Polyposis Families. Gastroenterology 2010, 139, 439–447.e1. [Google Scholar] [CrossRef] [PubMed]
- Fostira, F.; Thodi, G.; Sandaltzopoulos, R.; Fountzilas, G.; Yannoukakos, D. Mutational Spectrum of APC and Genotype-Phenotype Correlations in Greek FAP Patients. BMC Cancer 2010, 10, 389. [Google Scholar] [CrossRef] [PubMed]
- Charames, G.S.; Cheng, H.; Gilpin, C.A.; Hunter, A.G.W.; Berk, T.; Bapat, B. A Novel Aberrant Splice Site Mutation in the APC Gene. J. Med. Genet. 2002, 39, 754–757. [Google Scholar] [CrossRef] [PubMed]
- Gavert, N.; Yaron, Y.; Naiman, T.; Bercovich, D.; Rozen, P.; Shomrat, R.; Legum, C.; Orr-Urtreger, A. Molecular Analysis of the APC Gene in 71 Israeli Families: 17 Novel Mutations. Hum. Mutat. 2002, 19, 664. [Google Scholar] [CrossRef]
- Gundesen, C.; Brandt, C.A. Gene Symbol: APC. Disease: Adenomatous Polyposis Coli—Association? Hum. Genet. 2005, 117, 300. [Google Scholar]
- Nielsen, M.; Hes, F.J.; Nagengast, F.M.; Weiss, M.M.; Mathus-Vliegen, E.M.; Morreau, H.; Breuning, M.H.; Wijnen, J.T.; Tops, C.M.J.; Vasen, H.F.A. Germline Mutations in APC and MUTYH Are Responsible for the Majority of Families with Attenuated Familial Adenomatous Polyposis. Clin. Genet. 2007, 71, 427–433. [Google Scholar] [CrossRef]
- Liu, W.Q.; Dong, J.; Peng, Y.X.; Li, W.L.; Yang, J. Synonymous Mutation Adenomatous Polyposis ColiΔ486s Affects Exon Splicing and May Predispose Patients to Adenomatous Polyposis Coli/MutY DNA Glycosylase Mutation-negative Familial Adenomatous Polyposis. Mol. Med. Rep. 2018, 18, 4931–4939. [Google Scholar] [CrossRef]
- Mongin, C.; Coulet, F.; Lefevre, J.H.; Colas, C.; Svrcek, M.; Eyries, M.; Lahely, Y.; Fléjou, J.-F.; Soubrier, F.; Parc, Y. Unexplained Polyposis: A Challenge for Geneticists, Pathologists and Gastroenterologists. Clin. Genet. 2012, 81, 38–46. [Google Scholar] [CrossRef] [PubMed]
- Kohoutová, M.; Stekrová, J.; Jirásek, V.; Kapras, J. APC Germline Mutations Identified in Czech Patients with Familial Adenomatous Polyposis. Hum. Mutat. 2002, 19, 460–461. [Google Scholar] [CrossRef] [PubMed]
- Wang, D.; Liang, S.; Zhang, Z.; Zhao, G.; Hu, Y.; Liang, S.; Zhang, X.; Banerjee, S. A Novel Pathogenic Splice Acceptor Site Germline Mutation in Intron 14 of the APC Gene in a Chinese Family with Familial Adenomatous Polyposis. Oncotarget 2017, 8, 21327–21335. [Google Scholar] [CrossRef][Green Version]
- Cao, X.; Hong, Y.; Eu, K.W.; Loi, C.; Cheah, P.Y. Singapore Familial Adenomatous Polyposis (FAP) Patients with Classical Adenomatous Polyposis but Undetectable APC Mutations Have Accelerated Cancer Progression. Am. J. Gastroenterol. 2006, 101, 2810–2817. [Google Scholar] [CrossRef]
- Montera, M.; Piaggio, F.; Marchese, C.; Gismondi, V.; Stella, A.; Resta, N.; Varesco, L.; Guanti, G.; Mareni, C. A Silent Mutation in Exon 14 of the APC Gene Is Associated with Exon Skipping in a FAP Family. J. Med. Genet. 2001, 38, 863–867. [Google Scholar] [CrossRef]
- Rohlin, A.; Rambech, E.; Kvist, A.; Törngren, T.; Eiengård, F.; Lundstam, U.; Zagoras, T.; Gebre-Medhin, S.; Borg, Å.; Björk, J.; et al. Expanding the Genotype-Phenotype Spectrum in Hereditary Colorectal Cancer by Gene Panel Testing. Fam. Cancer 2017, 16, 195–203. [Google Scholar] [CrossRef] [PubMed]
- Gonçalves, V.; Theisen, P.; Antunes, O.; Medeira, A.; Ramos, J.S.; Jordan, P.; Isidro, G. A Missense Mutation in the APC Tumor Suppressor Gene Disrupts an ASF/SF2 Splicing Enhancer Motif and Causes Pathogenic Skipping of Exon 14. Mutat. Res. 2009, 662, 33–36. [Google Scholar] [CrossRef] [PubMed]
- Mucaki, E.J.; Shirley, B.C.; Rogan, P.K. Prediction of Mutant MRNA Splice Isoforms by Information Theory-Based Exon Definition. Hum. Mutat. 2013, 34, 557–565. [Google Scholar] [CrossRef]
- Tao, H.; Shinmura, K.; Yamada, H.; Maekawa, M.; Osawa, S.; Takayanagi, Y.; Okamoto, K.; Terai, T.; Mori, H.; Nakamura, T.; et al. Identification of 5 Novel Germline APC Mutations and Characterization of Clinical Phenotypes in Japanese Patients with Classical and Attenuated Familial Adenomatous Polyposis. BMC Res. Notes 2010, 3, 305. [Google Scholar] [CrossRef]
- Taki, K.; Sato, Y.; Sato, Y.; Ashihara, Y.; Chino, A.; Igarashi, M.; Sato, K.; Kitagawa, T.; Maetani, I.; Nemoto, C.; et al. A Case of a Child with an APC Pathogenic Mutation, Aberrant Expression of Splice Variants and Positive Family History of FAP. JPN J. Clin. Oncol. 2014, 44, 602–606. [Google Scholar] [CrossRef]
- Nilbert, M.; Kristoffersson, U.; Ericsson, M.; Johannsson, O.; Rambech, E.; Mangell, P. Broad Phenotypic Spectrum in Familial Adenomatous Polyposis; from Early Onset and Severe Phenotypes to Late Onset of Attenuated Polyposis with the First Manifestation at Age 72. BMC Med. Genet. 2008, 9, 101. [Google Scholar] [CrossRef]
- Chiang, J.M.; Chen, H.W.; Tang, R.P.; Chen, J.S.; Changchien, C.R.; Hsieh, P.S.; Wang, J.Y. Mutation Analysis of the APC Gene in Taiwanese FAP Families: Low Incidence of APC Germline Mutation in a Distinct Subgroup of FAP Families. Fam. Cancer 2010, 9, 117–124. [Google Scholar] [CrossRef] [PubMed]
- Daneberga, Z.; Berzina, D.; Borosenko, V.; Krumina, Z.; Kokaine-Sapovalova, L.; Gardovskis, A.; Berga-Svitina, E.; Gardovskis, J.; Miklasevics, E. Pathogenic APC Variants in Latvian Familial Adenomatous Polyposis Patients. Medicina (Kaunas) 2019, 55, 612. [Google Scholar] [CrossRef]
- Truta, B.; Allen, B.A.; Conrad, P.G.; Weinberg, V.; Miller, G.A.; Pomponio, R.; Lipton, L.R.; Guerra, G.; Tomlinson, I.P.M.; Sleisenger, M.H.; et al. A Comparison of the Phenotype and Genotype in Adenomatous Polyposis Patients with and without a Family History. Fam. Cancer 2005, 4, 127–133. [Google Scholar] [CrossRef]
- Kim, B.; Won, D.; Jang, M.; Kim, H.; Choi, J.R.; Kim, T.I.; Lee, S.-T. Next-Generation Sequencing with Comprehensive Bioinformatics Analysis Facilitates Somatic Mosaic APC Gene Mutation Detection in Patients with Familial Adenomatous Polyposis. BMC Med. Genom. 2019, 12, 103. [Google Scholar] [CrossRef] [PubMed]
- Vietri, M.T.; Teresa, V.M.; Selvaggi, F.; Francesco, S.; De Paola, M.L.; Laura, D.P.M.; Sciaudone, G.; Guido, S.; Guadagni, I.; Ilaria, G.; et al. A Novel Frameshift Mutation in Exon 12 of the Adenomatous Polyposis Coli Gene in an Italian Family with Familial Adenomatous Polyposis and Desmoid Tumour. J. Mol. Genet. Med. 2010, 4, 235–238. [Google Scholar] [PubMed]
- Nilbert, M.; Fernebro, J.; Kristoffersson, U. Novel Germline APC Mutations in Swedish Patients with Familial Adenomatous Polyposis and Gardner Syndrome. Scand. J. Gastroenterol. 2000, 35, 1200–1203. [Google Scholar]
- Chubb, D.; Broderick, P.; Frampton, M.; Kinnersley, B.; Sherborne, A.; Penegar, S.; Lloyd, A.; Ma, Y.P.; Dobbins, S.E.; Houlston, R.S. Genetic Diagnosis of High-Penetrance Susceptibility for Colorectal Cancer (CRC) Is Achievable for a High Proportion of Familial CRC by Exome Sequencing. J. Clin. Oncol 2015, 33, 426–432. [Google Scholar] [CrossRef]
- Vandrovcová, J.; Stekrová, J.; Kebrdlová, V.; Kohoutová, M. Molecular Analysis of the APC and MYH Genes in Czech Families Affected by FAP or Multiple Adenomas: 13 Novel Mutations. Hum. Mutat. 2004, 23, 397. [Google Scholar] [CrossRef]
- Marabelli, M.; Molinaro, V.; Abou Khouzam, R.; Berrino, E.; Panero, M.; Balsamo, A.; Venesio, T.; Ranzani, G.N. Colorectal Adenomatous Polyposis: Heterogeneity of Susceptibility Gene Mutations and Phenotypes in a Cohort of Italian Patients. Genet. Test. Mol. Biomark. 2016, 20, 777–785. [Google Scholar] [CrossRef] [PubMed]
- Bougatef, K.; Marrakchi, R.; Moussa, A.; Blondeau-Lahely, Y.; Najjar, T.; Coulet, F.; Colas, C.; Ben Ayed, F.; Ben Ammar Elgaaied, A.; Soubrier, F. First Genetic Analysis in Tunisian Familial Adenomatous Polyposis Probands. Oncol. Rep. 2008, 19, 1213–1218. [Google Scholar] [CrossRef][Green Version]
- Filipe, B.; Baltazar, C.; Albuquerque, C.; Fragoso, S.; Lage, P.; Vitoriano, I.; Mão de Ferro, S.; Claro, I.; Rodrigues, P.; Fidalgo, P.; et al. APC or MUTYH Mutations Account for the Majority of Clinically Well-Characterized Families with FAP and AFAP Phenotype and Patients with More than 30 Adenomas. Clin. Genet. 2009, 76, 242–255. [Google Scholar] [CrossRef] [PubMed]
- Zhan, Q.; Wang, L.; Xu, X.; Sun, Y.; Li, L.; Qi, X.; Chen, F.; Wei, X.; Raff, M.L.; Yu, P.; et al. An APC Mutation in a Large Chinese Kindred With Familial Adenomatous Polyposis Was Identified Using Both Next Generation Sequencing and Simple STR Marker Haplotypes. Front. Genet. 2020, 11, 191. [Google Scholar] [CrossRef] [PubMed]
- Marafie, M.; Al-Elwani, F.L.; Suliman, I.S.A. Familial Adenomatous Polyposis: Two Different APC Gene Mutations in Two Unrelated Arab Families with Differing Response to Genetic Counselling. Middle East. J. Med Genet. 2014, 3, 31–36. [Google Scholar] [CrossRef]
- Mutoh, M.; Akasu, T.; Takahashi, M.; Niho, N.; Yoshida, T.; Sugimura, T.; Wakabayashi, K. Possible Involvement of Hyperlipidemia in Increasing Risk of Colorectal Tumor Development in Human Familial Adenomatous Polyposis. JPN J. Clin. Oncol. 2006, 36, 166–171. [Google Scholar] [CrossRef]
- Han, S.-H.; Ryu, J.-S.; Kim, Y.-J.; Cho, H.-I.; Yang, Y.-H.; Lee, K.-R. Mutation Analysis of the APC Gene in Unrelated Korean Patients with FAP: Four Novel Mutations with Unusual Phenotype. Fam. Cancer 2011, 10, 21–26. [Google Scholar] [CrossRef]
- de Oliveira, J.C.; Viana, D.V.; Zanardo, C.; Santos, E.M.M.; de Paula, A.E.; Palmero, E.I.; Rossi, B.M. Genotype-Phenotype Correlation in 99 Familial Adenomatous Polyposis Patients: A Prospective Prevention Protocol. Cancer Med. 2019, 8, 2114–2122. [Google Scholar] [CrossRef] [PubMed]
- Ruiz-Ponte, C.; Vega, A.; Carracedo, A.; Barros, F. Mutation Analysis of the Adenomatous Polyposis Coli (APC) Gene in Northwest Spanish Patients with Familial Adenomatous Polyposis (FAP) and Sporadic Colorectal Cancer. Hum. Mutat. 2001, 18, 355. [Google Scholar] [CrossRef] [PubMed]
- Nilsen, T.W.; Graveley, B.R. Expansion of the Eukaryotic Proteome by Alternative Splicing. Nature 2010, 463, 457–463. [Google Scholar] [CrossRef]
- Climente-González, H.; Porta-Pardo, E.; Godzik, A.; Eyras, E. The Functional Impact of Alternative Splicing in Cancer. Cell Rep. 2017, 20, 2215–2226. [Google Scholar] [CrossRef]
- Zhang, L.; Shay, J.W. Multiple Roles of APC and Its Therapeutic Implications in Colorectal Cancer. J. Natl. Cancer Inst. 2017, 109, 8. [Google Scholar] [CrossRef] [PubMed]
- Su, L.K.; Barnes, C.J.; Yao, W.; Qi, Y.; Lynch, P.M.; Steinbach, G. Inactivation of Germline Mutant APC Alleles by Attenuated Somatic Mutations: A Molecular Genetic Mechanism for Attenuated Familial Adenomatous Polyposis. Am. J. Hum. Genet. 2000, 67, 582–590. [Google Scholar] [CrossRef] [PubMed]
- Parmeggiani, F.; Pellarin, R.; Larsen, A.P.; Varadamsetty, G.; Stumpp, M.T.; Zerbe, O.; Caflisch, A.; Plückthun, A. Designed Armadillo Repeat Proteins as General Peptide-Binding Scaffolds: Consensus Design and Computational Optimization of the Hydrophobic Core. J. Mol. Biol. 2008, 376, 1282–1304. [Google Scholar] [CrossRef]
- Morishita, E.C.; Murayama, K.; Kato-Murayama, M.; Ishizuka-Katsura, Y.; Tomabechi, Y.; Hayashi, T.; Terada, T.; Handa, N.; Shirouzu, M.; Akiyama, T.; et al. Crystal Structures of the Armadillo Repeat Domain of Adenomatous Polyposis Coli and Its Complex with the Tyrosine-Rich Domain of Sam68. Structure 2011, 19, 1496–1508. [Google Scholar] [CrossRef] [PubMed]
- Kawasaki, Y.; Senda, T.; Ishidate, T.; Koyama, R.; Morishita, T.; Iwayama, Y.; Higuchi, O.; Akiyama, T. Asef, a Link between the Tumor Suppressor APC and G-Protein Signaling. Science 2000, 289, 1194–1197. [Google Scholar] [CrossRef]
- Jimbo, T.; Kawasaki, Y.; Koyama, R.; Sato, R.; Takada, S.; Haraguchi, K.; Akiyama, T. Identification of a Link between the Tumour Suppressor APC and the Kinesin Superfamily. Nat. Cell Biol. 2002, 4, 323–327. [Google Scholar] [CrossRef] [PubMed]
- Watanabe, T.; Wang, S.; Noritake, J.; Sato, K.; Fukata, M.; Takefuji, M.; Nakagawa, M.; Izumi, N.; Akiyama, T.; Kaibuchi, K. Interaction with IQGAP1 Links APC to Rac1, Cdc42, and Actin Filaments during Cell Polarization and Migration. Dev. Cell 2004, 7, 871–883. [Google Scholar] [CrossRef] [PubMed]
- Zhang, Z.; Akyildiz, S.; Xiao, Y.; Gai, Z.; An, Y.; Behrens, J.; Wu, G. Structures of the APC-ARM Domain in Complexes with Discrete Amer1/WTX Fragments Reveal That It Uses a Consensus Mode to Recognize Its Binding Partners. Cell Discov. 2015, 1, 15016. [Google Scholar] [CrossRef]
- Crist, R.C.; Roth, J.J.; Baran, A.A.; McEntee, B.J.; Siracusa, L.D.; Buchberg, A.M. The Armadillo Repeat Domain of Apc Suppresses Intestinal Tumorigenesis. Mamm. Genome 2010, 21, 450–457. [Google Scholar] [CrossRef] [PubMed]
- Kawasaki, Y.; Sato, R.; Akiyama, T. Mutated APC and Asef Are Involved in the Migration of Colorectal Tumour Cells. Nat. Cell Biol. 2003, 5, 211–215. [Google Scholar] [CrossRef]
- Zhang, Z.; Chen, L.; Gao, L.; Lin, K.; Zhu, L.; Lu, Y.; Shi, X.; Gao, Y.; Zhou, J.; Xu, P.; et al. Structural Basis for the Recognition of Asef by Adenomatous Polyposis Coli. Cell Res. 2012, 22, 372–386. [Google Scholar] [CrossRef] [PubMed]
- Tanneberger, K.; Pfister, A.S.; Kriz, V.; Bryja, V.; Schambony, A.; Behrens, J. Structural and Functional Characterization of the Wnt Inhibitor APC Membrane Recruitment 1 (Amer1). J. Biol. Chem. 2011, 286, 19204–19214. [Google Scholar] [CrossRef]
- Li, X.; Zhou, X.; Hua, F.; Fan, Y.; Zu, L.; Wang, Y.; Shen, W.; Pan, H.; Zhou, Q. The RNA-Binding Protein Sam68 Is Critical for Non-Small Cell Lung Cancer Cell Proliferation by Regulating Wnt/β-Catenin Pathway. Int. J. Clin. Exp. Pathol. 2017, 10, 8281–8291. [Google Scholar] [PubMed]
- Albanaz, A.T.S.; Rodrigues, C.H.M.; Pires, D.E.V.; Ascher, D.B. Combating Mutations in Genetic Disease and Drug Resistance: Understanding Molecular Mechanisms to Guide Drug Design. Expert Opin. Drug Discov. 2017, 12, 553–563. [Google Scholar] [CrossRef] [PubMed]
- Trezza, A.; Bernini, A.; Langella, A.; Ascher, D.B.; Pires, D.E.V.; Sodi, A.; Passerini, I.; Pelo, E.; Rizzo, S.; Niccolai, N.; et al. A Computational Approach From Gene to Structure Analysis of the Human ABCA4 Transporter Involved in Genetic Retinal Diseases. Investig. Ophthalmol. Vis. Sci. 2017, 58, 5320–5328. [Google Scholar] [CrossRef] [PubMed]
- Menéndez, M.; González, S.; Obrador-Hevia, A.; Domínguez, A.; Pujol, M.J.; Valls, J.; Canela, N.; Blanco, I.; Torres, A.; Pineda-Lucena, A.; et al. Functional Characterization of the Novel APC N1026S Variant Associated with Attenuated Familial Adenomatous Polyposis. Gastroenterology 2008, 134, 56–64. [Google Scholar] [CrossRef] [PubMed]




| Gene | Variant (Human Genome Variation Society, HGVS) | Chromosome Position (GRCh37) | Location | Observed Effect on splicing | Effect on mRNA (HGVS) | Effect on Protein (HGVS) | Clinical Phenotype (Classic FAP/AFAP) | Reference |
|---|---|---|---|---|---|---|---|---|
| APC | c.1621_1626+7del | chr5:g.112163698- 112163710del | Exon 12/ Intron 12 | Exon 12 skipping | r.1549_1626del | p.A517_Q542del | AFAP | Present study |
| APC | c.1626G>C | chr5:g.112164552G>C | Exon 12 | Exon 12 skipping | r.1549_1626del | p.A517_Q542del | n.d. | [45] |
| APC | c.1627G>T | chr5:g.112164553G>T | Exon 13 | Exon 13 skipping | r.1627_1743del | p.V543_K581del | AFAP | [54] |
| APC | c.1742A>G | chr5:g.112164668A>G | Exon 13 | Exon 13 skipping | r.1627_1743del | p.V543_K581del | AFAP | [59] |
Publisher’s Note: MDPI stays neutral with regard to jurisdictional claims in published maps and institutional affiliations. |
© 2021 by the authors. Licensee MDPI, Basel, Switzerland. This article is an open access article distributed under the terms and conditions of the Creative Commons Attribution (CC BY) license (http://creativecommons.org/licenses/by/4.0/).
Share and Cite
Disciglio, V.; Forte, G.; Fasano, C.; Sanese, P.; Lepore Signorile, M.; De Marco, K.; Grossi, V.; Cariola, F.; Simone, C. APC Splicing Mutations Leading to In-Frame Exon 12 or Exon 13 Skipping Are Rare Events in FAP Pathogenesis and Define the Clinical Outcome. Genes 2021, 12, 353. https://doi.org/10.3390/genes12030353
Disciglio V, Forte G, Fasano C, Sanese P, Lepore Signorile M, De Marco K, Grossi V, Cariola F, Simone C. APC Splicing Mutations Leading to In-Frame Exon 12 or Exon 13 Skipping Are Rare Events in FAP Pathogenesis and Define the Clinical Outcome. Genes. 2021; 12(3):353. https://doi.org/10.3390/genes12030353
Chicago/Turabian StyleDisciglio, Vittoria, Giovanna Forte, Candida Fasano, Paola Sanese, Martina Lepore Signorile, Katia De Marco, Valentina Grossi, Filomena Cariola, and Cristiano Simone. 2021. "APC Splicing Mutations Leading to In-Frame Exon 12 or Exon 13 Skipping Are Rare Events in FAP Pathogenesis and Define the Clinical Outcome" Genes 12, no. 3: 353. https://doi.org/10.3390/genes12030353
APA StyleDisciglio, V., Forte, G., Fasano, C., Sanese, P., Lepore Signorile, M., De Marco, K., Grossi, V., Cariola, F., & Simone, C. (2021). APC Splicing Mutations Leading to In-Frame Exon 12 or Exon 13 Skipping Are Rare Events in FAP Pathogenesis and Define the Clinical Outcome. Genes, 12(3), 353. https://doi.org/10.3390/genes12030353

