VEGFA and NFE2L2 Gene Expression and Regulation by MicroRNAs in Thyroid Papillary Cancer and Colloid Goiter
Abstract
1. Introduction
2. Materials and Methods
2.1. Specimens
2.2. Computer Prediction of miRs
2.3. Expression of NFE2L2, VEGFA, miR-17-5p, and miR-612
2.4. Quantification of Protein Expression in Tissue Samples
2.5. Cell Line TPC-1 Culture
2.6. Transfection in the TPC-1 Cell Line
2.7. Statistical Analyses
3. Results
3.1. Characteristics of the Samples
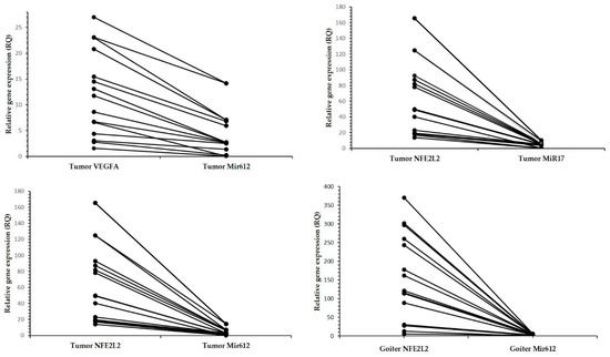
3.2. Expression of VEGFA, NFE2L2, miR-17-5p, and miR-612 in Fresh Tissue Samples
3.3. Correlation between Expression Levels of VEGFA, NFE2L2, miR-17-5p, and miR-612
3.4. Expression of VEGFA and NRF2 Proteins in Tissues
3.5. Superexpression Assay of miR-612 in the TPC-1 Cell Line
3.6. Inhibition Assay of miR-17-5p in the TPC-1 Cell Line
4. Discussion
5. Conclusions
Supplementary Materials
Author Contributions
Funding
Acknowledgments
Conflicts of Interest
References
- Medeiros-Neto, G. Multinodular Goiter. In Endotext; De Groot, L.J., Chrousos, G., Dungan, K., Feingold, K.R., Grossman, A., Hershman, J.M., Koch, C., Korbonits, M., McLachlan, R., New, M., et al., Eds.; MDText.com, Inc.: Dartmouth, MA, USA, 2016. [Google Scholar]
- Gandolfi, P.P.; Frisina, A.; Raffa, M.; Renda, F.; Rocchetti, O.; Ruggeri, C.; Tombolini, A. The incidence of thyroid carcinoma in multinodular goiter: Retrospective analysis. Acta Bio Med. Atenei Parm. 2004, 75, 114–117. [Google Scholar]
- Campbell, M.J.; Seib, C.D.; Candell, L.; Gosnell, J.E.; Duh, Q.Y.; Clark, O.H.; Shen, W.T. The underestimated risk of cancer in patients with multinodular goiters after a benign fine needle aspiration. World J. Surg. 2015, 39, 695–700. [Google Scholar] [CrossRef]
- Ferlay, J.; Shin, H.-R.; Bray, F.; Forman, D.; Mathers, C.; Parkin, D.M. Estimates of worldwide burden of cancer in 2008: GLOBOCAN 2008. Int. J. Cancer 2010, 127, 2893–2917. [Google Scholar] [CrossRef]
- Jemal, A. Cancer Statistics, 2010. CA Cancer J. Clin. 2011, 61, 133. [Google Scholar] [CrossRef]
- DeLellis, R.A. Pathology and Genetics of Tumours of Endocrine Organs; IARC Press: Lyon, France, 2004; p. 320. [Google Scholar]
- Biselli-Chicote, P.M.; Oliveira, A.R.; Pavarino, E.C.; Goloni-Bertollo, E.M. VEGF gene alternative splicing: Pro- and anti-angiogenic isoforms in cancer. J. Cancer Res. Clin. Oncol. 2012, 138, 363–370. [Google Scholar] [CrossRef]
- Ferrara, N.; Gerber, H.P.; LeCouter, J. The biology of VEGF and its receptors. Nat. Med. 2003, 9, 669–676. [Google Scholar] [CrossRef]
- Sporn, M.B.; Liby, K.T. NRF2 and cancer: The good, the bad and the importance of context. Nat. Rev. Cancer 2012, 12, 564–571. [Google Scholar] [CrossRef]
- Bartel, D.P. MicroRNAs: Genomics, biogenesis, mechanism, and function. Cell 2004, 116, 281–297. [Google Scholar] [CrossRef]
- Greene, F.L. The American Joint Committee on Cancer: Updating the strategies in cancer staging. Bull. Am. Coll. Surg. 2002, 87, 13–15. [Google Scholar] [PubMed]
- Pfaffl, M.W. A new mathematical model for relative quantification in real-time RT-PCR. Nucleic Acids Res. 2001, 29, e45. [Google Scholar] [CrossRef] [PubMed]
- Tanaka, J.; Ogura, T.; Sato, H.; Hatano, M. Establishment and biological characterization of an in vitro human cytomegalovirus latency model. Virology 1987, 161, 62–72. [Google Scholar] [CrossRef]
- Porcu, E.; Medici, M.; Pistis, G.; Volpato, C.B.; Wilson, S.G.; Cappola, A.R.; Bos, S.D.; Deelen, J.; den Heijer, M.; Freathy, R.M.; et al. A meta-analysis of thyroid-related traits reveals novel loci and gender-specific differences in the regulation of thyroid function. PLoS Genet. 2013, 9, e1003266. [Google Scholar] [CrossRef] [PubMed]
- Salajegheh, A.; Pakneshan, S.; Rahman, A.; Dolan-Evans, E.; Zhang, S.; Kwong, E.; Gopalan, V.; Lo, C.Y.; Smith, R.A.; Lam, A.K. Co-regulatory potential of vascular endothelial growth factor-A and vascular endothelial growth factor-C in thyroid carcinoma. Hum. Pathol. 2013, 44, 2204–2212. [Google Scholar] [CrossRef] [PubMed]
- Salajegheh, A.; Vosgha, H.; Rahman, M.A.; Amin, M.; Smith, R.A.; Lam, A.K. Interactive role of miR-126 on VEGF-A and progression of papillary and undifferentiated thyroid carcinoma. Hum. Pathol. 2016, 51, 75–85. [Google Scholar] [CrossRef] [PubMed]
- Malkomes, P.; Oppermann, E.; Bechstein, W.O.; Holzer, K. Vascular endothelial growth factor--marker for proliferation in thyroid diseases? Exp. Clin. Endocrinol. Diabetes 2013, 121, 6–13. [Google Scholar] [CrossRef][Green Version]
- Mohamad Pakarul Razy, N.H.; Wan Abdul Rahman, W.F.; Win, T.T. Expression of Vascular Endothelial Growth Factor and Its Receptors in Thyroid Nodular Hyperplasia and Papillary Thyroid Carcinoma: A Tertiary Health Care Centre Based Study. Asian Pac. J. Cancer Prev. APJCP 2019, 20, 277–282. [Google Scholar] [CrossRef] [PubMed]
- Martinez, V.D.; Vucic, E.A.; Pikor, L.A.; Thu, K.L.; Hubaux, R.; Lam, W.L. Frequent concerted genetic mechanisms disrupt multiple components of the NRF2 inhibitor KEAP1/CUL3/RBX1 E3-ubiquitin ligase complex in thyroid cancer. Mol. Cancer 2013, 12, 124. [Google Scholar] [CrossRef]
- Ziros, P.G.; Manolakou, S.D.; Habeos, I.G.; Lilis, I.; Chartoumpekis, D.V.; Koika, V.; Soares, P.; Kyriazopoulou, V.E.; Scopa, C.D.; Papachristou, D.J.; et al. Nrf2 is commonly activated in papillary thyroid carcinoma, and it controls antioxidant transcriptional responses and viability of cancer cells. J. Clin. Endocrinol. Metab. 2013, 98, E1422–E1427. [Google Scholar] [CrossRef]
- Teshiba, R.; Tajiri, T.; Sumitomo, K.; Masumoto, K.; Taguchi, T.; Yamamoto, K. Identification of a KEAP1 germline mutation in a family with multinodular goitre. PLoS ONE 2013, 8, e65141. [Google Scholar] [CrossRef]
- Geng, W.J.; Shan, L.B.; Wang, J.S.; Li, N.; Wu, Y.M. Expression and significance of Nrf2 in papillary thyroid carcinoma and thyroid goiter. Zhonghua Zhong Liu Za Zhi [Chin. J. Oncol.] 2017, 39, 367–368. [Google Scholar] [CrossRef]
- Ramsden, J.D. Angiogenesis in the thyroid gland. J. Endocrinol. 2000, 166, 475–480. [Google Scholar] [CrossRef] [PubMed]
- Klein, M.; Catargi, B. VEGF in physiological process and thyroid disease. Annales d Endocrinologie 2007, 68, 438–448. [Google Scholar] [CrossRef] [PubMed]
- Wolinski, K.; Stangierski, A.; Szczepanek-Parulska, E.; Gurgul, E.; Budny, B.; Wrotkowska, E.; Biczysko, M.; Ruchala, M. VEGF-C Is a Thyroid Marker of Malignancy Superior to VEGF-A in the Differential Diagnostics of Thyroid Lesions. PLoS ONE 2016, 11, e0150124. [Google Scholar] [CrossRef] [PubMed]
- Gu, R.; Huang, S.; Huang, W.; Li, Y.; Liu, H.; Yang, L.; Huang, Z. MicroRNA-17 family as novel biomarkers for cancer diagnosis: A meta-analysis based on 19 articles. Tumour Biol. J. Int. Soc. Oncodevelopmental Biol. Med. 2016, 37, 6403–6411. [Google Scholar] [CrossRef] [PubMed]
- Yuan, Z.M.; Yang, Z.L.; Zheng, Q. Deregulation of microRNA expression in thyroid tumors. J. Zhejiang Univ. Sci. B 2014, 15, 212–224. [Google Scholar] [CrossRef]
- Yang, Z.; Yuan, Z.; Fan, Y.; Deng, X.; Zheng, Q. Integrated analyses of microRNA and mRNA expression profiles in aggressive papillary thyroid carcinoma. Mol. Med. Rep. 2013, 8, 1353–1358. [Google Scholar] [CrossRef]
- Zhao, S.; Li, J. Sphingosine-1-phosphate induces the migration of thyroid follicular carcinoma cells through the microRNA-17/PTK6/ERK1/2 pathway. PLoS ONE 2015, 10, e0119148. [Google Scholar] [CrossRef][Green Version]
- Sheng, L.; He, P.; Yang, X.; Zhou, M.; Feng, Q. miR-612 negatively regulates colorectal cancer growth and metastasis by targeting AKT2. Cell Death Dis. 2015, 6, e1808. [Google Scholar] [CrossRef]
- Tao, Z.H.; Wan, J.L.; Zeng, L.Y.; Xie, L.; Sun, H.C.; Qin, L.X.; Wang, L.; Zhou, J.; Ren, Z.G.; Li, Y.X.; et al. miR-612 suppresses the invasive-metastatic cascade in hepatocellular carcinoma. J. Exp. Med. 2013, 210, 789–803. [Google Scholar] [CrossRef]
- Fiedler, J.; Thum, T. New Insights Into miR-17-92 Cluster Regulation and Angiogenesis. Circ. Res. 2016, 118, 9–11. [Google Scholar] [CrossRef]
- Chamorro-Jorganes, A.; Lee, M.Y.; Araldi, E.; Landskroner-Eiger, S.; Fernandez-Fuertes, M.; Sahraei, M.; Quiles Del Rey, M.; van Solingen, C.; Yu, J.; Fernandez-Hernando, C.; et al. VEGF-Induced Expression of miR-17-92 Cluster in Endothelial Cells Is Mediated by ERK/ELK1 Activation and Regulates Angiogenesis. Circ. Res. 2016, 118, 38–47. [Google Scholar] [CrossRef] [PubMed]
- Zhou, S.; Ye, W.; Zhang, M.; Liang, J. The effects of nrf2 on tumor angiogenesis: A review of the possible mechanisms of action. Crit. Rev. Eukaryot. Gene Expr. 2012, 22, 149–160. [Google Scholar] [CrossRef] [PubMed]
- Greenberg, E.; Hajdu, S.; Nemlich, Y.; Cohen, R.; Itzhaki, O.; Jacob-Hirsch, J.; Besser, M.J.; Schachter, J.; Markel, G. Differential regulation of aggressive features in melanoma cells by members of the miR-17-92 complex. Open Biol. 2014, 4, 140030. [Google Scholar] [CrossRef] [PubMed][Green Version]
- Ye, W.; Lv, Q.; Wong, C.K.; Hu, S.; Fu, C.; Hua, Z.; Cai, G.; Li, G.; Yang, B.B.; Zhang, Y. The effect of central loops in miRNA:MRE duplexes on the efficiency of miRNA-mediated gene regulation. PLoS ONE 2008, 3, e1719. [Google Scholar] [CrossRef]
- Karginov, F.V.; Hannon, G.J. Remodeling of Ago2-mRNA interactions upon cellular stress reflects miRNA complementarity and correlates with altered translation rates. Genes Dev. 2013, 27, 1624–1632. [Google Scholar] [CrossRef]
- Pillai, M.M.; Gillen, A.E.; Yamamoto, T.M.; Kline, E.; Brown, J.; Flory, K.; Hesselberth, J.R.; Kabos, P. HITS-CLIP reveals key regulators of nuclear receptor signaling in breast cancer. Breast Cancer Res. Treat. 2014, 146, 85–97. [Google Scholar] [CrossRef]
- Baraniskin, A.; Kuhnhenn, J.; Schlegel, U.; Chan, A.; Deckert, M.; Gold, R.; Maghnouj, A.; Zollner, H.; Reinacher-Schick, A.; Schmiegel, W.; et al. Identification of microRNAs in the cerebrospinal fluid as marker for primary diffuse large B-cell lymphoma of the central nervous system. Blood 2011, 117, 3140–3146. [Google Scholar] [CrossRef]
- Rojo, A.I.; Rada, P.; Mendiola, M.; Ortega-Molina, A.; Wojdyla, K.; Rogowska-Wrzesinska, A.; Hardisson, D.; Serrano, M.; Cuadrado, A. The PTEN/NRF2 axis promotes human carcinogenesis. Antioxid. Redox Signal. 2014, 21, 2498–2514. [Google Scholar] [CrossRef]





| Characteristics | Tumor | Goiter |
|---|---|---|
| Gender | ||
| Female (F) | 13 (86.7%) | 14 (93.4%) |
| Male (M) | 2 (13.3%) | 1 (6.6%) |
| Age | ||
| <45 | F: 7 (46.6%); M: 1 (6.7%) | F: 6 (40%); M: 1 (6.7%) |
| ≥45 | F: 6 (40%); M: 1 (6.7%) | F: 8 (53.3%); M: 0 (-) |
| Tumor extent | ||
| I | 8 (53.4%) | |
| II-III | 7 (46.6%) | |
| Nodal metastasis | 2 (13.3%) | |
| Distant metastasis | 2 (13.3%) |
| Tumor | Goiter | |||||||
|---|---|---|---|---|---|---|---|---|
| Gene | RQ Median | Min | Max | P | RQ Median | Min | Max | P |
| VEGFA | 1.516 | 0.059 | 6.605 | 0.0125 * | 20.010 | 8.595 | 32.260 | <0.0001 * |
| NFE2L2 | 5.446 | 0.045 | 40.76 | 0.0061 * | 23.380 | 0.278 | 68.780 | 0.0009 * |
| MicroRNAs | ||||||||
| miR-17-5p | 0.206 | 0.007 | 3.305 | 0.094 | 0.099 | 0.006 | 0.879 | <0.0001 * |
| miR-612 | 0.181 | 0.002 | 7.097 | 0.135 | 0.044 | 0.003 | 0.238 | 0.015 * |
| Tumor-Adjacent Tissue | Goiter -Adjacent Tissue | |||||||
|---|---|---|---|---|---|---|---|---|
| Gene | RQ Median | Min | Max | P | RQ Median | Min | Max | P |
| VEGFA | 3.405 | 0.010 | 8.190 | 0.0023 * | 20.720 | 13.820 | 55.970 | <0.0001 * |
| NFE2L2 | 23.990 | 0.039 | 76.920 | 0.0149 * | 15.870 | 2.417 | 83.740 | <0.0001 * |
| MicroRNAs | ||||||||
| miR-17-5p | 0.256 | 0.059 | 11.020 | 0.118 | 0.209 | 0.043 | 10.930 | 0.0448 * |
| miR-612 | 0.128 | 0.003 | 20.790 | 0.016 * | 0.092 | 0.001 | 4.413 | 0.0131 * |
| Tumor | Goiter | |||||||
|---|---|---|---|---|---|---|---|---|
| VEGFA | NFE2L2 | VEGFA | NFE2L2 | |||||
| R2 | P | R2 | P | R2 | P | R2 | P | |
| miR17-5p | −0.411 | 0.130 | −0.067 | 0.019 * | −0.118 | 0.653 | −0.174 | 0.503 |
| miR-612 | −0.546 | 0.038 * | −0.679 | 0.007 * | -0.479 | 0.062 | −0.724 | 0.002 * |
© 2020 by the authors. Licensee MDPI, Basel, Switzerland. This article is an open access article distributed under the terms and conditions of the Creative Commons Attribution (CC BY) license (http://creativecommons.org/licenses/by/4.0/).
Share and Cite
Stuchi, L.P.; Castanhole-Nunes, M.M.U.; Maniezzo-Stuchi, N.; Biselli-Chicote, P.M.; Henrique, T.; Padovani Neto, J.A.; de-Santi Neto, D.; Girol, A.P.; Pavarino, E.C.; Goloni-Bertollo, E.M. VEGFA and NFE2L2 Gene Expression and Regulation by MicroRNAs in Thyroid Papillary Cancer and Colloid Goiter. Genes 2020, 11, 954. https://doi.org/10.3390/genes11090954
Stuchi LP, Castanhole-Nunes MMU, Maniezzo-Stuchi N, Biselli-Chicote PM, Henrique T, Padovani Neto JA, de-Santi Neto D, Girol AP, Pavarino EC, Goloni-Bertollo EM. VEGFA and NFE2L2 Gene Expression and Regulation by MicroRNAs in Thyroid Papillary Cancer and Colloid Goiter. Genes. 2020; 11(9):954. https://doi.org/10.3390/genes11090954
Chicago/Turabian StyleStuchi, Leonardo P., Márcia Maria U. Castanhole-Nunes, Nathália Maniezzo-Stuchi, Patrícia M. Biselli-Chicote, Tiago Henrique, João Armando Padovani Neto, Dalisio de-Santi Neto, Ana Paula Girol, Erika C. Pavarino, and Eny Maria Goloni-Bertollo. 2020. "VEGFA and NFE2L2 Gene Expression and Regulation by MicroRNAs in Thyroid Papillary Cancer and Colloid Goiter" Genes 11, no. 9: 954. https://doi.org/10.3390/genes11090954
APA StyleStuchi, L. P., Castanhole-Nunes, M. M. U., Maniezzo-Stuchi, N., Biselli-Chicote, P. M., Henrique, T., Padovani Neto, J. A., de-Santi Neto, D., Girol, A. P., Pavarino, E. C., & Goloni-Bertollo, E. M. (2020). VEGFA and NFE2L2 Gene Expression and Regulation by MicroRNAs in Thyroid Papillary Cancer and Colloid Goiter. Genes, 11(9), 954. https://doi.org/10.3390/genes11090954

