Transcriptome Analysis Reveals a Gene Expression Pattern Associated with Fuzz Fiber Initiation Induced by High Temperature in Gossypium barbadense
Abstract
1. Introduction
2. Materials and Methods
2.1. Plant Materials and Temperature Treatments
2.2. Ovule Samples Preparation for SEM Analysis
2.3. Fuzz Phenotype Determination and Fiber Quality Measurement
2.4. Transcriptome Sequencing and Data Analysis
2.5. Determination of Physiological and Biochemical Phenotype
2.6. Validation of RNA-Seq Data by qRT-PCR
3. Results
3.1. Environmental Factors Affect the Fiber Properties of G. barbadense
3.2. Temperature Regulates Fuzz Fiber Initiation and Affects Lint Fiber Development
3.3. Transcriptome Sequencing and Comparative Analysis of Differentially Expressed Genes between Different Stages and Environments
3.4. Gene Expression Trend Analysis and Protein-Protein Interaction (PPI) Network Construction
3.5. Gene Ontology (GO) and KEGG Pathway Analysis of DEGs
3.6. Differentially Expressed Transcription Factors Involved in Fuzz Fiber Initiation
3.7. DEGs Involved in Phytohormone Signal Transduction Pathway
3.8. Transcriptional Changes of Genes Related to Cotton Fiber Initiation
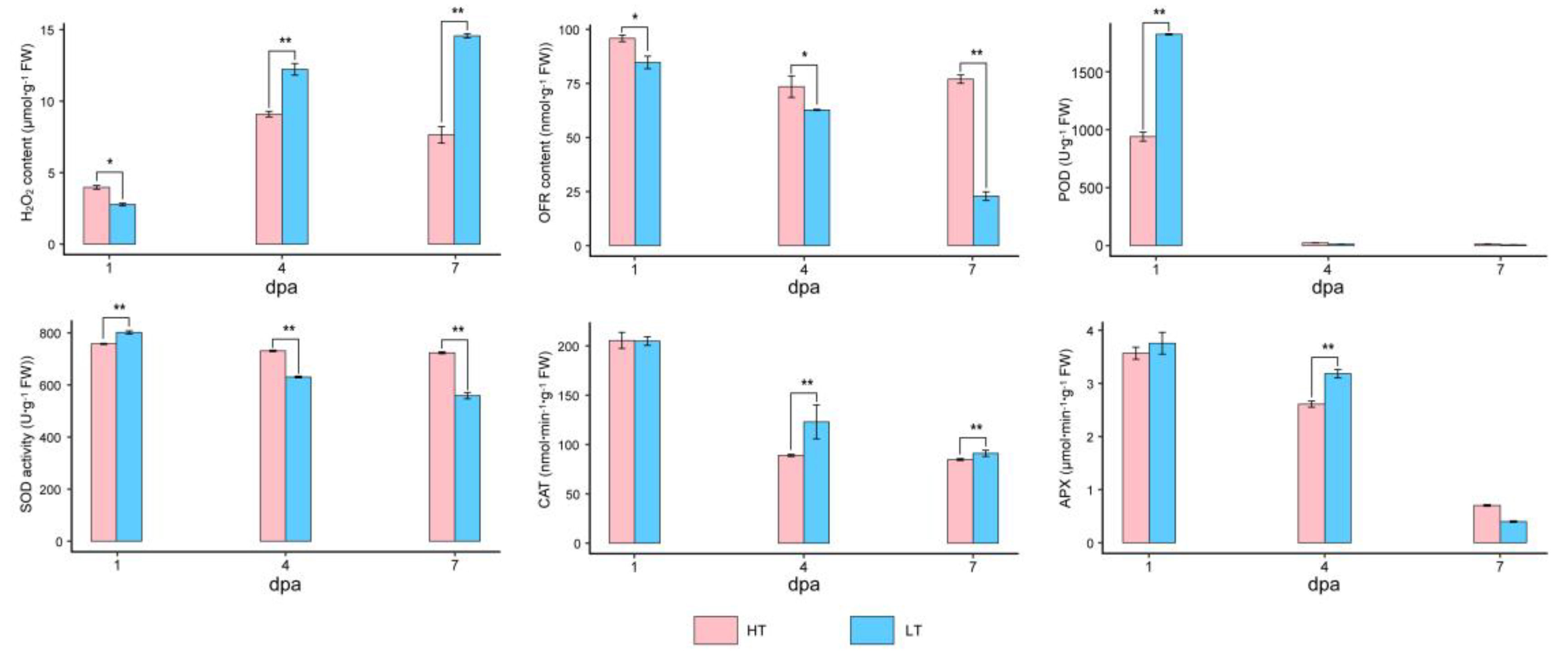
3.9. Changes in Antioxidant Enzyme Activity and ROS Content during Fuzz Initiation
3.10. Verification of RNA Sequencing Data by qRT-PCR
4. Discussion
4.1. Temperature is the Key External Factor that Determines the Fate of Epidermal Cells of G. barbadense Ovules
4.2. Transcriptome Sequencing Revealed the Expression Pattern Related to Fuzz Fiber Initiation
4.3. Major Transcription Factors Involved in Fiber Development
4.4. Maintenance of ROS Homeostasis is Sufficient to Temperature-Regulated Fiber Initiation
5. Conclusions
Supplementary Materials
Author Contributions
Funding
Acknowledgments
Conflicts of Interest
References
- Qin, Y.M.; Zhu, Y.X. How cotton fibers elongate: A tale of linear cell-growth mode. Curr. Opin. Plant Biol. 2011, 14, 106–111. [Google Scholar] [CrossRef] [PubMed]
- Graves, D.A.; Stewart, J.M. Chronology of the differentiation of cotton (Gossypium hirsutum L.) fiber cells. Planta 1988, 175, 254–258. [Google Scholar] [CrossRef] [PubMed]
- Lee, J.J.; Hassan, O.S.; Gao, W.; Wei, N.E.; Kohel, R.J.; Chen, X.Y.; Payton, P.; Sze, S.H.; Stelly, D.M.; Chen, Z.J. Developmental and gene expression analyses of a cotton naked seed mutant. Planta 2006, 223, 418–432. [Google Scholar] [CrossRef] [PubMed]
- Zhang, D.Y.; Zhang, T.Z.; Sang, Z.Q.; Guo, W.Z. Comparative development of lint and fuzz using different cotton fiber-specific developmental mutants in Gossypium hirsutum. J. Integr. Plant Biol. 2007, 49, 1038–1046. [Google Scholar] [CrossRef]
- Snowden, M.C.; Ritchie, G.L.; Simao, F.R.; Bordovsky, J.P. Timing of episodic drought can be critical in cotton. Agron. J. 2014, 106, 452–458. [Google Scholar] [CrossRef]
- Pettigrew, T.W. The effect of higher temperatures on cotton lint yield production and fiber quality. Crop. Sci. 2008, 48, 278–285. [Google Scholar] [CrossRef]
- Zhou, M.; Sun, G.; Sun, Z.; Tang, Y.; Wu, Y. Cotton proteomics for deciphering the mechanism of environment stress response and fiber development. J. Proteom. 2014, 105, 74–84. [Google Scholar] [CrossRef]
- Chen, J.; Burke, J.J. Developing fiber specific promoter-reporter transgenic lines to study the effect of abiotic stresses on fiber development in cotton. PLoS ONE 2015, 10, e0129870. [Google Scholar] [CrossRef]
- Zhao, M.; Morohashi, K.; Hatlestad, G.; Grotewold, E.; Lloyd, A. The TTG1-bHLH-MYB complex controls trichome cell fate and patterning through direct targeting of regulatory loci. Development 2008, 135, 1991–1999. [Google Scholar] [CrossRef]
- Gan, Y.; Liu, C.; Yu, H.; Broun, P. Integration of cytokinin and gibberellin signalling by Arabidopsis transcription factors GIS, ZFP8 and GIS2 in the regulation of epidermal cell fate. Development 2007, 134, 2073–2081. [Google Scholar] [CrossRef]
- Zhou, Z.; An, L.; Sun, L.; Gan, Y. ZFP5 encodes a functionally equivalent GIS protein to control trichome initiation. Plant. Signal. Behav. 2012, 7, 28–30. [Google Scholar] [CrossRef] [PubMed]
- Zhou, Z.; Sun, L.; Zhao, Y.; An, L.; Yan, A.; Meng, X.; Gan, Y. Zinc Finger Protein 6 (ZFP6) regulates trichome initiation by integrating gibberellin and cytokinin signaling in Arabidopsis thaliana. New Phytol. 2013, 198, 699–708. [Google Scholar] [CrossRef] [PubMed]
- Walford, S.A.; Wu, Y.; Llewellyn, D.J.; Dennis, E.S. GhMYB25-like: A key factor in early cotton fibre development. Plant J. 2011, 65, 785–797. [Google Scholar] [CrossRef]
- Wan, Q.; Guan, X.; Yang, N.; Wu, H.; Pan, M.; Liu, B.; Fang, L.; Yang, S.; Hu, Y.; Ye, W.; et al. Small interfering RNAs from bidirectional transcripts of GhMML3_A12 regulate cotton fiber development. New Phytol. 2016, 210, 1298–1310. [Google Scholar] [CrossRef] [PubMed]
- Machado, A.; Wu, Y.; Yang, Y.; Llewellyn, D.J.; Dennis, E.S. The MYB transcription factor GhMYB25 regulates early fibre and trichome development. Plant J. 2009, 59, 52–62. [Google Scholar] [CrossRef]
- Pu, L.; Li, Q.; Fan, X.; Yang, W.; Xue, Y. The R2R3 MYB transcription factor GhMYB109 is required for cotton fiber development. Genetics 2008, 180, 811–820. [Google Scholar] [CrossRef]
- Walford, S.A.; Wu, Y.; Llewellyn, D.J.; Dennis, E.S. Epidermal cell differentiation in cotton mediated by the homeodomain leucine zipper gene, GhHD-1. Plant J. 2012, 71, 464–478. [Google Scholar] [CrossRef]
- Deng, F.; Tu, L.; Tan, J.; Li, Y.; Nie, Y.; Zhang, X. GbPDF1 is involved in cotton fiber initiation via the core cis-element HDZIP2ATATHB2. Plant Physiol. 2012, 158, 890–904. [Google Scholar] [CrossRef]
- Feng, X.; Cheng, H.; Zuo, D.; Zhang, Y.; Wang, Q.; Liu, K.; Ashraf, J.; Yang, Q.; Li, S.; Chen, X.; et al. Fine mapping and identification of the fuzzless gene GaFzl in DPL972 (Gossypium arboreum). Theor. Appl. Genet. 2019, 132, 2169–2179. [Google Scholar] [CrossRef]
- Liu, X.; Moncuquet, P.; Zhu, Q.H.; Stiller, W.; Zhang, Z.; Wilson, I. Genetic identification and transcriptome analysis of lintless and fuzzless traits in Gossypium arboreum L. Int. J. Mol. Sci. 2020, 21, 1675. [Google Scholar] [CrossRef]
- Xiao, G.; Zhao, P.; Zhang, Y. A pivotal role of hormones in regulating cotton fiber development. Front. Plant Sci. 2019, 10, 87. [Google Scholar] [CrossRef] [PubMed]
- Cho, H.T.; Cosgrove, D.J. Regulation of root hair initiation and expansin gene expression in Arabidopsis. Plant Cell 2002, 14, 3237–3253. [Google Scholar] [CrossRef] [PubMed]
- De Grauwe, L.; Vandenbussche, F.; Tietz, O.; Palme, K.; Van Der Straeten, D. Auxin, ethylene and brassinosteroids: Tripartite control of growth in the Arabidopsis hypocotyl. Plant Cell Physiol. 2005, 46, 827–836. [Google Scholar] [CrossRef] [PubMed]
- Sun, Y.; Veerabomma, S.; Abdel-Mageed, H.A.; Fokar, M.; Asami, T.; Yoshida, S.; Allen, R.D. Brassinosteroid regulates fiber development on cultured cotton ovules. Plant Cell Physiol. 2005, 46, 1384–1391. [Google Scholar] [CrossRef] [PubMed]
- Shi, Y.H.; Zhu, S.W.; Mao, X.Z.; Feng, J.X.; Qin, Y.M.; Zhang, L.; Cheng, J.; Wei, L.P.; Wang, Z.Y.; Zhu, Y.X. Transcriptome profiling, molecular biological, and physiological studies reveal a major role for ethylene in cotton fiber cell elongation. Plant Cell 2006, 18, 651–664. [Google Scholar] [CrossRef]
- Lee, J.J.; Woodward, A.W.; Chen, Z.J. Gene expression changes and early events in cotton fibre development. Ann. Bot. 2007, 100, 1391–1401. [Google Scholar] [CrossRef] [PubMed]
- Traw, M.B.; Bergelson, J. Interactive effects of jasmonic acid, salicylic acid, and gibberellin on induction of trichomes in Arabidopsis. Plant Physiol. 2003, 133, 1367–1375. [Google Scholar] [CrossRef]
- Yoshida, Y.; Sano, R.; Wada, T.; Takabayashi, J.; Okada, K. Jasmonic acid control of GLABRA3 links inducible defense and trichome patterning in Arabidopsis. Development 2009, 136, 1039–1048. [Google Scholar] [CrossRef]
- Wang, L.; Zhu, Y.; Hu, W.; Zhang, X.; Cai, C.; Guo, W. Comparative transcriptomics reveals jasmonic acid-associated metabolism related to cotton fiber initiation. PLoS ONE 2015, 10, e0129854. [Google Scholar] [CrossRef]
- Liu, Z.; Liu, S.Q.; Xiao-Nanb, Y.U.; Chen, J.X. Response of fertile pollen grains to different temperatures and cytological base of male sterility in TemianS-1. J. Hunan Agric. Univ. 2007, 33, 403–406. [Google Scholar]
- Chen, R.; Zhao, X.; Shao, Z.; Wei, Z.; Wang, Y.; Zhu, L.; Zhao, J.; Sun, M.; He, R.; He, G. Rice UDP-glucose pyrophosphorylase1 is essential for pollen callose deposition and its cosuppression results in a new type of thermosensitive genic male sterility. Plant. Cell 2007, 19, 847–861. [Google Scholar] [CrossRef] [PubMed]
- Bokszczanin, K.L.; Fragkostefanakis, S. Perspectives on deciphering mechanisms underlying plant heat stress response and thermotolerance. Front. Plant Sci. 2013, 4, 315. [Google Scholar] [CrossRef] [PubMed]
- Sakata, T. Auxins reverse plant male sterility caused by high temperatures. Plant. Signal. Behav. 2010, 107, 8569–8574. [Google Scholar] [CrossRef] [PubMed]
- Chhun, T.; Aya, K.; Asano, K.; Yamamoto, E.; Morinaka, Y.; Watanabe, M.; Kitano, H.; Ashikari, M.; Matsuoka, M.; Ueguchi-Tanaka, M. Gibberellin Regulates Pollen Viability and Pollen Tube Growth in Rice. Plant. Cell 2007, 19, 3876–3888. [Google Scholar] [CrossRef] [PubMed]
- Sun, Y.L.; Jia, Y.H.; He, S.P.; Zhou, Z.L.; Sun, J.L.; Pang, B.Y.; Du, X.M. Genetic analysis of fuzzless in cotton germplasm. Yichuan 2012, 34, 1073–1078. [Google Scholar] [CrossRef]
- Tang, M.; Wu, X.; Cao, Y.; Qin, Y.; Ding, M.; Jiang, Y.; Sun, C.; Zhang, H.; Paterson, A.H.; Rong, J. Preferential insertion of a Ty1 LTR-retrotransposon into the A sub-genome’s HD1 gene significantly correlated with the reduction in stem trichomes of tetraploid cotton. Mol. Genet. Genom. 2020, 295, 47–54. [Google Scholar] [CrossRef]
- Zhu, Q.H.; Yuan, Y.; Stiller, W.; Jia, Y.; Wang, P.; Pan, Z.; Du, X.; Llewellyn, D.; Wilson, I. Genetic dissection of the fuzzless seed trait in Gossypium barbadense. J. Exp. Bot. 2018, 69, 997–1009. [Google Scholar] [CrossRef]
- McCarthy, D.J.; Chen, Y.; Smyth, G.K. Differential expression analysis of multifactor RNA-Seq experiments with respect to biological variation. Nucl. Acids Res. 2012, 40, 4288–4297. [Google Scholar] [CrossRef]
- Kumar, L.; Matthias, E.F. Mfuzz: A software package for soft clustering of microarray data. Bioinformation 2007, 2, 5–7. [Google Scholar] [CrossRef]
- Rychlik, W. OLIGO 7 primer analysis software. Methods Mol. Biol. 2007, 402, 35–60. [Google Scholar]
- Zheng, K.; Ni, Z.; Qu, Y.; Cai, Y.; Yang, Z.; Sun, G.; Chen, Q. Genome-wide identification and expression analyses of TCP transcription factor genes in Gossypium barbadense. Sci. Rep. 2018, 8, 14526. [Google Scholar] [CrossRef] [PubMed]
- Livak, K.J.; Schmittgen, T.D. Analysis of relative gene expression data using real-time quantitative PCR and the 2(-Delta Delta C(T)) Method. Methods 2001, 25, 402–408. [Google Scholar] [CrossRef] [PubMed]
- Zheng, M.; Wang, Y.; Liu, K.; Shu, H.; Zhou, Z. Protein expression changes during cotton fiber elongation in response to low temperature stress. J. Plant Physiol. 2012, 169, 399–409. [Google Scholar] [CrossRef] [PubMed]
- Supek, F.; Bošnjak, M.; Škunca, N.; Šmuc, T. REVIGO summarizes and visualizes long lists of Gene Ontology terms. PLoS ONE 2011, 6, e21800. [Google Scholar] [CrossRef]
- Matias-Hernandez, L.; Aguilar-Jaramillo, A.E.; Cigliano, R.A.; Sanseverino, W.; Pelaz, S. Flowering and trichome development share hormonal and transcription factor regulation. J. Exp. Bot. 2016, 67, 1209–1219. [Google Scholar] [CrossRef]
- Zhou, L.; Zheng, K.; Wang, X.; Tian, H.; Wang, X.; Wang, S. Control of trichome formation in Arabidopsis by poplar single-repeat R3 MYB transcription factors. Front. Plant Sci. 2014, 5, 262. [Google Scholar] [CrossRef]
- Tominaga-Wada, R.; Nukumizu, Y.; Sato, S.; Wada, T. Control of plant trichome and root-hair development by a tomato (Solanum lycopersicum) R3 MYB transcription factor. PLoS One 2013, 8, e54019. [Google Scholar] [CrossRef]
- Zhao, H.; Li, X.; Ma, L. Basic helix-loop-helix transcription factors and epidermal cell fate determination in Arabidopsis. Plant Signal Behav. 2012, 7, 1556–1560. [Google Scholar] [CrossRef]
- Mo, H.; Wang, L.; Ma, S.; Yu, D.; Lu, L.; Yang, Z.; Yang, Z.; Li, F. Transcriptome profiling of Gossypium arboreum during fiber initiation and the genome-wide identification of trihelix transcription factors. Gene 2019, 709, 36–47. [Google Scholar] [CrossRef]
- Bedon, F.; Ziolkowski, L.; Walford, S.A.; Dennis, E.S.; Llewellyn, D.J. Members of the MYBMIXTA-like transcription factors may orchestrate the initiation of fiber development in cotton seeds. Front. Plant Sci. 2014, 5, 179. [Google Scholar] [CrossRef]
- Shangguan, X.X.; Yang, C.Q.; Zhang, X.F.; Wang, L.J. Functional characterization of a basic helix-loop-helix (bHLH) transcription factor GhDEL65 from cotton (Gossypium hirsutum). Physiol. Plant. 2016, 158, 200–212. [Google Scholar] [CrossRef] [PubMed]
- Wang, Z.; Yang, Z.; Li, F. Updates on molecular mechanisms in the development of branched trichome in Arabidopsis and nonbranched in cotton. Plant. Biotechnol. J. 2019, 17, 1706–1722. [Google Scholar] [CrossRef] [PubMed]
- Doroshkov, A.V.; Konstantinov, D.K.; Afonnikov, D.A.; Gunbin, K.V. The evolution of gene regulatory networks controlling Arabidopsis thaliana L. trichome development. BMC Plant. Biol. 2019, 19, 53. [Google Scholar] [CrossRef] [PubMed]
- Davidonis, G.H.; Johnson, A.S.; Landivar, J.A.; Fernandez, C.J. Cotton fiber quality is related to boll location and planting date. Agron. J. 2004, 96, 42–47. [Google Scholar] [CrossRef]
- Campbell, B.T.; Jones, M.A. Assessment of genotype × environment interactions for yield and fiber quality in cotton performance trials. Euphytica 2005, 144, 69–78. [Google Scholar] [CrossRef]
- Zhang, Z.; Zhu, L.; Song, A.; Wang, H.; Chen, S.; Jiang, J.; Chen, F. Chrysanthemum (Chrysanthemum morifolium) CmICE2 conferred freezing tolerance in Arabidopsis. Plant. Physiol. Biochem. 2020, 146, 31–41. [Google Scholar] [CrossRef]
- Dai, Y.; Yang, J.; Hu, W.; Zahoor, R.; Chen, B.; Zhao, W.; Meng, Y.; Zhou, Z. Simulative global warming negatively affects cotton fiber length through shortening fiber rapid elongation duration. Sci. Rep. 2017, 7, 9264. [Google Scholar] [CrossRef]
- Wuzi, X.; Trolinder, N.L.; Haigler, C.H. Cool temparature effects on cotton fiber initiation and elongation clarified using in vitro cultures. Crop. Sci. 1993, 33, 1258–1264. [Google Scholar]
- Turley, R.B.; Kloth, R.H. Identification of a third fuzzless seed locus in upland cotton (Gossypium hirsutum L.). J. Hered. 2002, 93, 359–364. [Google Scholar] [CrossRef]
- Turley, R.B.; Vaughn, K.C.; Scheffler, J.A. Lint development and properties of fifteen fuzzless seed lines of Upland cotton (Gossypium hirsutum L.). Euphytica 2007, 156, 57–65. [Google Scholar] [CrossRef]
- Yao, Y.; Zhang, B.; Dong, C.J.; Du, Y.; Jiang, L.; Liu, J.Y. Comparative proteomic and biochemical analyses reveal different molecular events occurring in the process of fiber initiation between wild-type allotetraploid cotton and its fuzzless-lintless mutant. PLoS ONE 2015, 10, e0117049. [Google Scholar] [CrossRef] [PubMed]
- Hu, H.; Wang, M.; Ding, Y.; Zhu, S.; Zhao, G.; Tu, L.; Zhang, X. Transcriptomic repertoires depict the initiation of lint and fuzz fibres in cotton (Gossypium hirsutum L.). Plant. Biotechnol. J. 2018, 16, 1002–1012. [Google Scholar] [CrossRef]
- Fraik, A.K.; Quackenbush, C.; Margres, M.J.; Comte, S.; Hamilton, D.G.; Kozakiewicz, C.P.; Jones, M.; Hamede, R.; Hohenlohe, P.A.; Storfer, A.; et al. Transcriptomics of tasmanian devil (Sarcophilus harrisii) ear tissue reveals homogeneous gene expression patterns across a heterogeneous landscape. Genes (Basel) 2019, 10, 801. [Google Scholar] [CrossRef]
- Burgess, S.T.G.; Marr, E.J.; Bartley, K.; Nunn, F.G.; Down, R.E.; Weaver, R.J.; Prickett, J.C.; Dunn, J.; Rombauts, S.; Van Leeuwen, T.; et al. A genomic analysis and transcriptomic atlas of gene expression in Psoroptes ovis reveals feeding- and stage-specific patterns of allergen expression. BMC Genom. 2019, 20, 756. [Google Scholar] [CrossRef]
- Ali, M.; Cheng, H.; Soomro, M.; Shuyan, L.; Bilal Tufail, M.; Nazir, M.F.; Feng, X.; Zhang, Y.; Dongyun, Z.; Limin, L.; et al. Comparative transcriptomic analysis to identify the genes related to delayed gland morphogenesis in Gossypium bickii. Genes (Basel) 2020, 11, 472. [Google Scholar] [CrossRef]
- Dalal, V.; Dagan, S.; Friedlander, G.; Aviv, E.; Bock, R.; Charuvi, D.; Reich, Z.; Adam, Z. Transcriptome analysis highlights nuclear control of chloroplast development in the shoot apex. Sci. Rep. 2018, 8, 8881. [Google Scholar] [CrossRef]
- Gorshkova, T.; Chernova, T.; Mokshina, N.; Gorshkov, V.; Kozlova, L.; Gorshkov, O. Transcriptome analysis of intrusively growing flax fibers isolated by laser microdissection. Sci. Rep. 2018, 8, 14570. [Google Scholar] [CrossRef]
- Zhang, S.; Thakare, D.; Yadegari, R. Laser-capture microdissection of maize kernel compartments for rna-seq-based expression analysis. Methods Mol. Biol. 2018, 1676, 153–163. [Google Scholar]
- Olsen, A.N.; Ernst, H.A.; Leggio, L.L.; Skriver, K. NAC transcription factors: Structurally distinct, functionally diverse. Trends Plant Sci. 2005, 10, 79–87. [Google Scholar] [CrossRef]
- Bernhardt, C.; Lee, M.M.; Gonzalez, A.; Zhang, F.; Lloyd, A.; Schiefelbein, J. The bHLH genes GLABRA3 (GL3) and ENHANCER OF GLABRA3 (EGL3) specify epidermal cell fate in the Arabidopsis root. Development 2003, 130, 6431–6439. [Google Scholar] [CrossRef]
- Yan, A.; Wu, M.; Zhao, Y.; Zhang, A.; Liu, B.; Schiefelbein, J.; Gan, Y. Involvement of C2H2 zinc finger proteins in the regulation of epidermal cell fate determination in Arabidopsis. J. Integr. Plant Biol. 2014, 56, 1112–1117. [Google Scholar] [CrossRef]
- Chang, J.; Yu, T.; Yang, Q.; Li, C.; Xiong, C.; Gao, S.; Xie, Q.; Zheng, F.; Li, H.; Tian, Z.; et al. Hair, encoding a single C2H2 zinc-finger protein, regulates multicellular trichome formation in tomato. Plant J. 2018, 96, 90–102. [Google Scholar] [CrossRef]
- Schmidt, R.; Schippers, J.H. ROS-mediated redox signaling during cell differentiation in plants. Biochim. Biophys. Acta 2015, 1850, 1497–1508. [Google Scholar] [CrossRef]
- Li, H.B.; Qin, Y.M.; Pang, Y.; Song, W.Q.; Mei, W.Q.; Zhu, Y.X. A cotton ascorbate peroxidase is involved in hydrogen peroxide homeostasis during fibre cell development. New Phytol. 2007, 175, 462–471. [Google Scholar] [CrossRef]
- Tao, C.; Jin, X.; Zhu, L.; Xie, Q.; Wang, X.; Li, H. Genome-wide investigation and expression profiling of APX gene family in Gossypium hirsutum provide new insights in redox homeostasis maintenance during different fiber development stages. Mol. Genet. Genom. 2018, 293, 685–697. [Google Scholar] [CrossRef]
- Mei, W.; Qin, Y.; Song, W.; Li, J.; Zhu, Y. Cotton GhPOX1 encoding plant class III peroxidase may be responsible for the high level of reactive oxygen species production that is related to cotton fiber elongation. J. Genet. Genom. 2009, 36, 141–150. [Google Scholar] [CrossRef]
- Guo, K.; Du, X.; Tu, L.; Tang, W.; Wang, P.; Wang, M.; Liu, Z.; Zhang, X. Fibre elongation requires normal redox homeostasis modulated by cytosolic ascorbate peroxidase in cotton (Gossypium hirsutum). J. Exp. Bot. 2016, 67, 3289–3301. [Google Scholar] [CrossRef]
- Du, S.J.; Dong, C.J.; Zhang, B.; Lai, T.F.; Du, X.M.; Liu, J.Y. Comparative proteomic analysis reveals differentially expressed proteins correlated with fuzz fiber initiation in diploid cotton (Gossypium arboreum L.). J. Proteom. 2013, 82, 113–129. [Google Scholar] [CrossRef]
- Fernandez-Perez, F.; Pomar, F.; Pedreno, M.A.; Novo-Uzal, E. The suppression of AtPrx52 affects fibers but not xylem lignification in Arabidopsis by altering the proportion of syringyl units. Physiol. Plant. 2015, 154, 395–406. [Google Scholar] [CrossRef]
- Llorente, F.; López-Cobollo, R.M.; Catalá, R.; Martínez-Zapater, J.M.; Salinas, J. A novel cold-inducible gene from Arabidopsis, RCI3, encodes a peroxidase that constitutes a component for stress tolerance. Plant J. 2002, 32, 13–24. [Google Scholar] [CrossRef]










| Sample | Raw Reads (×107) | Raw Bases (×109) | Clean Reads (×107) | Clean Bases (×109) | GC (%) | Q30 (%) | Mapped Reads (%) |
|---|---|---|---|---|---|---|---|
| H1-1 | 4.26 | 6.38 | 4.18 | 6.27 | 45.94 | 93.71 | 92.62 |
| H1-2 | 4.15 | 6.22 | 4.07 | 6.10 | 45.63 | 93.83 | 94.86 |
| H4-1 | 4.23 | 6.34 | 4.14 | 6.22 | 46.19 | 93.46 | 94.49 |
| H4-2 | 4.19 | 6.28 | 4.11 | 6.16 | 45.81 | 93.61 | 95.17 |
| H7-1 | 4.11 | 6.17 | 4.03 | 6.05 | 46.13 | 93.32 | 94.54 |
| H7-2 | 4.25 | 6.37 | 4.17 | 6.25 | 45.80 | 93.56 | 94.89 |
| L1-1 | 4.10 | 6.16 | 4.02 | 6.03 | 45.25 | 93.50 | 91.86 |
| L1-2 | 4.10 | 6.15 | 4.01 | 6.01 | 45.54 | 93.62 | 90.62 |
| L4-1 | 4.14 | 6.21 | 4.05 | 6.08 | 46.98 | 93.30 | 92.65 |
| L4-2 | 4.17 | 6.25 | 4.09 | 6.13 | 45.76 | 93.45 | 94.36 |
| L7-1 | 4.17 | 6.25 | 4.08 | 6.13 | 45.92 | 93.33 | 95.05 |
| L7-2 | 4.08 | 6.11 | 4.00 | 6.00 | 45.84 | 93.56 | 92.36 |
| Comparison | Total | Up-Regulated | Down-Regulated |
|---|---|---|---|
| H1-vs.-H4 | 14,490 | 3393 | 11,097 |
| H1-vs.-H7 | 12,716 | 3628 | 9088 |
| H4-vs.-H7 | 2160 | 1230 | 930 |
| L1-vs.-L4 | 5694 | 1473 | 4221 |
| L1-vs.-L7 | 17,748 | 3352 | 14,396 |
| L4-vs.-L7 | 4290 | 1667 | 2623 |
| L1-vs.-H1 | 2480 | 951 | 1529 |
| L4-vs.-H4 | 7355 | 3072 | 4283 |
| L7-vs.-H7 | 4164 | 2876 | 1288 |
© 2020 by the authors. Licensee MDPI, Basel, Switzerland. This article is an open access article distributed under the terms and conditions of the Creative Commons Attribution (CC BY) license (http://creativecommons.org/licenses/by/4.0/).
Share and Cite
Cheng, G.; Zhang, L.; Wei, H.; Wang, H.; Lu, J.; Yu, S. Transcriptome Analysis Reveals a Gene Expression Pattern Associated with Fuzz Fiber Initiation Induced by High Temperature in Gossypium barbadense. Genes 2020, 11, 1066. https://doi.org/10.3390/genes11091066
Cheng G, Zhang L, Wei H, Wang H, Lu J, Yu S. Transcriptome Analysis Reveals a Gene Expression Pattern Associated with Fuzz Fiber Initiation Induced by High Temperature in Gossypium barbadense. Genes. 2020; 11(9):1066. https://doi.org/10.3390/genes11091066
Chicago/Turabian StyleCheng, Gongmin, Longyan Zhang, Hengling Wei, Hantao Wang, Jianhua Lu, and Shuxun Yu. 2020. "Transcriptome Analysis Reveals a Gene Expression Pattern Associated with Fuzz Fiber Initiation Induced by High Temperature in Gossypium barbadense" Genes 11, no. 9: 1066. https://doi.org/10.3390/genes11091066
APA StyleCheng, G., Zhang, L., Wei, H., Wang, H., Lu, J., & Yu, S. (2020). Transcriptome Analysis Reveals a Gene Expression Pattern Associated with Fuzz Fiber Initiation Induced by High Temperature in Gossypium barbadense. Genes, 11(9), 1066. https://doi.org/10.3390/genes11091066

