The Location of the Pseudoautosomal Boundary in Silene latifolia
Abstract
1. Introduction
2. Materials and Methods
2.1. Finding the Markers Common with Other Studies
2.2. Finding the Location of the PAR/NRY Boundary
3. Results
3.1. Finding the Markers in Common Between X-maps of Different Studies
3.2. Finding the Location of the PAR Boundary
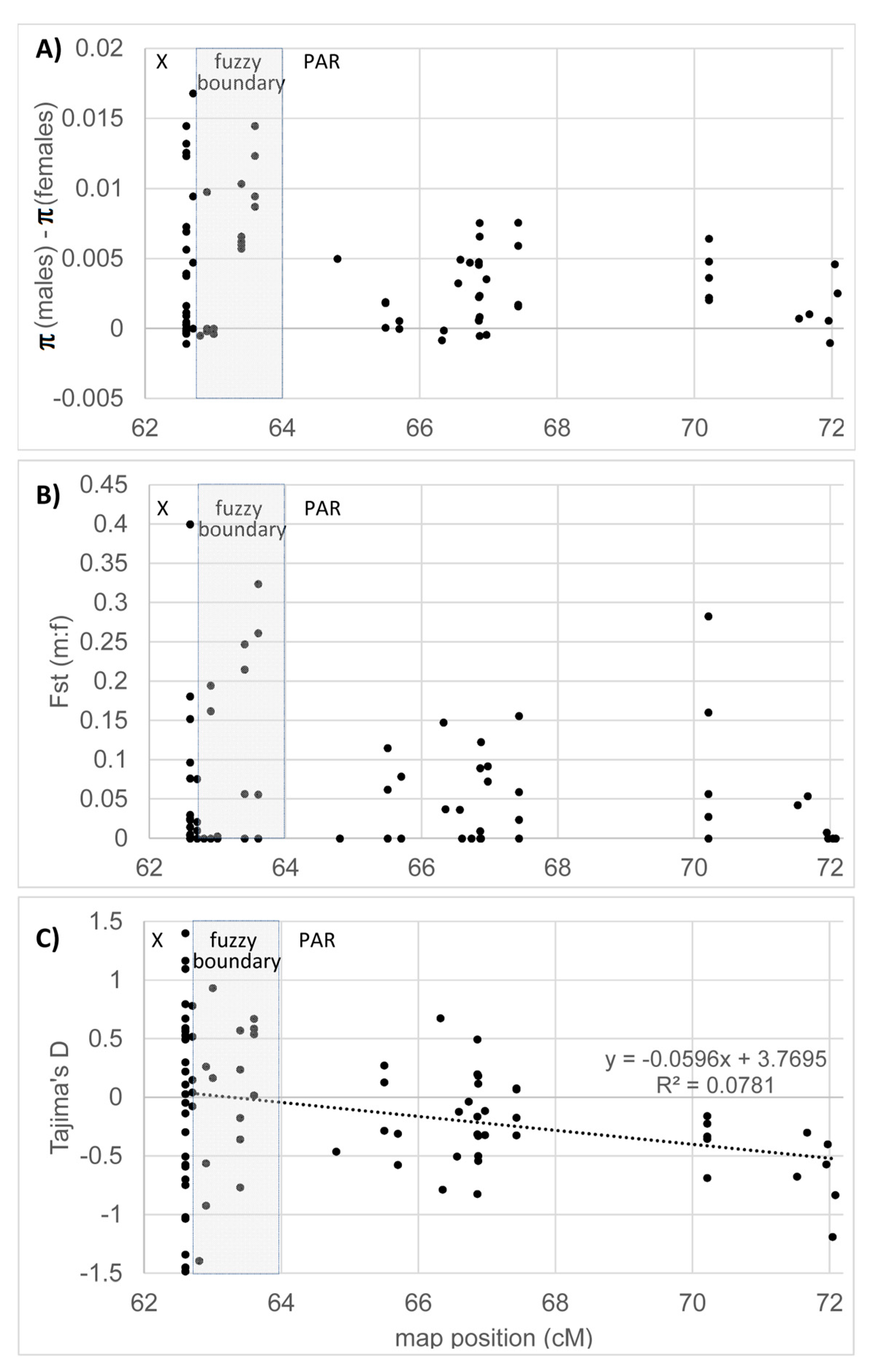
3.3. Patterns of Genetic Diversity Around the PAR Boundary
3.4. Integration of Genetic Map and Genome Sequence for the PAR Boundary Region
4. Discussion
Supplementary Materials
Author Contributions
Funding
Conflicts of Interest
References
- Filatov, D.A. Evolutionary history of Silene latifolia sex chromosomes revealed by genetic mapping of four genes. Genetics 2005, 170, 975–979. [Google Scholar] [CrossRef] [PubMed]
- Zhou, Q.; Zhang, J.; Bachtrog, D.; An, N.; Huang, Q.; Jarvis, E.D.; Gilbert, M.T.P.; Zhang, G. Complex evolutionary trajectories of sex chromosomes across bird taxa. Science 2014, 346, 1332. [Google Scholar] [CrossRef] [PubMed]
- Charlesworth, D. Evolution of recombination rates between sex chromosomes. Philos. Trans. R Soc. Lond. B Biol. Sci. 2017, 372. [Google Scholar] [CrossRef] [PubMed]
- Charlesworth, D. Sex chromosome origins and evolution. In Evolutionary Genomics and Proteomics; Pagel, M., Pomiankowski, A., Eds.; Sinauer Associates: Sunderland, UK, 2008; pp. 207–240. [Google Scholar]
- Otto, S.P.; Pannell, J.R.; Peichel, C.L.; Ashman, T.L.; Charlesworth, D.; Chippindale, A.K.; Delph, L.F.; Guerrero, R.F.; Scarpino, S.V.; McAllister, B.F. About PAR: The distinct evolutionary dynamics of the pseudoautosomal region. Trends Genet. 2011, 27, 358–367. [Google Scholar] [CrossRef] [PubMed]
- Lien, S.; Szyda, J.; Schechinger, B.; Rappold, G.; Arnheim, N. Evidence for heterogeneity in recombination in the human pseudoautosomal region: High resolution analysis by sperm typing and radiation-hybrid mapping. Am. J. Hum. Genet. 2000, 66, 557–566. [Google Scholar] [CrossRef] [PubMed]
- Yu, A.; Zhao, C.; Fan, Y.; Jang, W.; Mungall, A.J.; Deloukas, P.; Olsen, A.; Doggett, N.A.; Ghebranious, N.; Broman, K.W.; et al. Comparison of human genetic and sequence-based physical maps. Nature 2001, 409, 951–953. [Google Scholar] [CrossRef] [PubMed]
- Morgan, A.P.; Bell, T.A.; Crowley, J.J.; Pardo-Manuel de Villena, F. Instability of the pseudoautosomal boundary in house mice. Genetics 2019, 212, 469–487. [Google Scholar] [CrossRef]
- Marais, G. Biased gene conversion: Implications for genome and sex evolution. Trends Genet. 2003, 19, 330–338. [Google Scholar] [CrossRef]
- Filatov, D.A.; Gerrard, D.T. High mutation rates in human and ape pseudoautosomal genes. Gene 2003, 317, 67–77. [Google Scholar] [CrossRef]
- Kirkpatrick, M.; Guerrero, R.F.; Scarpino, S.V. Patterns of neutral genetic variation on recombining sex chromosomes. Genetics 2010, 184, 1141–1152. [Google Scholar] [CrossRef]
- Charlesworth, B.; Jordan, C.Y.; Charlesworth, D. The evolutionary dynamics of sexually antagonistic mutations in pseudoautosomal regions of sex chromosomes. Evolution 2014, 68, 1339–1350. [Google Scholar] [CrossRef] [PubMed]
- Lahn, B.T.; Page, D.C. Four evolutionary strata on the human X chromosome. Science 1999, 286, 964–967. [Google Scholar] [CrossRef] [PubMed]
- Hughes, J.F.; Skaletsky, H.; Brown, L.G.; Pyntikova, T.; Graves, T.; Fulton, R.S.; Dugan, S.; Ding, Y.; Buhay, C.J.; Kremitzki, C.; et al. Strict evolutionary conservation followed rapid gene loss on human and rhesus Y chromosomes. Nature 2012, 483, 82–86. [Google Scholar] [CrossRef] [PubMed]
- Vicoso, B.; Emerson, J.J.; Zektser, Y.; Mahajan, S.; Bachtrog, D. Comparative sex chromosome genomics in snakes: Differentiation, evolutionary strata, and lack of global dosage compensation. PLoS Biol. 2013, 11, e1001643. [Google Scholar] [CrossRef] [PubMed]
- Nicolas, M.; Marais, G.; Hykelova, V.; Janousek, B.; Laporte, V.; Vyskot, B.; Mouchiroud, D.; Negrutiu, I.; Charlesworth, D.; Moneger, F. A gradual process of recombination restriction in the evolutionary history of the sex chromosomes in dioecious plants. PLoS Biol. 2005, 3, e4. [Google Scholar] [CrossRef] [PubMed]
- Rice, W.R. The accumulation of sexually antagonistic genes as a selective agent promoting the evolution of reduced recombination between primitive sex chromosomes. Evolution 1987, 41, 911–914. [Google Scholar] [CrossRef] [PubMed]
- Jordan, C.Y.; Charlesworth, D. The potential for sexually antagonistic polymorphism in different genome regions. Evolution 2012, 66, 505–516. [Google Scholar] [CrossRef]
- Bergero, R.; Charlesworth, D. The evolution of restricted recombination in sex chromosomes. Trends Ecol. Evol. 2009, 24, 94–102. [Google Scholar] [CrossRef]
- Ironside, J.E. No amicable divorce? Challenging the notion that sexual antagonism drives sex chromosome evolution. Bioessays 2010, 32, 718–726. [Google Scholar] [CrossRef]
- Vicoso, B.; Kaiser, V.B.; Bachtrog, D. Sex-biased gene expression at homomorphic sex chromosomes in emus and its implication for sex chromosome evolution. Proc. Natl. Acad. Sci. USA 2013, 110, 6453–6458. [Google Scholar] [CrossRef]
- Zemp, N.; Tavares, R.; Muyle, A.; Charlesworth, D.; Marais, G.A.; Widmer, A. Evolution of sex-biased gene expression in a dioecious plant. Nat. Plants 2016, 2, 16168. [Google Scholar] [CrossRef] [PubMed]
- Bull, J.J. Evolution of Sex Determining Mechanisms; Benjamin/Cummings Pub. Co., Advanced Book Program: Menlo Park, CA, USA, 1983; 316p. [Google Scholar]
- Marion de Proce, S.; Halligan, D.L.; Keightley, P.D.; Charlesworth, B. Patterns of DNA-sequence divergence between Drosophila miranda and D. pseudoobscura. J. Mol. Evol. 2009, 69, 601–611. [Google Scholar] [CrossRef] [PubMed]
- Howell, E.C.; Armstrong, S.J.; Filatov, D.A. Evolution of neo-sex chromosomes in Silene diclinis. Genetics 2009, 182, 1109–1115. [Google Scholar] [CrossRef] [PubMed]
- Rens, W.; Grutzner, F.; O’Brien, P.C.; Fairclough, H.; Graves, J.A.; Ferguson-Smith, M.A. Resolution and evolution of the duck-billed platypus karyotype with an X1Y1X2Y2X3Y3X4Y4X5Y5 male sex chromosome constitution. Proc. Natl. Acad. Sci. USA 2004, 101, 16257–16261. [Google Scholar] [CrossRef] [PubMed]
- Wang, J.; Na, J.K.; Yu, Q.; Gschwend, A.R.; Han, J.; Zeng, F.; Aryal, R.; VanBuren, R.; Murray, J.E.; Zhang, W.; et al. Sequencing papaya X and Yh chromosomes reveals molecular basis of incipient sex chromosome evolution. Proc. Natl. Acad. Sci. USA 2012, 109, 13710–13715. [Google Scholar] [CrossRef]
- Roesti, M.; Hendry, A.P.; Salzburger, W.; Berner, D. Genome divergence during evolutionary diversification as revealed in replicate lake-stream stickleback population pairs. Mol. Ecol. 2012, 21, 2852–2862. [Google Scholar] [CrossRef]
- Sun, Y.; Svedberg, J.; Hiltunen, M.; Corcoran, P.; Johannesson, H. Large-scale suppression of recombination predates genomic rearrangements in Neurospora tetrasperma. Nat. Commun. 2017, 8, 1140. [Google Scholar] [CrossRef]
- Rozen, S.; Skaletsky, H.; Marszalek, J.D.; Minx, P.J.; Cordum, H.S.; Waterston, R.H.; Wilson, R.K.; Page, D.C. Abundant gene conversion between arms of palindromes in human and ape Y chromosomes. Nature 2003, 423, 873–876. [Google Scholar] [CrossRef]
- Charlesworth, B.; Sniegowski, P.; Stephan, W. The evolutionary dynamics of repetitive DNA in eukaryotes. Nature 1994, 371, 215–220. [Google Scholar] [CrossRef]
- Lappin, F.M.; Medert, C.M.; Hawkins, K.K.; Mardonovich, S.; Wu, M.; Moore, R.C. A polymorphic pseudoautosomal boundary in the Carica papaya sex chromosomes. Mol. Genet. Genomics 2015, 290, 1511–1522. [Google Scholar] [CrossRef]
- Campos, J.L.; Qiu, S.; Guirao-Rico, S.; Bergero, R.; Charlesworth, D. Recombination changes at the boundaries of fully and partially sex-linked regions between closely related Silene species pairs. Heredity (Edinb) 2017, 118, 395–403. [Google Scholar] [CrossRef] [PubMed]
- Charlesworth, D. Plant sex chromosomes. Annu. Rev. Plant Biol. 2016, 67, 397–420. [Google Scholar] [CrossRef] [PubMed]
- Bernasconi, G.; Antonovics, J.; Biere, A.; Charlesworth, D.; Delph, L.F.; Filatov, D.; Giraud, T.; Hood, M.E.; Marais, G.A.; McCauley, D.; et al. Silene as a model system in ecology and evolution. Heredity (Edinb) 2009, 103, 5–14. [Google Scholar] [CrossRef] [PubMed]
- Charlesworth, D. Plant contributions to our understanding of sex chromosome evolution. New Phytol. 2015, 208, 52–65. [Google Scholar] [CrossRef] [PubMed]
- Muyle, A.; Shearn, R.; Marais, G.A. The evolution of sex chromosomes and dosage compensation in plants. Genome Biol. Evol. 2017, 9, 627–645. [Google Scholar] [CrossRef] [PubMed]
- Kazama, Y.; Ishii, K.; Aonuma, W.; Ikeda, T.; Kawamoto, H.; Koizumi, A.; Filatov, D.A.; Chibalina, M.; Bergero, R.; Charlesworth, D.; et al. A new physical mapping approach refines the sex-determining gene positions on the Silene latifolia Y-chromosome. Sci. Rep. 2016, 6, 18917. [Google Scholar] [CrossRef]
- Armstrong, S.J.; Filatov, D.A. A cytogenetic view of sex chromosome evolution in plants. Cytogenet. Genome Res. 2008, 120, 241–246. [Google Scholar] [CrossRef]
- Filatov, D.A.; Moneger, F.; Negrutiu, I.; Charlesworth, D. Low variability in a Y-linked plant gene and its implications for Y-chromosome evolution. Nature 2000, 404, 388–390. [Google Scholar] [CrossRef]
- Krasovec, M.; Chester, M.; Ridout, K.; Filatov, D.A. The mutation rate and the age of the sex chromosomes in Silene latifolia. Curr. Biol. 2018, 28, 1832–1838. [Google Scholar] [CrossRef]
- Bergero, R.; Charlesworth, D. Preservation of the Y transcriptome in a 10-million-year-old plant sex chromosome system. Curr. Biol. 2011, 21, 1470–1474. [Google Scholar] [CrossRef]
- Chibalina, M.V.; Filatov, D.A. Plant Y chromosome degeneration is retarded by haploid purifying selection. Curr. Biol. 2011, 21, 1475–1479. [Google Scholar] [CrossRef] [PubMed]
- Bergero, R.; Qiu, S.; Charlesworth, D. Gene loss from a plant sex chromosome system. Curr. Biol. 2015, 25, 1234–1240. [Google Scholar] [CrossRef] [PubMed]
- Muyle, A.; Zemp, N.; Fruchard, C.; Cegan, R.; Vrana, J.; Deschamps, C.; Tavares, R.; Hobza, R.; Picard, F.; Widmer, A.; et al. Genomic imprinting mediates dosage compensation in a young plant XY system. Nat. Plants 2018, 4, 677–680. [Google Scholar] [CrossRef]
- Muyle, A.; Zemp, N.; Deschamps, C.; Mousset, S.; Widmer, A.; Marais, G.A. Rapid de novo evolution of X chromosome dosage compensation in Silene latifolia, a plant with young sex chromosomes. PLoS Biol. 2012, 10, e1001308. [Google Scholar] [CrossRef] [PubMed]
- Papadopulos, A.S.; Chester, M.; Ridout, K.; Filatov, D.A. Rapid Y degeneration and dosage compensation in plant sex chromosomes. Proc. Natl. Acad. Sci. USA 2015, 112, 13021–13026. [Google Scholar] [CrossRef] [PubMed]
- Krasovec, M.; Kazama, Y.; Ishii, K.; Abe, T.; Filatov, D.A. Immediate dosage compensation is triggered by the deletion of Y-linked genes in Silene latifolia. Curr. Biol. 2019, 29, 2214–2221. [Google Scholar] [CrossRef] [PubMed]
- Qiu, S.; Bergero, R.; Guirao-Rico, S.; Campos, J.L.; Cezard, T.; Gharbi, K.; Charlesworth, D. RAD mapping reveals an evolving, polymorphic and fuzzy boundary of a plant pseudoautosomal region. Mol. Ecol. 2016, 25, 414–430. [Google Scholar] [CrossRef]
- Qiu, S.; Bergero, R.; Charlesworth, D. Testing for the footprint of sexually antagonistic polymorphisms in the pseudoautosomal region of a plant sex chromosome pair. Genetics 2013, 194, 663–672. [Google Scholar] [CrossRef]
- Bergero, R.; Qiu, S.; Forrest, A.; Borthwick, H.; Charlesworth, D. Expansion of the pseudo-autosomal region and ongoing recombination suppression in the Silene latifolia sex chromosomes. Genetics 2013, 194, 673–686. [Google Scholar] [CrossRef]
- Bergero, R.; Forrest, A.; Kamau, E.; Charlesworth, D. Evolutionary strata on the X chromosomes of the dioecious plant Silene latifolia: Evidence from new sex-linked genes. Genetics 2007, 175, 1945–1954. [Google Scholar] [CrossRef]
- Zhang, G.J.; Li, C.; Li, Q.Y.; Li, B.; Larkin, D.M.; Lee, C.; Storz, J.F.; Antunes, A.; Greenwold, M.J.; Meredith, R.W.; et al. Comparative genomics reveals insights into avian genome evolution and adaptation. Science 2014, 346, 1311–1320. [Google Scholar] [CrossRef] [PubMed]
- Li, B.; Dewey, C.N. RSEM: Accurate transcript quantification from RNA-Seq data with or without a reference genome. BMC Bioinform. 2011, 12, 323. [Google Scholar] [CrossRef] [PubMed]
- Li, H.; Handsaker, B.; Wysoker, A.; Fennell, T.; Ruan, J.; Homer, N.; Marth, G.; Abecasis, G.; Durbin, R.; Subgroup, G.P.D.P. The sequence alignment/map format and SAMtools. Bioinformatics 2009, 25, 2078–2079. [Google Scholar] [CrossRef] [PubMed]
- McKenna, A.; Hanna, M.; Banks, E.; Sivachenko, A.; Cibulskis, K.; Kernytsky, A.; Garimella, K.; Altshuler, D.; Gabriel, S.; Daly, M.; et al. The Genome Analysis Toolkit: A MapReduce framework for analyzing next-generation DNA sequencing data. Genome Res. 2010, 20, 1297–1303. [Google Scholar] [CrossRef]
- Edgar, R.C. MUSCLE: Multiple sequence alignment with high accuracy and high throughput. Nucleic Acids Res. 2004, 32, 1792–1797. [Google Scholar] [CrossRef]
- Tajima, F. Statistical method for testing the neutral mutation hypothesis by DNA polymorphism. Genetics 1989, 123, 585–595. [Google Scholar]
- Ramos-Onsins, S.E.; Ferretti, L.; Raineri, E.; Jené, J.; Marmorini, G.; Burgos, W.; Vera, G. Mstatspop: Statistical Analysis Using Multiple Populations for Genomic Data. Available online: https://bioinformatics.cragenomica.es/numgenomics/people/sebas/software/software.html (accessed on 29 April 2020).
- Filatov, D.A. The two “rules of speciation” in species with young sex chromosomes. Mol. Ecol. 2018, 27, 3799–3810. [Google Scholar] [CrossRef]
- Hu, X.S.; Filatov, D.A. The large-X effect in plants: Increased species divergence and reduced gene flow on the Silene X-chromosome. Mol. Ecol. 2016, 25, 2609–2619. [Google Scholar] [CrossRef]
- Raudsepp, T.; Chowdhary, B.P. The eutherian pseudoautosomal region. Cytogenet. Genome Res. 2015, 147, 81–94. [Google Scholar] [CrossRef]
- Eyre-Walker, A. Recombination and mammalian genome evolution. Proc. Biol. Sci. 1993, 252, 237–243. [Google Scholar] [CrossRef]
- Campos, J.L.; Halligan, D.L.; Haddrill, P.R.; Charlesworth, B. The relation between recombination rate and patterns of molecular evolution and variation in Drosophila melanogaster. Mol. Biol. Evol. 2014, 31, 1010–1028. [Google Scholar] [CrossRef] [PubMed]
- Charlesworth, B.; Campos, J.L. The relations between recombination rate and patterns of molecular variation and evolution in Drosophila. Annu. Rev. Genet. 2014, 48, 383–403. [Google Scholar] [CrossRef] [PubMed]
- Graves, J.A.; Wakefield, M.J.; Toder, R. The origin and evolution of the pseudoautosomal regions of human sex chromosomes. Hum. Mol. Genet. 1998, 7, 1991–1996. [Google Scholar] [CrossRef] [PubMed]
- Rappold, G.A. The pseudoautosomal regions of the human sex chromosomes. Hum. Genet. 1993, 92, 315–324. [Google Scholar] [CrossRef] [PubMed]
- Palmer, S.; Perry, J.; Kipling, D.; Ashworth, A. A gene spans the pseudoautosomal boundary in mice. Proc. Natl. Acad. Sci. USA 1997, 94, 12030–12035. [Google Scholar] [CrossRef] [PubMed]
- White, M.A.; Ikeda, A.; Payseur, B.A. A pronounced evolutionary shift of the pseudoautosomal region boundary in house mice. Mamm. Genome 2012, 23, 454–466. [Google Scholar] [CrossRef]
- Raudsepp, T.; Chowdhary, B.P. The horse pseudoautosomal region (PAR): Characterization and comparison with the human, chimp and mouse PARs. Cytogenet. Genome Res. 2008, 121, 102–109. [Google Scholar] [CrossRef]
- Das, P.J.; Chowdhary, B.P.; Raudsepp, T. Characterization of the bovine pseudoautosomal region and comparison with sheep, goat, and other mammalian pseudoautosomal regions. Cytogenet. Genome Res. 2009, 126, 139–147. [Google Scholar] [CrossRef]
- Kirkpatrick, M.; Guerrero, R.F. Signatures of sex-antagonistic selection on recombining sex chromosomes. Genetics 2014, 197, 531–541. [Google Scholar] [CrossRef]

| ID | Sex | Country | Location | Data from |
|---|---|---|---|---|
| Sa283g | male | Belgium | [60] | |
| Sa668a | male | Sweden | Oland | [60] |
| Sa984 | male | England | [47] | |
| Sa526b | female | Austria | Stift Melk | [61] |
| Sa615 | female | Germany | This study | |
| Sa758d | female | Russian Federation | Moscow | This study |
| Sa833d | female | Spain | [43] | |
| Sa985 | female | Austria | [47] |
| Qui et al. 2016 [49] | Papadopoulos et al. 2015 [47] | ||||
|---|---|---|---|---|---|
| Marker | Map (cM) | X or PAR | Marker | Map (cM) | X or PAR |
| E707X | 0 | X | Contig4232 | 4.3 | X |
| SlX4 | 4.2 | X | Contig8519 | 14.5 | X |
| SIX6A | 5.4 | X | Contig14178 | 13.4 | X |
| SlX7 | 7.7 | X | Contig842 | 18.2 | X |
| E711X | 14.1 | X | none | - | - |
| SlX3 | 28.1 | X | none | - | - |
| E713X | 36.3 | X | Contig19016 | 35.7 | X |
| E807X | 44.5 | X | none | - | - |
| E330X | 60.5 | X | none | - | - |
| SlCypX | 67.9 | X | Contig8805 | 52.6 | X |
| SIX9 | 67.9 | X | none | - | - |
| E777X | 71.4 | X | Contig3001 | 60.9 | X |
| E779X | 71.4 | X | Contig675 | 62.6 | X |
| cs1536X | 81.5 | X | none | - | - |
| E799X | 82.6 | X | none | - | - |
| cs3597 | 83.8 | PAR | none | - | - |
| E780X | 83.8 | PAR | Contig8488 | 62.7 | X |
| E316X | 83.8 | PAR | none | - | - |
| E559X | 83.8 | PAR | none | - | - |
| E521X | 83.8 | PAR | none | - | - |
| E523X | 83.8 | PAR | none | - | - |
| cs32X | 84.9 | PAR | Contig16105 | 65.7 | PAR |
| E247X | 84.9 | PAR | none | - | - |
| SlX6B | 84.9 | PAR | none | - | - |
| SlCyt | 84.9 | PAR | none | - | - |
| E200 | 86.1 | PAR | none | - | - |
| cs1539 | 86.1 | PAR | none | - | - |
| E241 | 86.1 | PAR | Contig3920 | 72.1 | PAR |
| cs4991 | 86.1 | PAR | Contig7492 | 76.2 | PAR |
| E352X | 85.5 | PAR | Contig4019 | 80.6 | PAR |
| E592 | 101.3 | PAR | Contig11138 | 89.7 | PAR |
| cs5136X | 120.6 | PAR | none | - | - |
| Genes | Map Position | df108 Map | This Study | Y-SNPs | ||
|---|---|---|---|---|---|---|
| Analyzed | In Females | Females with Y-SNPs | ||||
| Contig675 | 62.6 | X | X | 0 | - | - |
| Contig697 | 62.6 | X | X | 5 | 0 | 0 |
| Contig804 | 62.6 | X | X | 0 | - | - |
| Contig867 | 62.6 | X | X | 0 | - | - |
| Contig8509 | 62.6 | X | X | 0 | - | - |
| Contig8660 | 62.6 | X | X | 0 | - | - |
| Contig15301 | 62.6 | X | X | 1 | 0 | 0 |
| Contig1564 | 62.6 | X | X | 0 | - | - |
| Contig1740 | 62.6 | X | X | 0 | - | - |
| Contig17645 | 62.6 | X | X | 0 | - | - |
| Contig18491 | 62.6 | X | X | 0 | - | - |
| Contig1290 | 62.6 | X | X | 0 | - | - |
| Contig1436 | 62.6 | X | X | 0 | - | - |
| Contig15401 | 62.6 | X | X | 0 | - | - |
| Contig12513 | 62.6 | X | X | 3 | 0 | 0 |
| Contig1804 | 62.6 | X | X | 0 | - | - |
| Contig18911 | 62.6 | X | X | 0 | - | - |
| Contig2431 | 62.6 | X | X | 0 | - | - |
| Contig2761 | 62.6 | X | X | 0 | - | - |
| Contig2802 | 62.6 | X | X | 0 | - | - |
| Contig3835 | 62.6 | X | X | 0 | - | - |
| Contig14349 | 62.6 | X | X | 17 | 0 | 0 |
| Contig3846 | 62.6 | X | X | 0 | - | - |
| Contig4210 | 62.6 | X | X | 0 | - | - |
| Contig4518 | 62.6 | X | X | 0 | - | - |
| Contig17773 | 62.6 | X | X | 27 | 0 | 0 |
| Contig5724 | 62.6 | X | X | 0 | - | - |
| Contig8598 | 62.6 | X | X | 11 | 0 | 0 |
| Contig1798 | 62.7 | X | fuzzy boundary I | 4 | 1 | 1 |
| Contig8488 | 62.7 | X | fuzzy boundary I | 0 | - | - |
| Contig9505 | 62.7 | X | fuzzy boundary I | 14 | 1 | 3 |
| Contig18786 | 62.7 | X | fuzzy boundary I | 2 | 0 | 0 |
| Contig255 | 62.7 | X | fuzzy boundary I | 0 | - | - |
| Contig12476 | 62.8 | X | fuzzy boundary I | 0 | - | - |
| Contig2117 | 62.9 | X | fuzzy boundary I | 1 | 0 | 0 |
| Contig1858 | 62.9 | X | fuzzy boundary I | 0 | - | - |
| Contig456 | 62.9 | X | fuzzy boundary I | 0 | - | - |
| Contig1229 | 63.0 | X | fuzzy boundary I | 0 | - | - |
| Contig6406 | 63.0 | X | fuzzy boundary I | 0 | - | - |
| Contig1046 | 63.4 | X | fuzzy boundary II | 13 | 4 | 3 |
| Contig1251 | 63.4 | X | fuzzy boundary II | 24 | 4 | 3 |
| Contig13504 | 63.4 | X | fuzzy boundary II | 5 | 0 | 0 |
| Contig1623 | 63.4 | X | fuzzy boundary II | 3 | 0 | 0 |
| Contig528 | 63.4 | X | fuzzy boundary II | 11 | 0 | 0 |
| Contig13419 | 63.6 | X | fuzzy boundary II | 23 | 4 | 2 |
| Contig15757 | 63.6 | X | fuzzy boundary II | 13 | 0 | 0 |
| Contig15519 | 63.6 | X | fuzzy boundary II | 2 | 0 | 0 |
| Contig9011 | 63.6 | X | fuzzy boundary II | 1 | 1 | 3 |
| Contig16617 | 64.8 | PAR | PAR | 0 | - | - |
| 36 genes | - | PAR | PAR | 0 | - | - |
| Contig3920 | 72.1 | PAR | PAR | 0 | - | - |
© 2020 by the authors. Licensee MDPI, Basel, Switzerland. This article is an open access article distributed under the terms and conditions of the Creative Commons Attribution (CC BY) license (http://creativecommons.org/licenses/by/4.0/).
Share and Cite
Krasovec, M.; Zhang, Y.; Filatov, D.A. The Location of the Pseudoautosomal Boundary in Silene latifolia. Genes 2020, 11, 610. https://doi.org/10.3390/genes11060610
Krasovec M, Zhang Y, Filatov DA. The Location of the Pseudoautosomal Boundary in Silene latifolia. Genes. 2020; 11(6):610. https://doi.org/10.3390/genes11060610
Chicago/Turabian StyleKrasovec, Marc, Yu Zhang, and Dmitry A. Filatov. 2020. "The Location of the Pseudoautosomal Boundary in Silene latifolia" Genes 11, no. 6: 610. https://doi.org/10.3390/genes11060610
APA StyleKrasovec, M., Zhang, Y., & Filatov, D. A. (2020). The Location of the Pseudoautosomal Boundary in Silene latifolia. Genes, 11(6), 610. https://doi.org/10.3390/genes11060610
