New Insight into Plant Signaling: Extracellular ATP and Uncommon Nucleotides
Abstract
1. Introduction
2. eATP as a Signaling Molecule
2.1. Plant eATP Receptors
2.2. Plant eATP Signal Transduction Pathway
2.3. eATP Involvement in Plant Responses to Biotic and Abiotic Stresses
3. Extracellular Pyridine Nucleotides
4. Uncommon Nucleotides as Signaling Molecules
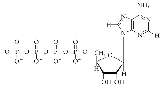
4.1. Mononucleoside Polyphosphates
4.1.1. Structure and Occurrence of Mononucleoside Polyphosphates
4.1.2. Synthesis and Degradation of Mononucleoside Polyphosphates
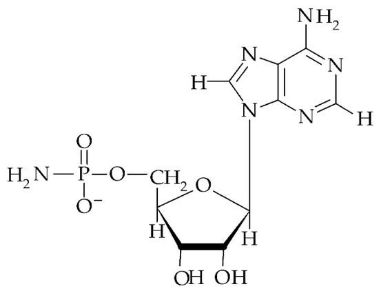
4.2. Adenosine 5′-Phosphoramidate
Structure, Occurrence, and Metabolism of Adenosine 5′-Phosphoramidate
4.3. Dinucleoside Polyphosphates
4.3.1. Structure and Occurrence of Dinucleoside Polyphosphates
4.3.2. Synthesis and Degradation of Dinucleoside Polyphosphates
4.4. Function of Uncommon Nucleotides
4.5. Uncommon Nucleotide Signal Transduction Pathways in Plants
5. Conclusions
Author Contributions
Funding
Acknowledgments
Conflicts of Interest
Abbreviations
| 1,3-ppGly | 1,3-Diphosphoglycerate |
| 3-pGly | 3-Phosphoglycerate |
| 4CL | 4-coumarate:CoA ligase |
| AARS | Aminoacyl t-RNA synthetase |
| ABC transporter | ATP-binding cassette ABC transporter |
| AMP, pA | Adenosine 5′-monophosphate |
| Ap3A, ApppA | Diadenosine 5′,5′′′-P1,P3-triphosphate |
| Ap4A, AppppA | Diadenosine 5′,5′’’-P1,P4-tetraphosphate |
| Ap4C | P1-(5’-Adenosyl)-P4-(5’-cytidyl)-tetraphosphate |
| ApU | Adenosine-uridine monophosphate |
| APY1 and APY2 | Apyrase 1 and 2 |
| C4H | Cinnamate-4-hydroxylase |
| cAMP | Adenosine 3′,5′-cyclic monophosphate |
| CAMTA3 | Calmodulin-binding transcription activator |
| CCR | Cinnamoyl-CoA:NADP oxidoreductase |
| cGMP | Guanosine 3′,5′-cyclic monophosphate |
| CHS | Chalcone synthase |
| Cp3C | Dicytosine 5′,5′′′-P1,P3-triphosphate |
| Cp4C | Dicytosine 5′,5′′′-P1,P4-tetraphosphate |
| DORN1 | Does not Respond to Nucleotide |
| E | Enzyme |
| eATP | Extracellular ATP |
| eNAD+ | Extracellular NAD+ |
| eNADP+ | Extracellular NADP+ |
| Fhit | Fragile histidine triad |
| F-pA | Adenosine 5′-O-phosphorofluoridate |
| Gp3G | Diguanosine 5′,5′′′-P1,P3-triphosphate |
| Gp4G | Diguanosine 5′,5′′′-P1,P4-tetraphosphate |
| HIT | Histidine triad |
| ICS | Isochorismate synthase |
| ISR | Induced systemic resistance |
| JAR1 | Jasmonate:amino acid synthetase |
| LecRK-1.9 | L-type lectin receptor-like kinase 1.9 |
| LysRS | Lysyl-tRNA synthetase |
| MAPK | Mitogen-activated protein kinases |
| MITF | Microphthalmia-associated transcription factor |
| MYC | Transcription factors |
| NAADP | Nicotinic acid adenine dinucleotide phosphate |
| NH2-pA | Adenosine 5′-phosphoramidate |
| NO | Nitric oxide |
| Non-AARS | Non-aminoacyl t-RNA synthetase |
| NpnN’ | Dinucleoside polyphosphate |
| NTP, pppN | Nucleoside 5′-triphosphate |
| NUDT | Nudix hydrolase |
| Nudix | Nucleoside diphosphate linked to x (x: any moiety) |
| P2K1 | P2 receptor kinase 1 |
| P2X | Ligand-gated ion channel |
| P2Y | G protein-coupled receptor |
| P3, ppp | Triphosphate |
| P4, pppp | Tetraphosphate |
| p4A, ppppA | Adenosine 5′-tetraphosphate |
| p4C | Cytosine 5′-tetraphosphate |
| p4G | Guanosine 5′-tetraphosphate |
| p4U | Uridine 5′-tetraphosphate |
| p5A, pppppA | Adenosine 5′-pentaphosphate |
| PAL | Phenylalanine ammonia-lyase |
| PGP1 | p-Glycoprotein 1 |
| PM-ANT1 | Plasma membrane-localized nucleotide transporters |
| pnN | Nucleoside 5′-polyphosphate |
| ppGpp | Guanosine 3′-diphosphate 5′-diphosphate |
| PPi | Pyrophosphate |
| (p)ppGpp | Guanosine 3′-diphosphate 5′-triphosphate |
| RBOHD | Respiratory burst oxidase homolog protein D |
| RNS | Reactive nitrogen species |
| ROS | Reactive oxygen species |
| SAR | Systemic acquired resistance |
| STS | Stilbene synthase |
| TF | Transcription factor |
| Up2U | Diuridine 5′,5′′′-P1,P2-diphosphate |
| UTP, pppU | Uridine 5′-triphosphate |
References
- Edel, K.H.; Marchadier, E.; Brownlee, C.; Kudla, J.; Hetherington, A.M. The evolution of calcium-based signalling in plants. Curr. Biol. 2017, 27, 667–679. [Google Scholar] [CrossRef]
- Del Rio, L.A. ROS and RNS in plant physiology: An overview. J. Exp. Bot. 2015, 66, 2827–2837. [Google Scholar] [CrossRef]
- Pietrowska-Borek, M.; Chadzinikolau, T.; Borek, S. Cyclic nucleotides and nucleotide cyclases in plants under stress. In Improvement of Crops in the Era of Climatic Changes; Ahmad, P., Wani, M.R., Azooz, M.M., Tran, L.S.P., Eds.; Springer Science and Business Media: New York, NY, USA, 2014; pp. 119–151. [Google Scholar]
- Isner, J.C.; Maathuis, F.J.M. cGMP signalling in plants: From enigma to main stream. Funct. Plant Biol. 2016, 45, 93–101. [Google Scholar] [CrossRef]
- Świeżawska, B.; Duszyn, M.; Jaworski, K.; Szmidt-Jaworska, A. Downstream targets of cyclic nucleotides in plants. Front. Plant Sci. 2018, 9, 1428. [Google Scholar] [CrossRef]
- Gehring, C.; Turek, I.S. Cyclic nucleotide monophosphates and their cyclases in plant signaling. Front. Plant Sci. 2017, 8, 1704. [Google Scholar] [CrossRef]
- Tripathi, D.; Tanaka, K. A crosstalk between extracellular ATP and jasmonate signaling pathways for plant defense. Plant Signal. Behav. 2018, 13, e1432229. [Google Scholar] [CrossRef] [PubMed]
- Burnstock, G. Purinergic nerves. Pharmacol. Rev. 1972, 24, 509–581. [Google Scholar]
- Drury, A.N.; Szent-Gyorgy, A. The physiological activity of adenine compounds with special reference to their action upon the mammalian heart. J. Physiol. 1929, 68, 213–237. [Google Scholar] [CrossRef] [PubMed]
- Cheung, K.K.; Chan, W.Y.; Burnstock, G. Expression of P2X purinoceptors during rat brain development and their inhibitory role on motor axon outgrowth in neural tube explant cultures. Neuroscience 2005, 133, 937–945. [Google Scholar] [CrossRef]
- Choi, J.; Tanaka, K.; Cao, Y.; Qi, Y.; Qiu, J.; Liang, Y.; Lee, S.Y.; Stacey, G. Identification of a plant receptor for extracellular ATP. Science 2014, 343, 290–294. [Google Scholar] [CrossRef]
- Kim, S.Y.; Sivaguru, M.; Stacey, G. Extracellular ATP in plants. Visualization, localization, and analysis of physiological significance in growth and signaling. Plant Physiol. 2006, 142, 984–992. [Google Scholar] [CrossRef] [PubMed]
- Wu, S.J.; Liu, Y.S.; Wu, J.Y. The signaling role of extracellular ATP and its dependence on Ca2+ flux in elicitation of Salvia miltiorrhiza hairy root cultures. Plant Cell Physiol. 2008, 49, 617–624. [Google Scholar] [CrossRef] [PubMed]
- Weerasinghe, R.R.; Swanson, S.J.; Okada, S.F.; Garrett, M.B.; Kim, S.Y.; Stacey, G.; Boucher, R.C.; Gilroy, S.; Jones, A.M. Touch induces ATP release in Arabidopsis roots that is modulated by the heterotrimeric G-protein complex. FEBS Lett. 2009, 583, 2521–2526. [Google Scholar] [CrossRef] [PubMed]
- Dark, A.; Demidchik, V.; Richards, S.L.; Shabala, S.; Davies, J.M. Release of extracellular purines from plant roots and effect on ion fluxes. Plant Signal. Behav. 2011, 6, 1855–1857. [Google Scholar] [CrossRef] [PubMed]
- Song, C.J.; Steinebrunner, I.; Wang, X.; Stout, S.C.; Roux, S.J. Extracellular ATP induces the accumulation of superoxide via NADPH oxidases in Arabidopsis. Plant Physiol. 2006, 140, 1222–1232. [Google Scholar] [CrossRef] [PubMed]
- Thomas, C.; Rajagopal, A.; Windsor, B.; Dudler, R.; Lloyd, A.; Roux, S.J. A role for ectophosphatase in xenobiotic resistance. Plant Cell 2000, 12, 519–533. [Google Scholar] [CrossRef] [PubMed]
- Rieder, B.; Neuhaus, H.E. Identification of an Arabidopsis plasma membrane-located ATP transporter important for anther development. Plant Cell 2011, 23, 1932–1944. [Google Scholar] [CrossRef]
- Lim, M.H.; Wu, J.; Clark, G.; Roux, S.J. Apyrase suppression raises extracellular ATP levels and induces gene expression and cell wall changes characteristic of stress responses. Plant Physiol. 2014, 164, 2054–2067. [Google Scholar] [CrossRef]
- Clark, G.; Roux, S.J. Apyrases, extracellular ATP and the regulation of growth. Curr. Opin. Plant Biol. 2011, 14, 700–706. [Google Scholar] [CrossRef]
- Parsons, H.T.; Christiansen, K.; Knierim, B.; Carroll, A.; Ito, J.; Batth, T.S.; Smith-Moritz, A.M.; Morrison, S.; McInerney, P.; Hadi, M.Z.; et al. Isolation and proteomic characterization of the Arabidopsis Golgi defines functional and novel components involved in plant cell wall biosynthesis. Plant Physiol. 2012, 159, 12–26. [Google Scholar] [CrossRef]
- Chiu, T.Y.; Christiansen, K.; Moreno, I.; Lao, J.; Loqué, D.; Orellana, A.; Heazlewood, J.L.; Clark, G.; Roux, S.J. AtAPY1 and AtAPY2 function as Golgi-localized nucleoside diphosphatases in Arabidopsis thaliana. Plant Cell Physiol. 2012, 53, 1913–1925. [Google Scholar] [CrossRef] [PubMed]
- Schiller, M.; Massalski, C.; Kurth, T.; Steinebrunner, I. The Arabidopsis apyrase AtAPY1 is localized in the Golgi instead of the extracellular space. BMC Plant Biol. 2012, 12, 123. [Google Scholar] [CrossRef] [PubMed][Green Version]
- Wu, J.; Steinebrunner, I.; Sun, Y.; Butterfield, T.; Torres, J.; Arnold, D.; Gonzalez, A.; Jacob, F.; Reichler, S.; Roux, S.J. Apyrases (nucleoside triphosphate-diphosphohydrolases) play a key role in growth control in Arabidopsis. Plant Physiol. 2007, 144, 961–975. [Google Scholar] [CrossRef] [PubMed]
- Liu, X.; Wu, J.; Clark, G.; Lundy, S.; Lim, M.; Arnold, D.; Chan, J.; Tang, W.Q.; Muday, G.K.; Gardner, G.; et al. Role for apyrases in polar auxin transport in Arabidopsis. Plant Physiol. 2012, 160, 1985–1995. [Google Scholar] [CrossRef] [PubMed]
- Day, R.B.; McAlvin, C.B.; Loh, J.T.; Denny, R.L.; Wood, T.C.; Young, N.D.; Stacey, G. Differential expression of two soybean apyrases, one of which is an early nodulin. Mol. Plant Microbe Interact. 2000, 13, 1053–1070. [Google Scholar] [CrossRef] [PubMed]
- Kiba, A.; Toyoda, K.; Yoshioka, K.; Tsujimura, K.; Takahashi, H.; Ichinose, Y.; Takeda, T.; Kato, T.; Shiraishi, T. A pea NTPase, PsAPY1, recognizes signal molecules from microorganisms. J. Gen. Plant Pathol. 2006, 72, 238–246. [Google Scholar] [CrossRef]
- Riewe, D.; Grosman, L.; Fernie, A.R.; Wucke, C.; Geigenberger, P. The potato-specific apyrase is apoplastically localized and has influence on gene expression, growth, and development. Plant Physiol. 2008, 147, 1092–1109. [Google Scholar] [CrossRef]
- Chiu, T.Y.; Lao, J.; Manalansan, B.; Loque, D.; Roux, S.J.; Heazlewood, J.L. Biochemical characterization of Arabidopsis APYRASE family reveals their roles in regulating endomembrane NDP/NMP homoeostasis. Biochem. J. 2015, 472, 43–54. [Google Scholar] [CrossRef]
- Burnstock, G. Purinergic receptors. J. Theor. Biol. 1976, 62, 491–503. [Google Scholar] [CrossRef]
- Burnstock, G. Purine and pyrimidine receptors. Cell Mol. Life Sci. 2007, 64, 1471–1483. [Google Scholar] [CrossRef]
- Burnstock, G. A basis for distinguishing two types of purinergic receptor. In Cell Membrane Receptors for Drugs and Hormones: A Multidisciplinary Approach; Bolis, L., Straub, R.C.O., Eds.; Raven Press: New York, NY, USA, 1978; pp. 107–118. [Google Scholar]
- Möhlmann, T.; Steinebrunner, I.; Neuhaus, E. Nucleotides and nucleosides: Transport, metabolism, and signaling function of extracellular ATP. In Progress in Botany; Lüttge, U., Beyschlag, W., Cushman, J., Eds.; Springer: Berlin/Heidelberg, Germany, 2014; Volume 75, pp. 119–144. [Google Scholar]
- Tanaka, K.; Gilroy, S.; Jones, A.M.; Stacey, G. Extracellular ATP signaling in plants. Trends Cell Biol. 2010, 20, 601–608. [Google Scholar] [CrossRef] [PubMed]
- Jewell, J.B.; Tanaka, K. Transcriptomic perspective on extracellular ATP signaling: A few curious trifles. Plant Signal. Behav. 2019, 14, 1659079. [Google Scholar] [CrossRef] [PubMed]
- Liu, T.; Shang, Z. Extracellular ATP: An essential apoplastic messenger in plants. In Progress in Botany; Cánovas, F.M., Lüttge, U., Matyssek, R., Eds.; Springer: Cham, Switzerland, 2016; pp. 121–144. [Google Scholar]
- Cho, S.H.; Nguyen, C.T.; Choi, J.; Stacey, G. Molecular mechanism of plant recognition of extracellular ATP. Adv. Exp. Med. Biol. 2017, 1051, 233–253. [Google Scholar]
- Jewell, J.B.; Sowders, J.M.; He, R.; Willis, M.A.; Gang, D.R.; Tanaka, K. Extracellular ATP shapes a defense-related transcriptome both independently and along with other defense signaling pathways. Plant Physiol. 2019, 179, 1144–1158. [Google Scholar] [CrossRef] [PubMed]
- Zhu, R.J.; Dong, X.X.; Hao, W.W.; Gao, W.; Zhang, W.Z.; Xia, S.Y.; Liu, T.; Shang, Z.L. Heterotrimeric G protein-regulated Ca2+ influx and PIN2 asymmetric distribution are involved in Arabidopsis thaliana roots’ avoidance response to extracellular ATP. Front. Plant Sci. 2017, 8, 1522. [Google Scholar] [CrossRef] [PubMed]
- Matthus, E.; Sun, J.; Wang, L.; Bhat, M.G.; Mohammad-Sidik, A.B.; Wilkins, K.A.; Leblanc-Fournier, N.; Legué, V.; Moulia, B.; Stacey, G.; et al. DORN1/P2K1 and purino-calcium signalling in plants: Making waves with extracellular ATP. Ann. Bot. 2020, 124, 1227–1242. [Google Scholar] [CrossRef] [PubMed]
- Tanaka, K.; Choi, J.; Cao, Y.; Stacey, G. Extracellular ATP acts as a damage-associated molecular pattern (DAMP) signalin plants. Front. Plant Sci. 2014, 5, 446. [Google Scholar] [CrossRef]
- Demidchik, V.; Nichols, C.; Oliynyk, M.; Dark, A.; Glover, B.J.; Davies, J.M. Is ATP a signaling agent in plants? Plant Physiol. 2003, 133, 456–461. [Google Scholar] [CrossRef]
- Wu, S.; Wu, J. Extracellular ATP-induced NO production and its dependence on membrane Ca2+ flux in Salvia miltiorrhiza hairy roots. J. Exp. Bot. 2008, 59, 4007–4016. [Google Scholar] [CrossRef]
- Rodrigues, O.; Reshetnyak, G.; Grondin, A.; Saijo, Y.; Leonhardt, N.; Maurel, C.; Verdoucq, L. Aquaporins facilitate hydrogen peroxide entry into guard cells to mediate ABA- and pathogen-triggered stomatal closure. Proc. Natl. Acad. Sci. USA 2017, 114, 9200–9205. [Google Scholar] [CrossRef] [PubMed]
- Sun, J.; Zhang, C.L.; Deng, S.R.; Lu, C.F.; Shen, X.; Zhou, X.Y.; Zheng, X.J.; Hu, Z.M.; Chen, S.L. An ATP signalling pathway in plant cells: Extracellular ATP triggers programmed cell death in Populus euphratica. Plant Cell Environ. 2012, 35, 893–916. [Google Scholar] [CrossRef] [PubMed]
- Yang, Y.X.; Ahammed, G.J.; Wu, C.; Fan, S.Y.; Zhou, Y.H. Crosstalk among jasmonate, salicylate and ethylene signaling pathways in plant disease and immune responses. Curr. Protein Pept. Sci. 2015, 16, 450–461. [Google Scholar] [CrossRef] [PubMed]
- Bouwmeester, K.; de Sain, M.; Weide, R.; Gouget, A.; Klamer, S.; Canut, H.; Govers, F. The lectin receptor kinase LecRK-I.9 is a novel Phytophthora resistance component and a potential host target for a RXLR effector. PLoS Pathog. 2011, 7, e1001327. [Google Scholar] [CrossRef] [PubMed]
- Balague, C.; Gouget, A.; Bouchez, O.; Souriac, C.; Haget, N.; Boutet-Mercey, S.; Govers, F.; Roby, D.; Canut, H. The Arabidopsis thaliana lectin receptor kinase LecRK-I.9 is required for full resistance to Pseudomonas syringae and affects jasmonate signalling. Mol. Plant Pathol. 2017, 18, 937–948. [Google Scholar] [CrossRef] [PubMed]
- Vahabi, K.; Sherameti, I.; Bakshi, M.; Mrozinska, A.; Ludwig, A.; Reichelt, M.; Oelmüller, R. The interaction of Arabidopsis with Piriformospora indica shifts from initial transient stress induced by fungus-released chemical mediators to a mutualistic interaction after physical contact of the two symbionts. BMC Plant Biol. 2015, 15, 58. [Google Scholar] [CrossRef]
- Nizam, S.; Qiang, X.; Wawra, S.; Nostadt, R.; Getzke, F.; Schwanke, F.; Dreyer, I.; Langen, G.; Zuccaro, A. Serendipita indica E5′NT modulates extracellular nucleotide levels in the plant apoplast and affects fungal colonisation. EMBO Rep. 2019, 20, e47430. [Google Scholar] [CrossRef]
- Tanaka, K.; Tóth, K.; Stacey, G. Role of ectoapyrases in nodulation. In Biological Nitrogen Fixation, 1st ed.; de Bruijn Frans, J., Ed.; John Wiley & Sons, Inc.: New York, NY, USA, 2015; pp. 517–524. [Google Scholar]
- Clark, G.; Fraley, D.; Steinebrunner, I.; Cervantes, A.; Onyirimba, J.; Liu, A.; Torres, J.; Tang, W.; Kim, J.; Roux, S.J. Extracellular nucleotides and apyrases regulate stomatal aperture in Arabidopsis. Plant Physiol. 2011, 156, 1740–1753. [Google Scholar] [CrossRef]
- Jeter, C.R.; Tang, W.; Henaff, E.; Butterfield, T.; Roux, S.J. Evidence of a novel cell signaling role for extracellular adenosine triphosphates and diphosphates in Arabidopsis. Plant Cell 2004, 16, 2652–2664. [Google Scholar] [CrossRef]
- Hou, Q.Z.; Ye, G.J.; Wang, R.F.; Jia, L.Y.; Liang, J.Y.; Feng, H.Q.; Wen, J.; Shi, D.L.; Wang, Q.W. Changes by cadmium stress in lipid peroxidation and activities of lipoxygenase and antioxidant enzymes in Arabidopsis are associated with extracellular ATP. Biologia 2017, 72, 1467–1474. [Google Scholar] [CrossRef]
- Chen, D.; Cao, Y.; Li, H.; Kim, D.; Ahsan, N.; Thelen, J.; Stacey, G. Extracellular ATP elicits DORN1-mediated RBOHD phosphorylation to regulate stomatal aperture. Nat. Commun. 2017, 8, 2265. [Google Scholar] [CrossRef] [PubMed]
- Kim, S.H.; Yang, S.H.; Kim, T.J.; Han, J.S.; Suh, J.W. Hypertonic stress increased extracellular ATP levels and the expression of stress-responsive genes in Arabidopsis thaliana seedlings. Biosci. Biotechnol. Biochem. 2009, 73, 1252–1256. [Google Scholar] [CrossRef] [PubMed]
- Wasternack, C.; Strnad, M. Jasmonates: News on occurrence, biosynthesis, metabolism and action of an ancient group of signaling compounds. Int. J. Mol. Sci. 2018, 19, 2539. [Google Scholar] [CrossRef] [PubMed]
- Rizwan, M.; Ali, S.; Adrees, M.; Ibrahim, M.; Tsang, D.; Zia-ur-Rehman, M.; Zahir, Z.; Rinklebe, J.; Tack, F.; Ok, Y. A critical review on effects, tolerance mechanisms and management of cadmium in vegetables. Chemosphere 2017, 182, 90–105. [Google Scholar] [CrossRef]
- Fargašová, A.; Pastierová, J.; Svetková, K. Effect of Se-metal pair combinations (Cd, Zn, Cu, Pb) on photosynthetic pigments production and metal accumulation in Sinapis alba L. seedlings. Plant Soil Environ. 2006, 52, 8–15. [Google Scholar] [CrossRef]
- Sarry, J.E.; Kuhn, L.; Ducruix, C.; Lafaye, A. The early responses of Arabidopsis thaliana cells to cadmium exposure explored by protein and metabolite profiling analyses. Proteomics 2006, 6, 2180–2198. [Google Scholar] [CrossRef]
- Herbette, S.; Taconnat, L.; Hugouvieux, V.; Piette, L.; Magniette, M.L.M.; Cuine, S. Genome-wide transcriptome profiling of the early cadmium response of Arabidopsis roots and shoots. Biochimie 2006, 88, 1751–1765. [Google Scholar] [CrossRef]
- Sanità di Toppi, L.; Gabbrielli, R. Response to cadmium in higher plants. Environ. Exp. Bot. 1999, 41, 105–130. [Google Scholar] [CrossRef]
- Berger, F.; Ramirez-Hernandez, M.H.; Ziegler, M. The new life of a centenarian: Signalling functions of NAD(P). Trends Biochem. Sci. 2004, 29, 111–118. [Google Scholar] [CrossRef]
- Noctor, G. Metabolic signalling in defence and stress: The central roles of soluble redox couples. Plant Cell Environ. 2006, 29, 409–425. [Google Scholar] [CrossRef]
- Billington, R.A.; Bruzzone, S.; De Flora, A.; Genazzani, A.A.; Koch-Nolte, F.; Ziegler, M.; Zocchi, E. Emerging functions of extracellular pyridine nucleotides. Mol. Med. 2006, 12, 324–327. [Google Scholar] [CrossRef]
- Zhang, X.; Mou, Z. Extracellular pyridine nucleotides induce PR gene expression and disease resistance in Arabidopsis. Plant J. 2009, 57, 302–312. [Google Scholar] [CrossRef] [PubMed]
- Zhang, X.; Mou, Z. Expression of the human NAD(P)-metabolizing ectoenzyme CD38 compromises systemic acquired resistance in Arabidopsis. Mol Plant Microbe Interact. 2012, 25, 1209–1218. [Google Scholar] [CrossRef]
- Wang, C.; Zhou, M.; Zhang, X.; Yao, J.; Zhang, Y.; Mou, Z. A lectin receptor kinase as a potential sensor for extracellular nicotinamide adenine dinucleotide in Arabidopsis thaliana. eLife 2017, 6, e25474. [Google Scholar] [CrossRef]
- Wang, C.; Huang, X.; Li, Q.; Zhang, Y.; Li, J.L.; Mou, Z. Extracellular pyridine nucleotides trigger plant systemic immunity through a lectin receptor kinase/BAK1 complex. Nat. Commun. 2019, 10, 4810. [Google Scholar] [CrossRef]
- Marrian, D.H. A new adenine nucleotide. Biochim. Biophys. Acta 1953, 12, 492. [Google Scholar] [CrossRef]
- Marrian, D.H. A new adenine nucleotide. Biochim. Biophys. Acta 1954, 13, 278–281. [Google Scholar] [CrossRef]
- Lieberman, I. Identification of adenosine tetraphosphate from horse muscle. J. Am. Chem. Soc. 1955, 77, 3373–3375. [Google Scholar] [CrossRef]
- Sacks, J. Adenosine pentaphosphate from commercial ATP. Biochim. Biophys. Acta 1955, 16, 436. [Google Scholar] [CrossRef]
- Gardner, J.A.A.; Hoagland, M.B. The isolation of guanosine tetraphosphate from commercially available preparations of guanosine triphosphate. J. Biol. Chem. 1965, 240, 1244–1246. [Google Scholar]
- Moreno, A.; Vallejo, C.G.; Sillero, A.; Sillero, M.A.G. Wide occurrence of guanosine 5′-tetraphosphate in commercial preparations of GTP. Anal. Biochem. 1975, 68, 648–650. [Google Scholar] [CrossRef]
- Moreno, A.; Lobatón, C.D.; Günther Sillero, M.A.; Sillero, A. Dinucleosidetetraphosphatase from Ehrlich ascites tumourcells: Inhibition by adenosine, guanosine and uridine 5′-tetraphosphates. Int. J. Biochem. 1982, 14, 629–634. [Google Scholar] [CrossRef]
- Costas, M.J.; Cameselle, J.C.; Günther Sillero, M.A.; Sillero, A. Presence of cytidine 5′-tetraphosphate in commercial samples of cytidine 5′-triphosphate. Anal. Biochem. 1983, 134, 455–458. [Google Scholar] [CrossRef]
- Heldt, H.W.; Klingenberg, M. Endogenous nucleotides of mitochondria participating in phosphate transfer reactions as studied with 32P labelled orthophosphate and ultramicroscale ion exchange chromatography. Biochem. Z. 1965, 343, 433–451. [Google Scholar] [PubMed]
- Zamecnik, P.C.; Stephenson, M.L. A possible regulatory site located at the gateway to protein synthesis. In Regulatory Mechanisms for Protein Synthesis in Mammalian Cells; Lamborg, M.R., Kenney, P.T., Eds.; Academic Press Inc.: San Pietro, NY, USA, 1968; pp. 3–16. [Google Scholar]
- Small, G.; Cooper, C. Studies on the occurrence and biosynthesis of adenosine tetraphosphate. Biochemistry 1966, 5, 26–33. [Google Scholar] [CrossRef]
- Van Dyke, K.; Robinson, R.; Urquilla, P.; Smith, D.; Taylor, M.; Trush, M.; Wilson, M. An analysis of nucleotides and catecholamines in bovine medullary granules by anion exchange high pressure liquid chromatography and fluorescence. Evidence that most of catecholamines in chromaffin granules are stored without associated ATP. Pharmacology 1977, 15, 377–391. [Google Scholar] [CrossRef]
- Sillero, M.A.; Del Valle, M.; Zaera, E.; Michelena, P.; García, A.G.; Sillero, A. Diadenosine 5′,5′′′-P1,P4-tetraphosphate (Ap4A), ATP and catecholamine content in bovine adrenal medulla, chromaffin granules and chromaffin cells. Biochimie 1994, 76, 404–409. [Google Scholar] [CrossRef]
- Gualix, J.; Abal, M.; Pintor, J.; Miras-Portugal, M.T. Presence of ε-adenosine tetraphosphate in chromaffin granules after transport of ε-ATP. FEBS Lett. 1996, 391, 195–198. [Google Scholar] [CrossRef]
- Lee, J.W.; Jeon, S.J.; Kong, I.D.; Jeong, S.W. Identification of adenosine 5′-tetraphosphate in rabbit platelets and its metabolism in blood. Korean J. Physiol. 1995, 29, 217–223. [Google Scholar]
- Jakubowski, H. Sporulation of the yeast Saccharomyces cerevisiae is accompanied by synthesis of adenosine 5’-tetraphosphate and adenosine 5’-pentaphosphate. Proc. Natl. Acad. Sci. USA 1986, 83, 2378–2382. [Google Scholar] [CrossRef]
- Fraga, H.; Fontes, R. Enzymatic synthesis of mono and dinucleoside polyphosphates. Biochim. Biophys. Acta 2011, 1810, 1195–1204. [Google Scholar] [CrossRef] [PubMed]
- Zamecnik, P.C.; Stephenson, M.L. Nucleoside pyrophosphate compounds related to the first step in protein synthesis. In Alfred Benzon Symposium I: The Role of Nucleotides for the Function and Conformation of Enzymes; Kalckar, H.M., Klenow, H., Munch-Peterson, G., Ottesen, M., Thuysen, J.M., Eds.; Munksguard: Copenhagen, Denmark, 1969; pp. 276–291. [Google Scholar]
- Theoclitou, M.E.; El-Thaher, T.S.H.; Miller, A.D. Enzymatic synthesis of diadenosine 5′,5‴-P1,P4-tetraphosphate (Ap4A) analogues by stress protein LysU. J. Chem. Soc. Chem. Commun. 1994, 5, 659–661. [Google Scholar] [CrossRef]
- Zamecnik, P.C.; Stephenson, M.L.; Janeway, C.M.; Randerath, K. Enzymatic synthesis of diadenosine tetraphosphate and diadenosine triphosphate with a purified lysyl-sRNA synthetase. Biochem. Biophys. Res. Commun. 1966, 24, 91–97. [Google Scholar] [CrossRef]
- Guranowski, A. Studies on dinucleoside polyphosphates: Some intriguing biochemical, physiological, and medical aspects. J. Clin. Biochem. 2000, 28, 177–189. [Google Scholar] [CrossRef]
- McLennan, A.G.; Zamecnik, P.C. Dinucleoside polyphosphates—An introduction. In Ap4A and Other Dinucleoside Polyphosphates; McLennan, A.G., Ed.; CRC Press: Boca Raton, FL, USA, 1992; pp. 1–7. [Google Scholar]
- Goerlich, O.; Foeckler, R.; Holler, E. Mechanism of synthesis of adenosine(5′)tetraphospho(5′)adenosine (AppppA) by aminoacyl-tRNA synthetases. Eur. J. Biochem. 1982, 126, 135–142. [Google Scholar] [CrossRef]
- Blanquet, S.; Plateau, P.; Brevet, A. The role of zinc in 5′,5′-diadenosine tetraphosphate production by aminoacyl-transfer RNA synthetases. Mol. Cell. Biochem. 1983, 52, 3–11. [Google Scholar] [CrossRef]
- Biryukov, A.I.; Zhukov, Y.N.; Lavrik, O.I.; Khomutov, R.M. Influence of the aminoacyl-tRNA synthetase inhibitors and the diadenosine-5′-tetraphosphate phosphonat analogues on the catalysis of diadenosyl oligophosphates formation. FEBS Lett. 1990, 273, 208–210. [Google Scholar] [CrossRef]
- Charlier, J.; Sanchez, R. Lysyl-tRNA synthetase from Escherichia coli K12. Chromatographic heterogeneity and the lysU-gene product. Biochem. J. 1987, 248, 43–51. [Google Scholar] [CrossRef]
- Lazewska, D.; Guranowski, A. P alpha-chiral phosphorothioate analogues of bis (5′-adenosyl)tetraphosphate (Ap4A); their enzymatic synthesis and degradation. Nucleic Acid Res. 1990, 18, 6083–6088. [Google Scholar] [CrossRef]
- Brevet, A.; Chen, J.; Lévêque, F.; Blanquet, S.; Plateau, P. Comparison of the enzymatic properties of the two Escherichia coli Lysyl-tRNA synthetase species. J. Biol. Chem. 1995, 270, 14439–14444. [Google Scholar] [CrossRef]
- Wright, M.; Boonyalai, N.; Tanner, J.A.; Hindley, A.D.; Miller, A.D. The duality of LysU, a catalyst for both Ap4A and Ap3A formation. FEBS J. 2006, 273, 3534–3544. [Google Scholar] [CrossRef] [PubMed]
- Ortiz, B.; Sillero, A.; Sillero, M.A.G. Specific synthesis of adenosine(5′)tetraphospho(5′)nucleoside and adenosine(5′)oligophospho(5′)adenosine (n greater than 4) catalyzed by firefly luciferase. Eur. J. Biochem. 1993, 215, 263–270. [Google Scholar] [CrossRef] [PubMed]
- Guranowski, A.; de Diego, A.; Sillero, A.; Sillero, M.A.G. Uridine 5 ′-polyphosphates (p4U and p5U) and uridine(5′)polyphospho(5′)nucleosides (UpnNs) can be synthesized by UTP:glucose-1-phosphate uridylyltransferase from Saccharomyces cerevisiae. FEBS Lett. 2004, 561, 83–88. [Google Scholar] [CrossRef]
- García-Diaz, M.; Canales, J.; Günther Sillero, M.A.; Sillero, A.; Cameselle, J.C. Phosphoghlycerate kinase from yeast synthesizes guanosine 5′-tetraphosphate. Biochem. Int. 1989, 19, 1253–1264. [Google Scholar]
- Kupriyanov, V.V.; Ferretti, J.A.; Balaban, R.S. Muscle adenylate kinase catalyzes adenosine 5′-tetraphosphate synthesis from ATP and ADP. Biochim. Biophys. Acta 1986, 869, 107–111. [Google Scholar] [CrossRef]
- Luo, G.; Nishimura, J.S. Adenosine 5′-tetraphosphate is synthesized by the histidine a142—asparagine mutant of Escherichia coli succinyl-CoA synthetase. J. Biol. Chem. 1992, 267, 9516–9520. [Google Scholar]
- Guranowski, A.; Günther Sillero, M.A.; Sillero, A. Adenosine 5′-tetraphosphate and adenosine 5′-pentaphosphate are synthesized by yeast acetyl coenzyme A synthetase. J. Bacteriol. 1994, 176, 2986–2990. [Google Scholar] [CrossRef][Green Version]
- Sillero, M.A.; de Diego, A.; Pérez-Zúñiga, F.; Sillero, A. Synthesis of biphosphonate derivatives of ATP by T4 DNA ligase, ubiquitin activating enzyme (E1) and other ligases. Biochem. Pharmacol. 2008, 75, 1959–1965. [Google Scholar] [CrossRef]
- Fontes, R.; Sillero, M.A.; Sillero, A. Acyl coenzyme A synthetase from Pseudomonas fragi catalyzes the synthesis of adenosine 5′-polyphosphates and dinucleoside polyphosphates. J. Bacteriol. 1998, 180, 3152–3158. [Google Scholar] [CrossRef]
- Fontes, R.; Günther Sillero, M.A.; Sillero, A. Acyl-CoA synthetase catalyzes the synthesis of diadenosine hexaphosphate (Ap6A). Biochimie 1999, 81, 229–233. [Google Scholar] [CrossRef]
- Madrid, O.; Martin, D.; Atencia, E.A.; Sillero, A.; Sillero, M.A.G. T4 DNA ligase synthesizes dinucleoside polyphosphates. FEBS Lett. 1998, 433, 283–286. [Google Scholar] [CrossRef]
- Günther Sillero, M.A.; Montes, M.; de Diego, A.; del Valle, M.; Atencia, E.; Sillero, A. Thermostable Pyrococcus furiosus DNA ligase catalyzes the synthesis of (di)nucleoside polyphosphates. Extremophiles 2002, 6, 45–50. [Google Scholar] [CrossRef] [PubMed]
- Sillero, M.A.; de Diego, A.; Tavares, J.E.F.; Silva, C.; Pérés-Zúñiga, J.; Sillero, A. Synthesis of ATP derivatives of compounds of the mevalonate pathway (isopentenyl di- and triphosphate; geranyl di- and triphosphate, farnesyl di- and triphosphate, and dimethylallyl diphosphate) catalyzed by T4 RNA ligase, T4 DNA ligase and other ligases potential relationship with the effect of bisphosphonates on osteoclasts. Biochem. Pharmacol. 2009, 78, 335–343. [Google Scholar] [PubMed]
- Atencia, E.A.; Madrid, O.; Sillero, M.A.G.; Sillero, A. T4 RNA ligase catalyzes thesynthesis of dinucleoside polyphosphates. Eur. J. Biochem. 1999, 261, 802–811. [Google Scholar] [CrossRef] [PubMed]
- Bouhss, A.; Dementin, S.; van Heijenoort, J.; Parquet, C.; Blanot, D. Formation of adenosine 5′-tetraphosphate from the acyl phosphate intermediate: A difference between the MurC and MurD synthetases of Escherichia coli. FEBS Lett. 1999, 453, 15–19. [Google Scholar] [CrossRef]
- Guranowski, A.; Starzyńska, E.; Rataj-Guranowska, M. Purification of apyrase from yellow lupin cotyledons after extraction with perchloric acid. Protein. Expr. Purif. 1991, 4, 235–239. [Google Scholar] [CrossRef]
- Guranowski, A.; Starzyńska, E.; Sillero, M.A.; Sillero, A. Conversion of adenosine(5′) oligophospho(5′) adenosines into inosine(5′)oligophospho(5′)inosines by non-specific adenylate deaminase from the snail Helix pomatia. Biochim. Biophys. Acta 1995, 1243, 78–84. [Google Scholar] [CrossRef]
- Mateo, J.; Miras-Portugal, M.T.; Rotllán, P. Ecto-enzymatic hydrolysis of diadenosine polyphosphates by cultured adrenomedullary vascular endothelial cells. Am. J. Physiol. 1997, 273, 6918–6927. [Google Scholar] [CrossRef]
- Mateo, J.; Rotllán, P.; Marti, E.; Gomez de Aranda, I.; Solsona, C.; Miras-Portugal, M.T. Diadenosine polyphosphate hydrolase from presynaptic plasma membranes of Torpedo electric organ. Biochem. J. 1997, 323, 677–684. [Google Scholar] [CrossRef]
- Plateau, P.; Fromant, M.; Brevet, A.; Gesquière, A.; Blanquet, S. Catabolism of bis(5′-nucleosidyl) oligophosphates in Escherichia coli; metal requirements and substrate specificity of homogeneous diadenosine-5′,5′′′-tetraphosphate (symmetrical) pyrophosphohydrolase. Biochemistry 1985, 24, 914–922. [Google Scholar] [CrossRef]
- Guranowski, A.; Blanquet, S. Phosphorolytic cleavage of diadenosine 5’,5’’’-P1,P4-tetraphosphate; properties of homogeneous diadenosine 5’,5’’’-P1,P4-tetraphosphate α,β-phosphorylase from Saccharomyces cerevisiae. J. Biol. Chem. 1985, 260, 3542–3547. [Google Scholar] [PubMed]
- Guranowski, A.; Just, G.; Holler, E.; Jakubowski, H. Synthesis of diadenosine 5’, 5’’’-P1,P4-tetraphosphate (AppppA) from adenosine 5’- phosphosulfate and adenosine 5’-triphosphate catalyzed by yeast AppppA phosphorylase. Biochemistry 1988, 27, 2959–2964. [Google Scholar] [CrossRef]
- Guranowski, A.; Starzyńska, E.; Brown, P.; Blackburn, G.M. Adenosine 5′-tetraphosphate phosphohydrolase from yellow lupin seeds: Purification to homogeneity and some properties. Biochem. J. 1997, 328, 257–262. [Google Scholar] [CrossRef]
- Pietrowska-Borek, M.; Stuible, H.P.; Kombrink, E.; Guranowski, A. 4-Coumarate:coenzyme A ligase has the catalytic capacity to synthesize and reuse various (di)adenosine polyphosphates. Plant Physiol. 2003, 131, 1401–1410. [Google Scholar] [CrossRef] [PubMed]
- Dixon, R.A.; Paiva, N.L. Stress-induced phenylpropanoid metabolism. Plant Cell. 1995, 7, 1085–1097. [Google Scholar] [CrossRef] [PubMed]
- Guranowski, A.; Miersch, O.; Staswick, P.E.; Suza, W.; Wasternack, C. Substrate specificty and products of side-reactions catalyzed by jasmonate:amino acid synthetase (JAR1). FEBS Lett. 2007, 581, 815–820. [Google Scholar] [CrossRef] [PubMed]
- Staswick, P.E.; Tiryaki, I.; Rowe, M.L. Jasmonate response locus JAR1 and several related Arabidopsis genes encode enzymes of the firefly luciferase superfamily that show activity on jasmonic, salicylic, and indole 3-acetic acids in an assay for adenylation. Plant Cell 2002, 14, 1405–1415. [Google Scholar] [CrossRef]
- Frankhauser, H.; Berkovitz, G.A.; Schiff, J.A. A nucleotide with the properties of adenosine 5′-phosphoramidate from Chlorella cells. Biochem. Biophys. Res. Commun. 1981, 101, 524–532. [Google Scholar] [CrossRef]
- Frankhauser, H.; Schiff, J.A.; Garber, L.J. Purification and properties of adenylyl sulfate: Ammonia adenylyltransferase from Chlorella catalyzing the formation of adenosine 5′-phosphoramidate from adenosine 5′-phosphosulfate and ammonia. Biochem. J. 1981, 195, 545–560. [Google Scholar] [CrossRef]
- Wojdyła-Mamoń, A.M.; Guranowski, A. Adenylylsulfate:ammonia adenylyltransferase activity is another inherent property of Fhit proteins. Bioscence Rep. 2015, 35, e00235. [Google Scholar] [CrossRef]
- Kuba, M.; Okizaki, T.; Ohmori, H.; Kumon, A. Nucleoside monophosphoramidate hydrolase from rat liver: Purification and characterization. Int. J. Biochem. Cell Biol. 1994, 26, 235–245. [Google Scholar]
- Bieganowski, P.; Garrison, P.N.; Hodawadekar, S.C.; Faye, G.; Barnes, L.D.; Brenner, C. Adenosine monophosphoramidase activity of Hint and Hnt1 supports function of Kin28, Ccl1, and Tfb3. J. Biol. Chem. 2002, 13, 10852–10860. [Google Scholar] [CrossRef] [PubMed]
- Guranowski, A.; Wojdyła, A.M.; Zimny, J.; Wypijewska, A.; Kowalska, J.; Jemielity, J.; Davis, R.E.; Bieganowski, P. Dual activity of certain HIT-proteins: A. thaliana Hint4 and C. elegans DcpS act on adenosine 5′-phosphosulfate as hydrolases (forming AMP) and as phosphorylases (forming ADP). FEBS Lett. 2010, 584, 93–98. [Google Scholar] [CrossRef] [PubMed]
- Guranowski, A.; Wojdyła, A.M.; Zimny, J.; Wypijewska, A.; Kowalska, J.; Łukaszewicz, M.; Jemielity, J.; Darżynkiewicz, E.; Jagiełło, A.; Bieganowski, P. Recognition of different nucleotidyl-derivatives as substrates of re-actions catalyzed by various HIT-proteins. New J. Chem. 2010, 34, 888–893. [Google Scholar] [CrossRef]
- Guranowski, A.; Wojdyła, A.M.; Rydzik, A.M.; Stępiński, J.; Jemielity, J. Plant nucleoside 5’-phosphoramidate hydrolase; simple purification from yellow lupin (Lupinus luteus) seeds and properties of homogeneous enzyme. Acta Biochim. Pol. 2011, 58, 131–136. [Google Scholar] [CrossRef]
- Bretes, E.; Wojdyła-Mamoń, A.M.; Kowalska, J.; Jemielity, J.; Kaczmarek, R.; Baraniak, J.; Guranowski, A. Hint2, the mitochondrial nucleoside 5′-phosphoramidate hydrolase; properties of the homogeneous protein from sheep (Ovis aries) liver. Acta Biochim. Pol. 2013, 60, 249–254. [Google Scholar] [CrossRef]
- Huang, K.; Arabshahi, A.; Wei, Y.; Frey, P.A. The mechanism of action of the fragile histidine triad, Fhit: Isolation of a covalent adenylyl enzyme and chemical rescue of H96G-Fhit. Biochemistry 2004, 43, 7637–7642. [Google Scholar] [CrossRef]
- Brenner, C. Hint, Fhit, and GalT: Function, structure, evolution, and mechanism of three branches of the histidine triad superfamily of nucleotide hydrolases and transferases. Biochemistry 2002, 41, 9003–9014. [Google Scholar] [CrossRef]
- Guranowski, A.; Wojdyła, A.M.; Pietrowska-Borek, M.; Bieganowski, P.; Khurs, E.N.; Cliff, M.J.; Blackburn, G.M.; Błaziak, D.; Stec, W.J. Fhit proteins can also recognize substrates other than dinucleoside polyphosphates. FEBS Lett. 2008, 582, 3152–3158. [Google Scholar] [CrossRef]
- Christie, S.M.H.; Elmore, D.T.; Kenner, G.W.; Todd, A.R.; Weymouth, F.J. Nucleotides, Part XXII. Syntheses of P1,P2-diadenosine-5′ and P1,P2-diuridine-5′-pyrophosphates. J. Chem. Soc. 1953, 3, 2947–2953. [Google Scholar] [CrossRef]
- Finamore, F.J.; Warner, A.H. The occurrence of P1,P4-diguanosine 5′-tetraphosphate in brine shrimp eggs. J. Biol. Chem. 1963, 238, 344–348. [Google Scholar] [PubMed]
- Warner, A.H.; Finamore, F.J. Isolation, purification, and characterization of P1,P4-diguanosine 5′-tetraphosphatea asymmetrical-pyrophosphohydrolase from brine shrimp eggs. Biochemistry 1965, 4, 1568–1575. [Google Scholar] [CrossRef] [PubMed]
- Garrison, P.N.; Barnes, L.D. Determination of dinucleoside polyphosphates. In Ap4A and Other Dinucleoside Polyphosphates; McLennan, A.G., Ed.; CRC Press: Boca Raton, FL, USA, 1992; pp. 29–61. [Google Scholar]
- Plateau, P.; Blanquet, S. Dinucleoside oligophosphates in micro-organisms. Adv. Microb. Physiol. 1994, 36, 81–109. [Google Scholar] [PubMed]
- Lee, P.C.; Barry, R.; Ames, B.N. Diadenosine 5’,5’’’-P1,P4-tetraphosphate and related adenylylated nucleotides in Salmonella typhimurium. J. Biol. Chem. 1983, 258, 6827–6834. [Google Scholar] [PubMed]
- Coste, H.; Brevet, A.; Plateau, P.; Blanquet, S. Non-adenylylated bis(5’-nucleosidyl) tetraphosphates occur in Saccharomyces cerevisiae and in Escherichia coli and accumulate upon temperature shift or exposure to cadmium. J. Biol. Chem. 1987, 262, 12096–12103. [Google Scholar] [PubMed]
- Baltzinger, M.; Ebel, J.P.; Remy, P. Accumulation of dinucleoside polyphosphates in Saccharomyces cerevisiae under stress conditions. High levels are associated with cell death. Biochimie 1986, 68, 1231–1236. [Google Scholar] [CrossRef]
- Palfi, Z.; Suranyi, G.; Borbely, G. Alterations in the accumulation of adenylated nucleotides in heavy-metal-ion-stressed and heat-stressed Synechococcus sp. strain PCC 6301, cyanobacterium, in light and dark. Biochem. J. 1991, 276, 487–491. [Google Scholar] [CrossRef][Green Version]
- Lüthje, J.; Olivie, A. The presence of diadenosine 5’, 5’’’-P1,P3- triphosphate (Ap3A) in human platelets. Biochem. Biophys. Res. Commun. 1983, 115, 253–260. [Google Scholar] [CrossRef]
- Flodgaard, H.; Klenow, H. Abundant amounts of diadenosine 5’, 5’’’-P1,P4-tetraphosphate are present and releasable, but metabolically inactive, in human platelets. Biochem. J. 1982, 208, 737–742. [Google Scholar] [CrossRef]
- Morioka, M.; Shimada, H. Synthesis of diadenosine 5’, 5’’’-P1,P4-tetraphosphate (Ap4A) in sea urchin embryos. Cell Differ. 1984, 14, 53–58. [Google Scholar] [CrossRef]
- Miller, D.; McLennan, A.G. Changes in intracellular levels of Ap3A and Ap4A in cysts and larvae of Artemia do not correlate with changes in protein synthesis after heat-shock. Nucleic Acids Res. 1986, 14, 6031–6040. [Google Scholar] [CrossRef] [PubMed]
- Brevet, A.; Plateau, P.; Best-Belpomme, M.; Blanquet, S. Variation of Ap4A and other dinucleoside polyphosphates in stressed Drosophila cells. J. Biol. Chem. 1985, 260, 15566–15570. [Google Scholar] [PubMed]
- Plateau, P.; Mayaux, J.F.; Blanquet, S. Zinc (II)-dependent synthesis of diadenosine 5’,5’’’-P1,P4-tetraphosphate by Escherichia coli and yeast phenylalanyl transfer ribonucleic acid synthetases. Biochemistry 1981, 20, 4654–4662. [Google Scholar] [CrossRef] [PubMed]
- Jakubowski, H. Synthesis of diadenosine 5’,5’’’-P1,P4-tetraphosphate and related compounds by plant (Lupinus luteus) seryl-tRNA and phenylalanyl-tRNA synthetases. Acta Biochim. Pol. 1983, 30, 51–69. [Google Scholar]
- Guranowski, A.; Günther Sillero, M.A.; Sillero, A. Firefly luciferase synthesizes P1,P4-bis(5’-adenosyl) tetraphosphate (Ap4A) and other dinucleoside polyphosphates. FEBS Lett. 1990, 271, 215–218. [Google Scholar] [CrossRef]
- Wang, D.; Shatkin, A.J. Synthesis of Gp4N and Gp3N compounds by guanylyltransferase purified from yeast. Nucleic Acids Res. 1984, 12, 2303–2315. [Google Scholar] [CrossRef]
- Jin, Z.; Leveque, V.; Ma, H.; Johnson, K.A.; Klumpp, K. NTP-mediated nucleotide excision activity of hepatitis C virus RNA-dependent RNA polymerase. Proc. Natl. Acad. Sci. USA 2013, 110, 348–357. [Google Scholar] [CrossRef]
- Guranowski, A. Specific and non-specific enzymes involved in the catabolism of mononucleoside and dinucleoside polyphosphates. Pharma Ther. 2000, 87, 117–139. [Google Scholar] [CrossRef]
- Jakubowski, H.; Guranowski, A. Enzymes hydrolyzing ApppA and/or AppppA in higher plants purification and some properties of diadenosine triphosphatase, diadenosine tetraphosphatase, and phosphodiesterase from yellow lupin (Lupinus luteus) seeds. J. Biol. Chem. 1983, 258, 9982–9989. [Google Scholar]
- Guranowski, A. Fluoride is a strong and specific inhibitor of (asymmetrical) Ap4A hydrolases. FEBS Lett. 1990, 262, 205–208. [Google Scholar] [CrossRef]
- Feussner, K.; Guranowski, A.; Kostka, S.; Wasternack, C. Diadenosine 5′,5′′′-P1,P4-tetraphosphate (Ap4A) hydrolase from tomato (Lycopersicon esculentum cv. Lukullus)–Purification, biochemical Ap4A and related nucleotides in plants properties and behaviour during stress. Z. Naturforsch. C J. Biosci. 1996, 51, 477–486. [Google Scholar] [CrossRef] [PubMed]
- Maksel, D.; Guranowski, A.; Ilgoutz, S.C.; Moir, A.; Blackburn, M.G.; Gayler, K.R. Cloning and expression of diadenosine 5′,5′′′-P1,P4-tetraphosphate hydrolase from Lupinus angustifolius L. Biochem. J. 1998, 329, 313–319. [Google Scholar] [CrossRef] [PubMed]
- Churin, J.; Hause, B.; Feussner, I.; Maucher, H.P.; Feussner, K.; Börner, T.; Wasternack, C. Cloning and expression of a new cDNA from monocotyledonous plants coding for a diadenosine 5′,5′′′-P1,P4-tetraphosphate hydrolase from barley (Hordeum vulgare). FEBS Lett. 1998, 431, 481–485. [Google Scholar] [CrossRef]
- Bartkiewicz, M.; Sierakowska, H.; Shugar, D. Nucleotide pyrophosphatase from potato tubers; purification and properties. Eur. J. Biochem. 1984, 143, 419–426. [Google Scholar] [CrossRef] [PubMed]
- Zamecnik, P. Diadenosine 5′,5‴-P1,P4-tetraphosphate (Ap4A): Its role in cellular metabolism. Anal. Biochem. 1983, 134, 1–10. [Google Scholar] [CrossRef]
- McLennan, A.G. Dinucleoside polyphosphates - friend or foe? Pharmacol. Ther. 2000, 87, 73–89. [Google Scholar] [CrossRef]
- Rapaport, E.; Zamecnik, P.C. Presence of diadenosine 5′,5‴-P1,P4-tetraphosphate (Ap4A) in mamalian cells in levels varying widely with proliferative activity of the tissue: A possible positive “pleiotypic activator”. Proc. Natl. Acad. Sci. USA 1976, 73, 3984–3988. [Google Scholar] [CrossRef]
- Weinmann-Dorsch, C.; Pierron, G.; Wick, R.; Sauer, H.; Grummt, F. High diadenosine tetraphosphate (Ap4A) level at initiation of S phase in the naturally synchronous mitotic cycle of Physarum polycephalum. Exp. Cell Res. 1984, 155, 171–177. [Google Scholar] [CrossRef]
- Lee, P.C.; Bochner, B.R.; Ames, B.N. AppppA, heat-shock stress, and cell oxidation. Proc. Natl. Acad. Sci. USA 1983, 80, 7496–7500. [Google Scholar] [CrossRef]
- Bochner, B.R.; Lee, P.C.; Wilson, S.W.; Cutler, C.W.; Ames, B.N. Ap4A and related nucleotides are synthesized as consequence of oxidation stress. Cell 1984, 37, 225–232. [Google Scholar] [CrossRef]
- Hauryliuk, V.; Atkinson, G.C.; Murakami, K.S.; Tenson, T.; Gerdes, K. Recent functional insights into the role of (p)ppGpp in bacterial physiology. Nat. Rev. Microbiol. 2015, 13, 298–309. [Google Scholar] [CrossRef] [PubMed]
- Perotti, V.E.; Del Vecchio, H.A.; Sansevich, A.; Meier, G.; Bello, F.; Cocco, M.; Garrán, S.M.; Anderson, C.; Vázquez, D.; Podestá, F.E. Proteomic, metabalomic, and biochemical analysis of heat treated Valencia oranges during storage. Postharv. Biol. Technol. 2011, 62, 97–114. [Google Scholar] [CrossRef]
- Jambunathan, N.; Penaganti, A.; Tang, Y.; Mahalingam, R. Modulation of redox homeostasis under suboptimal conditions by Arabidopsis nudix hydrolase 7. BMC Plant Biol. 2010, 10, 173. [Google Scholar] [CrossRef] [PubMed]
- Muthuramalingam, M.; Zeng, X.; Iyer, N.J.; Klein, P.; Mahalingam, R. A GCC-box motif in the promoter of nudix hydrolase 7 (AtNUDT7) gene plays a role in ozone response of Arabidopsis ecotypes. Genomics 2015, 105, 31–38. [Google Scholar] [CrossRef]
- Maruta, T.; Ogawa, T.; Tsujimura, M.; Ikemoto, K.; Yoshida, T.; Takahashi, H.; Yoshimura, K.; Shigeoka, S. Loss-of-function of an Arabidopsis NADPH pyrophosphohydrolase, AtNUDX19, impacts on the pyridine nucleotides status and confers photooxidative stress tolerance. Sci. Rep. 2016, 6, 37432. [Google Scholar] [CrossRef]
- Tanaka, S.; Kihara, M.; Sugimoto, M. Structure and molecular characterization of barley nudix hydrolase genes. Biosci. Biotechnol. Biochem. 2015, 79, 394–401. [Google Scholar] [CrossRef]
- Xu, J.; Yang, J.Y.; Niu, Q.W.; Chua, N.H. Arabidopsis DCP2, DCP1, and VARICOSE form a decapping complex required for postembryonic development. Plant Cell 2006, 18, 3386–3398. [Google Scholar] [CrossRef]
- Gunawardana, D.; Cheng, H.C.; Gayler, K.R. Identification of functional domains in Arabidopsis thaliana mRNA decapping enzyme (AtDcp2). Nucleic Acids Res. 2008, 36, 203–216. [Google Scholar] [CrossRef]
- Song, M.G.; Bail, S.; Kiledjian, M. Multiple Nudix family proteins possess mRNA decapping activity. RNA 2013, 19, 390–399. [Google Scholar]
- Despotović, D.; Brandis, A.; Savidor, A.; Levin, Y.; Fumagalli, L.; Tawfik, D.S. Diadenosine tetraphosphate (Ap4A) – an E. coli alarmone or a demage metabolite? FEBS J. 2017, 284, 2194–2215. [Google Scholar] [CrossRef]
- Ji, X.; Zou, J.; Peng, H.; Stolle, A.S.; Xie, R.; Zhang, H.; Peng, B.; Mekalanos, J.J.; Zheng, J. Alarmone Ap4A is elevated by aminoglycoside antibiotics and enhances their bactericidal activity. Proc. Nat. Acad. Sci. USA 2019, 116, 9578–9585. [Google Scholar] [CrossRef]
- Lee, Y.-N.; Nechushtan, H.; Figov, N.; Razin, E. The function of lysyl-tRNA synthetase and Ap4A as signaling regulators of MITF activity in FcϵRI-activated mast cells. Immunity 2004, 20, 145–151. [Google Scholar] [CrossRef]
- Carmi-Levy, I.; Yannay-Cohen, N.; Kay, G.; Razin, E.; Nechushtan, H. Diadenosine tetraphosphate hydrolase is part of the transcriptional regulation network in immunologically activated mast cells. Mol. Cell. Biol. 2008, 28, 5777–5784. [Google Scholar] [CrossRef]
- Marriott, A.S.; Vasieva, O.; Fang, Y.; Copeland, N.A.; McLennan, A.G.; Jones, N.J. NUDT2 disruption elevates diadenosine tetraphosphate (Ap4A) and down-regulates immune response and cancer promotion genes. PLoS ONE 2016, 11, e0154674. [Google Scholar] [CrossRef]
- Bobert, P.; Schlüter, H.; Schultheiss, H.P.; Reusch, H.P. Diadenosine polyphosphates Ap3A and Ap4A, but not Ap5A or Ap6A, induce proliferation of vascular smooth muscle cells. Biochem. Pharmacl. 2008, 75, 1966–1973. [Google Scholar] [CrossRef]
- Marriott, A.S.; Copeland, N.A.; Cunningham, R.; Wilkinson, M.C.; McLennan, A.G.; Jones, N.J. Diadenosine 5′, 5′′′-P1,P4-tetraphosphate (Ap4A) is synthesized in response to DNA damage and inhibits the initiation of DNA replication. DNA Repair. 2015, 33, 90–100. [Google Scholar] [CrossRef]
- Pietrowska-Borek, M.; Nuc, K.; Zielezińska, M.; Guranowski, A. Diadenosine polyphosphates (Ap3A and Ap4A) behave as alarmones triggering the synthesis of enzymes of the phenylpropanoid pathway in Arabidopsis thaliana. FEBS Open Bio 2011, 1, 1–6. [Google Scholar] [CrossRef]
- Pietrowska-Borek, M.; Czekała, Ł.; Belchí-Navarro, S.; Pedreño, M.A.; Guranowski, A. Diadenosine triphosphate is a novel factor which in combination with cyclodextrins synergistically enhances the biosynthesis of trans-resveratrol in Vitis vinifera cv. Monastrell suspension cultured cells. Plant Physiol. Biochem. 2014, 84, 271–276. [Google Scholar] [CrossRef]
- Pietrowska-Borek, M.; Nuc, K.; Guranowski, A. Exogenous adenosine 5′-phosphoramidate behaves as a signal molecule in plants; it augments metabolism of phenylpropanoids and salicylic acid in Arabidopsis thaliana seedlings. Plant Physiol. Biochem. 2015, 94, 144–152. [Google Scholar] [CrossRef]
- Pietrowska-Borek, M.; Wojdyła-Mamoń, A.; Dobrogojski, J.; Młynarska-Cieślak, A.; Baranowski, M.R.; Dąbrowski, J.M.; Kowalska, J.; Jemielity, J.; Borek, S.; Pedreño, M.A.; et al. Purine and pyrimidine dinucleoside polyphosphates differentially affect the phenylpropanoid pathway in Vitis vinifera L. cv. Monastrell suspension cultured cells. Plant Physiol. Biochem. 2020, 147, 125–132. [Google Scholar] [CrossRef]
- Ehlting, J.; Büttner, D.; Wang, Q.; Douglas, C.J.; Somssich, I.E.; Kombrink, E. Three 4-coumarate:coenzyme A ligases in A. thaliana represent two evolutionarily divergent classes in angiosperms. Plant J. 1999, 19, 9–20. [Google Scholar] [CrossRef] [PubMed]
- Bru, R.; Sellés, S.; Casado-Vela, J.; Belchí-Navarro, S.; Pedreño, M.A. Modified cyclodextrins are chemically defined glucan inducers of defense responses in grapevine cell cultures. J. Agric. Food Chem. 2006, 54, 66–71. [Google Scholar] [CrossRef]
- Winkel-Shirley, B. Biosynthesis of flavonoids and effects of stress. Curr. Opin. Plant Biol. 2002, 5, 218–223. [Google Scholar] [CrossRef]
- Olsen, M.K.; Lea, U.S.; Slimestad, R.; Verheul, M.; Lillo, C. Differential expression of four Arabidopsis PAL genes; PAL1 and PAL2 have functional specialization in abiotic environmental-triggered flavonoid synthesis. J. Plant Physiol. 2008, 165, 1491–1499. [Google Scholar] [CrossRef] [PubMed]
- Moura, J.C.M.S.; Bonine, C.A.V.; Viana, J.O.F.; Dornelas, M.C.; Mazzafera, P. Abiotic and biotic stresses and changes in the lignin content and composition in plants. J. Integr. Plant Biol. 2010, 52, 360–376. [Google Scholar] [CrossRef]
- Pietrowska-Borek, M.; Nuc, K. Stimulating effect of cadmium on phenylpropanoid pathway in Arabidopsis thaliana seedlings. Acta Soc. Bot. Polon. 2010, 79 (Suppl. 1), 90. [Google Scholar]
- Steyn, W.J.; Wand, S.J.E.; Holcroft, D.M.; Jacobs, G. Anthocyanins in vegetative tissues: A proposed unified function in photoprotection. New Phytol. 2002, 55, 349–361. [Google Scholar] [CrossRef]
- Bandurska, H.; Pietrowska-Borek, M.; Cieślak, M. Response of barley seedlings to water deficit and enhanced UV-B irradiation acting alone and in combination. Acta Physiol. Plant. 2012, 34, 161–171. [Google Scholar] [CrossRef][Green Version]
- Hayat, Q.; Hayat, S.; Irfan, M.; Ahmad, A. Effect of exogenous salicylic acid under changing environment: A review. Environ. Exp. Bot. 2010, 68, 14–25. [Google Scholar] [CrossRef]
- Gakière, B.; Hao, J.; de Bont, L.; Pétriacq, P.; Nunes-Nesi, A.; Fernie, A.R. NAD+ biosynthesis and signaling in plants. Crit. Rev. Plant Sci. 2018, 3, 259–307. [Google Scholar] [CrossRef]
- Navazio, L.; Bewell, M.A.; Siddiqua, A.; Dickinson, G.D.; Galione, A.; Sanders, D. Calcium release from the endoplasmic reticulum of higher plants elicited by the NADP metabolite nicotinic acid adenine dinucleotide phosphate. Proc. Natl. Acad. Sci. USA 2000, 97, 8693–8698. [Google Scholar] [CrossRef] [PubMed]
- Navazio, L.; Mariani, P.; Sanders, D. Mobilization of Ca2+ by cyclic ADP-ribose from the endoplasmic reticulum of cauliflower florets. Plant Physiol. 2001, 125, 2129–2138. [Google Scholar] [CrossRef] [PubMed]
- Guse, A.H.; Lee, H.C. NAADP: A universal Ca2+ trigger. Sci. Signal. 2008, 1, re10. [Google Scholar] [CrossRef]
- Opdenakker, K.; Remans, T.; Vangronsveld, J.; Cuypers, A. Mitogen-activated protein (MAP) kinases in plant metal stress: Regulation and responses in comparison to other biotic and abiotic stresses. Int. J. Mol. Sci. 2012, 13, 7828–7853. [Google Scholar] [CrossRef]
- Devoto, A.; Turner, J.G. Regulation of jasmonate-mediated plant responses in Arabidopsis. Ann. Bot. 2003, 92, 329–337. [Google Scholar] [CrossRef]
- Mine, A.; Berens, M.L.; Nobori, T.; Anver, S.; Fukumoto, K.; Winkelmüller, T.M.; Takeda, A.; Becker, D.; Tsuda, K. Pathogen exploitation of an abscisic acid- and jasmonate-inducible MAPK phosphatase and its interception by Arabidopsis immunity. Proc. Natl. Acad. Sci. USA 2017, 114, 7456–7461. [Google Scholar] [CrossRef]
- Vian, A.; Stankovic, B.; Davies, E. Signalomics: Diversity and methods of analysis of systemic signals in plants. In Plant Omics: The Omics of Plant Science; Barh, D., Khan, M.S., Davies, E., Eds.; Springer: New Delhi, India, 2015; pp. 459–489. [Google Scholar]
- Marcec, M.J.; Gilroy, S.; Poovaiah, B.W.; Tanaka, K. Mutual interplay of Ca2+ and ROS signaling in plant immune response. Plant Sci. 2019, 283, 343–354. [Google Scholar] [CrossRef]





| Enzyme | Organism | Reaction (E, Enzyme) | References |
|---|---|---|---|
| Lysyl-tRNA synthetase (EC 6.1.1.6) | Escherichia coli | 1st step: E + lysine + pppA ↔ ↔ E:lysyl~pA + PPi 2nd step: E:lysyl~pA + ppp → → ppppA + lysine + E | [87,88,89,90,91,92,93,94,95,96,97,98] |
| Luciferase EC 1.13.12.7 | Photinus pyralis | 1st step: E + luciferin + pppA → → E-luciferin~pA + PPi 2nd step: E-luciferin~pA + (p)ppp → → (p)ppppA+ luciferin + E | [99] |
| UTP:glucose-1-phosphate uridylyltransferase (EC 2.7.7.9) | Saccharomyces cerevisiae | 1st step: glucose-1-P + pppU → → Upp-glucose + PPi 2nd step: Upp-glucose + (p)ppp → → (p)ppppU + glucose-1-P | [100] |
| Phosphoglycerate kinase (EC 2.7.2.3) | Saccharomyces cerevisiae | 1,3-ppGly + pppA ↔ ↔ 3-pGly + ppppA | [80,101] |
| Adenylate kinase (EC 2.7.4.3) | Rabbit and pig muscles | ppA + pppA ↔ pA + ppppA | [102] |
| Succinyl-CoA synthetase (EC 6.2.1.5) | Escherichia coli | E-P + pppA ↔ E + ppppA | [103] |
| Acetyl-CoA synthetase (EC 6.2.1.1) | Saccharomyces cerevisiae | acetyl~pA + ppp ↔ acetate + ppppA | [104,105] |
| Acyl-CoA synthetase (EC 6.2.1.3) | Pseudomonas fragi | acyl~pA + ppp ↔ fatty acid + ppppA | [106,107] |
| DNA ligase (EC 6.5.1.1) | T4 phage, Pyrococcus furiosus | E-pA + ppp ↔ E + ppppA | [105,108,109,110] |
| RNA ligase (EC 6.5.1.3) | T4 phage | E-pA + (p)ppp ↔ E + (p)ppppA | [111] |
| UDP-MurNAc-l-alanine:d-glutamate ligase (EC 6.3.2.9) | Escherichia coli | E:acyl~P + pppA ↔ ppppA + acyl + E | [112] |
| Enzyme | Organism | Reaction (E, Enzyme) | References |
|---|---|---|---|
| 4-Coumarate:CoA ligase (4CL2) (EC 6.2.1.12) | Arabidopsis thaliana | 1st step: E + coumarate + ATP → → E:coumaroyl~pA + PPi 2nd step: E:coumaroyl~pA + (p)ppp → → (p)ppppA + coumarate + E | [121] |
| Jasmonate:amino acid synthetase (JAR1) (EC 6.3.2.52) | Arabidopsis thaliana | 1st step: E + jasmonate + ATP → → E:jasmonyl~pA + PPi 2nd step: E:jasmonyl~pA + ppp → → ppppA + jasmonate + E | [123] |
| Enzyme | Organism | Reaction (E, Enzyme) | References |
|---|---|---|---|
| Luciferase (EC 1.13.12.7) | Photinus pyralis | 1st step: E + luciferin + pppA → → E-luciferin~pA + PPi 2nd step: E-luciferin~pA + pppN → → AppppN+ luciferin + E | [99] |
| GTP:GTP guanylyltransferase (EC 2.7.7.45) | Artemia salina, Saccharomyces cerevisiae | 1st step: E + pppN ↔ E~pN + PPi 2nd step: E~pN + pppN → NppppN′ + E | [154] |
| UTP:glucose-1-phosphate uridylyltransferase (EC 2.7.7.9) | Saccharomyces cerevisiae | 1st step: glucose-1-P + pppU → → Upp-glucose + PPi 2nd step: Upp-glucose + pppN → → UppppN + glucose-1-P | [100] |
| Acyl-CoA synthetase (EC 6.2.1.3) | Pseudomonas fragi | 1st step: Fatty acid + pppA ↔ ↔ acyl~pA + PPi 2nd step: acyl~pA + pppA → → AppppA + fatty acid | [106,107] |
| RNA ligase (EC 6.5.1.3) | T4 phage | E-pA + pppN ↔ E + AppppN | [111] |
| DNA ligase (EC 6.5.1.1) | T4 phage, Pyrococcus furiosus | E-pA + pppN ↔ E + AppppN | [105,108,109,110] |
| Lysyl-tRNA synthetase (EC 6.1.1.6) | Escherichia coli | 1st step: E + lysine + pppA ↔ ↔ lysyl~pA + PPi 2nd step: E:lysyl~pA + pppN → → AppppN + lysine + E | [86] |
| Enzyme | Organism | Reaction (E, Enzyme) | References |
|---|---|---|---|
| Phenylalanyl-tRNA synthetase (EC 6.1.1.20) | Lupinus luteus | 1st step: E + phenylalanine + pppA ↔ ↔ phenylalanyl~pA + PPi 2nd step: E:phenylalanyl~pA + pppN → → AppppN + phenylalanine + E | [152] |
| Seryl-tRNA synthetase (EC 6.1.1.11) | Lupinus luteus | 1st step: E + serine + pppA ↔ ↔ seryl~pA + PPi 2nd step: E:seryl~pA + pppA → → AppppA + serine + E | [152] |
| 4-Coumarate:CoA ligase (4CL2) (EC 6.2.1.12) | Arabidopsis thaliana | 1st step: E + coumarate + pppA → → E:coumaroyl~pA + PPi 2nd step: E:coumaroyl~pA + pppN → → NppppN+ coumarate + E | [121] |
© 2020 by the authors. Licensee MDPI, Basel, Switzerland. This article is an open access article distributed under the terms and conditions of the Creative Commons Attribution (CC BY) license (http://creativecommons.org/licenses/by/4.0/).
Share and Cite
Pietrowska-Borek, M.; Dobrogojski, J.; Sobieszczuk-Nowicka, E.; Borek, S. New Insight into Plant Signaling: Extracellular ATP and Uncommon Nucleotides. Cells 2020, 9, 345. https://doi.org/10.3390/cells9020345
Pietrowska-Borek M, Dobrogojski J, Sobieszczuk-Nowicka E, Borek S. New Insight into Plant Signaling: Extracellular ATP and Uncommon Nucleotides. Cells. 2020; 9(2):345. https://doi.org/10.3390/cells9020345
Chicago/Turabian StylePietrowska-Borek, Małgorzata, Jędrzej Dobrogojski, Ewa Sobieszczuk-Nowicka, and Sławomir Borek. 2020. "New Insight into Plant Signaling: Extracellular ATP and Uncommon Nucleotides" Cells 9, no. 2: 345. https://doi.org/10.3390/cells9020345
APA StylePietrowska-Borek, M., Dobrogojski, J., Sobieszczuk-Nowicka, E., & Borek, S. (2020). New Insight into Plant Signaling: Extracellular ATP and Uncommon Nucleotides. Cells, 9(2), 345. https://doi.org/10.3390/cells9020345

