Identification of Natural Compounds Triggering MRGPRX2-Mediated Calcium Flux and Degranulation in RBL-2H3 Cells
Highlights
- Established a human MRGPRX2-overexpressing cell model that exhibits enhanced sensitivity to mast cell degranulation.
- Computer-assisted screening identified natural compounds capable of inducing mast cell degranulation and triggering anaphylactoid reactions.
- The established cell model is suitable for in vitro research on anaphylactoid reactions.
- This study offers valuable insights for drug safety warnings, dosage control, and mechanistic discovery.
Abstract
1. Introduction
2. Materials and Methods
2.1. Chemicals
2.2. Molecular Docking
2.3. Cell Culture
2.4. Compound Intervention
2.5. H_MRGX2 Antibody Staining
2.6. Cell Viability Assay
2.7. Flow Cytometry
2.8. ELISA
2.9. Neutral Red Staining
2.10. Statistical Analysis
3. Results
3.1. A Top-Ranked Natural Compounds Selected Based on the MRGXPRX2 Protein Binding Affinity and Docking Performance
3.2. Validation of RBL-2H3 Cell Line with High Expression of H_MRGX2
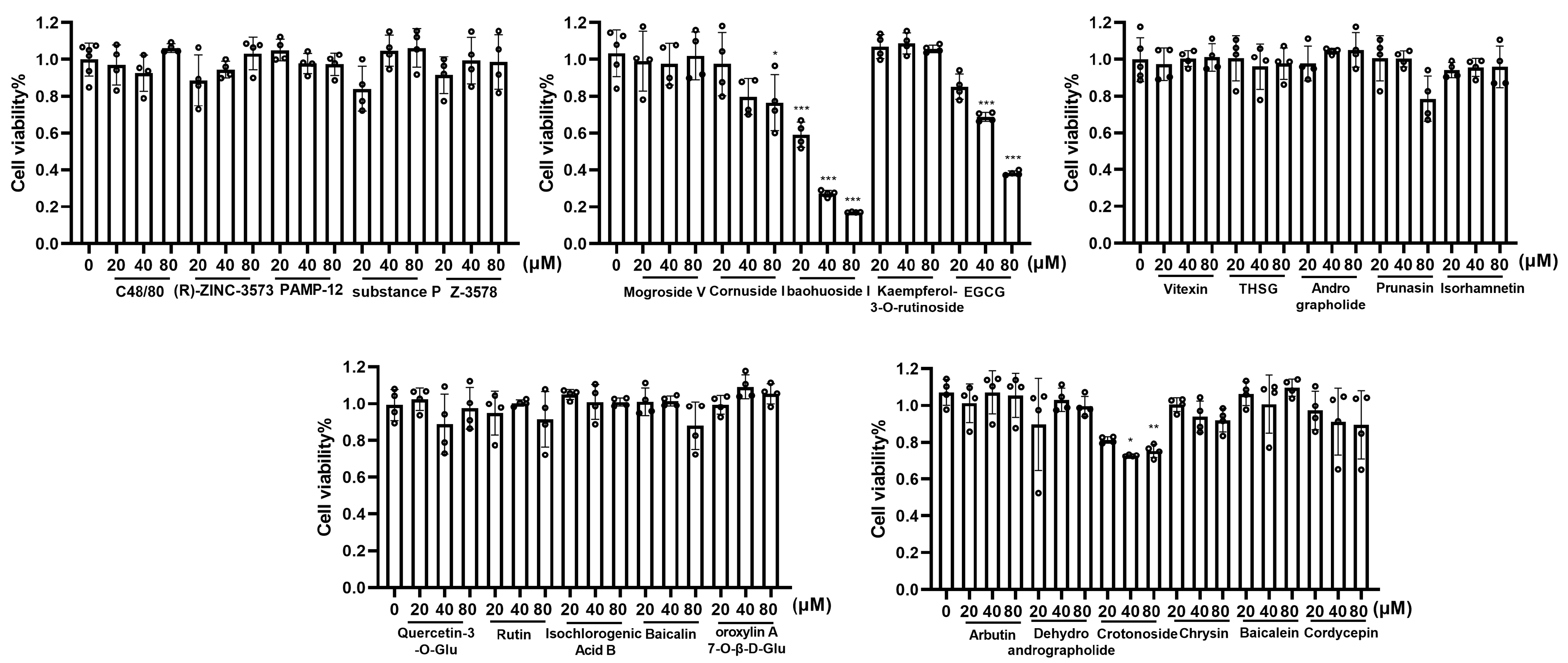
3.3. Effects of Candidate Compounds on H_MRGX2 RBL-2H3 Cell Viability
3.4. Candidate Compounds Triggered Intracellular Calcium Influx
3.5. Candidate Compounds Also Triggered Increased Tryptase and β-Hexosaminidase Levels in Mast Cells
3.6. Candidate Compounds Induce Degranulation and Morphological Changes in H_MRGX2 RBL-2H3 Cells
3.7. Protein-Small Molecule Interaction Poses and Binding Sites
4. Discussion
5. Conclusions
Author Contributions
Funding
Institutional Review Board Statement
Informed Consent Statement
Data Availability Statement
Conflicts of Interest
Abbreviations
| ARs | Anaphylactoid reactions |
| C48/80 | Compound 48/80 |
| DAG | Diacylglycerol |
| EGCG | Epigallocatechin gallate |
| IgE | Immunoglobulin E |
| IP3 | Inositol trisphosphate |
| MCs | Mast cells |
| MOE | Molecular Operating Environment |
| MRGPRX2 | Mas-related G protein-coupled receptor X2 |
| PKC | Protein kinase C |
| PLC | Phospholipase C |
| TCMIs | Traditional Chinese Medicine Injections |
| TCM | Traditional Chinese Medicine |
| THSG | 2,3,5,4-tetrahydroxyl diphenylethylene-2-o-glucoside |
References
- Center for Drug Reevaluation, NMPA. Announcement on the Issuance of the National Adverse Drug Reaction Monitoring Annual Report (2018) [EB/OL]. (2018-10-18). Available online: http://www.cdr-adr.org.cn/drug_1/aqjs_1/drug_aqjs_sjbg/201910/t20191016_38638.html (accessed on 11 August 2021).
- Center for Drug Reevaluation, NMPA. Announcement on the Issuance of the National Adverse Drug Reaction Monitoring Annual Report (2019) [EB/OL]. (2020-04-20). Available online: https://www.cdr-adr.org.cn/drug_1/aqjs_1/drug_aqjs_sjbg/202004/t20200420_47318.html (accessed on 11 August 2021).
- National Medical Products Administration. Annual Report for National Adverse Drug Reaction Monitoring (2020) [EB/OL]. (2021-03-26). Available online: https://english.nmpa.gov.cn/2021-03/26/c_655157.htm (accessed on 11 August 2021).
- Wang, L.; Yuan, Q.; Marshall, G.; Cui, X.; Cheng, L.; Li, Y.; Shang, H.; Zhang, B.; Li, Y. Adverse drug reactions and adverse events of 33 varieties of traditional Chinese medicine injections on National Essential medicines List (2004 edition) of China: An overview on published literatures. J. Evid.-Based Med. 2010, 3, 95–104. [Google Scholar] [CrossRef] [PubMed]
- Weaver, J.L.; Boyne, M.; Pang, E.; Chimalakonda, K.; Howard, K.E. Nonclinical evaluation of the potential for mast cell activation by an erythropoietin analog. Toxicol. Appl. Pharmacol. 2015, 287, 246–252. [Google Scholar] [CrossRef]
- Szebeni, J. Complement activation-related pseudoallergy: A new class of drug-induced acute immune toxicity. Toxicology 2005, 216, 106–121. [Google Scholar] [CrossRef]
- Cianferoni, A. Non-IgE-mediated anaphylaxis. J. Allergy Clin. Immunol. 2021, 147, 1123–1131. [Google Scholar] [CrossRef]
- Redegeld, F.A.; Yu, Y.; Kumari, S.; Charles, N.; Blank, U. Non-IgE mediated mast cell activation. Immunol. Rev. 2018, 282, 87–113. [Google Scholar] [CrossRef]
- Yu, Y.; Blokhuis, B.R.; Garssen, J.; Redegeld, F.A. Non-IgE mediated mast cell activation. Eur. J. Pharmacol. 2016, 778, 33–43. [Google Scholar] [CrossRef]
- Simons, F.E. 9. Anaphylaxis. J. Allergy Clin. Immunol. 2008, 121, S402–S420. [Google Scholar] [CrossRef]
- Tatemoto, K.; Nozaki, Y.; Tsuda, R.; Konno, S.; Tomura, K.; Furuno, M.; Ogasawara, H.; Edamura, K.; Takagi, H.; Iwamura, H.; et al. Immunoglobulin E-independent activation of mast cell is mediated by Mrg receptors. Biochem. Biophys. Res. Commun. 2006, 349, 1322–1328. [Google Scholar] [CrossRef] [PubMed]
- Konantz, M.; Merkel, T.; Meyer, S.C.; Hartmann, K. MRGPRX2: A novel biomarker in mastocytosis? J. Allergy Clin. Immunol. Pract. 2023, 11, 669–671. [Google Scholar] [CrossRef]
- Wollam, J.; Solomon, M.; Villescaz, C.; Lanier, M.; Evans, S.; Bacon, C.; Freeman, D.; Vasquez, A.; Vest, A.; Napora, J.; et al. Inhibition of mast cell degranulation by novel small molecule MRGPRX2 antagonists. J. Allergy Clin. Immunol. 2024, 154, 1033–1043. [Google Scholar] [CrossRef]
- Szebeni, J. Complement activation-related pseudoallergy: A stress reaction in blood triggered by nanomedicines and biologicals. Mol. Immunol. 2014, 61, 163–173. [Google Scholar] [CrossRef]
- Sun, X.; Lv, W.; Wang, Y.; Zhang, X.; Ouyang, Z.; Yin, R.; Wei, Y. Mrgprb2 gene plays a role in the anaphylactoid reactions induced by Houttuynia cordata injection. J. Ethnopharmacol. 2022, 289, 115053. [Google Scholar] [CrossRef]
- Ji, K.M.; Li, M.; Chen, J.J.; Zhan, Z.K.; Liu, Z.G. Anaphylactic shock and lethal anaphylaxis caused by Houttuynia Cordata injection, a herbal treatment in China. Allergy 2009, 64, 816–817. [Google Scholar] [CrossRef]
- Wang, F.; Li, C.; Zheng, Y.; Li, Y.; Peng, G. Study on the anaphylactoid of three phenolic acids in Honeysuckle. J. Ethnopharmacol. 2015, 170, 1–7. [Google Scholar] [CrossRef]
- Wang, L.; Zhao, Y.; Yang, Y.; Hu, Y.; Zou, X.; Yu, B.; Qi, J. Allergens in red ginseng extract induce the release of mediators associated with anaphylactoid reactions. J. Transl. Med. 2017, 15, 148. [Google Scholar] [CrossRef]
- Hu, X.; Wen, Y.; Liu, S.; Luo, J.; Tan, X.; Li, Z.; Lu, X.; Long, X. Evaluation of the anaphylactoid potential of Andrographis paniculata extracts using the popliteal lymph node assay and P815 cell degranulation in vitro. J. Transl. Med. 2015, 13, 121. [Google Scholar] [CrossRef] [PubMed]
- Cao, J.; Li, C.; Ma, P.; Ding, Y.; Gao, J.; Jia, Q.; Zhu, J.; Zhang, T. Effect of kaempferol on IgE-mediated anaphylaxis in C57BL/6 mice and LAD2 cells. Phytomedicine 2020, 79, 153346. [Google Scholar] [CrossRef] [PubMed]
- Nagata, K.; Araumi, S.; Ando, D.; Ito, N.; Ando, M.; Ikeda, Y.; Takahashi, M.; Noguchi, S.; Yasuda, Y.; Nakano, N.; et al. Kaempferol Suppresses the Activation of Mast Cells by Modulating the Expression of FcεRI and SHIP1. Int. J. Mol. Sci. 2023, 24, 5997. [Google Scholar] [CrossRef] [PubMed]
- Kumar, M.; Singh, K.; Duraisamy, K.; Allam, A.A.; Ajarem, J.; Kwok Chong Chow, B. Protective Effect of Genistein against Compound 48/80 Induced Anaphylactoid Shock via Inhibiting MAS Related G Protein-Coupled Receptor X2 (MRGPRX2). Molecules 2020, 25, 1028. [Google Scholar] [CrossRef]
- McNeil, B.D.; Pundir, P.; Meeker, S.; Han, L.; Undem, B.J.; Kulka, M.; Dong, X. Identification of a mast-cell-specific receptor crucial for pseudo-allergic drug reactions. Nature 2015, 519, 237–241. [Google Scholar] [CrossRef]
- Comparison of RBL-2H3 and P815 cell lines for establishing in vitro model of mast cell degranulation. Chin. J. Nat. Med. 2011, 9, 227–231.
- Gao, J.; Luo, J.B.; Lei, L.S.; Liang, S. Establishment of in-vitro model of mast cell degranulation with three kinds of cell lines and its application. China Ind. Econ. 2012, 29, 295–299,304. [Google Scholar]
- Yang, Y.Q.; Chen, X.H.; Li, Y.R.; Ran, X.; Sun, R. The cultivation of mast cell line LAD2 and establishment of mast cell degranulation model. Chin. J. Dermatovenereol. 2014, 28, 26–29. [Google Scholar]
- Al Hamwi, G.; Alnouri, M.W.; Verdonck, S.; Leonczak, P.; Chaki, S.; Frischbutter, S.; Kolkhir, P.; Matthey, M.; Kopp, C.; Bednarski, M.; et al. Subnanomolar MAS-related G protein-coupled receptor-X2/B2 antagonists with efficacy in human mast cells and disease models. Signal Transduct. Target. Ther. 2025, 10, 128. [Google Scholar] [CrossRef]
- Hermans, M.A.W.; van Stigt, A.C.; van de Meerendonk, S.; Schrijver, B.; van Daele, P.L.A.; van Hagen, P.M.; van Splunter, M.; Dik, W.A. Human Mast Cell Line HMC1 Expresses Functional Mas-Related G-Protein Coupled Receptor 2. Front. Immunol. 2021, 12, 625284. [Google Scholar] [CrossRef]
- Kirshenbaum, A.S.; Yin, Y.; Sundstrom, J.B.; Bandara, G.; Metcalfe, D.D. Description and characterization of a novel human mast cell line for scientific study. Int. J. Mol. Sci. 2019, 20, 5520. [Google Scholar] [CrossRef]
- Guhl, S.; Babina, M.; Neou, A.; Zuberbier, T.; Artuc, M. Mast cell lines HMC-1 and LAD2 in comparison with mature human skin mast cells: Drastically reduced levels of tryptase and chymase in mast cell lines. Exp. Dermatol. 2010, 19, 845–847. [Google Scholar] [CrossRef]
- Gour, N.; Dong, X. The MRGPR family of receptors in immunity. Immunity 2024, 57, 28–39. [Google Scholar] [CrossRef] [PubMed]
- Subramanian, H.; Gupta, K.; Ali, H. Roles of Mas-related G protein-coupled receptor X2 on mast cell-mediated host defense, pseudoallergic drug reactions, and chronic inflammatory diseases. J. Allergy Clin. Immunol. 2016, 138, 700–710. [Google Scholar] [CrossRef] [PubMed]
- Yang, B.G.; Kim, A.R.; Lee, D.; An, S.B.; Shim, Y.A.; Jang, M.H. Degranulation of Mast Cells as a Target for Drug Development. Cells 2023, 12, 1506. [Google Scholar] [CrossRef]
- Kumar, M.; Duraisamy, K.; Chow, B.-K. Unlocking the Non-IgE-Mediated Pseudo-Allergic Reaction Puzzle with Mas-Related G-Protein Coupled Receptor Member X2 (MRGPRX2). Cells 2021, 10, 1033. [Google Scholar] [CrossRef]
- Roy, S.; Na Ayudhya, C.C.; Thapaliya, M.; Deepak, V.; Ali, H. Multifaceted MRGPRX2: New insight into the role of mast cells in health and disease. J. Allergy Clin. Immunol. 2021, 148, 293–308. [Google Scholar] [CrossRef]
- Theoharides, T.C.; Perlman, A.I.; Twahir, A.; Kempuraj, D. Mast cell activation: Beyond histamine and tryptase. Expert Rev. Clin. Immunol. 2023, 19, 639–654. [Google Scholar] [CrossRef]
- D’Errico, S.; Baldari, B.; Arcangeli, M.; Santurro, A.; Frati, P.; Fineschi, V. Mast cells activation and high blood tryptase levels due to paclitaxel administration. Is Cremophor EL Culprit?: A Case report. Medicine 2020, 99, e22814. [Google Scholar] [CrossRef]
- Fukuishi, N.; Murakami, S.; Ohno, A.; Yamanaka, N.; Matsui, N.; Fukutsuji, K.; Yamada, S.; Itoh, K.; Akagi, M. Does beta-hexosaminidase function only as a degranulation indicator in mast cells? The primary role of beta-hexosaminidase in mast cell granules. J. Immunol. 2014, 193, 1886–1894. [Google Scholar] [CrossRef] [PubMed]
- Laroche, D.; Vergnaud, M.C.; Sillard, B.; Soufarapis, H.; Bricard, H. Biochemical markers of anaphylactoid reactions to drugs. Comparison of plasma histamine and tryptase. Anesthesiology 1991, 75, 945–949. [Google Scholar] [CrossRef] [PubMed]
- Baldo, B.A. MRGPRX2, drug pseudoallergies, inflammatory diseases, mechanisms and distinguishing MRGPRX2- and IgE/FcεRI-mediated events. Br. J. Clin. Pharmacol. 2023, 89, 3232–3246. [Google Scholar] [CrossRef] [PubMed]
- Metcalfe, D.D.; Peavy, R.D.; Gilfillan, A.M. Mechanisms of mast cell signaling in anaphylaxis. J. Allergy Clin. Immunol. 2009, 124, 639–648. [Google Scholar] [CrossRef]
- MacNeil, A.J.; Yang, Y.J.; Lin, T.J. MAPK kinase 3 specifically regulates Fc epsilonRI-mediated IL-4 production by mast cells. J. Immunol. 2011, 187, 3374–3382. [Google Scholar] [CrossRef]
- Saggini, R.; Pellegrino, R. MAPK is implicated in sepsis, immunity, and inflammation. Int. J. Infect. 2024, 8, 100–104. [Google Scholar]
- Tkaczyk, C.; Beaven, M.A.; Brachman, S.M.; Metcalfe, D.D.; Gilfillan, A.M. The phospholipase C gamma 1-dependent pathway of Fc epsilon RI-mediated mast cell activation is regulated independently of phosphatidylinositol 3-kinase. J. Biol. Chem. 2003, 278, 48474–48484. [Google Scholar] [CrossRef]
- Avivar-Valderas, A. Inhibition of PI3Kβ and mTOR influence the immune response and the defense mechanism against pathogens. Int. J. Infect. 2023, 7, 46–49. [Google Scholar]
- Gilfillan, A.M.; Tkaczyk, C. Integrated signalling pathways for mast-cell activation. Nat. Rev. Immunol. 2006, 6, 218–230. [Google Scholar] [CrossRef] [PubMed]
- Kalesnikoff, J.; Galli, S.J. New developments in mast cell biology. Nat. Immunol. 2008, 9, 1215–1223. [Google Scholar] [CrossRef]
- Wang, L.; Lu, A.; Liu, X.; Sang, M.; Shan, B.; Meng, F.; Cao, Q.; Ji, X. The flavonoid Baohuoside-I inhibits cell growth and downregulates survivin and cyclin D1 expression in esophageal carcinoma via β-catenin-dependent signaling. Oncol. Rep. 2011, 26, 1149–1156. [Google Scholar] [CrossRef]
- Wang, R.; Hu, X.; Liu, S.; Wang, J.; Xiong, F.; Zhang, X.; Ye, W.; Wang, H. Kaempferol-3-O-sophoroside (PCS-1) contributes to modulation of depressive-like behaviour in C57BL/6J mice by activating AMPK. Br. J. Pharmacol. 2024, 181, 1182–1202. [Google Scholar] [CrossRef] [PubMed]
- Cheng, C.; Ren, C.; Li, M.Z.; Liu, Y.H.; Yao, R.Q.; Yu, Y.; Yu, X.; Wang, J.L.; Wang, L.X.; Leng, Y.C.; et al. Pharmacologically significant constituents collectively responsible for anti-sepsis action of XueBiJing, a Chinese herb-based intravenous formulation. Acta Pharmacol. Sin. 2024, 45, 1077–1092. [Google Scholar] [CrossRef]
- Rosenthal, R.; Waesch, A.; Masete, K.V.; Massarani, A.S.; Schulzke, J.D.; Hering, N.A. The green tea component (-)-epigallocatechin-3-gallate protects against cytokine-induced epithelial barrier damage in intestinal epithelial cells. Front. Pharmacol. 2025, 16, 1559812. [Google Scholar] [CrossRef]
- Gao, Y.; Hou, R.; Han, Y.; Fei, Q.; Cai, R.; Qi, Y. Shuang-Huang-Lian injection induces an immediate hypersensitivity reaction via C5a but not IgE. Sci. Rep. 2018, 8, 3572. [Google Scholar] [CrossRef] [PubMed] [PubMed Central]
- Li, H.B.; Yang, B.; Ge, W.; Cao, Z.Y.; Cao, L.; Yu, Y.; Wang, Z.Z.; Yao, X.S.; Xiao, W. Two new terpenoids from Reduning Injection. Chin. Herb. Med. 2020, 12, 183–187. [Google Scholar] [CrossRef]
- Tan, Y.; Zhang, J.; Yang, K.; Xu, Z.; Zhang, H.; Chen, W.; Peng, T.; Wang, X.; Liu, Z.; Wei, P.; et al. Anti-Stroke Chinese Herbal Medicines Inhibit Abnormal Amyloid-β Protein Precursor Processing in Alzheimer’s Disease. J. Alzheimer’s Dis. 2022, 85, 261–272. [Google Scholar] [CrossRef]
- Zhang, Q.; Cai, C.; Wang, P.; Ding, N.; Gao, J.; Zhang, Y.; Ma, Z.; Lei, H.; Li, Q.; Jian, L.; et al. Baicalin and rutin are major constituents in Shuanghuanglian injection involving anaphylactoid reaction. J. Tradit. Chin. Med. 2017, 37, 412–420. [Google Scholar] [CrossRef] [PubMed]
- Wang, J.; Ma, Y.; Tang, J.; Lin, H.; Cui, G.; Tang, J.; Liu, J.; Su, P.; Zhao, Y.; Guo, J.; et al. Two CYP72 enzymes function as Ent-labdane hydroxylases in the biosynthesis of andrographolide in Andrographis paniculata. Plant Biotechnol. J. 2025, 23, 1136–1138. [Google Scholar] [CrossRef] [PubMed]
- Cheng, F.; Liu, Z.P. Safety evaluation of traditional Chinese medicine injections and study of related key technology. China J. Chin. Mater. Medica 2009, 34, 1052–1054. [Google Scholar]
- Mulati, A.; Zhang, X.; Zhao, T.; Ren, B.; Wang, L.; Liu, X.; Lan, Y.; Liu, X. Isorhamnetin attenuates high-fat and high-fructose diet induced cognitive impairments and neuroinflammation by mediating MAPK and NFκB signaling pathways. Food Funct. 2021, 12, 9261–9272. [Google Scholar] [CrossRef] [PubMed]







| Pubchem Cid | Name | Mol | S | Rmsd_Refine | E_Conf | E_Place | E_Score | E_Refine |
|---|---|---|---|---|---|---|---|---|
| 24721270 | Mogroside V | ![]() | −11.2304 | 3.1565 | 559.814 | −104.5097 | −8.3637 | −78.0384 |
| 11228694 | Cornuside I | ![]() | −7.4277 | 3.1595 | 98.4467 | −83.0819 | −9.6318 | −41.4245 |
| 5488822 | Baohuoside I | ![]() | −7.1238 | 1.2427 | 79.4959 | −99.0347 | −10.2188 | −39.2266 |
| 5318767 | Kaempferol-3-O-rutinoside | ![]() | −7.0874 | 2.8019 | 134.5548 | −67.8698 | −9.2520 | −48.6317 |
| 65064 | EGCG | ![]() | −6.7253 | 2.4423 | −29.3672 | −75.5645 | −11.3901 | −36.9659 |
| 5274585 | Quercetin-3-O-Glucuronide | ![]() | −6.5532 | 1.8696 | 79.1429 | −70.3006 | −10.2403 | −40.0644 |
| 5280805 | Rutin | ![]() | −6.5235 | 2.0524 | 148.7302 | −67.8863 | −11.5230 | −38.5485 |
| 5281780 | Isochlorogenic Acid B | ![]() | −6.4882 | 1.7029 | −38.7087 | −43.3100 | −9.5616 | −32.1427 |
| 245005 | Aconitine | ![]() | −6.2575 | 3.6729 | 278.6369 | −46.8533 | −8.0642 | −34.1713 |
| 64982 | Baicalin | ![]() | −6.0956 | 1.9665 | 71.7165 | −85.7982 | −10.2547 | −31.9911 |
| 14655552 | Oroxylin A 7-O-β-D-Glucuronide | ![]() | −5.8501 | 1.9144 | 85.5989 | −82.7878 | −9.1929 | −31.7040 |
| 5280441 | Vitexin | ![]() | −5.8363 | 1.1508 | 46.8506 | −87.0438 | −11.3955 | −31.6867 |
| 5321884 | THSG | ![]() | −5.5554 | 1.5307 | 56.4074 | −72.9719 | −10.3949 | −25.6776 |
| 5318517 | Andrographolide | ![]() | −5.4928 | 1.873 | 75.2459 | −66.9751 | −8.5375 | −22.1143 |
| 119033 | Prunasin | ![]() | −5.4698 | 2.9089 | 105.2935 | −63.6619 | −8.2991 | −26.5614 |
| 5281654 | Isorhamnetin | ![]() | −5.4472 | 1.1922 | 20.4338 | −66.4913 | −10.4481 | −29.8052 |
| 440936 | Arbutin | ![]() | −5.4392 | 1.1603 | 68.5812 | −64.0948 | −8.9051 | −28.5810 |
| 78577438 | Dehydroandrographolide | ![]() | −5.3330 | 1.6409 | 107.6252 | −64.4499 | −9.5483 | −23.5010 |
| 65085 | Crotonoside | ![]() | −5.1651 | 1.2359 | −46.4225 | −61.3834 | −9.1330 | −24.2 |
| 5281607 | Chrysin | ![]() | −5.0591 | 2.2533 | −12.9074 | −51.8085 | −9.8103 | −23.9324 |
| 5281605 | Baicalein | ![]() | −5.0570 | 1.7595 | 1.3269 | −61.1301 | −10.8902 | −23.7111 |
| 6303 | Cordycepin | ![]() | −5.0094 | 1.2783 | 15.0973 | −61.5090 | −9.5804 | −22.7595 |
Disclaimer/Publisher’s Note: The statements, opinions and data contained in all publications are solely those of the individual author(s) and contributor(s) and not of MDPI and/or the editor(s). MDPI and/or the editor(s) disclaim responsibility for any injury to people or property resulting from any ideas, methods, instructions or products referred to in the content. |
© 2026 by the authors. Licensee MDPI, Basel, Switzerland. This article is an open access article distributed under the terms and conditions of the Creative Commons Attribution (CC BY) license.
Share and Cite
Zhang, L.; Liu, J.; Zheng, J.; Jing, W.; Zhang, W.; Chen, J.; Zhang, X.; Cheng, X.; Wei, F. Identification of Natural Compounds Triggering MRGPRX2-Mediated Calcium Flux and Degranulation in RBL-2H3 Cells. Cells 2026, 15, 287. https://doi.org/10.3390/cells15030287
Zhang L, Liu J, Zheng J, Jing W, Zhang W, Chen J, Zhang X, Cheng X, Wei F. Identification of Natural Compounds Triggering MRGPRX2-Mediated Calcium Flux and Degranulation in RBL-2H3 Cells. Cells. 2026; 15(3):287. https://doi.org/10.3390/cells15030287
Chicago/Turabian StyleZhang, Lihui, Jing Liu, Jian Zheng, Wenguang Jing, Wenjuan Zhang, Jia Chen, Xinyue Zhang, Xianlong Cheng, and Feng Wei. 2026. "Identification of Natural Compounds Triggering MRGPRX2-Mediated Calcium Flux and Degranulation in RBL-2H3 Cells" Cells 15, no. 3: 287. https://doi.org/10.3390/cells15030287
APA StyleZhang, L., Liu, J., Zheng, J., Jing, W., Zhang, W., Chen, J., Zhang, X., Cheng, X., & Wei, F. (2026). Identification of Natural Compounds Triggering MRGPRX2-Mediated Calcium Flux and Degranulation in RBL-2H3 Cells. Cells, 15(3), 287. https://doi.org/10.3390/cells15030287























