Exploring Bone Morphogenetic Protein-2 and -4 mRNA Expression and Their Receptor Assessment in a Dynamic In Vitro Model of Vascular Calcification
Abstract
1. Introduction
2. Materials and Methods
2.1. Cell Cultures
2.1.1. Dynamic and Static Device Experimental Setting
2.1.2. Cell Viability
2.1.3. Intracellular Calcium Assay
2.2. RNA Extraction and Real-Time PCR Experiments
2.3. Statistical Data Analysis
3. Results
3.1. Mono- and Co-Culture Characterisation
3.1.1. Viability
3.1.2. Evaluation of the Calcification Process
3.1.3. Evaluation of the Switch to Osteogenic-like Phenotype
3.2. Real-Time PCR Analysis
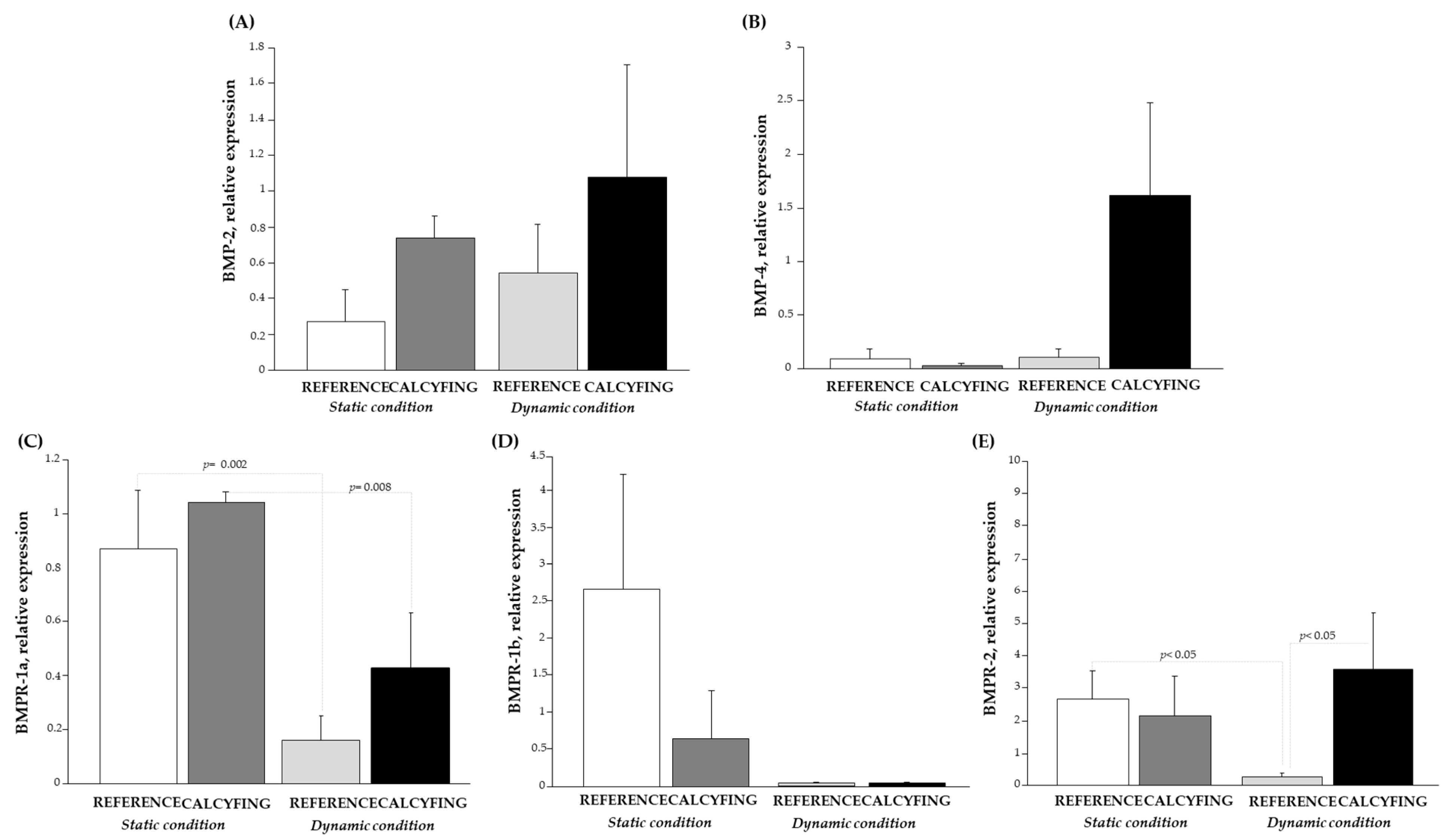
3.2.1. Expression Level of BMP System in HCASMC Under Static and Dynamic Conditions
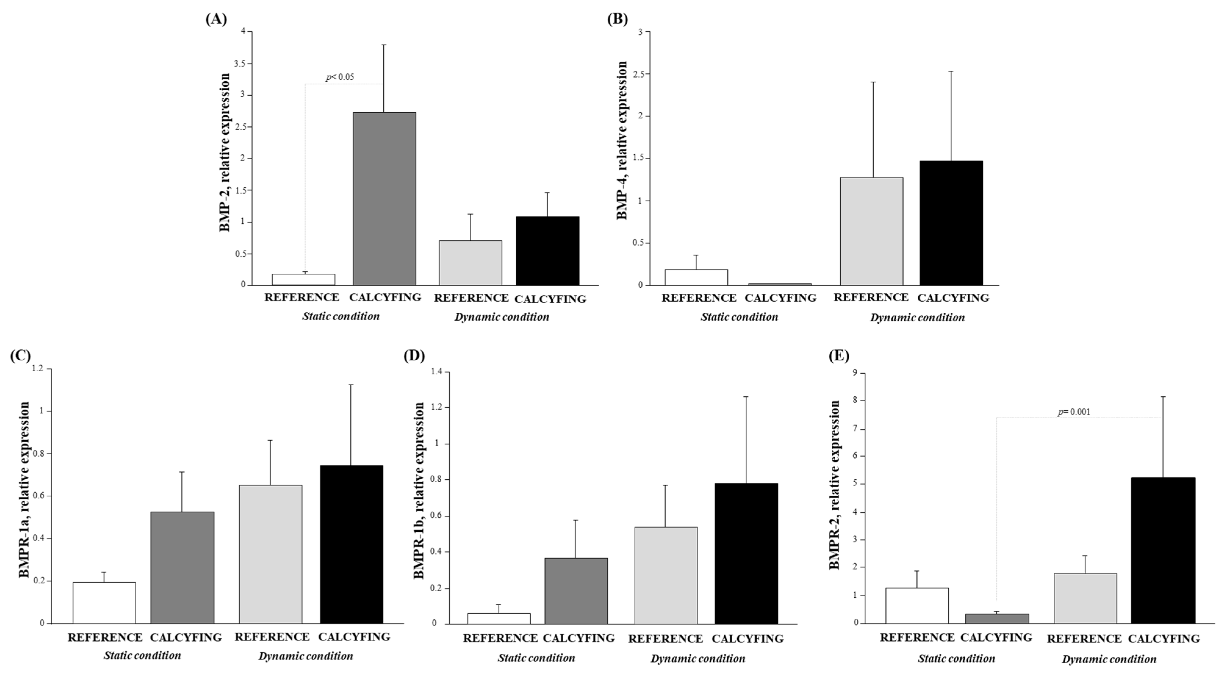
3.2.2. Expression Level of BMP System in Co-Cultures Under Static and Dynamic Conditions
4. Discussion
- When comparing a monoculture to co-culture, we observe an increase in BMP-2 mRNA expression in a calcifying environment under dynamic conditions (flow). This suggests that the flow, rather than the presence of HCAECs, is likely driving this trend.
- Comparing a monoculture and co-culture shows that both flow and the presence of HCAECs modulate BMP-4 expression. However, the BMP-4 expression is not affected by the calcifying medium, as its pattern remains similar under static conditions, with a general tendency to decrease.
- BMPR-1a and BMPR-1b transcript levels are modulated by a phosphate mixture, similar to BMP-2, without any apparent influence from HCAECs.
- The BMPR-2 expression is impacted by flow but not by HCAECs.
5. Conclusions
6. Study Limitation
Author Contributions
Funding
Institutional Review Board Statement
Informed Consent Statement
Data Availability Statement
Acknowledgments
Conflicts of Interest
References
- Demer, L.L.; Tintut, Y. Vascular Calcification: Pathobiology of a Multifaceted Disease. Circulation 2008, 117, 2938–2948. [Google Scholar] [CrossRef] [PubMed]
- Schenke, M.P.; Dorbala, S.; Hong, E.C.; Rybicki, F.J.; Hachamovitch, R.; Kwong, R.Y.; Di Carli, M.F. Interrelation of coronary calcification, myocardial ischemia, and outcomes in patients with intermediate likelihood of coronary artery disease: A combined positron emission tomography/computed tomography study. Circulation 2008, 117, 1693–1700. [Google Scholar] [CrossRef]
- Shroff, R.C.; Shanahan, C.M. The vascular biology of calcification. Semin. Dial. 2010, 20, 103–1099. [Google Scholar] [CrossRef] [PubMed]
- Zhu, D.; Mackenzie, N.C.; Farquharson, C.; Macrae, V.E. Mechanisms and clinical consequences of vascular calcification. Front. Endocrinol. 2012, 3, 95. [Google Scholar] [CrossRef] [PubMed]
- Neven, E.; De Schutter, T.M.; De Broe, M.E.; D’haese, P.C. Cell biological and physicochemical aspects of arterial calcification. Kidney Int. 2011, 79, 1166–1177. [Google Scholar] [CrossRef]
- Durham, A.L.; Speer, M.Y.; Scatena, M.; Giachelli, C.M.; Shanahan, C.M. Role of smooth muscle cells in vascular calcification: Implications in atherosclerosis and arterial stiffness. Cardiovasc. Res. 2018, 114, 590–600. [Google Scholar] [CrossRef]
- Andrews, J.; Psaltis, P.J.; Bartolo, B.D.; Nicholls, S.J.; Puri, R. Coronary Arterial Calcification: A Review of Mechanisms, Promoters and Imaging. Trends Cardiovasc. Med. 2018, 28, 491–501. [Google Scholar] [CrossRef]
- Lee, S.J.; Lee, I.K.; Jeon, J.H. Vascular Calcification—New Insights into its Mechanism. Int. J. Mol. Sci. 2020, 21, 2685. [Google Scholar] [CrossRef] [PubMed]
- Minasi, M.G.; Riminucci, M.; De Angelis, L.; Borello, U.; Berarducci, B.; Innocenzi, A.; Caprioli, A.; Sirabella, D.; Baiocchi, M.; De Maria, R.; et al. The meso-angioblast: A multipotent, self-renewing cell that originates from the dorsal aorta and differentiates into most mesodermal tissues. Development 2002, 129, 2773–2783. [Google Scholar] [CrossRef]
- Tintut, Y.; Alfonso, Z.; Saini, T.; Radcliff, K.; Watson, K.; Bostrom, K.; Demer, L.L. Multilineage potential of cells from the artery wall. Circulation 2003, 108, 2505–2510. [Google Scholar] [CrossRef]
- Pescatore, L.A.; Gamarra, L.F.; Liberman, M. Multifaceted mechanisms of vascular calcification in aging. Arterioscler. Thromb. Vasc. Biol. 2019, 39, 1307–1316. [Google Scholar] [CrossRef]
- Lu, C.L.; Liao, M.T.; Hou, Y.C.; Fang, Y.W.; Ng, Y.Y. Sirtuin-1 and its relevance in vascular calcification. Int. J. Mol. Sci. 2020, 21, 1593. [Google Scholar] [CrossRef]
- Kim, J.M.; Lee, W.S.; Kim, J. Therapeutic strategy for atherosclerosis based on bone-vascular axis hypothesis. Pharmacol. Ther. 2020, 206, 107436. [Google Scholar] [CrossRef]
- Thompson, B.; Towler, D.A. Arterial Calcification and Bone Physiology: Role of the Bone-Vascular axis. Nat. Rev. Endocrinol. 2012, 8, 529. [Google Scholar] [CrossRef] [PubMed]
- Medici, D.; Shore, E.M.; Lounev, V.Y.; Kaplan, F.S.; Kalluri, R.; Olsen, B.R. Conversion of vascular endothelial cells into multipotent stem-like cells. Nat. Med. 2010, 16, 1400–1406. [Google Scholar] [CrossRef]
- Cao, X.; Chen, D. The BMP signaling and in-vivo bone formation. Gene 2005, 357, 1–8. [Google Scholar] [CrossRef]
- Yang, P.; Troncone, L.; Augur, Z.M.; Kim, S.S.J.; McNeil, M.E.; Yu, P.B. The role of bone morphogenetic protein signaling in vascular calcification. Bone 2020, 141, 115542. [Google Scholar] [CrossRef]
- Niu, Z.; Su, G.; Li, T.; Yu, H.; Shen, Y.; Zhang, D.; Liu, X. Vascular Calcification: New insights into BMP Type I Receptor A. Front. Pharmacol. 2022, 13, 887253. [Google Scholar] [CrossRef]
- Kai, H.; Seher, A.; Schmitz, W.; Mueller, T.D.; Nickel, J. Receptor oligomerization and beyond: A case study in Bone Morphogenetic Proteins. BMC Biol. 2009, 7, 59. [Google Scholar]
- Mang, T.; Kleinschmidtdoerr, K.; Ploeger, F.; Schoenemann, A.; Lindemann, S.; Gigout, A. BMPR1A is necessary for chondrogenesis and osteogenesis, whereas BMPR1B prevents hypertrophic differentiation. J. Cell Sci. 2020, 133, 246934. [Google Scholar] [CrossRef] [PubMed]
- Boström, K.; Watson, K.E.; Horn, S.; Wortham, C.; Herman, I.M.; Demer, L.L. Bone morphogenetic protein expression in human atherosclerotic lesions. J. Clin. Investig. 1993, 91, 1800–1809. [Google Scholar] [CrossRef]
- Pardali, E.; Goumans, M.J.; ten Dijke, P. Signaling by members of the TGF-β family in vascular morphogenesis and disease. Trends Cell Biol. 2010, 20, 556–567. [Google Scholar] [CrossRef]
- Doetschman, T.; Barnett, J.V.; Runyan, R.B.; Camenisch, T.D.; Heimark, R.L.; Granzier, H.L.; Conway, S.J.; Azhar, M. Transforming growth factor β signaling in adult cardiovascular diseases and repair. Cell Tissue Res. 2012, 347, 203–223. [Google Scholar] [CrossRef] [PubMed]
- Guo, X.; Wang, X.F. Signaling cross-talk between TGF-β/BMP and other pathways. Cell Res. 2009, 1, 71–88. [Google Scholar] [CrossRef] [PubMed]
- Persiani, E.; Ceccherini, E.; Gisone, I.; Cecchettini, A.; Vozzi, F. Protocol to generate an in vitro model to study vascular calcification using human endothelial and smooth muscle cells. STAR Protoc. 2023, 4, 102328. [Google Scholar] [CrossRef]
- Ceccherini, E.; Persiani, E.; Cabiati, M.; Guiducci, L.; Del Ry, S.; Gisone, I.; Falleni, A.; Cecchettini, A.; Vozzi, F. A dynamic cellular model as an emerging platform to reproduce the complexity of human vascular calcification in vitro. Int. J. Mol. Sci. 2024, 25, 7427. [Google Scholar] [CrossRef]
- Cabiati, M.; Giacomarra, M.; Fontanini, M.; Cecchettini, A.; Pelosi, G.; Vozzi, F.; Del Ry, S. Bone morphogenetic protein-4 system expression in human coronary artery endothelial and smooth muscle cells under dynamic flow: Effect of medicated bioresorbable vascular scaffolds at low and normal shear stress. Heart Vessel. 2022, 37, 2137–2149. [Google Scholar] [CrossRef]
- Bustin, S.A.; Benes, V.; Garson, J.A.; Hellemans, J.; Huggett, J.; Kubista, M.; Mueller, R.; Nolan, T.; Pfaffl, M.W.; Shipley, G.L.; et al. The MIQE guidelines: Minimum information for publication of quantitative real-time PCR experiments. Clin. Chem. 2009, 55, 611–622. [Google Scholar] [CrossRef]
- Jeziorska, M. Transforming growth factor-βs and CD105 expression in calcification and bone formation in human atherosclerotic lesions. Z. Kardiol. 2001, 90, 23–26. [Google Scholar] [CrossRef] [PubMed]
- Simionescu, A.; Philips, K.; Vyavahare, N. Elastin-derived peptides and TGF-β1 induce osteogenic responses in smooth muscle cells. Biochem. Biophys. Res. Commun. 2005, 334, 524–532. [Google Scholar] [CrossRef] [PubMed]
- Pardali, E.; Ten Dijke, P. TGFβ signaling and cardiovascular diseases. Int. J. Biol. Sci. 2012, 8, 195–213. [Google Scholar] [CrossRef] [PubMed]
- Steitz, S.A.; Speer, M.Y.; Curinga, G.; Yang, H.Y.; Haynes, P.; Aebersold, R.; Schinke, T.; Karsenty, G.; Giachelli, C.M. Smooth muscle cell phenotypic transition associated with calcification: Upregulation of Cbfa1 and downregulation of smooth muscle lineage markers. Circ. Res. 2001, 89, 1147–1154. [Google Scholar] [CrossRef]
- Sage, A.P.; Lu, J.; Tintut, Y.; Demer, L.L. Hyperphosphatemia-induced nanocrystals upregulate the expression of bone morphogenetic protein-2 and osteopontin genes in mouse smooth muscle cells in vitro. Kidney Int. 2011, 79, 414–422. [Google Scholar] [CrossRef]
- Zhu, D.; Mackenzie, N.C.; Millan, J.L.; Farquharson, C.; Macrae, V.E. The appearance and modulation of osteocyte marker expression during calcification of vascular smooth muscle cells. PLoS ONE 2011, 6, e19595. [Google Scholar] [CrossRef] [PubMed]
- Speer, M.Y.; Yang, H.Y.; Brabb, T.; Leaf, E.; Look, A.; Lin, W.L.; Frutkin, A.; Dichek, D.; Giachelli, C.M. Smooth muscle cells give rise to osteochondrogenic precursors and chondrocytes in calcifying arteries. Circ. Res. 2009, 104, 733–741. [Google Scholar] [CrossRef] [PubMed]
- Zavaczki, E.; Jeney, V.; Agarwal, A.; Zarjou, A.; Oros, M.; Katkó, M.; Varga, Z.; Balla, G.; Balla, J. Hydrogen sulfide inhibits the calcification and osteoblastic differentiation of vascular smooth muscle cells. Kidney Int. 2011, 80, 731–739. [Google Scholar] [CrossRef] [PubMed]
- Sorescu, G.P.; Sykes, M.; Weiss, D.; Platt, M.O.; Saha, A.; Hwang, J.; Boyd, N.; Boo, Y.C.; Vega, J.D.; Taylor, W.R. Bone morphogenic protein 4 produced in endothelial cells by oscillatory shear stress stimulates an inflammatory response. J. Biol. Chem. 2003, 278, 31128–31135. [Google Scholar] [CrossRef]
- Kim, C.W.; Song, H.; Kumar, S.; Nam, D.; Kwon, H.S.; Chang, K.H.; Son, D.J.; Kang, D.W.; Brodie, S.A.; Weiss, D.; et al. Anti-inflammatory and antiatherogenic role of BMP receptor II in endothelial cells. Arterioscler. Thromb. Vasc. Biol. 2013, 33, 1350–1359. [Google Scholar] [CrossRef] [PubMed]
- Jiang, H.; Li, L.; Zhang, L.; Zang, G.; Sun, Z.; Wang, Z. Role of endothelial cells in vascular calcification. Front. Cardiovasc. Med. 2022, 9, 895005. [Google Scholar] [CrossRef] [PubMed]
- Sánchez-Duffhues, G.; García de Vinuesa, A.; van de Pol, V.; Geerts, M.E.; de Vries, M.R.; Janson, S.G.; van Dam, H.; Lindeman, J.H.; Goumans, M.J.; Ten Dijke, P. inflammation induces endothelial-to- mesenchymal transition and promotes vascular calcification through downregulation of BMPR2. J. Pathol. 2019, 247, 333–346. [Google Scholar] [CrossRef] [PubMed]
- Yuan, C.; Ni, L.; Zhang, C.; Hu, X.; Wu, X. Vascular calcification: New insights into endothelial cells. Microvasc. Res. 2021, 134, 104105. [Google Scholar] [CrossRef]
- Evrard, S.M.; Lecce, L.; Michelis, K.C.; Nomura-Kitabayashi, A.; Pandey, G.; Purushothaman, K.R.; d’Escamard, V.; Li, J.R.; Hadri, L.; Fujitani, K.; et al. Endothelial to mesenchymal transition is common in atherosclerotic lesions and is associated with plaque instability. Nat. Commun. 2016, 7, 11853. [Google Scholar] [CrossRef] [PubMed]




| GENE | PRIMER SEQUENCE, 5′ → 3′ | GENEBANK | AMPLICON LENGHT, bp | LOCATION | Ta | EFFICIENCY | R2 |
|---|---|---|---|---|---|---|---|
| RNSP1 | F: ACCCATGGTAGTTGCTGCTC R: AGCTGGCTCTCCACTCACTC | NM_006711.3 | 103 | 16p13.3 | 60 °C | 97.3% | 0.999 |
| eEF1a | F: CTTTGGGTCGCTTTGCTGTT R: CCGTTCTTCCACCACTGATT | NM_001402 | 183 | 6q13 | 60 °C | 101.7% | 0.998 |
| RUNX-2 | F: GATTCTTAACCAACCAGCCTTACC R: AGTGATGTCATTCTGCTCCTCTAA | NM_001024630.4 | 120 | 6p21.1 | 60 °C | 96.4% | 0.994 |
| BMP2 | F: CGTCAAGCCAAACACAAACAG R: AGCCACAATCCAGTCATTCC | NM_001200.4 | 105 | 20p12.3 | 58 °C | 98.5% | 0.997 |
| BMP4 | F: TGGAATGACTGGATTGTG R: ATGGTTGGTTGAGTTGAG | NM_001202 | 99 | 14q22.2 | 60 °C | 103.5% | 0.990 |
| BMPR-1a | F: CGAAGATATGCGTGAGGTTGT R: AGTCTGGAGGCTGGATTGT | NM_004329 | 135 | 10q23.2 | 58 °C | 95.8% | 0.992 |
| BMPR-1b | F: GGACATAGAACGGAACTCAT R: GCATTCACATTACCATAGCG | NM_001203 | 106 | 4q22.3 | 58 °C | 100.5% | 0.998 |
| BMPR-2 | F: TGATGGAACCTGTGTTATTAGTGA R: GATAGTGCCAACCTCGCTTA | NM_001204 | 112 | 2q33.1-2 | 60 °C | 98.7% | 0.995 |
| TGF-β1 | F: TGAACCCGTGTTGCTCTC R: GCCAGGAATTGTTGCTGTATT | NM_000660.7 | 104 | 19q13.2 | 60 °C | 104.9% | 0.991 |
| EXPERIMENTAL SETTING | REFERENCE MEDIUM | CALCIFYING MEDIUM | p | |
|---|---|---|---|---|
| Intracellular Calcium Amount | Intracellular Calcium Amount | |||
| Monoculture | Static condition | 7.0 × 10−3 (μg/cell) × 104 | 5.16 × 10−1 (μg/cell) × 104 | <0.0001 |
| Dynamic condition | 4.8 × 10−2 (μg/cell) × 104 | 8.7 × 10−2 (μg/cell) × 104 | 0.058 | |
| Co-culture | Static condition | 2.0 × 10−3 (μg/cell) × 104 | 5.3 × 10−2 (μg/cell) × 104 | 0.003 |
| (a) | |||||
| BMP-2 | BMP-4 | BMPR-1a | BMPR-1b | BMPR-2 | |
| BMP-2 | - | ns | ns | ns | R2 = 0.31; p = 0.04 |
| BMP-4 | ns | - | R2 = 0.66; p = 0.0002 | ns | R2 = 0.88; p < 0.0001 |
| BMPR-1a | ns | R2 = 0.66; p = 0.0002 | - | ns | ns |
| BMPR-1b | ns | ns | ns | - | ns |
| BMPR-2 | R2 = 0.31; p = 0.04 | R2 = 0.88; p < 0.0001 | ns | ns | - |
| (b) | |||||
| BMP-2 | BMP-4 | BMPR-1a | BMPR-1b | BMPR-2 | |
| BMP-2 | - | R2 = 0.45; p = 0.03 | ns | ns | ns |
| BMP-4 | R2 = 0.45; p = 0.03 | - | R2 = 0.91; p < 0.0001 | R2 = 0.44; p = 0.05 | ns |
| BMPR-1a | ns | R2 = 0.91; p < 0.0001 | - | ns | R2 = 0.60; p = 0.009 |
| BMPR-1b | ns | R2 = 0.44; p = 0.05 | ns | - | R2 = 0.60; p = 0.01 |
| BMPR-2 | ns | ns | R2 = 0.60; p = 0.009 | R2 = 0.60; p = 0.01 | - |
| BMP-2 | BMP-4 | BMPR-1a | BMPR-1b | BMPR-2 | |
| BMP-2 | - | R2 = 0.66; p = 0.0007 | R2 = 0.75; p < 0.0001 | ns | R2 = 0.84; p < 0.0001 |
| BMP-4 | R2 = 0.66; p= 0.0007 | - | R2 = 0.83; p < 0.0001 | ns | R2 = 0.36; p = 0.02 |
| BMPR-1a | R2 = 0.75; p < 0.0001 | R2 = 0.83; p < 0.0001 | - | ns | R2 = 0.35; p = 0.02 |
| BMPR-1b | ns | ns | ns | - | ns |
| BMPR-2 | R2 = 0.84; p < 0.0001 | R2 = 0.36; p = 0.02 | R2 = 0.35; p = 0.02 | ns | - |
Disclaimer/Publisher’s Note: The statements, opinions and data contained in all publications are solely those of the individual author(s) and contributor(s) and not of MDPI and/or the editor(s). MDPI and/or the editor(s) disclaim responsibility for any injury to people or property resulting from any ideas, methods, instructions or products referred to in the content. |
© 2024 by the authors. Licensee MDPI, Basel, Switzerland. This article is an open access article distributed under the terms and conditions of the Creative Commons Attribution (CC BY) license (https://creativecommons.org/licenses/by/4.0/).
Share and Cite
Cabiati, M.; Vozzi, F.; Ceccherini, E.; Guiducci, L.; Persiani, E.; Gisone, I.; Sgalippa, A.; Cecchettini, A.; Del Ry, S. Exploring Bone Morphogenetic Protein-2 and -4 mRNA Expression and Their Receptor Assessment in a Dynamic In Vitro Model of Vascular Calcification. Cells 2024, 13, 2091. https://doi.org/10.3390/cells13242091
Cabiati M, Vozzi F, Ceccherini E, Guiducci L, Persiani E, Gisone I, Sgalippa A, Cecchettini A, Del Ry S. Exploring Bone Morphogenetic Protein-2 and -4 mRNA Expression and Their Receptor Assessment in a Dynamic In Vitro Model of Vascular Calcification. Cells. 2024; 13(24):2091. https://doi.org/10.3390/cells13242091
Chicago/Turabian StyleCabiati, Manuela, Federico Vozzi, Elisa Ceccherini, Letizia Guiducci, Elisa Persiani, Ilaria Gisone, Agnese Sgalippa, Antonella Cecchettini, and Silvia Del Ry. 2024. "Exploring Bone Morphogenetic Protein-2 and -4 mRNA Expression and Their Receptor Assessment in a Dynamic In Vitro Model of Vascular Calcification" Cells 13, no. 24: 2091. https://doi.org/10.3390/cells13242091
APA StyleCabiati, M., Vozzi, F., Ceccherini, E., Guiducci, L., Persiani, E., Gisone, I., Sgalippa, A., Cecchettini, A., & Del Ry, S. (2024). Exploring Bone Morphogenetic Protein-2 and -4 mRNA Expression and Their Receptor Assessment in a Dynamic In Vitro Model of Vascular Calcification. Cells, 13(24), 2091. https://doi.org/10.3390/cells13242091

