Abstract
The first studies suggesting that abnormal expression of galectins is associated with cancer were published more than 30 years ago. Today, the role of galectins in cancer is relatively well established. We know that galectins play an active role in many types of cancer by regulating cell growth, conferring cell death resistance, or inducing local and systemic immunosuppression, allowing tumor cells to escape the host immune response. However, most of these studies have focused on very few galectins, most notably galectin-1 and galectin-3, and more recently, galectin-7 and galectin-9. Whether other galectins play a role in cancer remains unclear. This is particularly true for placental galectins, a subgroup that includes galectin-13, -14, and -16. The role of these galectins in placental development has been well described, and excellent reviews on their role during pregnancy have been published. At first sight, it was considered unlikely that placental galectins were involved in cancer. Yet, placentation and cancer progression share several cellular and molecular features, including cell invasion, immune tolerance and vascular remodeling. The development of new research tools and the concomitant increase in database repositories for high throughput gene expression data of normal and cancer tissues provide a new opportunity to examine the potential involvement of placental galectins in cancer. In this review, we discuss the possible roles of placental galectins in cancer progression and why they should be considered in cancer studies. We also address challenges associated with developing novel research tools to investigate their protumorigenic functions and design highly specific therapeutic drugs.
1. Introduction
Galectins (GAL) represent a family of evolutionarily conserved lectins that preferentially bind to β-galactose-containing glycoconjugates via their carbohydrate-recognition domains (CRDs), which consist of approximately 130 amino acids. Since 1994, galectins have been classified based on their CRD organization as a prototype, tandem-repeat type, or chimeric-type galectins [1]. In humans, 12 galectins have been identified, including GAL-1, -2, -7, -10, -13, -14, and 16 (prototypic), GAL-4, -8, -9, and -12 (tandem-repeat) and GAL-3 (chimeric type). In 2004, a landmark study on the ability of galectins to modulate outside-in signaling was published and attracted the interest of a broad audience, from glycobiologists to cellular and molecular biologists [2]. The study showed that the binding of galectins to cell surface glycoreceptors modulated the internalization of these receptors, thereby interfering with their signaling functions. Because alterations in the glycosylation pattern of cell surface receptors are a common feature of cancer cells [3], this study raised the hypothesis that glycan-binding proteins, such as galectins, play a decisive role in the fate of cancer cells.
Today, thousands of studies have been published on the roles of galectins in cancer. To summarize, galectins positively or negatively modulate tumor progression by exerting their extracellular activity at two primary levels. The first is based on their innate ability to regulate the immune response, either by neutralizing the cancer-killing function of immune cells [4,5] or neutralizing factors that attract immune cells to the tumor site [6]. Galectins can also contribute to cancer progression via other mechanisms, most notably by binding to soluble glycosylated immune mediators. A typical example is the ability of GAL-3 to neutralize the activity of interferon-gamma and other cytokines that promote the migration and infiltration of immune cells within the tumor [6,7]. Together, all these galectin-mediated functions establish galectins as promising targets for modulating cancer-specific immune responses, raising the interest of many working in immunotherapy. Indeed, this represents a very interesting avenue to improve immunotherapy success, as only 15–20% of patients achieve long-lasting results. [8,9,10,11].
The second protumorigenic role of galectins is their action on cell surface glycoreceptors expressed by cancer cells. This is accomplished via multiple intracellular mechanisms, such as conferring resistance to drug-induced cancer cell death, increasing the invasive behavior of cancer cells, inducing tumor-promoting genes, or simply increasing the proliferation rate of cancer cells [12]. A classic case is a study showing that the binding of GAL-1 to VEGF receptors can overcome the resistance of cancer cells to angiogenic inhibitors [13]. An important point to remember is that although a vast amount of literature has been published on the role of galectins in cancer, most of the studies have focused on a limited number of galectins. In particular, more than half of these studies have focused on GAL-3, and approximately another 25% have focused on GAL-1. There are many reasons justifying this interest in GAL-1 and -3, including that they were among the first identified and that most of the research tools available to study galectins, such as antibodies and genetically engineered cell and animal models, were developed for studies on these two galectins specifically. Only in recent years have we come to appreciate the role of other galectins in cancer, particularly GAL-7 and GAL-9 [14,15,16,17]. However, studies on the ability of other galectins, such as placental galectins, to regulate cancer progression remain somewhat limited, even though placental galectins share several functional features with more classical protumorigenic galectins.
Although considerable attention has been paid to the extracellular functions of galectins and their glycan-binding activity, galectins are also well known for their ability to promote cancer progression intracellularly [18]. This is not surprising as many galectins preferentially exist in cytosolic and nuclear compartments, consistent with the fact that they do not harbor a signal sequence and are exported outside the cells via a yet undefined non-classical mechanism [19]. In most cases, this intracellular activity involves carbohydrate-independent functions. Yet, this should not be so surprising. GAL-10 and GAL-16 have distinctive glycan binding sites (GBS) that preclude binding to β-galactoside [20,21]. For example, GAL-10, also known as the Charcot-Leyden crystals (CLC), binds in a carbohydrate-independent manner with intracellular RNases, modulating their translocation inside the eosinophils [22]. In the case of GAL-16, it binds via protein-protein interaction with c-Rel, a transcription factor known to play a central role in multiple types of cancer [23]. The ability of intracellular galectins to accomplish various functions via protein-protein interactions is not restricted, however, to galectins with non-functional GBS. This has been well established in the case of GAL-1 [24,25] and GAL-7, which binds BCl-2 [25,26,27]. In HeLa cells, disrupting the GAL-7/Bcl2 complex sensitizes cells to an apoptotic cell death [26]. Such carbohydrate-independent functions of galectins represent a paradigm shift in our comprehension of their biological activity, obliging us to rethink our strategies to inhibit their protumorigenic functions.
2. Placental Galectins and the Hallmarks of Cancer
The concept of placental galectins (also known as Chr19 cluster galectins) emerged many years ago in a landmark paper showing that GAL-13 (placental protein 13, or PP13), GAL-14, and GAL-16, all located within a cluster of genes on chromosome 19, were preferentially expressed in the placenta [28]. Except for GAL-16, which is stable as a monomer, GAL-13 and GAL-14 form homodimers (Figure 1).
Figure 1.
Three-dimensional structures of placental galectins. The dimeric structures of human GAL-13 and GAL-14 are shown respectively in purple/pink (GeneID UniProt Q9UHV8) and blue/cyan (GeneID UniProt Q8TCE9). GAL-13 is a prototype member stabilized by forming two disulfide bridges at the dimer interface [29]. In contrast, GAL-14 adopts a swapped dimer architecture, whereby terminal β-strands S5 and S6 of one monomer interact with the core structure of the opposite monomer (and vice versa) to form the canonical CRD ‘jelly-roll’ fold [30]. GAL-16 is shown in green (GeneID UniProt A8MUM7). Although prototype galectins typically crystallize as dimers, GAL-16 adopts a distinct monomeric structure [21].
Subsequent studies have shown that trophoblastic expression of these genes in the placenta is driven by DNA methylation and transcription factors known to regulate trophoblastic genes [31,32]. Consensus sequences are found within the promoter of placental galectins, such as those recognized by GATA, ESRRG (estrogen-related receptor gamma (ERR-gamma)), and the transcriptional enhancer factor TEF5 [33]. Today, the concept of placental galectins is well established. Their role in developmental processes and their potential use as biomarkers for gestational disorders have attracted the interest of many prenatal research investigators [33,34]. Many studies have since shown that other galectins, including those known to play a central role in cancer, such as GAL-1, -2, -3, -7 and -9, were also expressed at the maternal-fetal interface at different stages of pregnancy. In addition, abnormal expression patterns of galectins during pregnancy are associated with placental pathologies [35]. In contrast, there has been limited interest in studying whether GAL-13, -14, and -16 play a role in cancer progression even though cancer and pregnancy share many physiological properties detailed in many reviews over the past decade’s [36,37,38,39]. In fact, prenatal development shares several functional features recognized within the hallmarks of cancer as defined by Hanahan and Weinberg [40]. For example, they share common invasive mechanisms, most notably those regulating the invasiveness of the basement membrane and remodeling of the extracellular matrix (ECM). These processes involve proteolytic enzymes, such as matrix metalloproteinases (MMPs), a family of enzymes expressed by trophoblastic and cancer cells [36]. In cancer, the ability of galectins to induce MMPs to promote invasion is well established and has been shown to favor, for example, tumor growth and metastasis [41]. Such upregulation of MMPs in trophoblasts by placental galectins, including GAL-13 and -14, has also been reported recently [42,43]. Another common feature of cancer and human placental development is angiogenesis.
Vascular remodeling occurs in the maternal endometrium in preparation for embryo implantation and is essential for exchanging nutrients between the mother and fetus throughout pregnancy. The involvement of galectins in endothelial cell activation, proliferation and angiogenesis during pregnancy has been discussed in detail [44]. Similarly, the role of galectins in cancer angiogenesis for supplying nutrients and oxygen necessary for tumor growth has been recognized [45,46,47,48,49,50]. Although cancer angiogenesis is also considered a more chaotic process than normal and highly regulated angiogenesis [51,52], it provides cancer cells with the means to enter the vasculature and exit from the circulation to metastasize at secondary sites. The other central element shared by tumors and the placenta is the role of immune cells. In both cases, immune cells are essential for the induction of a local inflammatory environment that promotes cell clearance, angiogenesis and cell growth [39]. Galectins are also involved in the induction of immune tolerance. During pregnancy, this prevents the rejection of the fetus against an aggressive maternal immune response directed at non-self antigens (reviewed in [34]). In cancer, it promotes immune escape. In both cases, the immune-regulatory roles of galectins are essential [33,35,53]. Given these functional similarities, it is logical to conclude that placental galectins can potentially impact cancer progression via different mechanisms if expressed in cancer tissues.
3. Expression of Placental Galectins in Cancer Cells
Published studies hint that placental galectins are expressed in tissues other than the placenta and possibly in cancer tissues. In a report published in 1999 on the cloning of a cDNA encoding PP13 (GAL-13), Than et al. used a specific rabbit antiserum to show that GAL-13 was expressed at very high levels in the adult bladder (at even higher levels than in the placenta) and the spleen [54]. The authors also reported that PP13 was expressed in tumorous extracts from skin, brain, and liver carcinoma, as well as in fetal cells and various benign and malignant tumor tissues. To our knowledge, this is the first report indicating that placental galectins can be expressed in other tissues, including cancer tissues. More recently, our research team has used in silico and in vitro approaches to show that high expression of LGALS14, the gene encoding GAL-14, is associated with shorter survival in ovarian cancer cells [55]. We also found that LGALS14 is preferentially expressed in high-grade serous adenocarcinoma (HGSA), the most aggressive subtype of ovarian cancer. Through in vitro studies of ovarian cancer cell lines, we further confirmed that LGALS14 is readily expressed in HGSA. Using data from public databases, Kaminker and Timoshenko also showed that GAL-16 can be expressed in cells of lymphoid, epithelial, muscular and neuronal origins, albeit to lower levels than GAL-1, the most ubiquitously expressed member of the galectin family [56]. These results are consistent with the presence of several tissue-specific binding sites within the promoter of LGALS16. Overall, these studies support the hypothesis that placental galectins may be expressed in cancer cells.
4. Identification of Cancer Tissues Expressing Placental Galectins Using Public Databases
Database repositories of high-throughput gene expression data are a valuable resource to explore whether specific genes are expressed in other tissues and to guide future experimental research. Analysis of data pulled from these repositories confirmed that GAL-13, -14 and -16 have the strongest expression levels in the placenta (Figure 2A).
Figure 2.
Comparison of placental galectins’ expression in normal and cancer tissues. (A) mRNA expression levels of placental galectins in normal tissues. Data were obtained from the Human Protein Atlas datasets. Normalized transcripts per million (nTPM) units are relative to normalized transcript expression values. (B) mRNA expression levels of placental galectins in cancer tissues. Data were obtained from the Human Protein Atlas datasets. FPKM units refer to fragments per kilobase of transcript per million mapped reads. The darker-colored histogram bars represent the mRNA expression levels of galectin, while the lightly colored histogram bars represent the percentage of patients with detectable expression levels.
Interestingly, mRNA expression patterns of all three placental galectins were quite similar, and their expression in normal tissues was relatively low, especially for the LGALS13 and LGALS16 genes encoding human GAL-13 and GAL-16, respectively. This implies that targeting these galectins may generate minimal adverse side effects, which frequently account for the failure of drugs during clinical trials [57]. A notable exception is the brain, which has been shown to express all three galectins. The expression levels found in brain tissues confirm a recent report on LGALS16 by Kaminker and Timoshenko (2021), who provided a detailed analysis of expression data in normal tissues and cell lines. The authors also observed LGALS16 in several cancer tissues. To confirm that transcripts of all three placental galectins are expressed in multiple cancer tissues, we extended this analysis for the other two placental galectins (Figure 2B). Among other notable findings, we found higher LGALS13 levels in lung and thyroid cancers compared to other cancer types. In the case of GAL-14, transcripts were found in many cancer tissues, most notably in cancers of epithelial origin. This includes gynecological cancers, such as ovarian cancer, a finding consistent with a previous [55]. As previously reported by Kaminker and Timoshenko (2021), transcripts encoding GAL-16 were found in many types of cancer, including breast, testicular, lung, and urothelial cancers. When the frequency of patients expressing LGALS13 in their cancer tissues was analyzed, we found elevated levels of LGALS13 in almost half of the patients with thyroid cancer. Additionally, approximately 60% and 20% of the thyroid cancer patients expressed LGALS13 and LGALS14, respectively. In breast cancer, roughly 40% of patients expressed LGALS13, while very few expressed GAL-16 transcripts. However, for those GAL-16-positive patients, expression levels were significantly high. One of the most striking findings was that almost 75% of lung cancer patients expressed LGALS14. However, to our knowledge, no published studies have investigated the role of GAL-14 in lung cancer or its expression in lung cancer tissues.
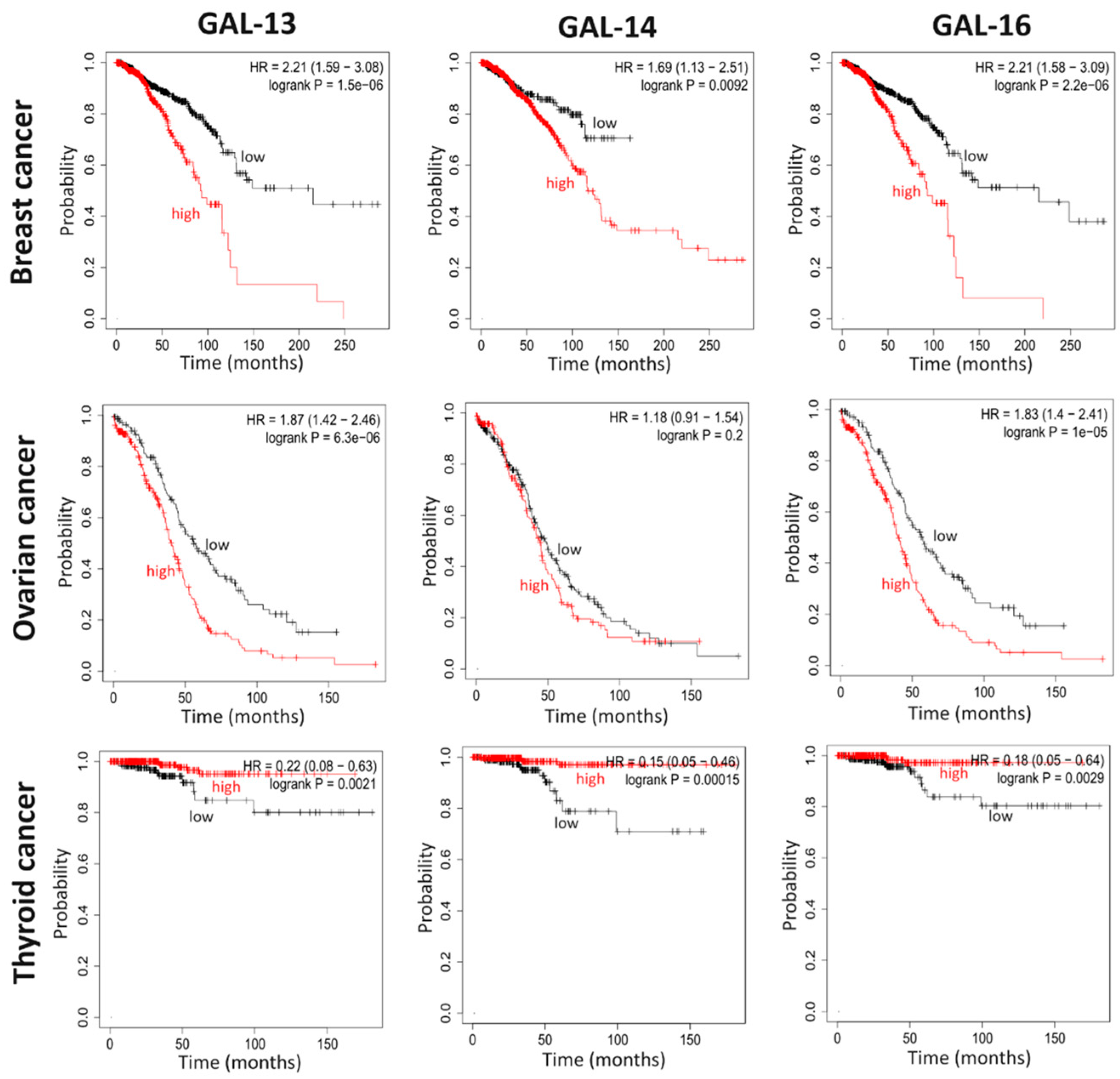
5. Placental Galectin Expression Correlates with Cancer Progression
The above-cited studies and examination of public datasets provide strong indications of placental galectin expression in non-placental and cancer tissues. To evaluate whether the expression levels of these galectins affect tumor progression, we examined in public databases the association between expression levels of specific placental galectins and a positive or negative outcome in terms of survival. In the case of breast cancer patients, we found that high expression of any of the three placental galectins was associated with a statistically significant poorer outcome (Figure 3). Higher expression of placental galectins also correlated with poorer survival for patients with endometrial and ovarian cancer. In contrast, for thyroid cancer patients, high expression levels of placental galectins correlated with more prolonged survival. Such contrasting results are not surprising for galectins, given how they are well known for playing a dual role in cancer [18,48,58]. An excellent example of the contradictory roles of galectins is provided by our recent data showing that, while GAL-1 is associated with cancer progression, GAL-8 has a protective effect [59]. Additionally, although GAL-1 and GAL-7 are protumorigenic in colon cancer, GAL-4 acts as a tumor suppressor [60,61].
Figure 3.
Kaplan-Meier survival curves of patients according to placental galectin levels. Data were extracted from Nagy et al. Pancancer survival analysis of cancer hallmark genes was performed using data from 2021 [62]. The log-rank test was used to detect significant differences between survival curves.
6. A Role for Placental Galectins in Cancer Progression?
Placental galectin expression in cancer cells does not necessarily mean they play a de facto role in cancer progression. Cancer cells express de novo many genes upon genetic alterations or epigenetic modifications. Such aberrant expression patterns often result from passenger mutations, defined as mutations that do not confer cancer cells with a selective growth advantage (in contrast to “driver mutations”) [63]. There are examples of galectin genes that are expressed de novo in cancer cells and that are capable of “driver” functions. This is not surprising considering the functional capabilities of galectins related to the hallmarks of cancer. A case in point is GAL-7, which has long been considered a skin-specific gene and a biomarker of stratified epithelia [64,65]. While GAL-7 is not detected in normal lymphoid cells, it is expressed in lymphoma [66]. Expression in lymphoma cells allows GAL-7 to accomplish driver functions by promoting the dissemination of tumor cells in peripheral organs through its ability to induce resistance to cell death and confer cancer cells with an invasive phenotype [15,67,68]. This aberrant expression of GAL-7 is likely triggered by DNA hypomethylation [69,70] or activation of signaling pathways associated with tumor progression, including gain-of-function mutations in the p53 gene [71,72]. Incidentally, the consequences of global or local hypomethylation, one of the hallmarks of cancer, on the expression of galectins are not restricted to GAL-7. It has also been reported in the cases of many, if not most, galectin family members, including GAL-1, -2, -3, -8, -9 and -12 [69,70,73,74]. Regarding GAL-1, which is also expressed in the placenta, the methylation status of its promoter regulates its expression in other tissues and nonplacental cell lines [75,76]. These studies support the idea that the expression of placental galectins may occur in cancer cells, most notably at advanced stages of tumors, in which genome-scale hypomethylation favors tumor progression [77].
7. Candidate Gene Pathways
Placental galectins were initially discovered as a trio of galectins commonly expressed in the placenta. As discussed above, this apparent inseparableness of the three seems to hold when expressed in other tissues. This is also observed, albeit to a lesser extent, in cancer cells’ chaotic gene expression patterns. Using the Human Protein Atlas database, it is possible to identify the nearest neighboring genes based on tissue RNA expression of all three placental galectins. We can see that placental galectins share a close functional relationship, as evidenced by the number of genes coexpressed with all three (Figure 4). Namely, these genes encode proteins, such as ERVV-1, ERVV-2, NOTUM, KISS1, PWP1, and LIN28B, which all have biological functions in pregnancy. For example, the ERVV-1 and ERVV-2 genes (also called syncytins) encode envelope glycoproteins that are highly expressed in normal placenta, specifically in the formation of placental syncytiotrophoblasts through cell-cell fusion [78]. Interestingly, the expression of the syncytin-1 gene and its tissue specificity is controlled by DNA methylation of a CpG island in its proximal promoter. Although these functions are specific to human placental morphogenesis, hyper or hypomethylation of syncytin-1 has been observed in several other tissues, notably in cancer cells arising from nonplacental tissues, such as the testis, ovary and colon [79,80]. A case in point is a recent study reporting that hypomethylation of syncytin-1 gene promoter resulted in aberrant expression of the protein in testicular cancers, where GAL-13 is also constitutively expressed [81,82].
Figure 4.
Venn diagram of genes co-expressed with placental galectins. The data were generated using the Human Protein Atlas datasets based on RNA-Seq expression data. The figure illustrates genes among the 15 closest neighboring genes associated with placental functions and cancer progression.
The KISS1 gene encodes the neuropeptide kisspeptin, a well-established regulator of reproductive functions found in the syncytiotrophoblasts [83]. KISS1 is highly expressed in the placenta and brain and weakly in the pancreas and kidney. However, kisspeptin is also highly expressed in the hypothalamic region and binds to its receptors encoded by Kiss1R, which is widely expressed in the brain. This suggests that the kisspeptin–KissR system may not only also be involved in non-reproductive functions [84]. Indeed, KISS1 was initially discovered by the group of Danny Welch as a metastasis suppressor gene in the melanoma [85]. Interestingly, KISS1 has been shown to play contradictory roles depending on the physiopathological conditions in which it is expressed. For instance, its expression in the brain is not favorable for patients during the development of glioblastoma, as KISS1 has been shown to accelerate the metastatic ability of glioblastoma through the Gq-PLC-PKC pathway [79,86]. Moreover, the cellular process of KISS1 is related to several matrix MMPs in the brain and placenta [87]. These data raise the possibility that Syncytin-1 and GAL-13, and other galectins could positively or negatively impact cancer progression, possibly depending on the cell context.
The association of GAL-13 with NOTUM is interesting, as this gene encodes a palmitoyl-protein carboxylesterase that negatively regulates the Wnt signaling pathway by mediating depalmitoleoylation of Wnt proteins, rendering them inactive (Zhao et al., 2021). NOTUM knockdown in the HepG2 hepatoblastoma cell line has decreased migration and invasion while inhibiting tumor growth in vivo [88,89]. NOTUM is also involved in the colon adenocarcinoma [90,91].
In addition, we cannot ignore the association of GAL-13 with LIN28B, a member of the Lin-28 family. Members of this family are well known for their ability to control the Let-7 family of miRNAs biogenesis, which play a central role in the development and diseases [92]. High levels of LIN28A/LIN28B proteins are associated with many cancer biological behaviors and poor prognosis. Increased levels of LIN28B have pathological associations with many cancers, including colon cancer, lung cancer, hepatocellular carcinoma, ovarian cancer, germ cell tumors, prostate cancer, leukemia, breast cancer, oral squamous cell carcinoma, glioma and melanoma [93,94,95,96].
Additional information on the potential association between placental galectins and other cancer-related genes can be found in the literature. This is the case for HOXA1. This member of the homeobox (HOX) family of transcription factors plays an essential role during development. Mutations in HOXA1 lead to several abnormalities, including neurological disorders and vascular malformations [97]. A recent study using a yeast two-hybrid system and pull-down experiments reported that GAL-13 binds to HOXA1 in HeLa cells and possibly regulates its function [98]. Interestingly, HOXA1 expression is dysregulated in several types of cancer, such as gastric, prostate, breast and hepatocellular carcinoma, and promotes cancer progression [99,100].
Finally, the association between GAL-13 and the PWP1 (periodic tryptophan protein-1) gene is of particular interest, as indicated by the use of Genemania. This web interface searches for functionally similar genes, helping to generate hypotheses about gene functions [101]. A search using LGALS13 suggests a potential interaction between GAL-13 and PWP1 gene, which encodes a protein found ubiquitously in several tissues, such as the testis, brain, endometrium, placenta, and thyroid. Although we still know very little about the role of this gene in cancer, two studies have shown that PWP1 is upregulated in pancreatic cancer and may promote the progression of lung cancer [102,103].
8. Cautionary Notes
The above findings obtained through our search of the literature, public databases and the use of predictive bioinformatics tools pinpoint several hypothetical mechanisms of action and molecular pathways by which placental galectins could play a role in cancer progression. However, this review’s objective was not to conduct an extensive in silico analysis of the potential pathways through which placental galectins act in cancer progression. There are dozens of databases and algorithms available which were designed to facilitate investigations on the role of a given gene for a particular type of cancer, its prognostic value, its potential functional pathways, and the development of specific drugs. Thus, we leave it to the readers to adapt such in silico analyses for their needs and interest. Nonetheless, it is important to consider the limits of such in silico analyses in all cases. For example, most datasets are derived from high-throughput transcriptomic or proteomic experiments with cancer tissues. The datasets will thus not distinguish expression profiles in cancer cells from those in stromal cells. This will require further validation by various methods, such as immunohistochemistry profiling using antibodies, to confirm whether a specific placental galectin is expressed in cancer cells or a particular subset of stromal cells. It is also important to consider that observations of low expression levels in tissues might hide higher expression levels in a very small subset of cells. A case in point is GAL-7. Most transcriptomic data have shown that its expression level in breast cancer tissues is low. However, we subsequently showed that this protein is highly expressed in mammary basal epithelial cells [15]. Of course, the need for such validation steps generates another critical issue, namely the availability of specific research tools, which is especially important in the case of placental galectins. For instance, the cross-reactivity between anti-galectin antibodies is notorious, as galectins share relatively high primary, secondary, and tertiary structural homology [19]. This is particularly true for placental galectins (Figure 5A).
Figure 5.
Structural and sequence homology between placental galectins. (A) Multiple sequence alignment between GAL-14, GAL-13, and GAL-16. The bottom consensus sequence was defined with a global score similarity threshold of 70%. Overall sequence identity is 68% between GAL-13 and GAL-14, 61% between GAL-14 and GAL-16, and 76% between GAL-13 and GAL-16. All sequences are numbered on top according to the consensus. Strictly conserved residues are highlighted in white font in red boxes. Conservation of residues Asn, Asp, Gln, Glu (#) and Ile, Val (!) are labeled in the consensus. The multiple sequence alignment was performed using Clustal Omega and visualized using ESPript 3.0. (B) Overlay between GAL-13 (purple cartoon) and GAL-16 (green cartoon) CRDs illustrates strong structural similarity (76% sequence identity). Electron density representation highlights surface positions that are conserved (white surface) or distinct (red surface) between both galectins. Since GAL-13 and GAL-16 share strong sequence homology, many residues form similar three-dimensional white surface epitopes that likely explain antibody cross-reactivity.
One also needs to be particularly prudent during investigations on the role of GAL-13 and GAL-16, which share the strongest homology among members of the galectin family (Figure 5B). Thus, unless antibodies have been tested for cross-reactivity between these two galectins, one needs to be very careful about interpreting any immunohistochemistry, western blot or ELISA data. This rings even truer if the antibodies or polyclonal antiserum were generated using the whole protein as an immunogen. Unfortunately, many suppliers do not provide this information in their specification sheets. This high homology among galectins has always been an obstacle to developing highly specific inhibitors or biomarkers. It will thus be important to generate novel and highly specific tools to study the role of human placental galectins in cancer.
9. Conclusions
To our knowledge, this is the first review addressing the potential role of placental galectins in cancer (Figure 6). Given their association with many cancer genes and their ability to modulate several hallmarks of cancer, there is a need to pay closer attention to placental galectins and gain more fundamental knowledge on their involvement in cancer progression.
Figure 6.
Recapitulative summary of the recent findings on placental galectins and potential future directions for further investigations.
Author Contributions
Conceptualization, Y.S.-P. and C.F.; methodology, C.F., A.D., A.P., R.N., S.A., P.G.J.d.B., N.D. and Y.S.-P.; writing, original draft preparation, Y.S.-P. and C.F.; writing, review and editing, Y.S.-P., C.F., A.D., R.N., S.A., P.G.J.d.B., N.D. and D.C.; visualization, Y.S.-P., C.F., A.D., R.N., S.A., A.P., N.D. and P.G.J.d.B.; supervision, Y.S.-P., C.F., N.D. and D.C.; project administration, Y.S.-P.; funding acquisition, N.D., D.C. and Y.S.-P. All authors have read and agreed to the published version of the manuscript.
Funding
This study was supported through funding by the Canadian Institutes of Health Research (CIHR), by the Quantum Leap II program of the Consortium Québécois sur la Découverte du Médicament (CQDM), and by the Natural Sciences and Engineering Research Council of Canada (NSERC) (Discovery Grant RGPIN-2022-04368, to N.D.). N.D. acknowledges support from a Research Scholar Senior Career Award (number 281993) of the Fonds de Recherche Québec-Santé (FRQS). The authors also acknowledge the support from scholarship and fellowship awards from the Fondation Arbour and the Fondation Armand-Frappier.
Conflicts of Interest
The authors declare that they have no known competing financial interest or personal relationships that could have appeared to influence the work reported in this paper.
References
- Barondes, S.H.; Castronovo, V.; Cooper, D.N.; Cummings, R.D.; Drickamer, K.; Feizi, T.; Gitt, M.A.; Hirabayashi, J.; Hughes, C.; Kasai, K. Galectins: A Family of Animal Beta-Galactoside-Binding Lectins. Cell 1994, 76, 597–598. [Google Scholar] [CrossRef] [PubMed]
- Partridge, E.A.; Le Roy, C.; Di Guglielmo, G.M.; Pawling, J.; Cheung, P.; Granovsky, M.; Nabi, I.R.; Wrana, J.L.; Dennis, J.W. Regulation of Cytokine Receptors by Golgi N-Glycan Processing and Endocytosis. Science 2004, 306, 120–124. [Google Scholar] [CrossRef] [PubMed]
- Pinho, S.S.; Reis, C.A. Glycosylation in Cancer: Mechanisms and Clinical Implications. Nat. Rev. Cancer 2015, 15, 540–555. [Google Scholar] [CrossRef]
- Farhadi, S.A.; Hudalla, G.A. Engineering Galectin–Glycan Interactions for Immunotherapy and Immunomodulation. Exp. Biol. Med. 2016, 241, 1074–1083. [Google Scholar] [CrossRef] [PubMed]
- Huang, Y.; Wang, H.-C.; Zhao, J.; Wu, M.-H.; Shih, T.-C. Immunosuppressive Roles of Galectin-1 in the Tumor Microenvironment. Biomolecules 2021, 11, 1398. [Google Scholar] [CrossRef] [PubMed]
- Gordon-Alonso, M.; Bruger, A.M.; van der Bruggen, P. Extracellular Galectins as Controllers of Cytokines in Hematological Cancer. Blood 2018, 132, 484–491. [Google Scholar] [CrossRef] [PubMed]
- Gordon-Alonso, M.; Hirsch, T.; Wildmann, C.; van der Bruggen, P. Galectin-3 Captures Interferon-Gamma in the Tumor Matrix Reducing Chemokine Gradient Production and T-Cell Tumor Infiltration. Nat. Commun. 2017, 8, 793. [Google Scholar] [CrossRef]
- Chou, F.-C.; Chen, H.-Y.; Kuo, C.-C.; Sytwu, H.-K. Role of Galectins in Tumors and in Clinical Immunotherapy. Int. J. Mol. Sci. 2018, 19, 430. [Google Scholar] [CrossRef]
- Curti, B.D.; Koguchi, Y.; Leidner, R.S.; Rolig, A.S.; Sturgill, E.R.; Sun, Z.; Wu, Y.; Rajamanickam, V.; Bernard, B.; Hilgart-Martiszus, I.; et al. Enhancing Clinical and Immunological Effects of Anti-PD-1 with Belapectin, a Galectin-3 Inhibitor. J Immunother. Cancer 2021, 9, e002371. [Google Scholar] [CrossRef]
- Nambiar, D.K.; Aguilera, T.; Cao, H.; Kwok, S.; Kong, C.; Bloomstein, J.; Wang, Z.; Rangan, V.S.; Jiang, D.; von Eyben, R.; et al. Galectin-1–Driven T Cell Exclusion in the Tumor Endothelium Promotes Immunotherapy Resistance. J. Clin. Investig. 2019, 129, 5553–5567. [Google Scholar] [CrossRef]
- Yang, R.; Sun, L.; Li, C.-F.; Wang, Y.-H.; Yao, J.; Li, H.; Yan, M.; Chang, W.-C.; Hsu, J.-M.; Cha, J.-H.; et al. Galectin-9 Interacts with PD-1 and TIM-3 to Regulate T Cell Death and Is a Target for Cancer Immunotherapy. Nat. Commun. 2021, 12, 832. [Google Scholar] [CrossRef] [PubMed]
- Girotti, M.R.; Salatino, M.; Dalotto-Moreno, T.; Rabinovich, G.A. Sweetening the Hallmarks of Cancer: Galectins as Multifunctional Mediators of Tumor Progression. J. Exp. Med. 2019, 217, e20182041. [Google Scholar] [CrossRef] [PubMed]
- Croci, D.O.; Cerliani, J.P.; Dalotto-Moreno, T.; Méndez-Huergo, S.P.; Mascanfroni, I.D.; Dergan-Dylon, S.; Toscano, M.A.; Caramelo, J.J.; García-Vallejo, J.J.; Ouyang, J.; et al. Glycosylation-Dependent Lectin-Receptor Interactions Preserve Angiogenesis in Anti-VEGF Refractory Tumors. Cell 2014, 156, 744–758. [Google Scholar] [CrossRef] [PubMed]
- Chen, Y.-S.; Chang, C.-W.; Tsay, Y.-G.; Huang, L.-Y.; Wu, Y.-C.; Cheng, L.-H.; Yang, C.-C.; Wu, C.-H.; Teo, W.-H.; Hung, K.-F.; et al. HSP40 Co-Chaperone Protein Tid1 Suppresses Metastasis of Head and Neck Cancer by Inhibiting Galectin-7-TCF3-MMP9 Axis Signaling. Theranostics 2018, 8, 3841–3855. [Google Scholar] [CrossRef] [PubMed]
- Demers, M.; Rose, A.A.N.; Grosset, A.-A.; Biron-Pain, K.; Gaboury, L.; Siegel, P.M.; St-Pierre, Y. Overexpression of Galectin-7, A Myoepithelial Cell Marker, Enhances Spontaneous Metastasis of Breast Cancer Cells. Am. J. Pathol. 2010, 176, 3023–3031. [Google Scholar] [CrossRef]
- Kandel, S.; Adhikary, P.; Li, G.; Cheng, K. The TIM3/Gal9 Signaling Pathway: An Emerging Target for Cancer Immunotherapy. Cancer Lett. 2021, 510, 67–78. [Google Scholar] [CrossRef]
- Li, C.-H.; Chang, Y.-C.; Chan, M.-H.; Yang, Y.-F.; Liang, S.-M.; Hsiao, M. Galectins in Cancer and the Microenvironment: Functional Roles, Therapeutic Developments, and Perspectives. Biomedicines 2021, 9, 1159. [Google Scholar] [CrossRef]
- Vladoiu, M.C.; Labrie, M.; St-Pierre, Y. Intracellular Galectins in Cancer Cells: Potential New Targets for Therapy (Review). Int. J. Oncol. 2014, 44, 1001–1014. [Google Scholar] [CrossRef]
- Cummings, R.D.; Liu, F.-T.; Rabinovich, G.A.; Stowell, S.R.; Vasta, G.R. Galectins; Cold Spring Harbor Laboratory Press: Woodbury, NY, USA, 2022; ISBN 978-1-62182-421-3. [Google Scholar]
- Leonidas, D.D.; Elbert, B.L.; Zhou, Z.; Leffler, H.; Ackerman, S.J.; Acharya, K.R. Crystal Structure of Human Charcot-Leyden Crystal Protein, an Eosinophil Lysophospholipase, Identifies It as a New Member of the Carbohydrate-Binding Family of Galectins. Structure 1995, 3, 1379–1393. [Google Scholar] [CrossRef]
- Si, Y.; Yao, Y.; Jaramillo Ayala, G.; Li, X.; Han, Q.; Zhang, W.; Xu, X.; Tai, G.; Mayo, K.H.; Zhou, Y.; et al. Human Galectin-16 Has a Pseudo Ligand Binding Site and Plays a Role in Regulating c-Rel-Mediated Lymphocyte Activity. Biochim. Biophys. Acta Gen. Subj. 2021, 1865, 129755. [Google Scholar] [CrossRef]
- Grozdanovic, M.M.; Doyle, C.B.; Liu, L.; Maybruck, B.T.; Kwatia, M.A.; Thiyagarajan, N.; Acharya, K.R.; Ackerman, S.J. Charcot-Leyden Crystal Protein/Galectin-10 Interacts with Cationic Ribonucleases and Is Required for Eosinophil Granulogenesis. J. Allergy Clin. Immunol. 2020, 146, 377–389.e10. [Google Scholar] [CrossRef] [PubMed]
- Hunter, J.E.; Leslie, J.; Perkins, N.D. C-Rel and Its Many Roles in Cancer: An Old Story with New Twists. Br. J. Cancer 2016, 114, 1–6. [Google Scholar] [CrossRef] [PubMed]
- Wells, V.; Mallucci, L. Identification of an Autocrine Negative Growth Factor: Mouse Beta-Galactoside-Binding Protein Is a Cytostatic Factor and Cell Growth Regulator. Cell 1991, 64, 91–97. [Google Scholar] [CrossRef] [PubMed]
- Elantak, L.; Espeli, M.; Boned, A.; Bornet, O.; Bonzi, J.; Gauthier, L.; Feracci, M.; Roche, P.; Guerlesquin, F.; Schiff, C. Structural Basis for Galectin-1-Dependent Pre-B Cell Receptor (Pre-BCR) Activation. J. Biol. Chem. 2012, 287, 44703–44713. [Google Scholar] [CrossRef]
- Villeneuve, C.; Baricault, L.; Canelle, L.; Barboule, N.; Racca, C.; Monsarrat, B.; Magnaldo, T.; Larminat, F. Mitochondrial Proteomic Approach Reveals Galectin-7 as a Novel BCL-2 Binding Protein in Human Cells. Mol. Biol. Cell 2011, 22, 999–1013. [Google Scholar] [CrossRef]
- Advedissian, T.; Proux-Gillardeaux, V.; Nkosi, R.; Peyret, G.; Nguyen, T.; Poirier, F.; Viguier, M.; Deshayes, F. E-Cadherin Dynamics Is Regulated by Galectin-7 at Epithelial Cell Surface. Sci. Rep. 2017, 7, 17086. [Google Scholar] [CrossRef]
- Than, N.G.; Romero, R.; Goodman, M.; Weckle, A.; Xing, J.; Dong, Z.; Xu, Y.; Tarquini, F.; Szilagyi, A.; Gal, P.; et al. A Primate Subfamily of Galectins Expressed at the Maternal-Fetal Interface That Promote Immune Cell Death. Proc. Natl. Acad. Sci. USA 2009, 106, 9731–9736. [Google Scholar] [CrossRef] [PubMed]
- Su, J.; Wang, Y.; Si, Y.; Gao, J.; Song, C.; Cui, L.; Wu, R.; Tai, G.; Zhou, Y. Galectin-13, a Different Prototype Galectin, Does Not Bind β-Galacto-Sides and Forms Dimers via Intermolecular Disulfide Bridges between Cys-136 and Cys-138. Sci. Rep. 2018, 8, 980. [Google Scholar] [CrossRef]
- Si, Y.; Li, Y.; Yang, T.; Li, X.; Ayala, G.J.; Mayo, K.H.; Tai, G.; Su, J.; Zhou, Y. Structure-Function Studies of Galectin-14, an Important Effector Molecule in Embryology. FEBS J. 2021, 288, 1041–1055. [Google Scholar] [CrossRef]
- Szabolcsi, Z.; Demeter, A.; Kiraly, P.; Balogh, A.; Wilson, M.L.; King, J.R.; Hetey, S.; Gelencser, Z.; Matsuo, K.; Hargitai, B.; et al. Epigenetic Dysregulation of Trophoblastic Gene Expression in Gestational Trophoblastic Disease. Biomedicines 2021, 9, 1935. [Google Scholar] [CrossRef]
- Than, N.G.; Romero, R.; Xu, Y.; Erez, O.; Xu, Z.; Bhatti, G.; Leavitt, R.; Chung, T.H.; El-Azzamy, H.; LaJeunesse, C.; et al. Evolutionary Origins of the Placental Expression of Chromosome 19 Cluster Galectins and Their Complex Dysregulation in Preeclampsia. Placenta 2014, 35, 855–865. [Google Scholar] [CrossRef] [PubMed]
- Than, N.G.; Balogh, A.; Romero, R.; Kárpáti, E.; Erez, O.; Szilágyi, A.; Kovalszky, I.; Sammar, M.; Gizurarson, S.; Matkó, J.; et al. Placental Protein 13 (PP13)—A Placental Immunoregulatory Galectin Protecting Pregnancy. Front. Immunol. 2014, 5, 348. [Google Scholar] [CrossRef] [PubMed]
- Balogh, A.; Toth, E.; Romero, R.; Parej, K.; Csala, D.; Szenasi, N.L.; Hajdu, I.; Juhasz, K.; Kovacs, A.F.; Meiri, H.; et al. Placental Galectins Are Key Players in Regulating the Maternal Adaptive Immune Response. Front. Immunol. 2019, 10, 1240. [Google Scholar] [CrossRef]
- Menkhorst, E.; Than, N.G.; Jeschke, U.; Barrientos, G.; Szereday, L.; Dveksler, G.; Blois, S.M. Medawar’s PostEra: Galectins Emerged as Key Players During Fetal-Maternal Glycoimmune Adaptation. Front. Immunol. 2021, 12, 784473. [Google Scholar] [CrossRef]
- Ferretti, C.; Bruni, L.; Dangles-Marie, V.; Pecking, A.P.; Bellet, D. Molecular Circuits Shared by Placental and Cancer Cells, and Their Implications in the Proliferative, Invasive and Migratory Capacities of Trophoblasts. Hum. Reprod. Update 2007, 13, 121–141. [Google Scholar] [CrossRef]
- Holtan, S.G.; Creedon, D.J.; Haluska, P.; Markovic, S.N. Cancer and Pregnancy: Parallels in Growth, Invasion, and Immune Modulation and Implications for Cancer Therapeutic Agents. Mayo Clin. Proc. 2009, 84, 985–1000. [Google Scholar] [CrossRef]
- Lala, P.K.; Nandi, P.; Hadi, A.; Halari, C. A Crossroad between Placental and Tumor Biology: What Have We Learnt? Placenta 2021, 116, 12–30. [Google Scholar] [CrossRef]
- Mor, G.; Aldo, P.; Alvero, A.B. The Unique Immunological and Microbial Aspects of Pregnancy. Nat. Rev. Immunol. 2017, 17, 469–482. [Google Scholar] [CrossRef]
- Hanahan, D.; Weinberg, R.A. Hallmarks of Cancer: The next Generation. Cell 2011, 144, 646–674. [Google Scholar] [CrossRef]
- St-Pierre, Y. Towards a Better Understanding of the Relationships between Galectin-7, P53 and MMP-9 during Cancer Progression. Biomolecules 2021, 11, 879. [Google Scholar] [CrossRef]
- Vokalova, L.; Balogh, A.; Toth, E.; Van Breda, S.V.; Schäfer, G.; Hoesli, I.; Lapaire, O.; Hahn, S.; Than, N.G.; Rossi, S.W. Placental Protein 13 (Galectin-13) Polarizes Neutrophils Toward an Immune Regulatory Phenotype. Front. Immunol. 2020, 11. [Google Scholar] [CrossRef]
- Wang, M.; Xu, Y.; Wang, P.; Xu, Y.; Jin, P.; Wu, Z.; Qian, Y.; Bai, L.; Dong, M. Galectin-14 Promotes Trophoblast Migration and Invasion by Upregulating the Expression of MMP-9 and N-Cadherin. Front. Cell Dev. Biol. 2021, 9, 645658. [Google Scholar] [CrossRef]
- Blois, S.M.; Barrientos, G. Galectin Signature in Normal Pregnancy and Preeclampsia. J. Reprod. Immunol. 2014, 101–102, 127–134. [Google Scholar] [CrossRef]
- Folkman, J. Tumor Angiogenesis: Therapeutic Implications. N. Engl. J. Med. 1971, 285, 1182–1186. [Google Scholar] [CrossRef] [PubMed]
- Funasaka, T.; Raz, A.; Nangia-Makker, P. Galectin-3 in Angiogenesis and Metastasis. Glycobiology 2014, 24, 886–891. [Google Scholar] [CrossRef] [PubMed]
- Griffioen, A.W.; Thijssen, V.L. Galectins in Tumor Angiogenesis. Ann. Transl. Med. 2014, 2, 90. [Google Scholar] [CrossRef] [PubMed]
- Liu, F.-T.; Rabinovich, G.A. Galectins as Modulators of Tumour Progression. Nat. Rev. Cancer 2005, 5, 29–41. [Google Scholar] [CrossRef]
- Ribatti, D. Judah Folkman, a Pioneer in the Study of Angiogenesis. Angiogenesis 2008, 11, 3–10. [Google Scholar] [CrossRef]
- Thijssen, V.L. Galectins in Endothelial Cell Biology and Angiogenesis: The Basics. Biomolecules 2021, 11, 1386. [Google Scholar] [CrossRef]
- Baluk, P.; Hashizume, H.; McDonald, D.M. Cellular Abnormalities of Blood Vessels as Targets in Cancer. Curr. Opin. Genet. Dev. 2005, 15, 102–111. [Google Scholar] [CrossRef]
- Ziyad, S.; Iruela-Arispe, M.L. Molecular Mechanisms of Tumor Angiogenesis. Genes Cancer 2011, 2, 1085–1096. [Google Scholar] [CrossRef] [PubMed]
- An, J.; Nagaki, Y.; Motoyama, S.; Kuze, Y.; Hoshizaki, M.; Kemuriyama, K.; Yamaguchi, T.; Ebihara, T.; Minamiya, Y.; Suzuki, Y.; et al. Identification of Galectin-7 as a Crucial Metastatic Enhancer of Squamous Cell Carcinoma Associated with Immunosuppression. Oncogene 2022. [Google Scholar] [CrossRef] [PubMed]
- Than, N.G.; Sumegi, B.; Than, G.N.; Berente, Z.; Bohn, H. Isolation and Sequence Analysis of a CDNA Encoding Human Placental Tissue Protein 13 (PP13), a New Lysophospholipase, Homologue of Human Eosinophil Charcot-Leyden Crystal Protein. Placenta 1999, 20, 703–710. [Google Scholar] [CrossRef] [PubMed]
- de Araujo, L.O.F.; St-Pierre, Y. Galectin-14 Expression in Ovarian Cancer. bioRxiv 2019, 717793. [Google Scholar]
- Kaminker, J.D.; Timoshenko, A.V. Expression, Regulation, and Functions of the Galectin-16 Gene in Human Cells and Tissues. Biomolecules 2021, 11, 1909. [Google Scholar] [CrossRef] [PubMed]
- Duffy, Á.; Verbanck, M.; Dobbyn, A.; Won, H.-H.; Rein, J.L.; Forrest, I.S.; Nadkarni, G.; Rocheleau, G.; Do, R. Tissue-Specific Genetic Features Inform Prediction of Drug Side Effects in Clinical Trials. Sci. Adv. 2020, 6, eabb6242. [Google Scholar] [CrossRef]
- Califice, S.; Castronovo, V.; Bracke, M.; van den Brûle, F. Dual Activities of Galectin-3 in Human Prostate Cancer: Tumor Suppression of Nuclear Galectin-3 vs Tumor Promotion of Cytoplasmic Galectin-3. Oncogene 2004, 23, 7527–7536. [Google Scholar] [CrossRef]
- Grosset, A.-A.; Labrie, M.; Vladoiu, M.C.; Yousef, E.M.; Gaboury, L.; St-Pierre, Y. Galectin Signatuares Contribute to the Heterogeneity of Breast Cancer and Provide New Prognostic Information and Therapeutic Targets. Oncotarget 2016, 7, 18183–18203. [Google Scholar] [CrossRef]
- Satelli, A.; Rao, P.S.; Thirumala, S.; Rao, U.S. Galectin-4 Functions as a Tumor Suppressor of Human Colorectal Cancer. Int. J. Cancer 2011, 129, 799–809. [Google Scholar] [CrossRef]
- Ueda, S.; Kuwabara, I.; Liu, F.-T. Suppression of Tumor Growth by Galectin-7 Gene Transfer. Cancer Res. 2004, 64, 5672–5676. [Google Scholar] [CrossRef]
- Nagy, Á.; Munkácsy, G.; Győrffy, B. Pancancer Survival Analysis of Cancer Hallmark Genes. Sci. Rep. 2021, 11, 6047. [Google Scholar] [CrossRef] [PubMed]
- Bozic, I.; Antal, T.; Ohtsuki, H.; Carter, H.; Kim, D.; Chen, S.; Karchin, R.; Kinzler, K.W.; Vogelstein, B.; Nowak, M.A. Accumulation of Driver and Passenger Mutations during Tumor Progression. Proc. Natl. Acad. Sci. USA 2010, 107, 18545–18550. [Google Scholar] [CrossRef] [PubMed]
- Magnaldo, T.; Fowlis, D.; Darmon, M. Galectin-7, a Marker of All Types of Stratified Epithelia. Differentiation 1998, 63, 159–168. [Google Scholar] [CrossRef]
- Magnaldo, T.; Bernerd, F.; Darmon, M. Galectin-7, a Human 14-KDa S-Lectin, Specifically Expressed in Keratinocytes and Sensitive to Retinoic Acid. Dev. Biol. 1995, 168, 259–271. [Google Scholar] [CrossRef] [PubMed]
- Moisan, S.; Demers, M.; Mercier, J.; Magnaldo, T.; Potworowski, E.F.; St-Pierre, Y. Upregulation of Galectin-7 in Murine Lymphoma Cells Is Associated with Progression toward an Aggressive Phenotype. Leukemia 2003, 17, 751–759. [Google Scholar] [CrossRef]
- Demers, M.; Biron-Pain, K.; Hébert, J.; Lamarre, A.; Magnaldo, T.; St-Pierre, Y. Galectin-7 in Lymphoma: Elevated Expression in Human Lymphoid Malignancies and Decreased Lymphoma Dissemination by Antisense Strategies in Experimental Model. Cancer Res. 2007, 67, 2824–2829. [Google Scholar] [CrossRef]
- Demers, M.; Magnaldo, T.; St-Pierre, Y. A Novel Function for Galectin-7: Promoting Tumorigenesis by Up-Regulating MMP-9 Gene Expression. Cancer Res. 2005, 65, 5205–5210. [Google Scholar] [CrossRef]
- Demers, M.; Couillard, J.; Giglia-Mari, G.; Magnaldo, T.; St-Pierre, Y. Increased Galectin-7 Gene Expression in Lymphoma Cells Is under the Control of DNA Methylation. Biochem. Biophys. Res. Commun. 2009, 387, 425–429. [Google Scholar] [CrossRef]
- Kim, S.-J.; Hwang, J.-A.; Ro, J.Y.; Lee, Y.-S.; Chun, K.-H. Galectin-7 Is Epigenetically-Regulated Tumor Suppressor in Gastric Cancer. Oncotarget 2013, 4, 1461–1471. [Google Scholar] [CrossRef]
- Campion, C.G.; Labrie, M.; Grosset, A.-A.; St-Pierre, Y. The CCAAT/Enhancer-Binding Protein Beta-2 Isoform (CEBPβ-2) Upregulates Galectin-7 Expression in Human Breast Cancer Cells. PLoS ONE 2014, 9, e95087. [Google Scholar] [CrossRef]
- Campion, C.G.; Labrie, M.; Lavoie, G.; St-Pierre, Y. Expression of Galectin-7 Is Induced in Breast Cancer Cells by Mutant P53. PLoS ONE 2013, 8, e72468. [Google Scholar] [CrossRef] [PubMed]
- Dall’Olio, F.; Trinchera, M. Epigenetic Bases of Aberrant Glycosylation in Cancer. Int. J. Mol. Sci. 2017, 18, 998. [Google Scholar] [CrossRef] [PubMed]
- Katzenmaier, E.-M.; Kloor, M.; Gabius, H.-J.; Gebert, J.; Kopitz, J. Analyzing Epigenetic Control of Galectin Expression Indicates Silencing of Galectin-12 by Promoter Methylation in Colorectal Cancer. IUBMB Life 2017, 69, 962–970. [Google Scholar] [CrossRef] [PubMed]
- Benvenuto, G.; Carpentieri, M.L.; Salvatore, P.; Cindolo, L.; Bruni, C.B.; Chiariotti, L. Cell-Specific Transcriptional Regulation and Reactivation of Galectin-1 Gene Expression Are Controlled by DNA Methylation of the Promoter Region. Mol. Cell. Biol. 1996, 16, 2736–2743. [Google Scholar] [CrossRef]
- Salvatore, P.; Benvenuto, G.; Caporaso, M.; Bruni, C.B.; Chiariotti, L. High Resolution Methylation Analysis of the Galectin-1 Gene Promoter Region in Expressing and Nonexpressing Tissues. FEBS Lett. 1998, 421, 152–158. [Google Scholar] [CrossRef]
- Timp, W.; Feinberg, A.P. Cancer as a Dysregulated Epigenome Allowing Cellular Growth Advantage at the Expense of the Host. Nat. Rev. Cancer 2013, 13, 497–510. [Google Scholar] [CrossRef] [PubMed]
- Roberts, R.M.; Ezashi, T.; Schulz, L.C.; Sugimoto, J.; Schust, D.J.; Khan, T.; Zhou, J. Syncytins Expressed in Human Placental Trophoblast. Placenta 2021, 113, 8–14. [Google Scholar] [CrossRef] [PubMed]
- Huang, Q.; Chen, H.; Li, J.; Oliver, M.; Ma, X.; Byck, D.; Gao, Y.; Jiang, S.-W. Epigenetic and Non-Epigenetic Regulation of Syncytin-1 Expression in Human Placenta and Cancer Tissues. Cell. Signal. 2014, 26, 648–656. [Google Scholar] [CrossRef]
- Liu, C.; Xu, J.; Wen, F.; Yang, F.; Li, X.; Geng, D.; Li, L.; Chen, J.; Zheng, J. Upregulation of Syncytin-1 Promotes Invasion and Metastasis by Activating Epithelial-Mesenchymal Transition-Related Pathway in Endometrial Carcinoma. Onco. Targets Ther. 2018, 12, 31–40. [Google Scholar] [CrossRef]
- Benešová, M.; Trejbalová, K.; Kovářová, D.; Vernerová, Z.; Hron, T.; Kučerová, D.; Hejnar, J. DNA Hypomethylation and Aberrant Expression of the Human Endogenous Retrovirus ERVWE1/Syncytin-1 in Seminomas. Retrovirology 2017, 14, 20. [Google Scholar] [CrossRef]
- Díaz-Carballo, D.; Acikelli, A.H.; Klein, J.; Jastrow, H.; Dammann, P.; Wyganowski, T.; Guemues, C.; Gustmann, S.; Bardenheuer, W.; Malak, S.; et al. Therapeutic Potential of Antiviral Drugs Targeting Chemorefractory Colorectal Adenocarcinoma Cells Overexpressing Endogenous Retroviral Elements. J. Exp. Clin. Cancer Res. 2015, 34, 81. [Google Scholar] [CrossRef] [PubMed]
- Rasoulzadeh, Z.; Ghods, R.; Kazemi, T.; Mirzadegan, E.; Ghaffari-Tabrizi-Wizsy, N.; Rezania, S.; Kazemnejad, S.; Arefi, S.; Ghasemi, J.; Vafaei, S.; et al. Placental Kisspeptins Differentially Modulate Vital Parameters of Estrogen Receptor-Positive and -Negative Breast Cancer Cells. PLoS ONE 2016, 11, e0153684. [Google Scholar] [CrossRef] [PubMed]
- Ogawa, S.; Parhar, I.S. Biological Significance of Kisspeptin–Kiss 1 Receptor Signaling in the Habenula of Teleost Species. Front. Endocrinol. 2018, 9, 222. [Google Scholar] [CrossRef] [PubMed]
- Lee, J.H.; Miele, M.E.; Hicks, D.J.; Phillips, K.K.; Trent, J.M.; Weissman, B.E.; Welch, D.R. KiSS-1, a Novel Human Malignant Melanoma Metastasis-Suppressor Gene. J. Natl. Cancer Inst. 1996, 88, 1731–1737. [Google Scholar] [CrossRef]
- Kim, T.-H.; Yoon, J.H.; Cho, S.-G. Kisspeptin Promotes Glioblastoma Cell Invasiveness Via the Gq-PLC-PKC Pathway. Anticancer. Res. 2020, 40, 213–220. [Google Scholar] [CrossRef] [PubMed]
- Takino, T.; Koshikawa, N.; Miyamori, H.; Tanaka, M.; Sasaki, T.; Okada, Y.; Seiki, M.; Sato, H. Cleavage of Metastasis Suppressor Gene Product KiSS-1 Protein/Metastin by Matrix Metalloproteinases. Oncogene 2003, 22, 4617–4626. [Google Scholar] [CrossRef] [PubMed]
- Torisu, Y.; Watanabe, A.; Nonaka, A.; Midorikawa, Y.; Makuuchi, M.; Shimamura, T.; Sugimura, H.; Niida, A.; Akiyama, T.; Iwanari, H.; et al. Human Homolog of NOTUM, Overexpressed in Hepatocellular Carcinoma, Is Regulated Transcriptionally by β-Catenin/TCF. Cancer Sci. 2008, 99, 1139–1146. [Google Scholar] [CrossRef] [PubMed]
- Zhang, Y.; Zhang, T.; Yin, Q.; Luo, H. Development and Validation of Genomic and Epigenomic Signatures Associated with Tumor Immune Microenvironment in Hepatoblastoma. BMC Cancer 2021, 21, 1156. [Google Scholar] [CrossRef] [PubMed]
- Gong, H.; Niu, Q.; Zhou, Y.; Wang, Y.-X.; Xu, X.-F.; Hou, K.-Z. Notum Palmitoleoyl-Protein Carboxylesterase Regulates Fas Cell Surface Death Receptor-Mediated Apoptosis via the Wnt Signaling Pathway in Colon Adenocarcinoma. Bioengineered 2021, 12, 5241–5252. [Google Scholar] [CrossRef]
- Yoon, J.H.; Kim, D.; Kim, J.; Lee, H.; Ghim, J.; Kang, B.J.; Song, P.; Suh, P.-G.; Ryu, S.H.; Lee, T.G. NOTUM Is Involved in the Progression of Colorectal Cancer. Cancer Genom. Proteom. 2018, 15, 485–497. [Google Scholar] [CrossRef]
- Thornton, J.E.; Gregory, R.I. How Does Lin28 Let-7 Control Development and Disease? Trends Cell Biol. 2012, 22, 474–482. [Google Scholar] [CrossRef] [PubMed]
- Franses, J.W.; Philipp, J.; Missios, P.; Bhan, I.; Liu, A.; Yashaswini, C.; Tai, E.; Zhu, H.; Ligorio, M.; Nicholson, B.; et al. Pancreatic Circulating Tumor Cell Profiling Identifies LIN28B as a Metastasis Driver and Drug Target. Nat. Commun. 2020, 11, 3303. [Google Scholar] [CrossRef] [PubMed]
- Guo, W.; Hu, Z.; Bao, Y.; Li, Y.; Li, S.; Zheng, Q.; Lyu, D.; Chen, D.; Yu, T.; Li, Y.; et al. A LIN28B Tumor-Specific Transcript in Cancer. Cell Rep. 2018, 22, 2016–2025. [Google Scholar] [CrossRef] [PubMed]
- Lovnicki, J.; Gan, Y.; Feng, T.; Li, Y.; Xie, N.; Ho, C.-H.; Lee, A.R.; Chen, X.; Nappi, L.; Han, B.; et al. LIN28B Promotes the Development of Neuroendocrine Prostate Cancer. J. Clin. Investig. 2020, 130, 5338–5348. [Google Scholar] [CrossRef]
- Wang, T.; Wang, G.; Hao, D.; Liu, X.; Wang, D.; Ning, N.; Li, X. Aberrant Regulation of the LIN28A/LIN28B and Let-7 Loop in Human Malignant Tumors and Its Effects on the Hallmarks of Cancer. Mol. Cancer 2015, 14, 125. [Google Scholar] [CrossRef]
- Tischfield, M.A.; Bosley, T.M.; Salih, M.A.M.; Alorainy, I.A.; Sener, E.C.; Nester, M.J.; Oystreck, D.T.; Chan, W.-M.; Andrews, C.; Erickson, R.P.; et al. Homozygous HOXA1 Mutations Disrupt Human Brainstem, Inner Ear, Cardiovascular and Cognitive Development. Nat. Genet. 2005, 37, 1035–1037. [Google Scholar] [CrossRef]
- Yang, T.; Yao, Y.; Wang, X.; Li, Y.; Si, Y.; Li, X.; Ayala, G.J.; Wang, Y.; Mayo, K.H.; Tai, G.; et al. Galectin-13/Placental Protein 13: Redox-Active Disulfides as Switches for Regulating Structure, Function and Cellular Distribution. Glycobiology 2020, 30, 120–129. [Google Scholar] [CrossRef]
- Liu, J.; Liu, J.; Lu, X. HOXA1 Upregulation Is Associated with Poor Prognosis and Tumor Progression in Breast Cancer. Exp. Ther. Med. 2019, 17, 1896–1902. [Google Scholar] [CrossRef]
- Zha, T.-Z.; Hu, B.-S.; Yu, H.-F.; Tan, Y.-F.; Zhang, Y.; Zhang, K. Overexpression of HOXA1 Correlates with Poor Prognosis in Patients with Hepatocellular Carcinoma. Tumor Biol. 2012, 33, 2125–2134. [Google Scholar] [CrossRef]
- Warde-Farley, D.; Donaldson, S.L.; Comes, O.; Zuberi, K.; Badrawi, R.; Chao, P.; Franz, M.; Grouios, C.; Kazi, F.; Lopes, C.T.; et al. The GeneMANIA Prediction Server: Biological Network Integration for Gene Prioritization and Predicting Gene Function. Nucleic Acids Res. 2010, 38, W214–W220. [Google Scholar] [CrossRef]
- Honoré, B.; Baandrup, U.; Nielsen, S.; Vorum, H. Endonuclein Is a Cell Cycle Regulated WD-Repeat Protein That Is up-Regulated in Adenocarcinoma of the Pancreas. Oncogene 2002, 21, 1123–1129. [Google Scholar] [CrossRef] [PubMed]
- Wei, L.; Li, P.; Luo, Y.; Zhang, M.; Yan, T.; Yang, Y.; Han, Y.; Liu, S.; Wang, E. PWP1 Promotes the Malignant Phenotypes of Lung Cancer Cells by Interacting with DVL2 and Merlin. Onco. Targets Ther. 2020, 13, 10025–10037. [Google Scholar] [CrossRef] [PubMed]
Disclaimer/Publisher’s Note: The statements, opinions and data contained in all publications are solely those of the individual author(s) and contributor(s) and not of MDPI and/or the editor(s). MDPI and/or the editor(s) disclaim responsibility for any injury to people or property resulting from any ideas, methods, instructions or products referred to in the content. |
© 2023 by the authors. Licensee MDPI, Basel, Switzerland. This article is an open access article distributed under the terms and conditions of the Creative Commons Attribution (CC BY) license (https://creativecommons.org/licenses/by/4.0/).





