Oxidative Stress and Inflammation Biomarkers in Postoperative Pain Modulation in Surgically Treated Patients with Laryngeal Cancer—Pilot Study
Abstract
1. Introduction
2. Materials and Methods
2.1. Patient Selection
2.2. Pain Assessment
2.3. Postoperative Analgesia
2.4. Measurement of the Oxidative Stress and Inflammatory Parameters
2.5. Statistical Analysis
3. Results
3.1. Patients’ Characteristics
3.2. Pain Intensity and Postoperative Analgesia
3.3. Parameters of Oxidative Stress
3.4. Inflammation Parameters
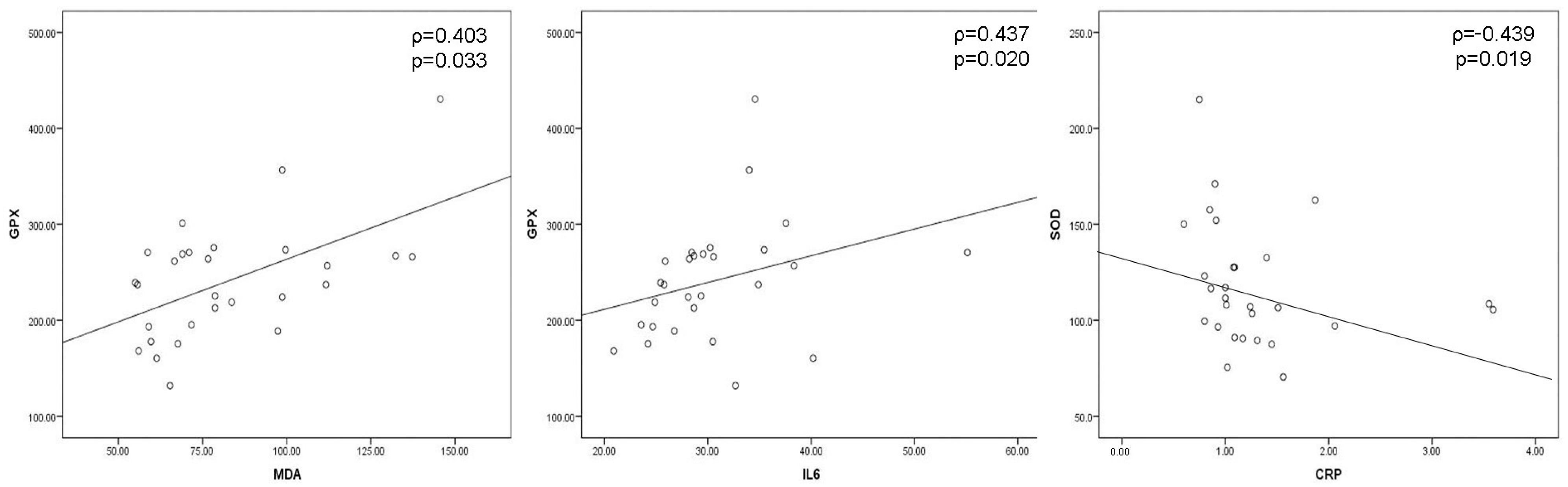
3.5. The Correlation between Pain Intensity and Oxidative Stress and Inflammation Parameters
3.6. Factors Influencing the Level of Oxidative Stress
4. Discussion
5. Conclusions
Author Contributions
Funding
Institutional Review Board Statement
Informed Consent Statement
Data Availability Statement
Acknowledgments
Conflicts of Interest
References
- Nocini, R.; Molteni, G.; Mattiuzzi, C.; Lippi, G. Updates on larynx cancer epidemiology. Chin. J. Cancer Res. 2020, 32, 18–25. [Google Scholar] [CrossRef] [PubMed]
- Jones, T.M.; De, M.; Foran, B.; Harrington, K.; Mortimore, S. Laryngeal cancer: United Kingdom National Multidisciplinary guidelines. J. Laryngol. Otol. 2016, 130 (Suppl. S2), 75–82. [Google Scholar] [CrossRef] [PubMed]
- Talmi, Y.P.; Horowitz, Z.; Pfeffer, M.R.; Stolik-Dollberg, O.C.; Shoshani, Y.; Peleg, M.; Kronenberg, J. Pain in the neck after neck dissection. Otolaryngol. Head Neck Surg. 2000, 123, 302–306. [Google Scholar] [CrossRef]
- Hinther, A.; Nakoneshny, S.C.; Chandarana, S.P.; Wayne Matthews, T.; Dort, J.C. Efficacy of postoperative pain management in head and neck cancer patients. J. Otolaryngol. Head Neck Surg. 2018, 47, 29. [Google Scholar] [CrossRef] [PubMed]
- Purdy, M.; Kärkkäinen, J.; Kokki, M.; Anttila, M.; Aspinen, S.; Juvonen, P.; Kokki, H.; Pulkki, K.; Rantanen, T.; Eskelinen, M. Does rectus sheath block analgesia alter levels of the oxidative stress biomarker glutathione peroxidase: A randomised trial of patients with cancer and benign disease. Anticancer Res. 2017, 37, 897–902. [Google Scholar] [CrossRef]
- Pizzino, G.; Irrera, N.; Cucinotta, M.; Pallio, G.; Mannino, F.; Arcoraci, V.; Squadrito, F.; Altavilla, D.; Bitto, A. Oxidative Stress: Harms and Benefits for Human Health. Oxid. Med. Cell. Longev. 2017, 2017, 8416763. [Google Scholar] [CrossRef]
- Sies, H.; Berndt, C.; Jones, D.P. Oxidative Stress. Annu. Rev. Biochem. 2017, 86, 715–748. [Google Scholar] [CrossRef]
- Kärkkäinen, J.; Selander, T.; Purdy, M.; Juvonen, P.; Eskelinen, M. Patients with Increased Levels of the Oxidative Stress Biomarker SOD1 Appear to Have Diminished Postoperative Pain After Midline Laparotomy: A Randomised Trial with Special Reference to Postoperative Pain Score (NRS). Anticancer Res. 2018, 38, 1003–1008. [Google Scholar]
- Liu, Q.; Xu, K. Evaluation of some cellular biomarker proteins, oxidative stress and clinical indices as results of laparoscopic appendectomy for perforated appendicitis in children. Cell. Mol. Biol. 2020, 66, 197–203. [Google Scholar] [CrossRef]
- Toro-Pérez, J.; Rodrigo, R. Contribution of oxidative stress in the mechanisms of postoperative complications and multiple organ dysfunction syndrome. Redox Rep. 2021, 26, 35–44. [Google Scholar] [CrossRef]
- Salzman, R.; Kanková, K.; Pácal, L.; Tomandl, J.; Horáková, Z.; Kostrica, R. Increased activity of superoxide dismutase in advanced stages of head and neck squamous cell carcinoma with locoregional metastases. Neoplasma 2007, 54, 321–325. [Google Scholar] [PubMed]
- Inanir, A.; Sogut, E.; Ayat, M.; Inanir, S. Evaluation of Pain Intensity and Oxidative Stress Levels in Patients with Inflammatory and Non-Inflammatory Back Pain. Eur. J. Gen. Med. 2013, 10, 185–190. [Google Scholar] [CrossRef]
- Wang, Z.Q.; Porreca, F.; Cuzzocrea, S.; Galen, K.; Lightfoot, R.; Masini, E.; Muscoli, C.; Mollace, V.; Ndengele, M.; Ischiropoulos, H.; et al. A newly identified role for superoxide in inflammatory pain. J. Pharmacol. Exp. Ther. 2004, 309, 869–878. [Google Scholar] [CrossRef] [PubMed]
- Niklander, S.E.; Murdoch, C.; Hunter, K.D. IL-1/IL-1R Signaling in Head and Neck Cancer. Front. Oral Health 2021, 2, 722676. [Google Scholar] [CrossRef] [PubMed]
- Uz, U.; Eskiizmir, G. Association Between Interleukin-6 and Head and Neck Squamous Cell Carcinoma: A Systematic Review. Clin. Exp. Otorhinolaryngol. 2021, 14, 50–60. [Google Scholar] [CrossRef]
- Rettig, T.C.; Verwijmeren, L.; Dijkstra, I.M.; Boerma, D.; van de Garde, E.M.; Noordzij, P.G. Postoperative Interleukin-6 Level and Early Detection of Complications After Elective Major Abdominal Surgery. Ann. Surg. 2016, 263, 1207–1212. [Google Scholar] [CrossRef] [PubMed]
- Si, H.B.; Yang, T.M.; Zeng, Y.; Zhou, Z.K.; Pei, F.X.; Lu, Y.R.; Cheng, J.Q.; Shen, B. Correlations between inflammatory cytokines, muscle damage markers and acute postoperative pain following primary total knee arthroplasty. BMC Musculoskelet. Disord. 2017, 18, 265. [Google Scholar] [CrossRef] [PubMed]
- Vanderwall, A.G.; Milligan, E.D. Cytokines in Pain: Harnessing Endogenous Anti-Inflammatory Signaling for Improved Pain Management. Front. Immunol. 2019, 10, 3009. [Google Scholar] [CrossRef]
- Astradsson, T.; Sellberg, F.; Berglund, D.; Ehrsson, Y.T.; Laurell, G.F.E. Systemic Inflammatory Reaction in Patients with Head and Neck Cancer-An Explorative Study. Front. Oncol. 2019, 59, 1177. [Google Scholar] [CrossRef]
- Ying-Yi, L.; Yong-Ming, Y. The Clinical Significance and Potential Role of C-Reactive Protein in Chronic Inflammatory and Neurodegenerative Diseases. Front. Immunol. 2018, 9, 1302. [Google Scholar]
- Breivik, H.; Borchgrevink, P.C.; Allen, S.M.; Romundstad, L.; Breivik Hals, E.K.; Kvarstein, G.; Stubhaug, A. Assessment of pain. Br. J. Anaesth. 2008, 101, 17–24. [Google Scholar] [CrossRef] [PubMed]
- Delgado, D.A.; Lambert, B.S.; Boutris, N.; McCulloch, P.C.; Robbins, A.B.; Moreno, M.R.; Harris, J.D. Validation of Digital Visual Analog Scale Pain Scoring with a Traditional Paper-based Visual Analog Scale in Adults. J. Am. Acad. Orthop. Surg. Glob. Res. Rev. 2018, 2, e088. [Google Scholar] [CrossRef] [PubMed]
- Ventafridda, V.; Saita, L.; Ripamonti, C.; De Conno, F. WHO guidelines for the use of analgesics in cancer pain. Int. J. Tissue React. 1985, 7, 93–96. [Google Scholar] [PubMed]
- Chou, R.; Gordon, D.B.; de Leon-Casasola, O.A.; Rosenberg, J.M.; Bickler, S.; Brennan, T.; Carter, T.; Cassidy, C.L.; Chittenden, E.H.; Degenhardt, E.; et al. Management of Postoperative Pain: A Clinical Practice Guideline from the American Pain Society, the American Society of Regional Anesthesia and Pain Medicine, and the American Society of Anesthesiologists’ Committee on Regional Anesthesia, Executive Committee, and Administrative Council. J. Pain. 2016, 17, 131–157. [Google Scholar]
- Small, C.; Laycock, H. Acute postoperative pain management. Br. J. Surg. 2020, 107, 70–80. [Google Scholar] [CrossRef]
- van den Beuken-van Everdingen, M.H.; de Rijke, J.M.; Kessels, A.G.; Schouten, H.C.; van Kleef, M.; Patijn, J. Prevalence of pain in patients with cancer: A systematic review of the past 40 years. Ann. Oncol. 2007, 18, 1437–1449. [Google Scholar] [CrossRef]
- Sommer, M.; Geurts, J.W.; Stessel, B.; Kessels, A.; Peters, M.L.; Patijn, J.; van Kleef, M.; Kremer, B.; Marcus, M. Prevalence and predictors of postoperative pain after ear, nose and throat surgery. Arch. Otolaryngol. Head Neck Surg. 2009, 135, 124–130. [Google Scholar] [CrossRef]
- Ziv, G.; Darryl, B.; Nissim, M.; Khafif, A.; Fliss, D.M. Treatment of pain after head and neck surgeries: Control of acute pain after head and neck oncological surgeries. Otolaryngol. Head Neck Surg. 2006, 135, 182–188. [Google Scholar]
- Orgill, R.; Krempl, G.A.; Medina, J.E. Acute pain management following laryngectomy. Arch. Otolaryngol. Head Neck Surg. 2002, 128, 829–832. [Google Scholar] [CrossRef]
- Kuo, P.-Y.; Williams, J.E. Pain control in head and neck Cancer. In Head and Neck Cancer; Agulnik, M., Ed.; InTech: Tokyo, Japan, 2012; pp. 351–370. [Google Scholar]
- Bianchini, C.; Malago, M.; Crema, L.; Aimoni, C.; Matarazzo, T.; Bortolazzi, S.; Ciorba, A.; Pelucchi, S.; Pastore, A. Post-operative pain management in head and neck cancer patients: Predictive factors and efficacy of therapy. Acta Otorhinolaryngol. Ital. 2016, 36, 91–96. [Google Scholar] [CrossRef]
- Dort, J.C.; Farwell, D.G.; Findlay, M.; Huber, G.F.; Kerr, P.; Shea-Budgell, M.A.; Simon, C.; Uppington, J.; Zygun, D.; Ljungqvist, O.; et al. Optimal Perioperative Care in Major Head and Neck Cancer Surgery with Free Flap Reconstruction: A Consensus Review and Recommendations From the Enhanced Recovery After Surgery Society. JAMA Otolaryngol. Head Neck Surg. 2017, 143, 292–303. [Google Scholar] [CrossRef] [PubMed]
- Hinther, A.; Nakoneshny, S.C.; Chandarana, S.P.; Matthews, T.W.; Hart, R.; Schrag, C.; Matthews, J.; McKenzie, C.D.; Fick, G.H.; Dort, J.C. Efficacy of Multimodal Analgesia for Postoperative Pain Management in Head and Neck Cancer Patients. Cancers 2021, 13, 1266. [Google Scholar] [CrossRef] [PubMed]
- Vu, C.N.; Lewis, C.M.; Bailard, N.S.; Kapoor, R.; Rubin, M.L.; Zheng, G. Association between Multimodal Analgesia Administration and Perioperative Opioid Requirements in Patients Undergoing Head and Neck Surgery with Free Flap Reconstruction. JAMA Otolaryngol. Head Neck Surg. 2020, 146, 708. [Google Scholar] [CrossRef] [PubMed]
- Wick, E.C.; Grant, M.C.; Wu, C.L. Postoperative multimodal analgesia pain management with non- opioid analgesics and techniques: A review. JAMA Surg. 2017, 152, 691–697. [Google Scholar] [CrossRef]
- Rindos, N.B.; Mansuria, S.M.; Ecker, A.M.; Stuparich, M.A.; King, C.R. Intravenous acetaminophen vs. saline in perioperative analgesia with laparoscopic hysterectomy. Am. J. Obstet. Gynecol. 2019, 220, 373–378. [Google Scholar] [CrossRef]
- Codoñer-Franch, P.; Tavárez-Alonso, S.; Murria-Estal, R.; Megías-Vericat, J.; Tortajada-Girbés, M.; Alonso-Iglesias, E. Nitric oxide production is increased in severely obese children and related to markers of oxidative stress and inflammation. Atherosclerosis 2011, 215, 475–480. [Google Scholar] [CrossRef]
- Orak, Y.; Baylan, F.A.; Kocaslan, A.; Eroglu, E.; Acipayam, M.; Kirisci, M.; Boran, O.F.; Doganer, A. Effect of mechanical ventilation during cardiopulmonary bypass on oxidative stress: A randomized clinical trial. Braz. J. Anesthesiol. 2022, 72, 69–76. [Google Scholar] [CrossRef]
- Türker, F.S.; Doğan, A.; Ozan, G.; Kıbar, K.; Erışır, M. Change in Free Radical and Antioxidant Enzyme Levels in the Patients Undergoing Open Heart Surgery with Cardiopulmonary Bypass. Oxid. Med. Cell. Longev. 2016, 2016, 1783728. [Google Scholar] [CrossRef]
- Wu, C.; Gao, B.; Gui, Y. Malondialdehyde on postoperative day 1 predicts postoperative cognitive dysfunction in elderly patients after hip fracture surgery. Biosci. Rep. 2019, 39, BSR20190166. [Google Scholar] [CrossRef]
- Maurya, R.P.; Prajapat, M.K.; Singh, V.P.; Roy, M.; Todi, R.; Bosak, S.; Singh, S.K.; Chaudhary, S.; Kumar, A.; Morekar, S.R. Serum Malondialdehyde as a Biomarker of Oxidative Stress in Patients with Primary Ocular Carcinoma: Impact on Response to Chemotherapy. Clin. Ophthalmol. 2021, 15, 871–879. [Google Scholar] [CrossRef]
- Salehi, S.S.; Mirmiranpour, H.; Rabizadeh, S.; Esteghamati, A.; Tomasello, G.; Alibakhshi, A.; Najafi, N.; Rajab, A.; Nakhjavani, M. Improvement in Redox Homeostasis after Cytoreductive Surgery in Colorectal Adenocarcinoma. Oxid. Med. Cell. Longev. 2021, 2021, 8864905. [Google Scholar] [CrossRef] [PubMed]
- Honerlaw, K.R.; Rumble, M.E.; Rose, S.L.; Coe, C.L.; Costanzo, E.S. Biopsychosocial predictors of pain among women recovering from surgery for endometrial cancer. Gynecol. Oncol. 2016, 140, 301–306. [Google Scholar] [CrossRef] [PubMed]
- Kwon, Y.; Hwang, S.M.; Jang, J.S.; Ryu, B.Y.; Kang, B.Y.; Kang, S.S.; Lee, J.J. Effects of a Preoperative Transdermal Fentanyl Patch on Proinflammatory Cytokine and Pain Levels During the Postoperative Period: A Randomized Controlled Trial. Surg. Laparosc. Endosc. Percutan Tech. 2019, 29, 339–343. [Google Scholar] [CrossRef] [PubMed]
- Hozumi, J.; Sumitani, M.; Nishizawa, D.; Nagashima, M.; Ikeda, K.; Abe, H.; Kato, R.; Kusakabe, Y.; Yamada, Y. Japanese Translational Research-Cancer Pain Research Group. Resistin Is a Novel Marker for Postoperative Pain Intensity. Anesth. Analg. 2019, 128, 563–568. [Google Scholar] [CrossRef]
- Xi, M.Y.; Li, S.S.; Zhang, C.; Zhang, L.; Wang, T.; Yu, C. Nalbuphine for Analgesia After Orthognathic Surgery and Its Effect on Postoperative Inflammatory and Oxidative Stress: A Randomized Double-Blind Controlled Trial. J. Oral Maxillofac. Surg. 2020, 78, 528–537. [Google Scholar] [CrossRef]
- Liu, D.; Liu, H.; Wu, J.; Gong, B. Effects of Thoracic Paravertebral Blockon Inflammatory Response, Stress Response, Hemodynamics and Anesthesia Resuscitation in Gallbladder Carcinoma. Cell. Mol. Biol. 2022, 68, 171–177. [Google Scholar]
- Stevens, J.L.; Feelisch, M.; Martin, D.S. Perioperative oxidative stress. Anesth. Analg. 2019, 129, 1749–1760. [Google Scholar] [CrossRef]
- Rosenfeldt, F.; Wilson, M.; Lee, G.; Kure, C.; Ou, R.; Braun, L.; de Haan, J. Oxidative stress in surgery in an ageing population: Pathophysiology and therapy. Exp. Gerontol. 2013, 48, 45–54. [Google Scholar] [CrossRef]
- Gillman, P.K. Monoamine oxidase inhibitors, opioid analgesics, and serotonin toxicity. Br. J. Anaesth. 2005, 95, 434–441. [Google Scholar] [CrossRef]
- El-Ashmawy, N.E.; Lashin, A.H.A.; Okasha, K.M.; Abo Kamer, A.M.; Mostafa, T.M.; El-Aasr, M.; Goda, A.E.; Haggag, Y.A.; Tawfik, H.O.; Abo-Saif, M.A. The plausible mechanisms of tramadol for treatment of COVID-19. Med. Hypotheses 2021, 146, 110468. [Google Scholar] [CrossRef]
- Simões, J.L.B.; Galvan, A.C.L.; da Silva, E.L.M.; Ignácio, Z.M.; Bagatini, M.D. Therapeutic Potential of the Purinergic System in Major Depressive Disorder Associated with COVID-19. Cell. Mol. Neurobiol. 2023, 43, 621–637. [Google Scholar] [CrossRef] [PubMed]
- Asghari, A.; Akbari, G.; Beigi, A.M.; Mortazavi, P. Tramadol reduces testicular damage of ischemia-reperfusion rats. Anim. Reprod. 2016, 13, 811–819. [Google Scholar] [CrossRef]






| Characteristic | |
|---|---|
| Age (years), ± sd | 67.04 ± 6.60 |
| Gender, n (%) | |
| Males | 23 (82.1) |
| Females | 5 (17.9) |
| Smoking status, n (%) | |
| Smoker | 24 (85.7) |
| Non-smoker | 4 (14.3) |
| Histological grade, n (%) | |
| In situ | 3 (10.7) |
| G1 | 4 (14.3) |
| G2 | 20 (71.4) |
| G3 | 3 (3.6) |
| T stage n (%) | |
| T1 | 9 (32.1) |
| T2 | 6 (21.4) |
| T3 | 8 (28.6) |
| T4 | 5 (17.9) |
| N stage n (%) | |
| N0 | 23 (82.2) |
| N1 | 1 (3.6) |
| N2 | 2 (7.1) |
| N3 | 2 (7.1) |
| Type of surgical intervention, n (%) | |
| Cordectomy | 10 (35.7) |
| Partial laryngectomy | 5 (17.9) |
| Total laryngectomy | 8 (28.6) |
| Laryngectomy with neck dissection | 5 (17.9) |
| Factor | B | 95%CI B | p |
|---|---|---|---|
| 1st postoperative day | |||
| VAS pain intensity | 1.104 | −0.14–2.35 | 0.081 |
| Opioid (tramadol) vs. combination of analgesics (opioids+NSAIL) on the 1st postoperative day | 40.510 | 23.73–57.29 | <0.001 * |
| 7th postoperative day | |||
| Tu in situ vs. grades 1, 2, 3 | 28.511 | −6.29–63.31 | 0.104 |
| T1 vs. T2, T3, T4 | −5.334 | −31.47–20.80 | 0.677 |
| CRP | 22.849 | 5.29–40.40 | 0.013 * |
| Opioid (tramadol) vs. combination of analgesics (opioids+NSAID) on the 1st postoperative day | 7.049 | −2.54–16.64 | 0.142 |
| Factor | B | 95%CI B | p |
|---|---|---|---|
| 1st postoperative day | |||
| CRP | 18.927 | 6.01–31.85 | 0.006 |
| 7th postoperative day | |||
| Age | 1.680 | 0.36–3.00 | 0.015 |
| Partial laryngectomy vs. other | −25.919 | −48.23 to −3.60 | 0.025 |
Disclaimer/Publisher’s Note: The statements, opinions and data contained in all publications are solely those of the individual author(s) and contributor(s) and not of MDPI and/or the editor(s). MDPI and/or the editor(s) disclaim responsibility for any injury to people or property resulting from any ideas, methods, instructions or products referred to in the content. |
© 2023 by the authors. Licensee MDPI, Basel, Switzerland. This article is an open access article distributed under the terms and conditions of the Creative Commons Attribution (CC BY) license (https://creativecommons.org/licenses/by/4.0/).
Share and Cite
Savic Vujovic, K.; Zivkovic, A.; Dozic, I.; Cirkovic, A.; Medic, B.; Srebro, D.; Vuckovic, S.; Milovanovic, J.; Jotic, A. Oxidative Stress and Inflammation Biomarkers in Postoperative Pain Modulation in Surgically Treated Patients with Laryngeal Cancer—Pilot Study. Cells 2023, 12, 1391. https://doi.org/10.3390/cells12101391
Savic Vujovic K, Zivkovic A, Dozic I, Cirkovic A, Medic B, Srebro D, Vuckovic S, Milovanovic J, Jotic A. Oxidative Stress and Inflammation Biomarkers in Postoperative Pain Modulation in Surgically Treated Patients with Laryngeal Cancer—Pilot Study. Cells. 2023; 12(10):1391. https://doi.org/10.3390/cells12101391
Chicago/Turabian StyleSavic Vujovic, Katarina, Andjela Zivkovic, Ivan Dozic, Andja Cirkovic, Branislava Medic, Dragana Srebro, Sonja Vuckovic, Jovica Milovanovic, and Ana Jotic. 2023. "Oxidative Stress and Inflammation Biomarkers in Postoperative Pain Modulation in Surgically Treated Patients with Laryngeal Cancer—Pilot Study" Cells 12, no. 10: 1391. https://doi.org/10.3390/cells12101391
APA StyleSavic Vujovic, K., Zivkovic, A., Dozic, I., Cirkovic, A., Medic, B., Srebro, D., Vuckovic, S., Milovanovic, J., & Jotic, A. (2023). Oxidative Stress and Inflammation Biomarkers in Postoperative Pain Modulation in Surgically Treated Patients with Laryngeal Cancer—Pilot Study. Cells, 12(10), 1391. https://doi.org/10.3390/cells12101391

