Visual Function and Survival of Injured Retinal Ganglion Cells in Aged Rbfox1 Knockout Animals
Abstract
:1. Introduction
2. Experimental Procedures
2.1. Generation of Rbfox1 KO Animals
2.2. Visual Cliff Test
2.3. Optic Nerve Crush (ONC) Injury
2.4. Inclusion and Exclusion Criteria
2.5. Retinal Sections and Immunohistochemistry
2.6. Cell Quantification in Whole Mount Retinas
2.7. Statistical Analysis
3. Results
3.1. Depth Perception Deficiency in Old Rbfox1 KO Animals
3.2. The Effect of Aging and ONC-Induced Injury on Retinal Morphology in Rbfox1 KO Animals
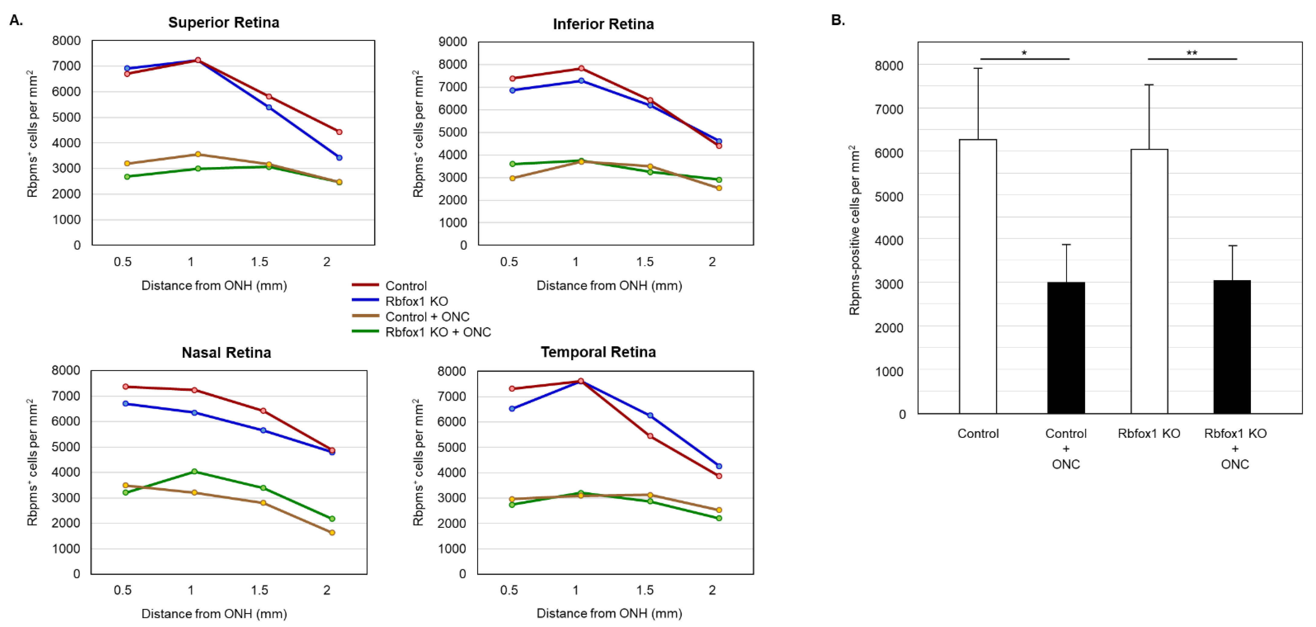
3.3. The Effect of Aging on RGC Numbers and Their Survival after Axonal Injury in Rbfox1 KO Animals
4. Discussion
Author Contributions
Funding
Institutional Review Board Statement
Informed Consent Statement
Data Availability Statement
Conflicts of Interest
References
- Conboy, J.G. Developmental Regulation of RNA Processing by Rbfox Proteins. Wiley Interdiscip. Rev. RNA 2017, 8, e1398. [Google Scholar] [CrossRef] [Green Version]
- Kuroyanagi, H. Fox-1 Family of RNA-Binding Proteins. Cell. Mol. Life Sci. 2009, 66, 3895–3907. [Google Scholar] [CrossRef] [Green Version]
- Misra, C.; Bangru, S.; Lin, F.; Lam, K.; Koenig, S.N.; Lubbers, E.R.; Hedhli, J.; Murphy, N.P.; Parker, D.J.; Dobrucki, L.W.; et al. Aberrant Expression of a Non-Muscle RBFOX2 Isoform Triggers Cardiac Conduction Defects in Myotonic Dystrophy. Dev. Cell 2020, 52, 748–763.e6. [Google Scholar] [CrossRef]
- McKean, D.M.; Homsy, J.; Wakimoto, H.; Patel, N.; Gorham, J.; DePalma, S.R.; Ware, J.S.; Zaidi, S.; Ma, W.; Patel, N.; et al. Loss of RNA Expression and Allele-Specific Expression Associated with Congenital Heart Disease. Nat. Commun. 2016, 7, 12824. [Google Scholar] [CrossRef]
- Amin, N.; Allebrandt, K.V.; Van Der Spek, A.; Müller-Myhsok, B.; Hek, K.; Teder-Laving, M.; Hayward, C.; Esko, T.; Van Mill, J.G.; Mbarek, H.; et al. Genetic Variants in RBFOX3 Are Associated with Sleep Latency. Eur. J. Hum. Genet. 2016, 24, 1488–1495. [Google Scholar] [CrossRef] [Green Version]
- Sebat, J.; Lakshmi, B.; Malhotra, D.; Troge, J.; Lese-Martin, C.; Walsh, T.; Yamrom, B.; Yoon, S.; Krasnitz, A.; Kendall, J.; et al. Strong Association of de Novo Copy Number Mutations with Autism. Science 2007, 316, 445–449. [Google Scholar] [CrossRef] [Green Version]
- Martin, C.L.; Duvall, J.A.; Ilkin, Y.; Simon, J.S.; Arreaza, M.G.; Wilkes, K.; Alvarez-Retuerto, A.; Whichello, A.; Powell, C.M.; Rao, K.; et al. Cytogenetic and Molecular Characterization of A2BP1/FOX1 as a Candidate Gene for Autism. Am. J. Med. Genet. B Neuropsychiatr. Genet. 2007, 144B, 869–876. [Google Scholar] [CrossRef]
- Lal, D.; Reinthaler, E.M.; Altmüller, J.; Toliat, M.R.; Thiele, H.; Nürnberg, P.; Lerche, H.; Hahn, A.; Møller, R.S.; Muhle, H.; et al. RBFOX1 and RBFOX3 Mutations in Rolandic Epilepsy. PLoS ONE 2013, 8, e73323. [Google Scholar] [CrossRef]
- Bhalla, K.; Phillips, H.A.; Crawford, J.; McKenzie, O.L.D.; Mulley, J.C.; Eyre, H.; Gardner, A.E.; Kremmidiotis, G.; Callen, D.F. The de Novo Chromosome 16 Translocations of Two Patients with Abnormal Phenotypes (Mental Retardation and Epilepsy) Disrupt the A2BP1 Gene. J. Hum. Genet. 2004, 49, 308–311. [Google Scholar] [CrossRef] [Green Version]
- Gehman, L.T.; Meera, P.; Stoilov, P.; Shiue, L.; O’Brien, J.E.; Meisler, M.H.; Ares, M.; Otis, T.S.; Black, D.L. The Splicing Regulator Rbfox2 Is Required for Both Cerebellar Development and Mature Motor Function. Genes Dev. 2012, 26, 445–460. [Google Scholar] [CrossRef]
- Gehman, L.T.; Stoilov, P.; Maguire, J.; Damianov, A.; Lin, C.-H.; Shiue, L.; Ares, M.; Mody, I.; Black, D.L. The Splicing Regulator Rbfox1 (A2BP1) Controls Neuronal Excitation in the Mammalian Brain. Nat. Genet. 2011, 43, 706–711. [Google Scholar] [CrossRef]
- Lin, Y.-S.; Kuo, K.-T.; Chen, S.-K.; Huang, H.-S. RBFOX3/NeuN Is Dispensable for Visual Function. PLoS ONE 2018, 13, e0192355. [Google Scholar] [CrossRef] [Green Version]
- Gu, L.; Caprioli, J.; Piri, N. Rbfox1 Expression in Amacrine Cells Is Restricted to GABAergic and VGlut3 Glycinergic Cells. Biosci. Rep. 2022, 42, BSR20220497. [Google Scholar] [CrossRef]
- Gu, L.; Kawaguchi, R.; Caprioli, J.; Piri, N. The Effect of Rbfox2 Modulation on Retinal Transcriptome and Visual Function. Sci. Rep. 2020, 10, 19683. [Google Scholar] [CrossRef]
- Gu, L.; Bok, D.; Yu, F.; Caprioli, J.; Piri, N. Downregulation of Splicing Regulator RBFOX1 Compromises Visual Depth Perception. PLoS ONE 2018, 13, e0200417. [Google Scholar] [CrossRef]
- Vuong, C.K.; Wei, W.; Lee, J.-A.; Lin, C.-H.; Damianov, A.; de la Torre-Ubieta, L.; Halabi, R.; Otis, K.O.; Martin, K.C.; O’Dell, T.J.; et al. Rbfox1 Regulates Synaptic Transmission through the Inhibitory Neuron-Specific VSNARE Vamp1. Neuron 2018, 98, 127–141.e7. [Google Scholar] [CrossRef] [Green Version]
- Jacko, M.; Weyn-Vanhentenryck, S.M.; Smerdon, J.W.; Yan, R.; Feng, H.; Williams, D.J.; Pai, J.; Xu, K.; Wichterle, H.; Zhang, C. Rbfox Splicing Factors Promote Neuronal Maturation and Axon Initial Segment Assembly. Neuron 2018, 97, 853–868.e6. [Google Scholar] [CrossRef] [Green Version]
- Lee, J.-A.; Damianov, A.; Lin, C.-H.; Fontes, M.; Parikshak, N.N.; Anderson, E.S.; Geschwind, D.H.; Black, D.L.; Martin, K.C. Cytoplasmic Rbfox1 Regulates the Expression of Synaptic and Autism-Related Genes. Neuron 2016, 89, 113–128. [Google Scholar] [CrossRef] [Green Version]
- Hamada, N.; Ito, H.; Nishijo, T.; Iwamoto, I.; Morishita, R.; Tabata, H.; Momiyama, T.; Nagata, K.-I. Essential Role of the Nuclear Isoform of RBFOX1, a Candidate Gene for Autism Spectrum Disorders, in the Brain Development. Sci. Rep. 2016, 6, 30805. [Google Scholar] [CrossRef] [Green Version]
- Hamada, N.; Ito, H.; Iwamoto, I.; Morishita, R.; Tabata, H.; Nagata, K.-I. Role of the Cytoplasmic Isoform of RBFOX1/A2BP1 in Establishing the Architecture of the Developing Cerebral Cortex. Mol. Autism 2015, 6, 56. [Google Scholar] [CrossRef]
- Fogel, B.L.; Wexler, E.; Wahnich, A.; Friedrich, T.; Vijayendran, C.; Gao, F.; Parikshak, N.; Konopka, G.; Geschwind, D.H. RBFOX1 Regulates Both Splicing and Transcriptional Networks in Human Neuronal Development. Hum. Mol. Genet. 2012, 21, 4171–4186. [Google Scholar] [CrossRef] [Green Version]
- Lee, J.-A.; Tang, Z.-Z.; Black, D.L. An Inducible Change in Fox-1/A2BP1 Splicing Modulates the Alternative Splicing of Downstream Neuronal Target Exons. Genes Dev. 2009, 23, 2284–2293. [Google Scholar] [CrossRef] [Green Version]
- Kasap, M.; Dwyer, D.S. Na+ Leak-Current Channel (NALCN) at the Junction of Motor and Neuropsychiatric Symptoms in Parkinson’s Disease. J. Neural Transm. 2021, 128, 749–762. [Google Scholar] [CrossRef]
- Lin, L.; Göke, J.; Cukuroglu, E.; Dranias, M.R.; VanDongen, A.M.J.; Stanton, L.W. Molecular Features Underlying Neurodegeneration Identified through In Vitro Modeling of Genetically Diverse Parkinson’s Disease Patients. Cell Rep. 2016, 15, 2411–2426. [Google Scholar] [CrossRef] [Green Version]
- Kunkle, B.W.; Schmidt, M.; Klein, H.-U.; Naj, A.C.; Hamilton-Nelson, K.L.; Larson, E.B.; Evans, D.A.; de Jager, P.L.; Crane, P.K.; Buxbaum, J.D.; et al. Novel Alzheimer Disease Risk Loci and Pathways in African American Individuals Using the African Genome Resources Panel. JAMA Neurol. 2021, 78, 102. [Google Scholar] [CrossRef]
- el Fatimy, R.; Li, S.; Chen, Z.; Mushannen, T.; Gongala, S.; Wei, Z.; Balu, D.T.; Rabinovsky, R.; Cantlon, A.; Elkhal, A.; et al. MicroRNA-132 Provides Neuroprotection for Tauopathies via Multiple Signaling Pathways. Acta Neuropathol. 2018, 136, 537–555. [Google Scholar] [CrossRef] [Green Version]
- Alkallas, R.; Fish, L.; Goodarzi, H.; Najafabadi, H.S. Inference of RNA Decay Rate from Transcriptional Profiling Highlights the Regulatory Programs of Alzheimer’s Disease. Nat. Commun. 2017, 8, 909. [Google Scholar] [CrossRef] [Green Version]
- Raghavan, N.S.; Dumitrescu, L.; Mormino, E.; Mahoney, E.R.; Lee, A.J.; Gao, Y.; Bilgel, M.; Goldstein, D.; Harrison, T.; Engelman, C.D.; et al. Association Between Common Variants in RBFOX1, an RNA-Binding Protein, and Brain Amyloidosis in Early and Preclinical Alzheimer Disease. JAMA Neurol. 2020, 77, 1288. [Google Scholar] [CrossRef]
- Meng, X.; Wei, Q.; Meng, L.; Liu, J.; Wu, Y.; Liu, W. Feature Fusion and Detection in Alzheimer’s Disease Using a Novel Genetic Multi-Kernel SVM Based on MRI Imaging and Gene Data. Genes 2022, 13, 837. [Google Scholar] [CrossRef]
- Gu, L.; Kwong, J.M.; Caprioli, J.; Piri, N. Loss of Rbfox1 Does Not Affect Survival of Retinal Ganglion Cells Injured by Optic Nerve Crush. Front. Neurosci. 2021, 15, 687690. [Google Scholar] [CrossRef]
- Ruzankina, Y.; Pinzon-Guzman, C.; Asare, A.; Ong, T.; Pontano, L.; Cotsarelis, G.; Zediak, V.P.; Velez, M.; Bhandoola, A.; Brown, E.J. Deletion of the Developmentally Essential Gene ATR in Adult Mice Leads to Age-Related Phenotypes and Stem Cell Loss. Cell Stem Cell 2007, 1, 113–126. [Google Scholar] [CrossRef] [Green Version]
- Fox, M.W. The Visual Cliff Test for the Study of Visual Depth Perception in the Mouse. Anim. Behav. 1965, 13, 232–233. [Google Scholar] [CrossRef]
- Gibson, E.J.; Walk, R.D. The “Visual Cliff”. Sci. Am. 1960, 202, 64–71. [Google Scholar] [CrossRef]
- Kwong, J.M.K.; Caprioli, J.; Piri, N. RNA Binding Protein with Multiple Splicing: A New Marker for Retinal Ganglion Cells. Investig. Ophthalmol. Vis. Sci. 2010, 51, 1052–1058. [Google Scholar] [CrossRef] [Green Version]
- Flurkey, K.; Mcurrer, J.; Harrison, D. Mouse Models in Aging Research. In The Mouse in Biomedical Research; Elsevier: Amsterdam, The Netherlands, 2007; pp. 637–672. [Google Scholar]
- Yanai, S.; Endo, S. Functional Aging in Male C57BL/6J Mice Across the Life-Span: A Systematic Behavioral Analysis of Motor, Emotional, and Memory Function to Define an Aging Phenotype. Front. Aging Neurosci. 2021, 13. [Google Scholar] [CrossRef]
- Dutta, N.; Garcia, G.; Higuchi-Sanabria, R. Hijacking Cellular Stress Responses to Promote Lifespan. Front. Aging 2022, 3. [Google Scholar] [CrossRef]
- Toescu, E.C. Normal Brain Ageing: Models and Mechanisms. Philos. Trans. R. Soc. B Biol. Sci. 2005, 360, 2347–2354. [Google Scholar] [CrossRef] [Green Version]
- Kucherenko, M.M.; Shcherbata, H.R. Stress-Dependent MiR-980 Regulation of Rbfox1/A2bp1 Promotes Ribonucleoprotein Granule Formation and Cell Survival. Nat. Commun. 2018, 9, 312. [Google Scholar] [CrossRef] [Green Version]
- Neufeld, A.; Gachie, E. The Inherent, Age-Dependent Loss of Retinal Ganglion Cells Is Related to the Lifespan of the Species. Neurobiol. Aging 2003, 24, 167–172. [Google Scholar] [CrossRef]
- Ricci, A.; Bronzetti, E.; Amenta, F. Effect of Ageing on the Nerve Fibre Population of Rat Optic Nerve. Gerontology 1988, 34, 231–235. [Google Scholar] [CrossRef]
- Harman, A.; Abrahams, B.; Moore, S.; Hoskins, R. Neuronal Density in the Human Retinal Ganglion Cell Layer from 16-77 Years. Anat. Rec. 2000, 260, 124–131. [Google Scholar] [CrossRef]
- Jonas, J.B.; Müller-Bergh, J.A.; Schlötzer-Schrehardt, U.M.; Naumann, G.O. Histomorphometry of the Human Optic Nerve. Investig. Ophthalmol. Vis. Sci. 1990, 31, 736–744. [Google Scholar]
- Kerrigan-Baumrind, L.A.; Quigley, H.A.; Pease, M.E.; Kerrigan, D.F.; Mitchell, R.S. Number of Ganglion Cells in Glaucoma Eyes Compared with Threshold Visual Field Tests in the Same Persons. Investig. Ophthalmol. Vis. Sci. 2000, 41, 741–748. [Google Scholar]
- Morrison, J.C.; Cork, L.C.; Dunkelberger, G.R.; Brown, A.; Quigley, H.A. Aging Changes of the Rhesus Monkey Optic Nerve. Investig. Ophthalmol. Vis. Sci. 1990, 31, 1623–1627. [Google Scholar]
- Balazsi, A.G.; Rootman, J.; Drance, S.M.; Schulzer, M.; Douglas, G.R. The Effect of Age on the Nerve Fiber Population of the Human Optic Nerve. Am. J. Ophthalmol. 1984, 97, 760–766. [Google Scholar] [CrossRef]
- Danias, J.; Lee, K.C.; Zamora, M.-F.; Chen, B.; Shen, F.; Filippopoulos, T.; Su, Y.; Goldblum, D.; Podos, S.M.; Mittag, T. Quantitative Analysis of Retinal Ganglion Cell (RGC) Loss in Aging DBA/2NNia Glaucomatous Mice: Comparison with RGC Loss in Aging C57/BL6 Mice. Investig. Ophthalmol. Vis. Sci. 2003, 44, 5151. [Google Scholar] [CrossRef] [Green Version]
- Samuel, M.A.; Zhang, Y.; Meister, M.; Sanes, J.R. Age-Related Alterations in Neurons of the Mouse Retina. J. Neurosci. 2011, 31, 16033–16044. [Google Scholar] [CrossRef] [Green Version]
- Cepurna, W.O.; Kayton, R.J.; Johnson, E.C.; Morrison, J.C. Age Related Optic Nerve Axonal Loss in Adult Brown Norway Rats. Exp. Eye Res. 2005, 80, 877–884. [Google Scholar] [CrossRef]
- Fortune, B.; Reynaud, J.; Cull, G.; Burgoyne, C.F.; Wang, L. The Effect of Age on Optic Nerve Axon Counts, SDOCT Scan Quality, and Peripapillary Retinal Nerve Fiber Layer Thickness Measurements in Rhesus Monkeys. Transl. Vis. Sci. Technol. 2014, 3, 2. [Google Scholar] [CrossRef]






| Location | S 0.5 | S 1.0 | S 1.5 | S 2.0 | I 0.5 | I 1.0 | I 1.5 | I 2.0 | n 0.5 | N 1.0 | N 1.5 | N 2.0 | T 0.5 | T 1.0 | T 1.5 | T 2.0 | |
|---|---|---|---|---|---|---|---|---|---|---|---|---|---|---|---|---|---|
| Group | |||||||||||||||||
| Control | 6710 ± 1144 | 7235 ± 780 | 5824 ± 997 | 4431 ± 760 | 7382 ± 803 | 7826 ± 742 | 6419 ± 1769 | 4388 ± 2271 | 7369 ± 1121 | 7235 ± 282 | 6415 ± 1472 | 4879 ± 1364 | 7318 ± 1146 | 7617 ± 901 | 5447 ± 1635 | 3872 ± 1337 | |
| Control + ONC | 3194 ± 605 | 3563 ± 1010 | 3168 ± 506 | 2474 ± 560 | 2973 ± 823 | 3702 ± 713 | 3498 ± 749 | 2526 ± 475 | 3490 ± 608 | 3212 ± 758 | 2799 ± 1619 | 1636 ± 322 | 2969 ± 302 | 3099 ± 771 | 3134 ± 956 | 2535 ± 931 | |
| Rbfox1 KO | 6918 ± 930 | 7235 ± 672 | 5399 ± 1306 | 3433 ± 1040 | 6861 ± 509 | 7282 ± 965 | 6184 ± 1535 | 4605 ± 1475 | 6701 ± 1120 | 6345 ± 749 | 5651 ± 1846 | 4796 ± 1159 | 6519 ± 262 | 7604 ± 1170 | 6258 ± 1265 | 4266 ± 859 | |
| Rbfox1 KO + ONC | 2687 ± 530 | 2995 ± 904 | 3069 ± 1473 | 2461 ± 980 | 3602 ± 975 | 3750 ± 520 | 3242 ± 737 | 2908 ± 530 | 3212 ± 739 | 4041 ± 594 | 3390 ± 887 | 2183 ± 983 | 2747 ± 543 | 3212 ± 698 | 2873 ± 280 | 2209 ± 467 | |
| Location | S 0.5 | S 1.0 | S 1.5 | S 2.0 | I 0.5 | I 1.0 | I 1.5 | I 2.0 | N 0.5 | N 1.0 | N 1.5 | N 2.0 | T 0.5 | T 1.0 | T 1.5 | T 2.0 | |
|---|---|---|---|---|---|---|---|---|---|---|---|---|---|---|---|---|---|
| Group | |||||||||||||||||
| Control | 6155 ± 1077 | 6992 ± 688 | 5577 ± 983 | 4193 ± 742 | 6784 ± 428 | 7465 ± 736 | 6150 ± 1806 | 4236 ± 2194 | 6641 ± 931 | 6762 ± 278 | 6137 ± 1445 | 4635 ± 1361 | 6641 ± 1108 | 7231 ± 903 | 5286 ± 1602 | 3689 ± 1293 | |
| Control + ONC | 2633 ± 897 | 2940 ± 978 | 2714 ± 797 | 1979 ± 522 | 2315 ± 775 | 3096 ± 1023 | 2789 ± 959 | 2228 ± 708 | 2911 ± 1002 | 2824 ± 1037 | 2488 ± 1582 | 1285 ± 254 | 2361 ± 437 | 2436 ± 384 | 2830 ± 1048 | 2083 ± 838 | |
| Rbfox1 KO | 990 ± 580 | 1246 ± 707 | 1094 ± 805 | 690 ± 399 | 1089 ± 564 | 1385 ± 669 | 1185 ± 656 | 755 ± 386 | 1194 ± 711 | 1202 ± 631 | 1215 ± 834 | 794 ± 537 | 1076 ± 629 | 1328 ± 1103 | 1155 ± 822 | 586 ± 395 | |
| Rbfox1 KO + ONC | 438 ± 186 | 525 ± 326 | 725 ± 535 | 543 ± 420 | 490 ± 215 | 690 ± 520 | 638 ± 486 | 608 ± 270 | 490 ± 183 | 499 ± 429 | 473 ± 348 | 239 ± 173 | 265 ± 142 | 395 ± 359 | 369 ± 405 | 430 ± 388 | |
Publisher’s Note: MDPI stays neutral with regard to jurisdictional claims in published maps and institutional affiliations. |
© 2022 by the authors. Licensee MDPI, Basel, Switzerland. This article is an open access article distributed under the terms and conditions of the Creative Commons Attribution (CC BY) license (https://creativecommons.org/licenses/by/4.0/).
Share and Cite
Gu, L.; Kwong, J.M.K.; Caprioli, J.; Piri, N. Visual Function and Survival of Injured Retinal Ganglion Cells in Aged Rbfox1 Knockout Animals. Cells 2022, 11, 3401. https://doi.org/10.3390/cells11213401
Gu L, Kwong JMK, Caprioli J, Piri N. Visual Function and Survival of Injured Retinal Ganglion Cells in Aged Rbfox1 Knockout Animals. Cells. 2022; 11(21):3401. https://doi.org/10.3390/cells11213401
Chicago/Turabian StyleGu, Lei, Jacky M. K. Kwong, Joseph Caprioli, and Natik Piri. 2022. "Visual Function and Survival of Injured Retinal Ganglion Cells in Aged Rbfox1 Knockout Animals" Cells 11, no. 21: 3401. https://doi.org/10.3390/cells11213401
APA StyleGu, L., Kwong, J. M. K., Caprioli, J., & Piri, N. (2022). Visual Function and Survival of Injured Retinal Ganglion Cells in Aged Rbfox1 Knockout Animals. Cells, 11(21), 3401. https://doi.org/10.3390/cells11213401

