RNA Sequencing of Intestinal Enterocytes Pre- and Post-Roux-en-Y Gastric Bypass Reveals Alteration in Gene Expression Related to Enterocyte Differentiation, Restitution, and Obesity with Regulation by Schlafen 12
Abstract
1. Introduction
2. Materials and Methods
2.1. Human Samples
2.2. Tissue Sectioning, Staining, and Laser Capture Microscopy
2.3. Immunohistochemical Staining for Slfn12 Protein
2.4. Cell Culture and RNA Expression Analysis
2.5. Processing of Sequence Data
2.6. Statistical Analysis
3. Results
3.1. Comparison between Pre- and Post-Surgery Gene Expression
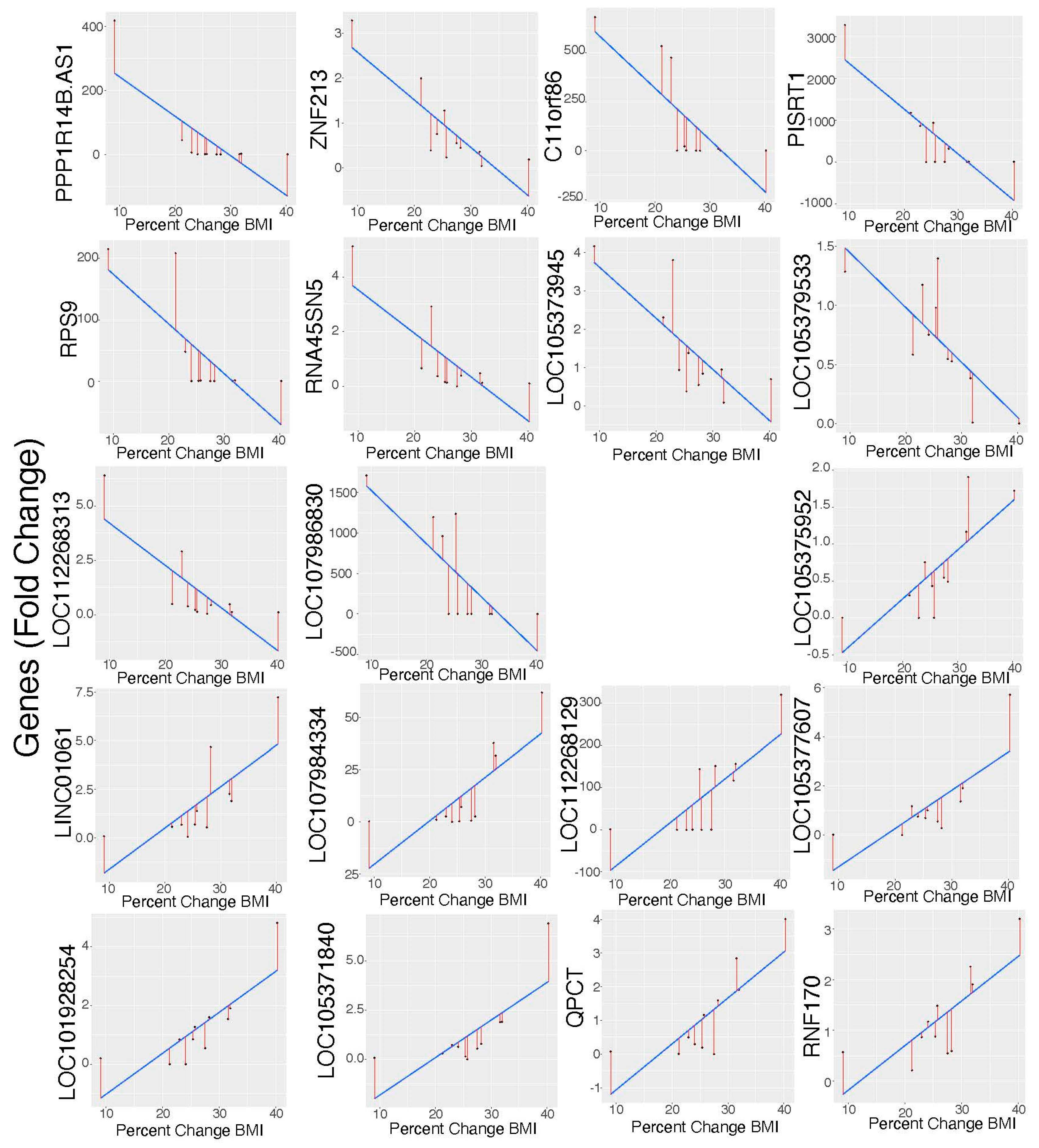
3.2. Changes in the Gene Profiles for Prominent Responders of Gastric Bypass
3.3. SLFN12 Protein Expression Is Increased after Gastric Bypass
3.4. Similar RNA Expression Change in Gastric Bypass-Specific Genes Compared to HIEC-6 or FHs 74 Int Cells Overexpressing SLFN12
4. Discussion
5. Conclusions
Supplementary Materials
Author Contributions
Funding
Institutional Review Board Statement
Informed Consent Statement
Data Availability Statement
Acknowledgments
Conflicts of Interest
References
- Fraszczyk, E.; Luijten, M.; Spijkerman, A.M.W.; Snieder, H.; Wackers, P.F.K.; Bloks, V.W.; Nicoletti, C.F.; Nonino, C.B.; Crujeiras, A.B.; Buurman, W.A.; et al. The effects of bariatric surgery on clinical profile, DNA methylation, and ageing in severely obese patients. Clin. Epigenet. 2020, 12, 14. [Google Scholar] [CrossRef] [PubMed]
- Jakobsen, G.S.; Smastuen, M.C.; Sandbu, R.; Nordstrand, N.; Hofso, D.; Lindberg, M.; Hertel, J.K.; Hjelmesaeth, J. Association of Bariatric Surgery vs Medical Obesity Treatment With Long-term Medical Complications and Obesity-Related Comorbidities. JAMA 2018, 319, 291–301. [Google Scholar] [CrossRef] [PubMed]
- Jorsal, T.; Christensen, M.M.; Mortensen, B.; Nygaard, E.B.; Zhang, C.; Rigbolt, K.; Wandall, E.; Langholz, E.; Friis, S.; Worm, D.; et al. Gut Mucosal Gene Expression and Metabolic Changes After Roux-en-Y Gastric Bypass Surgery. Obesity (Silver Spring) 2020, 28, 2163–2174. [Google Scholar] [CrossRef] [PubMed]
- Ben-Zvi, D.; Meoli, L.; Abidi, W.M.; Nestoridi, E.; Panciotti, C.; Castillo, E.; Pizarro, P.; Shirley, E.; Gourash, W.F.; Thompson, C.C.; et al. Time-Dependent Molecular Responses Differ between Gastric Bypass and Dieting but Are Conserved Across Species. Cell Metab. 2018, 28, 310–323.e316. [Google Scholar] [CrossRef] [PubMed]
- Spak, E.; Bjorklund, P.; Helander, H.F.; Vieth, M.; Olbers, T.; Casselbrant, A.; Lonroth, H.; Fandriks, L. Changes in the mucosa of the Roux-limb after gastric bypass surgery. Histopathology 2010, 57, 680–688. [Google Scholar] [CrossRef] [PubMed]
- Sundbom, M.; Elphick, D.A.; Mahida, Y.R.; Cunliffe, R.N.; Midtvedt, T.; Engstrand, L.; Rubio, C.; Axelsson, L.G. Alteration in human defensin-5 expression following gastric bypass surgery. J. Clin. Pathol. 2007, 60, 1029–1034. [Google Scholar] [CrossRef] [PubMed]
- Chaturvedi, L.; Sun, K.; Walsh, M.F.; Kuhn, L.A.; Basson, M.D. The P-loop region of Schlafen 3 acts within the cytosol to induce differentiation of human Caco-2 intestinal epithelial cells. Biochim. Biophys. Acta 2014, 1843, 3029–3037. [Google Scholar] [CrossRef]
- Kovalenko, P.L.; Yuan, L.; Sun, K.; Kunovska, L.; Seregin, S.; Amalfitano, A.; Basson, M.D. Regulation of epithelial differentiation in rat intestine by intraluminal delivery of an adenoviral vector or silencing RNA coding for Schlafen 3. PLoS ONE 2013, 8, e79745. [Google Scholar] [CrossRef][Green Version]
- Basson, M.D.; Wang, Q.; Chaturvedi, L.S.; More, S.; Vomhof-DeKrey, E.E.; Al-Marsoummi, S.; Sun, K.; Kuhn, L.A.; Kovalenko, P.; Kiupel, M. Schlafen 12 Interaction with SerpinB12 and Deubiquitylases Drives Human Enterocyte Differentiation. Cell Physiol. Biochem. 2018, 48, 1274–1290. [Google Scholar] [CrossRef]
- Vomhof-DeKrey, E.E.; Umthun, J.; Basson, M.D. Loss of Schlafen3 influences the expression levels of Schlafen family members in ileum, thymus, and spleen tissue. PeerJ 2020, 8, e8461. [Google Scholar] [CrossRef]
- Vomhof-DeKrey, E.E.; Stover, A.D.; Labuhn, M.; Osman, M.R.; Basson, M.D. Vil-Cre specific Schlafen 3 knockout mice exhibit sex-specific differences in intestinal differentiation markers and Schlafen family members expression levels. PLoS ONE 2021, 16, e0259195. [Google Scholar] [CrossRef] [PubMed]
- Vomhof-DeKrey, E.E.; Lee, J.; Lansing, J.; Brown, C.; Darland, D.; Basson, M.D. Schlafen 3 knockout mice display gender-specific differences in weight gain, food efficiency, and expression of markers of intestinal epithelial differentiation, metabolism, and immune cell function. PLoS ONE 2019, 14, e0219267. [Google Scholar] [CrossRef] [PubMed]
- Vomhof-DeKrey, E.E.; Lansing, J.T.; Darland, D.C.; Umthun, J.; Stover, A.D.; Brown, C.; Basson, M.D. Loss of Slfn3 induces a sex-dependent repair vulnerability after 50% bowel resection. Am. J. Physiol. Gastrointest. Liver Physiol. 2021, 320, G136–G152. [Google Scholar] [CrossRef] [PubMed]
- Fletcher, S.J.; Johnson, B.; Lowe, G.C.; Bem, D.; Drake, S.; Lordkipanidze, M.; Guiu, I.S.; Dawood, B.; Rivera, J.; Simpson, M.A.; et al. SLFN14 mutations underlie thrombocytopenia with excessive bleeding and platelet secretion defects. J. Clin. Investig. 2015, 125, 3600–3605. [Google Scholar] [CrossRef]
- Lee, N.K.; Choi, H.K.; Yoo, H.J.; Shin, J.; Lee, S.Y. RANKL-induced schlafen2 is a positive regulator of osteoclastogenesis. Cell Signal. 2008, 20, 2302–2308. [Google Scholar] [CrossRef]
- Mavrommatis, E.; Fish, E.N.; Platanias, L.C. The schlafen family of proteins and their regulation by interferons. J. Interferon. Cytokine Res. 2013, 33, 206–210. [Google Scholar] [CrossRef]
- Puck, A.; Aigner, R.; Modak, M.; Cejka, P.; Blaas, D.; Stockl, J. Expression and regulation of Schlafen (SLFN) family members in primary human monocytes, monocyte-derived dendritic cells and T cells. Results Immunol. 2015, 5, 23–32. [Google Scholar] [CrossRef]
- Andrews, S.; Krueger, F.; Seconds-Pichon, A.; Biggins, F.; Wingett, S. FastQC: A quality control tool for high throughput sequence data. In Babraham Bioinformatics; Babraham Institute: Cambridge, UK, 2015. [Google Scholar]
- Chen, S.; Zhou, Y.; Chen, Y.; Gu, J. Fastp: An ultra-fast all-in-one FASTQ preprocessor. Bioinformatics 2018, 34, i884–i890. [Google Scholar] [CrossRef]
- Dobin, A.; Davis, C.A.; Schlesinger, F.; Drenkow, J.; Zaleski, C.; Jha, S.; Batut, P.; Chaisson, M.; Gingeras, T.R. STAR: Ultrafast universal RNA-seq aligner. Bioinformatics 2013, 29, 15–21. [Google Scholar] [CrossRef]
- Nabokina, S.M.; Reidling, J.C.; Said, H.M. Differentiation-dependent up-regulation of intestinal thiamin uptake: Cellular and molecular mechanisms. J. Biol. Chem. 2005, 280, 32676–32682. [Google Scholar] [CrossRef]
- Rao, J.N.; Platoshyn, O.; Li, L.; Guo, X.; Golovina, V.A.; Yuan, J.X.; Wang, J.Y. Activation of K(+) channels and increased migration of differentiated intestinal epithelial cells after wounding. Am. J. Physiol. Cell Physiol. 2002, 282, C885–C898. [Google Scholar] [CrossRef]
- Sokol, H.; Conway, K.L.; Zhang, M.; Choi, M.; Morin, B.; Cao, Z.; Villablanca, E.J.; Li, C.; Wijmenga, C.; Yun, S.H.; et al. Card9 mediates intestinal epithelial cell restitution, T-helper 17 responses, and control of bacterial infection in mice. Gastroenterology 2013, 145, 591–601.e593. [Google Scholar] [CrossRef]
- Cao, L.; Qin, X.; Peterson, M.R.; Haller, S.E.; Wilson, K.A.; Hu, N.; Lin, X.; Nair, S.; Ren, J.; He, G. CARD9 knockout ameliorates myocardial dysfunction associated with high fat diet-induced obesity. J. Mol. Cell Cardiol. 2016, 92, 185–195. [Google Scholar] [CrossRef]
- Oittinen, M.; Popp, A.; Kurppa, K.; Lindfors, K.; Maki, M.; Kaikkonen, M.U.; Viiri, K. Polycomb Repressive Complex 2 Enacts Wnt Signaling in Intestinal Homeostasis and Contributes to the Instigation of Stemness in Diseases Entailing Epithelial Hyperplasia or Neoplasia. Stem Cells 2017, 35, 445–457. [Google Scholar] [CrossRef]
- Jiang, Z.; Michal, J.J.; Tobey, D.J.; Wang, Z.; Macneil, M.D.; Magnuson, N.S. Comparative understanding of UTS2 and UTS2R genes for their involvement in type 2 diabetes mellitus. Int. J. Biol. Sci. 2008, 4, 96–102. [Google Scholar] [CrossRef]
- Meissburger, B.; Perdikari, A.; Moest, H.; Muller, S.; Geiger, M.; Wolfrum, C. Regulation of adipogenesis by paracrine factors from adipose stromal-vascular fraction—A link to fat depot-specific differences. Biochim. Biophys. Acta 2016, 1861, 1121–1131. [Google Scholar] [CrossRef]
- Hubal, M.J.; Nadler, E.P.; Ferrante, S.C.; Barberio, M.D.; Suh, J.H.; Wang, J.; Dohm, G.L.; Pories, W.J.; Mietus-Snyder, M.; Freishtat, R.J. Circulating adipocyte-derived exosomal MicroRNAs associated with decreased insulin resistance after gastric bypass. Obesity (Silver Spring) 2017, 25, 102–110. [Google Scholar] [CrossRef]
- Liu, K.D.; Acharjee, A.; Hinz, C.; Liggi, S.; Murgia, A.; Denes, J.; Gulston, M.K.; Wang, X.; Chu, Y.; West, J.A.; et al. Consequences of Lipid Remodeling of Adipocyte Membranes Being Functionally Distinct from Lipid Storage in Obesity. J. Proteome Res. 2020, 19, 3919–3935. [Google Scholar] [CrossRef]
- Wang, C.; Chao, Y.; Xu, W.; Liu, Z.; Wang, H.; Huang, K. Myeloid FBW7 deficiency disrupts redox homeostasis and aggravates dietary-induced insulin resistance. Redox Biol. 2020, 37, 101688. [Google Scholar] [CrossRef]
- Bengoechea-Alonso, M.T.; Ericsson, J. The ubiquitin ligase Fbxw7 controls adipocyte differentiation by targeting C/EBPalpha for degradation. Proc. Natl. Acad. Sci. USA 2010, 107, 11817–11822. [Google Scholar] [CrossRef]
- Zhao, J.; Xiong, X.; Li, Y.; Liu, X.; Wang, T.; Zhang, H.; Jiao, Y.; Jiang, J.; Zhang, H.; Tang, Q.; et al. Hepatic F-Box Protein FBXW7 Maintains Glucose Homeostasis Through Degradation of Fetuin-A. Diabetes 2018, 67, 818–830. [Google Scholar] [CrossRef] [PubMed]
- Seeley, E.S.; Nachury, M.V. The perennial organelle: Assembly and disassembly of the primary cilium. J. Cell Sci. 2010, 123, 511–518. [Google Scholar] [CrossRef]
- Nishimura, Y.; Yamakawa, D.; Shiromizu, T.; Inagaki, M. Aurora A and AKT Kinase Signaling Associated with Primary Cilia. Cells 2021, 10, 3602. [Google Scholar] [CrossRef]
- Plotnikova, O.V.; Seo, S.; Cottle, D.L.; Conduit, S.; Hakim, S.; Dyson, J.M.; Mitchell, C.A.; Smyth, I.M. INPP5E interacts with AURKA, linking phosphoinositide Signaling to primary cilium stability. J. Cell Sci. 2015, 128, 364–372. [Google Scholar] [CrossRef]
- Mariman, E.C.; Vink, R.G.; Roumans, N.J.; Bouwman, F.G.; Stumpel, C.T.; Aller, E.E.; van Baak, M.A.; Wang, P. The cilium: A cellular antenna with an influence on obesity risk. Br. J. Nutr. 2016, 116, 576–592. [Google Scholar] [CrossRef]
- Benot-Dominguez, R.; Cimini, A.; Barone, D.; Giordano, A.; Pentimalli, F. The Emerging Role of Cyclin-Dependent Kinase Inhibitors in Treating Diet-Induced Obesity: New Opportunities for Breast and Ovarian Cancers? Cancers 2022, 14, 2709. [Google Scholar] [CrossRef]
- Zineldeen, D.H.T.; Mohamed, N.; El-Sayed, W.R.; El-Khadrawy, O.H. Polo Like Kinase 1 (Plk1) expression in visceral adipose tissue of morbidly obese non diabetic women. Am. J. Res. Commun. 2013, 1, 177–208. [Google Scholar]
- Liu, Y.; Wang, W.; Shui, G.; Huang, X. CDP-diacylglycerol synthetase coordinates cell growth and fat storage through phosphatidylinositol metabolism and the insulin pathway. PLoS Genet. 2014, 10, e1004172. [Google Scholar] [CrossRef]
- Qi, Y.; Kapterian, T.S.; Du, X.; Ma, Q.; Fei, W.; Zhang, Y.; Huang, X.; Dawes, I.W.; Yang, H. CDP-diacylglycerol synthases regulate the growth of lipid droplets and adipocyte development. J. Lipid Res. 2016, 57, 767–780. [Google Scholar] [CrossRef]
- Al Khazal, F.; Kang, S.; Nelson Holte, M.; Choi, D.S.; Singh, R.; Ortega-Saenz, P.; Lopez-Barneo, J.; Maher, L.J., 3rd. Unexpected obesity, rather than tumorigenesis, in a conditional mouse model of mitochondrial complex II deficiency. FASEB J. 2021, 35, e21227. [Google Scholar] [CrossRef]
- Mu, C.; Ma, B.; Zhang, C.; Geng, G.; Zhang, X.; Chen, L.; Wang, M.; Li, J.; Zhao, T.; Cheng, H.; et al. Loss of SDHB reprograms energy metabolisms and inhibits high fat diet induced metabolic syndromes. bioRxiv 2018. bioRxiv:10.1101/259226. [Google Scholar] [CrossRef]
- Kaartinen, M.T.; Hang, A.; Barry, A.; Arora, M.; Heinonen, S.; Lundbom, J.; Hakkarainen, A.; Lundholm, N.; Rissanen, A.; Kaprio, J.; et al. Matrisome alterations in obesity—Adipose tissue transcriptome study on monozygotic weight-discordant twins. Matrix Biol. 2022, 108, 1–19. [Google Scholar] [CrossRef] [PubMed]
- Slattery, M.L.; Lundgreen, A.; John, E.M.; Torres-Mejia, G.; Hines, L.; Giuliano, A.R.; Baumgartner, K.B.; Stern, M.C.; Wolff, R.K. MAPK genes interact with diet and lifestyle factors to alter risk of breast cancer: The Breast Cancer Health Disparities Study. Nutr. Cancer 2015, 67, 292–304. [Google Scholar] [CrossRef] [PubMed]
- Hirosumi, J.; Tuncman, G.; Chang, L.; Gorgun, C.Z.; Uysal, K.T.; Maeda, K.; Karin, M.; Hotamisligil, G.S. A central role for JNK in obesity and insulin resistance. Nature 2002, 420, 333–336. [Google Scholar] [CrossRef]
- Guenard, F.; Lamontagne, M.; Bosse, Y.; Deshaies, Y.; Cianflone, K.; Kral, J.G.; Marceau, P.; Vohl, M.C. Influences of gestational obesity on associations between genotypes and gene expression levels in offspring following maternal Gastrointest.inal bypass surgery for obesity. PLoS ONE 2015, 10, e0117011. [Google Scholar] [CrossRef]
- Kogelman, L.J.; Cirera, S.; Zhernakova, D.V.; Fredholm, M.; Franke, L.; Kadarmideen, H.N. Identification of co-expression gene networks, regulatory genes and pathways for obesity based on adipose tissue RNA Sequencing in a porcine model. BMC Med. Genomics. 2014, 7, 57. [Google Scholar] [CrossRef]
- Youn, D.Y.; Xiaoli, A.M.; Pessin, J.E.; Yang, F. Regulation of metabolism by the Mediator complex. Bioph. Rep. 2016, 2, 69–77. [Google Scholar] [CrossRef]
- Hittelman, A.B.; Burakov, D.; Iniguez-Lluhi, J.A.; Freedman, L.P.; Garabedian, M.J. Differential regulation of glucocorticoid receptor transcriptional activation via AF-1-associated proteins. EMBO J. 1999, 18, 5380–5388. [Google Scholar] [CrossRef]
- Grontved, L.; Madsen, M.S.; Boergesen, M.; Roeder, R.G.; Mandrup, S. MED14 tethers mediator to the N-terminal domain of peroxisome proliferator-activated receptor gamma and is required for full transcriptional activity and adipogenesis. Mol. Cell Biol. 2010, 30, 2155–2169. [Google Scholar] [CrossRef]
- Derecka, M.; Gornicka, A.; Koralov, S.B.; Szczepanek, K.; Morgan, M.; Raje, V.; Sisler, J.; Zhang, Q.; Otero, D.; Cichy, J.; et al. Tyk2 and Stat3 regulate brown adipose tissue differentiation and obesity. Cell Metab. 2012, 16, 814–824. [Google Scholar] [CrossRef]
- Watanabe, S.; Nishimura, R.; Shirasaki, T.; Katsukura, N.; Hibiya, S.; Kirimura, S.; Negi, M.; Okamoto, R.; Matsumoto, Y.; Nakamura, T.; et al. Schlafen 11 Is a Novel Target for Mucosal Regeneration in Ulcerative Colitis. J. Crohns. Colitis. 2021, 15, 1558–1572. [Google Scholar] [CrossRef]
- Gershon, M.D. Review article: Serotonin receptors and transporters—Roles in normal and abnormal Gastrointest.inal motility. Aliment Pharmacol. Ther. 2004, 20 (Suppl. 7), 3–14. [Google Scholar] [CrossRef]
- Litwack, G. Obesity, 1st ed.; Elsevier Academic Press: Amsterdam, The Netherlands; Boston, MA, USA, 2013; p. xviii. [Google Scholar]
- Ye, L.; Liddle, R.A. Gastrointest.inal hormones and the gut connectome. Curr. Opin. Endocrinol. Diabetes Obes. 2017, 24, 9–14. [Google Scholar] [CrossRef]
- Basson, M.D.; Modlin, I.M.; Flynn, S.D.; Jena, B.P.; Madri, J.A. Independent modulation of enterocyte migration and proliferation by growth factors, matrix proteins, and pharmacologic agents in an in vitro model of mucosal healing. Surgery 1992, 112, 299–307, discussion 307–298. [Google Scholar]
- Basson, M.D.; Beidler, D.R.; Turowski, G.; Zarif, A.; Modlin, I.M.; Jena, B.P.; Madri, J.A. Effect of tyrosine kinase inhibition on basal and epidermal growth factor-stimulated human Caco-2 enterocyte sheet migration and proliferation. J. Cell Physiol. 1994, 160, 491–501. [Google Scholar] [CrossRef]
- Basson, M.D.; Modlin, I.M.; Madri, J.A. Human enterocyte (Caco-2) migration is modulated in vitro by extracellular matrix composition and epidermal growth factor. J. Clin. Investig. 1992, 90, 15–23. [Google Scholar] [CrossRef]
- Owen, C.R.; Yuan, L.; Basson, M.D. Smad3 knockout mice exhibit impaired intestinal mucosal healing. Lab. Investig. 2008, 88, 1101–1109. [Google Scholar] [CrossRef]
- Basson, M.D.; Liu, Y.W.; Hanly, A.M.; Emenaker, N.J.; Shenoy, S.G.; Gould Rothberg, B.E. Identification and comparative analysis of human colonocyte short-chain fatty acid response genes. J. Gastrointest. Surg. 2000, 4, 501–512. [Google Scholar] [CrossRef]
- Murnin, M.; Kumar, A.; Li, G.D.; Brown, M.; Sumpio, B.E.; Basson, M.D. Effects of glutamine isomers on human (Caco-2) intestinal epithelial proliferation, strain-responsiveness, and differentiation. J. Gastrointest. Surg. 2000, 4, 435–442. [Google Scholar] [CrossRef]
- Perdikis, D.A.; Basson, M.D. Basal nutrition promotes human intestinal epithelial (Caco-2) proliferation, brush border enzyme activity, and motility. Crit. Care Med. 1997, 25, 159–165. [Google Scholar] [CrossRef]
- Basson, M.D. Paradigms for mechanical Signal. transduction in the intestinal epithelium. Category: Molecular, cell, and developmental biology. Digestion 2003, 68, 217–225. [Google Scholar] [CrossRef] [PubMed]
- Chaturvedi, L.S.; Wang, Q.; More, S.K.; Vomhof-DeKrey, E.E.; Basson, M.D. Schlafen 12 mediates the effects of butyrate and repetitive mechanical deformation on intestinal epithelial differentiation in human Caco-2 intestinal epithelial cells. Hum. Cell 2019, 32, 240–250. [Google Scholar] [CrossRef] [PubMed]
- Basson, M.D. Effects of repetitive deformation on intestinal epithelial cells. Inflammopharmacology 2007, 15, 109–114. [Google Scholar] [CrossRef] [PubMed]
- Gayer, C.P.; Basson, M.D. The effects of mechanical forces on intestinal physiology and pathology. Cell Signal. 2009, 21, 1237–1244. [Google Scholar] [CrossRef]






| RNA Seq | HIEC-6 + AdvSLFN12 | FHs 74 Int + AdvSLFN12 | ||
|---|---|---|---|---|
| Differentiation & Restitution genes | HES2 | ↑ | ↑ | = |
| CARD9 | ↑ | = | ↑ | |
| TRPC5 | ↓ | ↓ | ↑ | |
| SLC19A2 | ↑ | ↑ | ↑ | |
| Obesity–related genes | FBXW7 | ↑ | ↑ | ↑ |
| MBOAT2 | ↑ | ↓ | ↓ | |
| STXBP4 | ↑ | ↑ | ↑ | |
| SPARCL1 | ↑ | ↑ | = | |
| UTS | ↑ | ↑ | ↑ |
| Top Canonical Pathways | p-Value | Overlap |
|---|---|---|
| Cell Cycle: G2/M DNA Damage Checkpoint Regulation | 1.21 × 10−3 | 6/49 (AURKA, CKS1B, CKS2, PKMYT1, PLK1, TOP2A) |
| CDP-diacylglycerol Biosynthesis I | 2.29 × 10−2 | 4/24 (ACO2, SDHB, SDHC, SUCLA2) |
| Phosphatidylglycerol Biosynthesis II (Nonplastidic) | 2.50 × 10−2 | 3/12 (POLB, POLG, XRCC1) |
| TCA Cycle II (Eukaryotic) | 2.5 × 10−2 | 6/66 (ADPGK, FAM20B, G6PC, GRK4, MAP3K9, PLK1) |
| Pyrimidine Ribonucleotides Interconversion | 3.42 × 10−2 | 4/36 (IFI35, IFNAR2, MED14, TYK2) |
Publisher’s Note: MDPI stays neutral with regard to jurisdictional claims in published maps and institutional affiliations. |
© 2022 by the authors. Licensee MDPI, Basel, Switzerland. This article is an open access article distributed under the terms and conditions of the Creative Commons Attribution (CC BY) license (https://creativecommons.org/licenses/by/4.0/).
Share and Cite
Vomhof-DeKrey, E.E.; Singhal, S.; Singhal, S.K.; Stover, A.D.; Rajpathy, O.; Preszler, E.; Garcia, L.; Basson, M.D. RNA Sequencing of Intestinal Enterocytes Pre- and Post-Roux-en-Y Gastric Bypass Reveals Alteration in Gene Expression Related to Enterocyte Differentiation, Restitution, and Obesity with Regulation by Schlafen 12. Cells 2022, 11, 3283. https://doi.org/10.3390/cells11203283
Vomhof-DeKrey EE, Singhal S, Singhal SK, Stover AD, Rajpathy O, Preszler E, Garcia L, Basson MD. RNA Sequencing of Intestinal Enterocytes Pre- and Post-Roux-en-Y Gastric Bypass Reveals Alteration in Gene Expression Related to Enterocyte Differentiation, Restitution, and Obesity with Regulation by Schlafen 12. Cells. 2022; 11(20):3283. https://doi.org/10.3390/cells11203283
Chicago/Turabian StyleVomhof-DeKrey, Emilie E., Sonalika Singhal, Sandeep K. Singhal, Allie D. Stover, Odele Rajpathy, Elizabeth Preszler, Luis Garcia, and Marc D. Basson. 2022. "RNA Sequencing of Intestinal Enterocytes Pre- and Post-Roux-en-Y Gastric Bypass Reveals Alteration in Gene Expression Related to Enterocyte Differentiation, Restitution, and Obesity with Regulation by Schlafen 12" Cells 11, no. 20: 3283. https://doi.org/10.3390/cells11203283
APA StyleVomhof-DeKrey, E. E., Singhal, S., Singhal, S. K., Stover, A. D., Rajpathy, O., Preszler, E., Garcia, L., & Basson, M. D. (2022). RNA Sequencing of Intestinal Enterocytes Pre- and Post-Roux-en-Y Gastric Bypass Reveals Alteration in Gene Expression Related to Enterocyte Differentiation, Restitution, and Obesity with Regulation by Schlafen 12. Cells, 11(20), 3283. https://doi.org/10.3390/cells11203283

