Cereal Response to Deep Tillage and Incorporated Organic Fertilizer
Abstract
1. Introduction
2. Materials and Methods
2.1. Experimental Setup
2.2. Characterization of Material
2.3. Plant Development and Grain Quality
2.4. Penetrometer Measurements
2.5. Soil Sampling for Monitoring Soil Mineral Nitrogen (Nmin) and Gravimetric Soil Water Content
2.6. Analysis of Root-length Density (RLD)
2.7. Statistical Analysis
3. Results
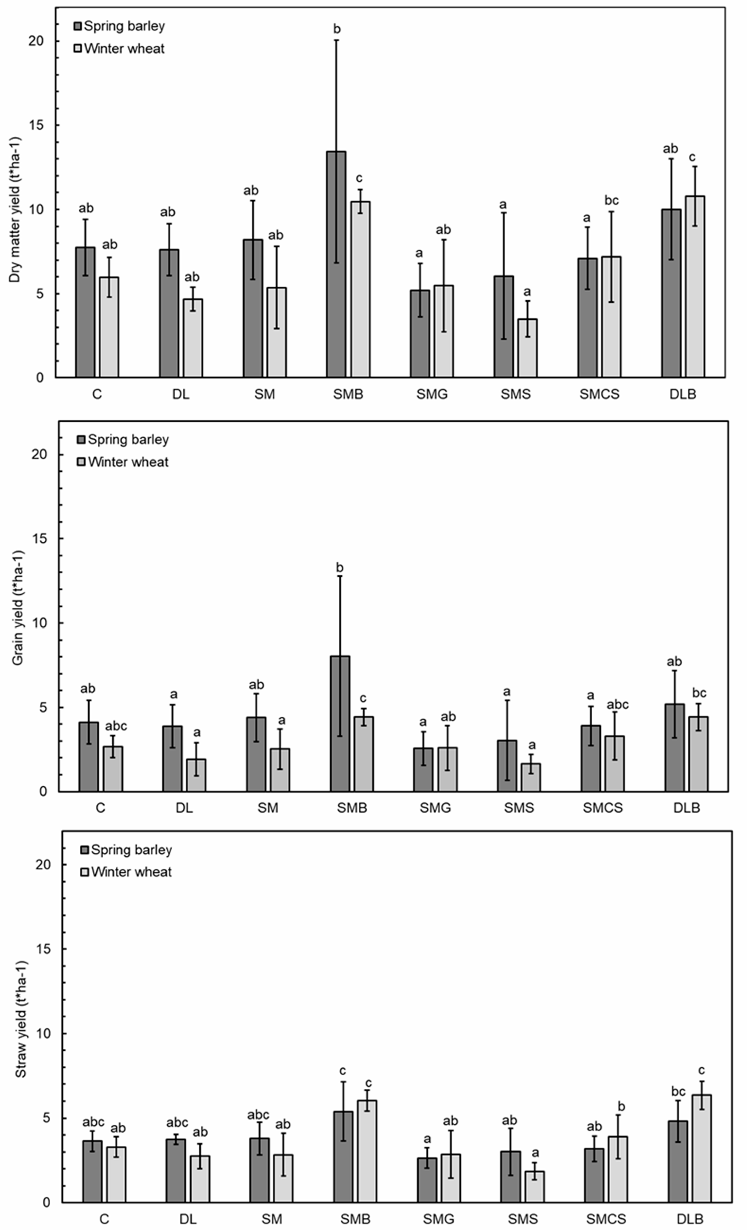
3.1. Effects on Yield Formation
3.2. Effects on Root Development
3.3. Effects on Soil Nmin and Soil Dry Matter
3.4. Effects on Penetration Resistance
4. Discussion
4.1. Effect of Sub Soiling and Incorporation of Organic Material on Yield and Root Development
4.2. Effect of Sub Soiling and Incorporation of Organic Materials on Soil Parameters
5. Conclusions
Author Contributions
Funding
Acknowledgments
Conflicts of Interest
References
- Horn, R.; Domżal, H.; Jurkiewicz, A.S.; Ouwerkerk van, C. Soil compaction processes and their effects on the structure of arable soils and the environment. Soil Tillage Res. 1995, 35, 23–36. [Google Scholar] [CrossRef]
- Batey, T. Soil compaction and soil management—A review. Soil Use Manag. 2009, 25, 335–345. [Google Scholar] [CrossRef]
- Batey, T.; McKenzie, D.C. Soil compaction: Identification directly in the field. Soil Use Manag. 2006, 22, 123–131. [Google Scholar] [CrossRef]
- Blanco-Canqui, H.; Wienhold, B.J.; Jin, V.L.; Schmer, M.R.; Kibet, L.C. Long-term tillage impact on soil hydraulic properties. Soil Tillage Res. 2017, 170, 38–42. [Google Scholar] [CrossRef]
- Hartmann, C.; Poss, R.; Noble, A.D.; Jongskul, A.; Bourdon, E.; Brunet, D.; Lesturgez, G. Subsoil improvement in a tropical coarse textured soil: Effect of deep-ripping and slotting. Soil Tillage Res. 2008, 99, 245–253. [Google Scholar] [CrossRef]
- Salomé, C.; Nunan, N.; Poteau, V.; Lerch, T.Z.; Chenu, C. Carbon dynamics in topsoil and in subsoil may be controlled by different regulatory mechanisms. Glob. Chang. Biol. 2010, 16, 416–426. [Google Scholar] [CrossRef]
- Wordell-Dietrich, P.; Don, A.; Helfrich, M. Controlling factors for the stability of subsoil carbon in a Dystric Cambisol. Geoderma 2016, 304, 40–48. [Google Scholar] [CrossRef]
- Schneider, F.; Don, A.; Hennings, I.; Schmittmann, O.; Seidel, S.J. The effect of deep tillage on crop yield—What do we really know? Soil Tillage Res. 2017, 174, 193–204. [Google Scholar] [CrossRef]
- Cai, H.; Ma, W.; Zhang, X.; Ping, J.; Yan, X.; Liu, J.; Yuan, J.; Wang, L.; Ren, J. Effect of subsoil tillage depth on nutrient accumulation, root distribution, and grain yield in spring maize. Crop J. 2014, 2, 297–307. [Google Scholar] [CrossRef]
- Ghosh, P.K.; Mohanty, M.; Bandyopadhyay, K.K.; Painuli, D.K.; Misra, A.K. Growth, competition, yield advantage and economics in soybean/pigeonpea intercropping system in semi-arid tropics of India. Field Crop. Res. 2006, 96, 80–89. [Google Scholar] [CrossRef]
- Kirkegaard, J.A.; Lilley, J.M.; Howe, G.N.; Graham, J.M. Impact of subsoil water use on wheat yield. Aust. J. Agric. Res. 2007, 58, 303. [Google Scholar] [CrossRef]
- Zhang, Y.; Wang, R.; Wang, S.; Wang, H.; Xu, Z.; Jia, G.; Wang, X.; Li, J. Effects of different sub-soiling frequencies incorporated into no-tillage systems on soil properties and crop yield in dryland wheat-maize rotation system. Field Crop. Res. 2017, 209, 151–158. [Google Scholar] [CrossRef]
- Evanylo, G.; Sherony, C.; Spargo, J.; Starner, D.; Brosius, M.; Haering, K. Soil and water environmental effects of fertilizer-, manure-, and compost-based fertility practices in an organic vegetable cropping system. Agric. Ecosyst. Environ. 2008, 127, 50–58. [Google Scholar] [CrossRef]
- Diacono, M.; Montemurro, F. Long-term effects of organic amendments on soil fertility. A review. Agron. Sustain. Dev. 2010, 30, 401–422. [Google Scholar] [CrossRef]
- Abiven, S.; Menasseri, S.; Chenu, C. The effects of organic inputs over time on soil aggregate stability – A literature analysis. Soil Biol. Biochem. 2009, 41, 1–12. [Google Scholar] [CrossRef]
- Freibauer, A.; Rounsevell, M.D.; Smith, P.; Verhagen, J. Carbon sequestration in the agricultural soils of Europe. Geoderma 2004, 122, 1–23. [Google Scholar] [CrossRef]
- FAO; Iuss Working Group Wrb. World reference base for soil resources 2014, update 2015: International soil classification system for naming soil and creating legends for soil maps. World Soil Resour. Rep. 2015, 106, 192. [Google Scholar]
- Bundessortenamt. Richtlinien für die Durchführung von Landwirtschaftlichen Wertprüfungen und Sortenversuchen; Landbuch Verlagsgesellschaft mbH: Hannover, Germany, 2000. [Google Scholar]
- Sun, Y.; Schulze Lammers, P.; Ma, D. Evaluation of a combined penetrometer for simultaneous measurement of penetration resistance and soil water content. J. Plant Nutr. Soil Sci. 2004, 167, 745–751. [Google Scholar] [CrossRef]
- ASAE Standards ASAE S313.3 Soil Cone Penetrometer and ASAE S358.2: Moisture Measurement—Forages; American Society of Agricultural and Biological Engineers: St. Joseph, MI, USA, 2006; pp. 820–821.
- VDLUFA, Methodenbuch. Band 1. Die Untersuchung von Böden; VDLUFA-Verlag: Darmstadt, Germany, 1991. (In German) [Google Scholar]
- Böhm, W. Methods of Studying Root; Springer-Verlag Berlin Heidelberg: Heidelberg, Germany, 1979. [Google Scholar]
- Erhart, E.; Hartl, W.; Putz, B. Biowaste compost affects yield, nitrogen supply during the vegetation period and crop quality of agricultural crops. Eur. J. Agron. 2005, 23, 305–314. [Google Scholar] [CrossRef]
- Webster, G.R. The effect of sawdust, straw, compost and manure on the yield and chemical composition of strawberries and soil moisture, acidity and organic matter content. Can. J. Plant Sci. 1961, 41, 42–49. [Google Scholar] [CrossRef]
- Wei, T.; Zhang, P.; Wang, K.; Ding, R.; Yang, B.; Nie, J.; Jia, Z.; Han, Q. Effects of wheat straw incorporation on the availability of soil nutrients and enzyme activities in semiarid areas. PLoS ONE 2015, 10, 1–15. [Google Scholar] [CrossRef] [PubMed]
- Procházková, B.; Hrubý, J.; Dovrtěl, J.; Dostál, O. Effects of different organic amendment on winter wheat yields under long-term contnuous cropping. Plant Soil Environ. 2003, 49, 433–438. [Google Scholar] [CrossRef]
- Olayinka, A.; Adebayo, A. The effect of methods of application of sawdust on plant growth, plant nutrient uptake and soil chemical properties. Plant Soil 1985, 86, 47–56. [Google Scholar] [CrossRef]
- Ji, B.; Zhao, Y.; Mu, X.; Liu, K.; Li, C. Effects of tillage on soil physical properties and root growth of maize in loam and clay in central China. Plant Soil Environ. 2013, 59, 295–302. [Google Scholar] [CrossRef]
- Muñoz-Romero, V.; Benítez-Vega, J.; López-Bellido, R.; Fontán, J.; López-Bellido, L. Effect of tillage systems on the root growth of spring wheat. Plant Soil 2010, 326, 97–107. [Google Scholar] [CrossRef]
- Odlare, M.; Pell, M.; Svensson, K. Changes in soil chemical and microbiological properties during 4 years of application of various organic residues. Waste Manag. 2008, 28, 1246–1253. [Google Scholar] [CrossRef] [PubMed]





| Operation | Aim | Machinery | Treatments |
|---|---|---|---|
| Removal of A-horizon (0–30 cm) | Creation of a furrow (centered within 3 m; 30 cm × 30 cm; width × depth) | One plough share | DL, SM, DLB, SMB, SMS and SMCS |
| Loosening of the B-horizon (30–60 cm) | Subsoiling | Deep working tine Spader machine | DL SM |
| Deposition of organic material within the furrow | Fresh matter incorporation | Fodder mixer | DLB, SMB, SMS and SMCS |
| Mixing of B-horizon and organic material | Subsoiling with organic material | Deep working tine Spader machine | DLB SMB, SMS and SMCS |
| Passage with depth wheel | Recompaction of B-horizon | Depth wheel | DL, SM, DLB, SMB, SMS and SMCS |
| Passage with leveling panel | Return of A-horizon and closing of furrow | Leveling panel | DL, SM, DLB, SMB, SMS and SMCS |
| Treatment | Tillage Operation | Incorporated Material | Fresh Matter Incorporated (t ha−1) | N Incorporated (kg ha−1) |
|---|---|---|---|---|
| C | no deep tillage | no material | - | - |
| DL | tine | no material | - | - |
| SM | spader machine | no material | - | - |
| SMB | spader machine | bio compost | 50 | 641 |
| SMG | spader machine | green waste compost | 50 | 355 |
| SMS | spader machine | sawdust | 50 | 58 |
| SMCS | spader machine | chopped straw | 50 | 246 |
| DLB | tine | bio compost | 50 | 641 |
| Sieving Analysis (%) | Dry Matter (%) | Total C (%) | Total N (%) | Total P (%) | Total K (%) | ||||||||
|---|---|---|---|---|---|---|---|---|---|---|---|---|---|
| Material | <3 mm | 3–6 mm | 6–10 mm | 10–15 mm | 15–20 mm | 20–25 mm | >25 mm | C:N | |||||
| Chopped straw 1 | 5 | 10 | 7 | 5 | 3 | 2 | 68 | 78:1 | 89.5 | 42.84 | 0.55 | 0.22 | 1.3 |
| Sawdust 1 | 15 | 20 | 62 | 2 | 1 | - | - | 370:1 | 90.4 | 50.23 | 0.13 | 0.01 | 0.06 |
| Green compost 2 | 58 | 14 | 12 | 8 | 4 | 3 | 1 | 24:1 | 60.7 | 48.00 | 1.17 | 0.44 | 0.92 |
| Bio compost 2 | 71 | 11 | 7 | 7 | 2 | 2 | - | 13:1 | 66.8 | 41.80 | 1.92 | 0.75 | 1.50 |
| 2017 | Underneath Furrow (15 cm) | Near Furrow (20 cm) | Away from Furrow (65 cm) | |||||||||||||||||
| Depth (cm) | 1 | 2 | 3 | 4 | 5 | 6 | 7 | 8 | 9 | 10 | 11 | 12 | 13 | 14 | 15 | 16 | 17 | 18 | 19 | 20 |
| 0–30 | ||||||||||||||||||||
| 30–60 | ||||||||||||||||||||
| 60–135 | ||||||||||||||||||||
| 2018 | Away from Furrow (15 cm) | Near Furrow (20 cm) | Underneath Furrow (30 cm) | Near Furrow (20 cm) | Away from Furrow (15 cm) | |||||||||||||||
| Depth (cm) | 1 | 2 | 3 | 4 | 5 | 6 | 7 | 8 | 9 | 10 | 11 | 12 | 12 | 14 | 15 | 16 | 17 | 18 | 19 | 20 |
| 0–30 | ||||||||||||||||||||
| 30–60 | ||||||||||||||||||||
| 60–120 | ||||||||||||||||||||
| 120–180 | ||||||||||||||||||||
| Crop | Treatment | Number of Plants (m−2) | Number of Ears (m−2) | Maximum Plant Height (cm) | TKW 1 (g) | Protein Content (%) | Starch Content (%) |
|---|---|---|---|---|---|---|---|
| C | 143 | 551 a | 73 cd | 48.3 bc | 11.1 ab | 54.7 abc | |
| DL | 147 | 897 ab | 76 de | 49.0 bc | 12.8 c | 54.0 ab | |
| SM | 123 | 801 ab | 74 de | 45.3 abc | 11.1 b | 55.2 bcd | |
| Spring barley | SMB | 152 | 1123 b | 78 ef | 49.5 c | 14.2 cd | 53.9 a |
| SMG | 143 | 564 a | 67 b | 41.7 a | 9.7 a | 55.7 cd | |
| SMS | 129 | 548 a | 63 a | 43.5 ab | 9.8 ab | 55.8 d | |
| SMCS | 143 | 576 a | 70 bc | 45.5 abc | 10.2 ab | 55.9 d | |
| DLB | 140 | 708 ab | 80 f | 45.0 abc | 14.6 d | 54.0 a | |
| C | 255 | 301 abc | 54 a | 28.7 | 9.8 a | 74.3 | |
| DL | 229 | 263 a | 56 a | 27.2 | 10.2 ab | 74.0 | |
| SM | 267 | 288 ab | 54 a | 27.2 | 10.5 abc | 73.3 | |
| Winter wheat | SMB | 243 | 444 c | 68 b | 29.0 | 13.0 c | 72.7 |
| SMG | 207 | 268 a | 52 a | 28.2 | 10.5 a | 74.0 | |
| SMS | 244 | 267 a | 50 a | 25.3 | 10.3 ab | 73.5 | |
| SMCS | 229 | 311 abc | 52 a | 29.5 | 9.8 a | 74.0 | |
| DLB | 263 | 425 bc | 67 b | 29.0 | 12.2 bc | 73.2 |
| Date | Treatment | Gravimetric Water Content (%) of Soil Depth Classes | ||||
|---|---|---|---|---|---|---|
| 0–30 cm | 30–50 cm | 50–60 cm | 60–70 cm | 70–100 cm | ||
| May 2017 | C | 16.3 | 15.8 | 16.6 | 16.7 | 16.8 |
| DL | 16.5 | 16.6 | 16.9 | 17.2 | 17.0 | |
| DLB | 19.0 | 17.6 | 16.4 | 16.8 | 17.4 | |
| July 2017 | C | 13.6 | 8.9 | 10.4 | 11.7 | 13.6 |
| DL | 14.3 | 10.2 | 11.3 | 12.0 | 13.1 | |
| DLB | 14.6 | 9.2 | 10.5 | 11.1 | 13.0 | |
| April 2018 | C | 14.4 | 15.9 | 16.3 | 17.0 b | 17.6 |
| DL | 15.0 | 15.8 | 16.6 | 17.0 b | 17.3 | |
| DLB | 14.9 | 16.0 | 16.2 | 16.4 a | 17.3 | |
| May 2018 | C | 11.6 | 13.9 | 15.3 | 16.0 | 16.1 |
| DL | 12.7 | 12.8 | 14.6 | 16.4 | 15.9 | |
| DLB | 12.2 | 13.5 | 14.2 | 14.8 | 16.0 | |
| July 2018 | C | 9.5 | 12.6 | 12.3 | 14.7 | 15.1 |
| DL | 8.4 | 12.2 | 14.4 | 15.3 | 15.0 | |
| DLB | 8.5 | 11.8 | 14.2 | 13.2 | 14.8 | |
© 2019 by the authors. Licensee MDPI, Basel, Switzerland. This article is an open access article distributed under the terms and conditions of the Creative Commons Attribution (CC BY) license (http://creativecommons.org/licenses/by/4.0/).
Share and Cite
Jakobs, I.; Schmittmann, O.; Athmann, M.; Kautz, T.; Lammers, P.S. Cereal Response to Deep Tillage and Incorporated Organic Fertilizer. Agronomy 2019, 9, 296. https://doi.org/10.3390/agronomy9060296
Jakobs I, Schmittmann O, Athmann M, Kautz T, Lammers PS. Cereal Response to Deep Tillage and Incorporated Organic Fertilizer. Agronomy. 2019; 9(6):296. https://doi.org/10.3390/agronomy9060296
Chicago/Turabian StyleJakobs, Inga, Oliver Schmittmann, Miriam Athmann, Timo Kautz, and Peter Schulze Lammers. 2019. "Cereal Response to Deep Tillage and Incorporated Organic Fertilizer" Agronomy 9, no. 6: 296. https://doi.org/10.3390/agronomy9060296
APA StyleJakobs, I., Schmittmann, O., Athmann, M., Kautz, T., & Lammers, P. S. (2019). Cereal Response to Deep Tillage and Incorporated Organic Fertilizer. Agronomy, 9(6), 296. https://doi.org/10.3390/agronomy9060296

